新型黄酮-Tröger's碱类衍生物的合成及其生物活性
-
关键词:
- Tröger's base
- / 黄酮类
- / 生物活性
English
Synthesis and Biological Evaluation of Novel Flavonoid-Substituted Tröger's Bases
-
Key words:
- Tröger's base
- / flavonoid
- / bioactivity
-
1. Introduction
In 1887, Tröger[1] synthesized a methanodibenzo[1, 5]-diazocin structure (TB, 1, Figure 1) via the aromatic electrophilic substitution of p-anisidine with formaldehyde. This novel chiral amine with two stereogenic nitrogen centers was subsequently named Tröger's base.[2]
Figure 1
Its chiral rigid aromatic cleft makes it a preeminent molecule with remarkable properties and notable histo- ry.[3, 4] Since this V-shaped molecule offers applications as a unique building block for unusual molecular designs, this textbook molecule and its functionalized analogues have received considerable attention in diverse areas, such as molecular recognition, catalysis, enzyme inhibition, optical materials, [5, 6] etc. Moreover, it is reported that the unique V-type twisted structure of Tröger's base (can be classified as a family of molecular tweezers[7~9]) enable it selectively embed specific DNA double helix and cut them off. Recent studies[10~13] indicated that Tröger's bases can cut off the A-T-T base pairs on DNA selectively during the process of unwinding and rewinding of the DNA helix. To the best of our knowledge, the hindrance of the rewinding of the DNA helix will lead to the depression of multiplication of cancer cell. Because there may be more A-T-T base pairs in tumor cells than that in normal ones, [14] Tröger's bases can be used as tumor inhibitor.
Flavonoids are a group of ubiquitous and diverse molecules produced via the phenylpropanoid pathway in higher plants, and about 2% of all the photosynthesized carbon is converted into flavonoids.[15] They play a variety of roles in plants including protecting against UV damage and phytopathogens (e.g., phytoalexins in legumes), acting as pigments or copigments in influencing flower color, modulating auxin distribution and acting as signal molecules to symbiotic microbes.[16] Many studies have suggested that flavonoids exhibit bioactivities including antiallergenic, antiviral, anti-inflammatory and vasodila- ting actions.[17] Therefore, over the past 30 years, there has been an increasing interest in the important role of flavonoids to human health.[18~22]
Hope to consolidate and even amplify the biological superiority of both Tröger's bases and flavonoid, herein we designed and synthesized twelve new TB-flavonoids derivatives (Schemes 1~3). As expected, the results of their anti-cancer and antibacterial activities confirmed that the combination of Tröger's bases skeleton with flavonoid framework is exactly an efficient pathway to obtain potential candidate molecules in new drug development.
Scheme 1
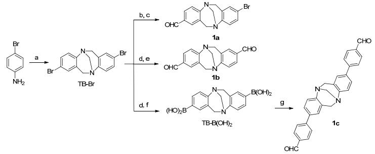
Scheme 1. Synthetic routines for compounds 1a~1c, TB-Br and TB-B(OH)2Reagents and conditions: (a) TFA, (CH2O)n, -15~0 ℃, 6 d; (b) n-BuLi, V(THF):V(Et2O)=1:3, -78 ℃, 1.5 h; (c) DMF, -78 ℃ to r.t., 10 min; (d) n-BuLi, THF, -78 ℃, 1.5 h; (e) DMF, -78 ℃ to r.t., 2 min; (f) (CH3O)3B, -78 ℃ to r.t., 2 min; (g) p-iodobenzaldehyde, Pd(PPh3)4, 2 mol/L K2CO3, toluene, 110 ℃.
Scheme 2
Scheme 3
2. Results and Discussion
2.1 Synthesis
Seventeen compounds were synthesized, of which twelve have not been previously reported. The synthesis of formyl-containing TB derivatives 1a~1c, TB-Br and TB-B(OH)2 have been reported.[23~27]
The aldol condensation of formyl-containing TB derivatives 1a~1c with substituted o-hydroxylacetophen-one gave the TB-chalcones 2a1~2a3, 2b1~2b3, 2c and 2d1~2d2 catalyzed by NaOH in EtOH. The 1H NMR spectra confirmed the E-configuration of 2 (J > 12 Hz). The intramolecular olefin hydroalkoxylation cyclization of 2a1~2a3 afforded the desired TB-flavanones 3a or TB-flavones 4a1~4a2 respectively in different condition. Unfortunately, only 2a1~2a3 can undergo cyclization and form the corresponding TB-flavones, which may due to the small steric hindrance of 2a (Table 1).
Table 1
Compd. R R' Yield/% m.p./℃ 2a1 5-CH3 — 23 162.1~164.0 2a2 4-CH3O — 25 162.1~164.0 2a3 5-OCH3 — 27 196.7~198.2 2b1 5-CH3 5-CH3 25 202.1~203.0 2b2 4-CH3O 4-CH3O 28 205.3~206.7 2b3 5-CH3O 5-CH3O 30 197.4~199.1 2c 5-CH3 — 24 159.1~160.3 2d1 5-CH3 5-CH3 20 214.7~216.2 2d2 5-CH3O 5-CH3O 22 195.2~196.5 3a 5-CH3 — 15 91.2~93.2 4a1 4-CH3O — 14 116.4~117.5 4a2 5-CH3O — 15 121.2~122.2 2.2 Bioactivities
The antibacterial activities on four bacterial Escherichia coli (wild type), Staphylococcus aureus (wild type), Pseu- domonas aeruginosa (PAM1032), Escherichia coli-NMD- 1 and anti-cancer activities on the HepG2 hepatocellular carcinoma cell of products were then evaluated. In the determination of antibacterial activities, the stock solution (10 mg/mL) of every product was prepared by dissolving a relative compound in Dimethyl sulfoxide (DMSO). The solution was diluted to 1, 10 or 100 μg/mL, respectively, and then the solutions were mixed with bacterial solution at a ratio of 1:99 (the solution was diluted 100 times with the bacterial solution), and the final concentration of the compound was 0.01, 0.1, 1 μg/mL, and the content of DMSO was 1%.
The same concentration (1, 10 or 100 μg/mL, respectively) of ampicillin (AP), kanamycin (KAN) and meropenem were used as the controls. The experiment was performed in triplicate. The results were shown in Tables 2~4.
Table 2
Compd. Pseudomonas aeruginosa, PAM1032 Staphylococcus aureus Escherichia coli Escherichia coli-NMD-1 2a1 — 45.17 — — 2a2 — 49.28 — — 2a3 — 58.36 — — 2b1 — — — — 2b2 — — — — 2b3 — 33.30 — — 2c — — — — 2d1 — 44.26 — — 2d2 — — — — 3a — 41.80 — — 4a1 — 56.07 — — 4a2 — — 32.21 — AP — — — — KAN — 99.82 94.27 99.65 Meropenem — 100.00 96.24 — 1% DMSO — — — — Data less than 30% was showed as "—". Table 3
Table 3. Inhibitory rate (%) of products on the apoptosis rate of HepG2 cells in different concentrationCompd. 5 μg/mL 25 μg/mL 50 μg/mL 2a1 23.61±1.59 83.33±1.67 90.41±1.27 2a2 18.46±1.12 82.23±1.61 86.54±2.29 2b1 11.10±1.24 46.98±1.00 88.07±3.20 3a 21.73±1.62 42.14±2.65 93.32±1.69 4a2 15.00±2.49 58.30±1.99 89.86±1.40 Table 4
The results in Table 2 indicated that these products had highly selective inhibition on Staphylococcus aureus (wild type), a classic gram-positive bacteria (1 μg/mL). 2a1, 2a2, 2a3, 2b3, 2d1, 3a and 4a1 could inhibite Escherichia coli (wild type), 4a2 could inhibit both Staphylococcus aureus (wild type) and Escherichia coli (wild type). The reason will be further researched in detail.
Subsequently, according to the method of Alamar Blue, the antitumor activities of products on HepG2 cell were tested. Growth inhibition rates were calculated by the following formula and the results were shown in Table 3.
Growth inhibition rate=[1-(dosing cell OD-blank group OD)/(control cell OD-blank group OD)]×100% OD=Optical density
From Table 3, low concentration (5 μg/mL) of 2a1, 2a2, 2b1, 3a and 4a2 had inhibition (inhibitory rate exceeded 10%) on the proliferation of HepG2 cell. And with the increasing of concentration, their inhibition rates on HepG2 cell were increasing as well. 25 μg/mL of 2a1 and 2a2 exhibited excellent activity while 50 μg/mL of 2a1, 2a2, 2b1, 3a and 4a2 were found to be equally or more potent. As the inhibition rate of other compounds were too low, relative data were not listed. There was no obvious relationship between structure and activity.
The IC50 values indicated that 2a1, 2a2, 2b1, 3a and 4a2 gave a good performances against HepG2 cells (Table 4). Furthermore, comparing with flavanone, [28] 2-hydroxy-chalcone[29] and the starting materials, the anticancer activities of 2a1, 2a2, 2b1, 3a and 4a2 were significantly enhanced. It's obviously that the new skeleton promoted the anticancer activity of the product and the mechanism will be further searched in detail.
3. Conclusions
In summary, a series of novel Tröger's bases-flavone derivatives were designed and prepared via a stepwise route. Their antibacterial activities on four bacterial and anti-cancer activities on the HepG2 hepatocellular carcinoma cell were evaluated. The results indicated that these products had highly selective inhibition on Staphylococcus aureus (wild type) in 1 μg/mL. Five products (2a1, 2a3, 2b1, 3a and 4a2) had inhibition on the proliferation of HepG2 cell in low IC50 (< 30.87 μg/mL). The results indicate their potential applications in new drug development.
4. Experimental
4.1 General chemistry
All melting points were determined with an electrothermal digital melting point apparatus and were uncorrected. IR spectra were recorded with a Varian FTIR-Tensor-27 spectrophotometer using KBr optics. 1H NMR spectra were recorded at 400 MHz on a Bruker DPX 400 spectrometer using TMS as an internal standard and DMSO-d6, CDCl3 or (CD3)2CO as solvent. Mass was determined on a Bruker TOF-MS high resolution mass spectrometer.
All reagents were obtained from commercial suppliers and used without further purification unless otherwise stated, except tetrahydrofuran (THF) and N, N-dimethyl- formamide (DMF) which were distilled prior to use.
4.2 Materials and methods of bioactivity in vitro
The microbial strains used in the present study included four bacterial: Escherichia coli (wild type), Staphylococcus aureus (wild type), Pseudomonas aeruginosa (PAM1032) and Escherichia coli-NMD-1. Those wild-type bacteria were taken from Xuzhou Health and Epidemic Prevention Station, Jiangsu Province, China. The resistant strains were taken from the State Key Laboratory Cultivation Construction Base of Biotechnology on Med-edible Plant of Jiangsu Province, China. The strains were preserved in Luria-Bertani (LB) liquid medium containing 20% glycerol at -80 ℃ prior to use.
The antibacterial activity of products was evaluated based on the values of inhibitory rate determined using the micro-broth dilution method. In detail, the tested bacteria were cultured on the LB ager overnight at 37 ℃. A single colony from each culture was transferred into a 50 mL triangular flask containing 20 mL of LB broth, allowed to grow at 37 ℃ on a reciprocal shaker (200 r/min). The growth of the bacteria was monitored by measuring their optical density at 600 nm (OD600) using microplate reader (SpectraMax M2, America). The bacterial suspensions of which OD600 value equal 1 were diluted 5000 times with LB broth for the following evaluation of anti-bacterial activity. The synthesized compounds were firstly dissolved in DMSO at 1 mg/mL concentration and then serial ten-fold dilutions of each compound were prepared in DMSO with concentrations at 1 μg/mL. To test the inhibitory rate of a compound against a bacterium, 1 μL of each of the serial dilutions was transferred into a separate well of the 96-well plates. One well filled with 1 μL DMSO test bacteria dilution were used as control. Those were incubated at 37 ℃ for 20 h. The inhibitory rate (%) was calculated using the formula
[1-(ΔODcompound/ΔODcontrol)]×100%
where ΔODcompound and ΔODcontrol are the change of OD600 of the sample well and the control well, respectively, in 20 h. The inhibitory rate of three antibiotics ampicillin (AP), kanamycin (KAN) and meropenem (MEM) were tested in parallel with the compounds.
HepG2 cells were purchased from Shanghai Institute of Cell Biology, Chinese Academy of Sciences (Shanghai, China) and maintained in RPMI 1640 medium supplemented with 10% fetal bovine serum (FBS), 100 U/mL penicillin and 100 μg/mL streptomycin at 37 ℃ in a 5% CO2 atmosphere. Cell viability was determined by the Alamar Blue method. Briefly, cancer cells with same number were inoculated into each well in 96-well plates (Costar, Charlotte, NC) in 100 mL culture medium. After an overnight incubation, various concentrations (5, 25, 50 μg/mL) of compounds were added for 48 h. Thereafter, 200 μL of Alamar Blue solution was added to each well after removal of the sample solution and washing with phosphate-buffered saline and cultured for an additional 4 h. The absorbance was measured using SpectraMax M2 (Molecular Devices) at λex=530 nm and λem=590 nm.
Formyl-containing TB derivatives 1a~1c, TB-Br and TB-B(OH)2 were synthesized according to the literature methods.[23~27]
2, 8-Diformyl-6H, 12H-5, 11-methano-dibenzo[b, f][1, 5]-diazocine (1a): Pale yellow solid, m.p. 151.7~153.6 ℃ (lit.[26] 160.0~161.0 ℃); 1H NMR (400 MHz, DMSO-d6) δ: 9.81 (s, 2H), 7.68 (dd, J=8.2, 1.6 Hz, 2H), 7.55 (d, J=1.4 Hz, 2H), 7.34 (d, J=8.2 Hz, 2H), 4.80 (s, 1H), 4.76 (s, 1H), 4.38 (s, 1H), 4.34 (s, 3H); 13C NMR (100 MHz, DMSO-d6) δ 30.7, 58.0, 65.6, 125.4, 128.0, 128.6, 129.3, 131.8, 154.0, 191.7; HRMS calcd for C17H15N2O2 (M+H)+: 279.1134, found 279.1174.
2-Bromo-8-formyl-6H, 12H-5, 11-methano-dibenzo[b, f]-[1, 5]diazocine (1b): Pale yellow solid, m.p. 113.0~115.0 ℃ (lit.[26] 123.5~125.0 ℃); 1H NMR (400 MHz, DMSO-d6) δ: 9.82 (s, 1H), 7.69 (d, J=8.2 Hz, 1H), 7.55 (s, 1H), 7.31 (d, J=8.4 Hz, 2H), 7.20 (s, 1H), 7.10 (d, J=8.6 Hz, 1H), 4.71 (d, J=6.2 Hz, 1H), 4.67 (d, J=6.4 Hz, 1H), 4.27 (s, 3H), 4.24 (s, 1H); 13C NMR (100 MHz, DMSO-d6) δ: 57.8, 65.6, 115.3, 125.3, 127.0, 127.9, 128.6, 129.3, 129.4, 130.0, 130.6, 131.7, 146.9, 154.1, 191.8; HRMS calcd for C16H14BrN2O (M+H)+ 329.0290, found 329.0301.
1, 1'-Diformyl-4, 4'-(6H, 12H-5, 11-methano-dibenzo-[b, f][1, 5]diazocine-2, 8-diyl)dibenzene (1c): Pale yellow solid, m.p. 182.4~183.6 ℃ (lit.[23] 182.4~183.6 ℃); 1H NMR (400 MHz, DMSO-d6) δ: 10.01 (s, 2H), 7.93 (d, J=7.6 Hz, 4H), 7.82 (d, J=7.8 Hz, 4H), 7.57 (d, J=8.4 Hz, 2H), 7.42 (s, 2H), 7.27 (d, J=8.4 Hz, 2H), 4.78 (s, 1H), 4.73 (s, 1H), 4.33 (s, 3H), 4.28 (s, 1H); 13C NMR (100 MHz, DMSO-d6) δ: 58.2, 66.0, 125.4, 125.7, 125.8, 126.8, 128.8, 130.1, 133.8, 134.6, 145.5, 148.7, 192.6; HRMS calcd for C29H23N2O2 (M+H)+: 431.1760, found 431.1796.
4.3 General produce for the synthesis of the TB- chalcone derivatives 2
1a (0.5 mmol), 1-(2-hydroxy-5-methylphenyl)ethanone (0.75 mmol) and the solution of sodium hydroxide (1.8 mmol) were added into absolute alcohol (5 mL). The mixture was heated at 60 ℃ until the starting materials disappeared [TLC, V(hexane):V(ethyl acetate)=2:1]. The the mixture was cooled to room temperature, ice water (10 mL) was added, and the mixture was acidified with aqueous 1 mol/L HCl (till pH=3~4) to afford precipitation. After filtered and washed the precipitation with water (10 mL×2), dried under vacuum, evaporated solvent under reduced pressure, the residue was chromatographed [V(hexane):V(ethyl acetate)=4:1] to afford pure TB-chalcone derivatives 2.
(E)-3-(8-Bromo-6H, 12H-5, 11-methanodibenzo[b, f]-[1, 5]diazocin-2-yl)-1-(2-hydroxy-5-methylphenyl)prop-2-en-1-one (2a1): Yellow solid, m.p. 162.1~164.0 ℃; 1H NMR (400 MHz, DMSO-d6) δ: 12.47 (s, 1H), 8.04 (s, 1H), 7.89 (d, J=15.6 Hz, 1H), 7.74 (s, 1H), 7.71 (d, J=5.2 Hz, 1H), 7.54 (s, 1H), 7.37 (d, J=8.8 Hz, 1H), 7.31 (d, J=8.8 Hz, 1H), 7.20 (d, J=7.6 Hz, 2H), 7.12 (d, J=8.4 Hz, 1H), 6.88 (d, J=8.4 Hz, 1H), 4.67 (t, J=16.4 Hz, 2H), 4.33~4.11 (m, 4H), 2.32 (s, 3H); 13C NMR (100 MHz, CDCl3) δ: 190.3, 154.5, 145.35, 136.6, 135.8 131.1, 129.6, 128.7, 128.3, 127.8, 127.1, 126.1, 123.6, 122.43, 113.4, 112.5, 111.25, 667, 5816, 20.2; HRMS calcd for C25H20BrN2O2 (M-H)- 459.0708, found 459.0787.
(E)-3-(8-Bromo-6H, 12H-5, 11-methanodibenzo[b, f]-[1, 5]diazocin-2-yl)-1-(2-hydroxy-4-methoxyphenyl)prop-2-en-1-one (2a2): Yellow solid, m.p. 162.1~164.0 ℃; 1H NMR (400 MHz, (CD3)2CO) δ: 13.53 (s, 1H), 8.24 (d, J=9.2 Hz, 1H), 7.86 (dd, J=15.2, 4.0 Hz, 1H), 7.73 (s, 1H), 7.70 (d, J=7.2 Hz, 1H), 7.55 (s, 1H), 7.31 (d, J=8.4 Hz, 1H), 7.20 (t, J=6.0 Hz, 1H), 7.13 (d, J=8.8 Hz, 1H), 6.96 (s, 1H), 6.56 (d, J=9.6 Hz, 1H), 6.51 (s, 1H), 4.72~4.63 (m, 2H), 4.30~4.13 (m, 4H), 3.85 (s, 3H); 13C NMR (100 MHz, DMSO-d6) δ: 192.3, 166.4, 166.2, 151.2, 147.7, 144.5, 133.0, 131.3, 130.4, 129.9, 128.8, 128.5, 127.4, 125.6, 125.2, 124.0, 120.1, 115.7, 114.3, 107.9, 101.4, 66.3, 58.6, 56.4; HRMS calcd for C25H20BrN2O2 (M-H)- 475.0657, found 475.0708.
(E)-3-(8-Bromo-6H, 12H-5, 11-methanodibenzo[b, f]-[1, 5]diazocin-2-yl)-1-(2-hydroxy-5-methoxyphenyl)prop-2-en-1-one (2a3): Yellow solid, m.p. 196.7~198.2 ℃; 1H NMR (400 MHz, DMSO-d6) δ: 12.11 (s, 1H), 7.87 (d, J=11.2 Hz, 1H), 7.75 (s, 1H), 7.72 (d, J=8.0 Hz, 1H), 7.62 (s, 1H), 7.54 (s, 1H), 7.31 (d, J=8.4 Hz, 1H), 7.20 (s, 3H), 7.12 (d, J=8.4 Hz, 1H), 6.94 (d, J=8.8 Hz, 1H), 4.67 (t, J=16.0 Hz, 2H), 4.30~4.12 (m, 4H), 3.81 (s, 3H); 13C NMR (100 MHz, DMSO-d6) δ: 193.5, 156.5, 152.2, 151.4, 147.6, 145.3, 131.3, 130.4, 130.3, 129.9, 128.7, 127.4, 125.6, 124.2, 121.1, 120.9, 119.1, 115.7, 113.9, 66.3, 58.4, 56.4; HRMS calcd for C25H20BrN2O2 (M-H)- 475.0657, found 475.0682.
(2E, 2'E)-3, 3'-(6H, 12H-5, 11-methanodibenzo[b, f][1, 5]-diazocine-2, 8-diyl)bis(1-(2-hydroxy-5-methylphenyl)prop-2-en-1-one) (2b1): Yellow solid, m.p. 202.1~203.0 ℃; 1H NMR (400 MHz, (CD3)2CO) δ: 12.77 (s, 1H), 8.04 (s, 2H), 7.96 (s, 1H), 7.92 (s, 1H), 7.83 (s, 1H), 7.79 (s, 1H), 7.71 (d, J=8.4 Hz, 2H), 7.50 (s, 2H), 7.38 (d, J=8.8 Hz, 2H), 7.27 (d, J=8.4 Hz, 2H), 6.87 (d, J=8.4 Hz, 2H), 4.80 (d, J=16.4 Hz, 2H), 4.35 (d, J=19.2 Hz, 4H), 2.31 (s, 6H); 13C NMR (100 MHz, CDCl3) δ: 192.5, 159.1, 146.1, 136.0, 131.09, 129.7, 128.9, 128.4, 126.3, 123.5, 122.4, 112.5, 118.2, 111.3, 66.9, 58.7, 21.2; HRMS calcd for C35H29N2O4 (M-H)- 541.2127, found 541.2182.
(2E, 2'E)-3, 3'-(6H, 12H-5, 11-methanodibenzo[b, f][1, 5]-diazocine-2, 8-diyl)bis(1-(2-hydroxy-4-methoxyphenyl)-prop-2-en-1-one) (2b2): Yellow solid, m.p. 205.3~206.7 ℃; 1H NMR (400 MHz, DMSO-d6) δ: 13.51 (s, 2H), 8.24 (d, J=13.2 Hz, 2H), 7.86 (d, J=15.2 Hz, 2H), 7.74~7.64 (m, 4H), 7.56 (s, 2H), 7.25 (d, J=8.4 Hz, 1H), 7.21 (s, 1H), 6.58~6.53 (m, 2H), 6.50 (d, J=2.4 Hz, 2H), 4.75 (d, J=16.0 Hz, 2H), 4.35~4.23 (m, 4H), 3.84 (s, 6H); 13C NMR (100 MHz, (CD3)2CO) δ: 207.5, 192.74, 167.0, 166.7, 144.7, 130.7, 127.6, 126.2, 121.7, 114.9, 108.4, 98.1, 69.2, 66.6, 56.7; HRMS calcd for C35H29N2O6 (M-H)- 573.2026, found 573.2082.
(2E, 2'E)-3, 3'-(6H, 12H-5, 11-methanodibenzo[b, f][1, 5]-diazocine-2, 8-diyl)bis(1-(2-hydroxy-5-methoxyphenyl)-prop-2-en-1-one) (2b3): Yellow solid, m.p. 197.4~199.1 ℃; 1H NMR (400 MHz, DMSO) δ: 12.09 (s, 1H), 7.86 (d, J=15.2 Hz, 2H), 7.74 (d, J=7.2 Hz, 3H), 7.71 (s, 1H), 7.61 (d, J=2.8 Hz, 2H), 7.56 (s, 2H), 7.25 (d, J=8.2 Hz, 2H), 7.22 (d, J=2.8 Hz, 1H), 7.19 (d, J=2.8 Hz, 1H), 6.93 (d, J=8.8 Hz, 2H), 4.75 (d, J=16.4 Hz, 2H), 4.3~4.24 (m, 4H), 3.79 (d, J=8 Hz, 6H); 13C NMR (100 MHz, DMSO-d6) δ: 193.5, 156.5, 152.2, 151.4, 145.2, 130.2, 129.1, 128.7, 125.6, 124.1, 121.1, 120.8, 119.1, 113.9, 66.4, 58.6, 56.4; HRMS calcd for C35H29N2O6 (M-H)- 573.2026, found 573.2076.
(E)-4-(8-(4-(3-(2-Hydroxy-5-methylphenyl)-3-oxoprop-1-en-1-yl)phenyl)-6H, 12H-5, 11-methanodibenzo[b, f][1, 5]-diazocin-2-yl)benzaldehyde (2c): Yellow solid, m.p. 159.1~160.3 ℃; 1H NMR (400 MHz, DMSO) δ: 12.44 (s, 1H), 10.00 (s, 1H), 8.10 (s, 1H), 8.05 (s, 1H), 7.98~7.93 (m, 3H), 7.92 (s, 1H), 7.87 (s, 1H), 7.85~7.79 (m, 2H), 7.71 (s, 1H), 7.69 (s, 1H), 7.57 (d, J=8.4 Hz, 2H), 7.40 (s, 3H), 7.29~7.23 (m, 2H), 6.90 (d, J=8.4 Hz, 1H), 4.75 (d, J=16.8 Hz, 2H), 4.30 (d, J=20.8 Hz, 4H), 2.33 (s, 3H); 13C NMR (100 MHz, DMSO-d6) δ: 193.5, 192.6, 156.0, 149.6, 148.8, 148.3, 145.50, 144.3, 142.1, 137.2, 134.7, 134.3, 133.8, 133.1, 130.4, 130.1, 129.8, 128.8, 128.7, 128.0, 126.8, 126.6, 125.8, 125.7, 125.5, 125.4, 125.3, 125.2, 121.2, 120.2, 117.5, 58.2, 19.9; HRMS calcd for C38H29N2O4 (M-H)- 561.2178, found 561.2244.
(2E, 2'E)-3, 3'-((6H, 12H-5, 11-methanodibenzo[b, f][1, 5]-diazocine-2, 8-diyl)bis(4, 1-phenylene))bis(1-(2-hydroxy-5-methylphenyl)prop-2-en-1-one) (2d1): Yellow solid, m.p. 214.7~216.2 ℃; 1H NMR (400 MHz, DMSO-d6) δ: 12.43 (s, 2H), 8.11 (d, J=1.2 Hz, 2H), 8.08 (s, 1H), 8.05 (s, 1H), 7.97 (s, 2H), 7.95 (s, 2H), 7.88 (s, 1H), 7.84 (s, 1H), 7.70 (d, J=8.4 Hz, 4H), 7.57 (dd, J=8.4, 2.0 Hz, 2H), 7.42~7.37 (m, 4H), 7.26 (d, J=8.4 Hz, 2H), 6.91 (d, J=8.4 Hz, 2H), 4.76 (d, J=16.8 Hz, 2H), 4.36~4.26 (m, 4H), 2.32 (d, J=12.0 Hz, 6H); 13C NMR (100 MHz, DMSO-d6) δ: 192.6, 160.0, 148.3, 144.3, 142.1, 137.3, 134.6, 134.3, 133.1, 130.1, 129.8, 128.7, 128.0, 126.8, 126.6, 125.5, 121.2, 120.2, 117.5, 58.2, 19.9; HRMS calcd for C47H37N2O4 (M-H)- 693.2753, found 693.2824.
(2E, 2'E)-3, 3'-((6H, 12H-5, 11-methanodibenzo[b, f][1, 5]-diazocine-2, 8-diyl)bis(4, 1-phenylene))bis(1-(2-hydroxy-4- methoxyphenyl)prop-2-en-1-one) (2d2): Yellow solid, m.p. 195.2~196.5 ℃; 1H NMR (400 MHz, DMSO-d6) δ: 12.09 (s, 2H), 8.06 (s, 1H), 8.02 (s, 1H), 7.96 (d, J=8.0 Hz, 4H), 7.88 (s, 1H), 7.84 (s, 1H), 7.72~7.64 (m, 6H), 7.56 (d, J=8.4 Hz, 2H), 7.39 (s, 2H), 7.27~7.19 (m, 4H), 6.96 (d, J=8.8 Hz, 2H), 4.75 (d, J=16.8 Hz 2H), 4.36~4.26 (m, 4H), 3.81 (d, J=12.6 Hz, 6H); 13C NMR (100 MHz, DMSO-d6) δ: 193.1, 156.0, 151.7, 148.4, 144.3, 142.1, 134.3, 133.1, 129.9, 128.7, 126.6, 125.3, 124.0, 121.6, 120.6, 118.6, 113.2, 55.9, 30.6; HRMS calcd for C38H29N2O4 (M-H)- 725.2652, found 725.2688.
4.4 General produce for the synthesis of the TB- flavanones derivatives 3
2a (0.5 mmol) was dissolved in alcohol and sodium acetate (0.5 mmol) was added in. The mixture was refluxed for 24 h. The hot reaction mixture was poured into ice water (10 mL) to afford precipitation. The precipitation was filtered and washed with water (10 mL×2), dried under vacuum. Solvent was evaporated under reduced pressure, and the residue was chromatographed V(hexane):V(ethyl acetate=4:1) to afford pure TB-fla- vanones 3.
2-(8-Bromo-6H, 12H-5, 11-methanodibenzo[b, f][1, 5]dia-zocin-2-yl)-6-methylchroman-4-one (3a): Yellow solid, m.p. 91.2~93.2 ℃; 1H NMR (400 MHz, DMSO-d6) δ: 7.56 (d, J=1.6 Hz, 1H), 7.39 (dd, J=8.4, 2.0 Hz, 1H), 7.35~7.28 (m, 2H), 7.19 (d, J=2.0 Hz, 1H), 7.17~7.13 (m, 2H), 7.12~7.08 (m, 1H), 6.96~6.92 (m, 1H), 5.46 (dd, J=13.2, 2.8 Hz, 1H), 4.63 (t, J=15.6 Hz, 2H), 4.32~4.07 (m, 4H), 3.24~3.12 (m, 1H), 2.75~2.67 (m, 1H), 2.28 (s, 3H); 13C NMR (100 MHz, DMSO-d6) δ: 192.2, 159.7, 148.6, 147.9, 137.6, 134.5, 131.3, 130.8, 130.3, 129.9, 128.4, 127.5, 126.3, 126.1, 125.9, 125.3, 120.6, 118.3, 115.6, 79.1, 66.4, 58.6, 58.2, 43.7, 20.4; HRMS calcd for C25H22BrN2O2 (M+H)+ 461.0865, found 461.0834.
4.5 General produce for the synthesis of the TB-flavones derivatives 4
2a (0.5 mmol) was dissolved in DMSO (3 mL). The reaction mixture was stirred at 130 ℃ for 24 h. TLC [V(hexane):V(ethyl acetate)=2:1] indicated that the reaction was complete. The hot reaction mixture was poured into ice water (10 mL) and then filtered and the filter cake was washed with water (10 mL×2), dried in vacuum and flash chromatographed over silica gel. Elution with V(hexane):V(ethyl acetate)=4:1 afforded pure TB-flavones derivative 4.
2-(8-Bromo-6H, 12H-5, 11-methanodibenzo[b, f][1, 5]-diazocin-2-yl)-7-methoxy-4H-chromen-4-one (4a1): Yellow solid, m.p. 116.4~117.5 ℃; 1H NMR (400 MHz, CDCl3) δ: 7.90 (d, J=8.2 Hz, 1H), 7.49 (d, J=8.4Hz, 1H), 7.31 (dd, J=8.4, 2.0 Hz, 2H), 7.12 (dd, J=6.0, 2.8 Hz, 2H), 7.09 (d, J=4.8 Hz, 1H), 6.93 (d, J=8.4 Hz, 1H), 6.73 (d, J=2.8 Hz, 1H), 6.56 (d, J=7.2 Hz, 1H), 4.72 (t, J=18.0 Hz, 2H), 4.39~4.29 (m, 4H), 3.97 (s, 3H); 13C NMR (100 MHz, CDCl3) δ: 177.8, 165.8, 162.3, 153.4, 146.6, 144.9, 135.7, 127.8, 126.9, 126.2, 125.8, 123.9, 122.2, 121.9, 119.6, 117.3, 115.6, 113.3, 113.1, 103.8, 100.6, 66.70, 58.40, 58.10; HRMS calcd for C25H20BrN2O3 (M+H)+: 475.0657, found 475.0689.
2-(8-Bromo-6H, 12H-5, 11-methanodibenzo[b, f][1, 5]-diazocin-2-yl)-6-methoxy-4H-chromen-4-one (4a2): Yellow solid, m.p. 121.2~122.2 ℃; 1H NMR (400 MHz, DMSO-d6) δ: 7.88 (d, J=12.2 Hz, 1H), 7.78~7.69 (m, 2H), 7.41(d, J=6.8 Hz, 2H)7.30 (t, J=8.4 Hz, 2H), 7.21 (s, 1H), 7.12 (d, J=8.4 Hz, 1H), 6.88 (s, 1H), 4.76~4.64 (m, 2H), 4.30~4.19 (m, 4H), 3.86 (s, 3H); 13C NMR (100 MHz, CDCl3) δ: 179.5, 160.4, 156.2, 147.6, 147.5, 136.3, 135.7, 130.5, 127.6, 127.5, 127.1, 127.0, 125.1, 124.3, 120.0, 117.0, 114.9, 112.1, 107.5, 103.9, 66.9, 58.7, 58.1; HRMS calcd for C25H20BrN2O3 (M+H)+: 475.0657, found 475.0693.
Supporting Information The synthesis details, structure characterization and relative 1H NMR, 13C NMR and HR-MS data. The Supporting Information is available free of charge via the Internet at http://sioc-journal.cn/.
-
-
[1]
Tröger, J. J. Prakt. Chem. 1887, 36, 225. doi: 10.1002/prac.18870360123
-
[2]
Prelog, V.; Wieland, P. Helv. Chim. Acta 1944, 27, 1127. doi: 10.1002/hlca.194402701143
-
[3]
Spielman, M. A. J. Am. Chem. Soc. 1935, 57, 583. doi: 10.1021/ja01306a060
-
[4]
Wilen, S. H.; Qi, J. Z.; Williard, P. G. J. Org. Chem. 1991, 56, 485. doi: 10.1021/jo00002a002
-
[5]
Wilcox, C. S. Tetrahedron Lett. 1985, 26, 5749. doi: 10.1016/S0040-4039(00)98915-9
-
[6]
Harmata, M.; Onrayanil, K.; Barnes, C. L. Supramol. Chem. 2006, 18, 581. doi: 10.1080/10610270600853477
-
[7]
Sergeyev, S. Chim. Acta 2009, 92, 415. doi: 10.1002/hlca.v92:3
-
[8]
Dolensky, B.; Elguero, J.; Král, V.; Pardo, C.; Valík, M. Heterocycl. Chem. 2007, 93, 1.
-
[9]
Yuan, C. X.; Xin, Q.; Liu, H. J.; Wang, L.; Jiang, M. H.; Tao, X. T. Sci. China Chem. 2011, 54, 587.
-
[10]
Pardo, C.; Sesmilo, E.; Gutiérrez-Puebla, E.; Monge, A.; Elguero, J. J. Org. Chem. 2001, 66, 1607. doi: 10.1021/jo0010882
-
[11]
Bailly, C.; Laine, W.; Demeunynck, M.; Lhomme, J. Biochem. Bioph. Res. Commun. 2000, 273, 681. doi: 10.1006/bbrc.2000.2997
-
[12]
Marrero-Morejon, J.; Pardillo-Fontdevila, E.; Fernandez-Benitez, S. Chem. Commun. 1999, 161.
-
[13]
Veale, E. B.; Frimannsson, D. O.; Lawler, M.; Gunnlaugsson, T. Org. Lett. 2009, 11, 4040. doi: 10.1021/ol9013602
-
[14]
Johnson, R. A.; Gorman, R. R.; Wnuk, R. J.; Crittenden, N. J. J. Med. Chem. 1993, 36, 3202. doi: 10.1021/jm00073a023
-
[15]
Blaser, H. U.; Jalett, H. P.; Lottenbach, W.; Studer, M. J. Am. Chem. Soc. 2000, 122, 12675. doi: 10.1021/ja003259q
-
[16]
Taylor, L. P.; Grotewold, E. Plant Biol. 2005, 8, 317.
-
[17]
Pier-Giorgio P. J. Nat. Prod. 2000, 63, 1035. doi: 10.1021/np9904509
-
[18]
Bravo, L. Nutr. Rev. 1998, 56, 317. https://www.researchgate.net/publication/286422374_Influence_of_Postharvest_Storage_Processing_and_Extraction_Methods_on_the_Analysis_of_Phenolic_Phytochemicals
-
[19]
Yang, C. S. Nutrition 1999, 15, 946. doi: 10.1016/S0899-9007(99)00190-2
-
[20]
Sun, A. Y.; Simonyi, A.; Sun, G. Y. Free Radical Biol. Med. 2002, 32, 314. doi: 10.1016/S0891-5849(01)00803-6
-
[21]
Arts, I. C.; Hollman, P. C. J. Clin. Nutr. 2005, 81, 317S. doi: 10.1093/ajcn/81.1.317S
-
[22]
Scalbert, A.; Manach, C.; Morand, C.; Remesy, C.; Jimenez, L. Crit. Rev. Food Sci. Nutr. 2005, 45, 287. doi: 10.1080/1040869059096
-
[23]
Yuan, R.; Li, M. Q.; Xu, J. B.; Huang, S. Y.; Zhou, S. L.; Zhang, P.; Liu, J. -J.; Wu, H. Tetrahedron 2016, 72, 4081. doi: 10.1016/j.tet.2016.05.042
-
[24]
Chu, Y. H.; Wan, Y.; Liu, Z. T.; Qiu, F.; Han, X. E.; Wu, H. Tetrahedron Lett. 2015, 56, 7046. doi: 10.1016/j.tetlet.2015.11.024
-
[25]
Neogi, I.; Jhulki, S.; Ghosh, A.; Chow, T. J.; Moorthy, J. N. Org. Electron. 2014, 15, 3766. https://www.sciencedirect.com/science/article/pii/S1566119914004820
-
[26]
Solano, C.; Svensson, D.; Olomi, Z.; Jensen, J.; Wendt, O. F.; Wärnmark, K. Eur. J. Org. Chem. 2005, 16, 3510. doi: 10.1002/ejoc.200500213
-
[27]
Jensen, J.; Tejler, J.; Waernmark, K. J. Org. Chem. 2002, 67, 6008. doi: 10.1021/jo025823g
-
[28]
Safavi, M.; Esmati, N.; Ardestani, S. K.; Emami, S.; Ajdari, S.; Davoodi, J.; Shafiee, A.; Foroumadi, A. Eur. J. Med. Chem. 2012, 58, 573. doi: 10.1016/j.ejmech.2012.10.043
-
[29]
Mai, C. W.; Yaeghoobi, M.; Abd-Rahman, N.; Kang, Y. B.; Pichika, M. R. Eur. J. Med. Chem. 2014, 77, 378. doi: 10.1016/j.ejmech.2014.03.002
-
[1]
-
Scheme 1 Synthetic routines for compounds 1a~1c, TB-Br and TB-B(OH)2
Reagents and conditions: (a) TFA, (CH2O)n, -15~0 ℃, 6 d; (b) n-BuLi, V(THF):V(Et2O)=1:3, -78 ℃, 1.5 h; (c) DMF, -78 ℃ to r.t., 10 min; (d) n-BuLi, THF, -78 ℃, 1.5 h; (e) DMF, -78 ℃ to r.t., 2 min; (f) (CH3O)3B, -78 ℃ to r.t., 2 min; (g) p-iodobenzaldehyde, Pd(PPh3)4, 2 mol/L K2CO3, toluene, 110 ℃.
Table 1. Yield and melting point of TB-flavonoids
Compd. R R' Yield/% m.p./℃ 2a1 5-CH3 — 23 162.1~164.0 2a2 4-CH3O — 25 162.1~164.0 2a3 5-OCH3 — 27 196.7~198.2 2b1 5-CH3 5-CH3 25 202.1~203.0 2b2 4-CH3O 4-CH3O 28 205.3~206.7 2b3 5-CH3O 5-CH3O 30 197.4~199.1 2c 5-CH3 — 24 159.1~160.3 2d1 5-CH3 5-CH3 20 214.7~216.2 2d2 5-CH3O 5-CH3O 22 195.2~196.5 3a 5-CH3 — 15 91.2~93.2 4a1 4-CH3O — 14 116.4~117.5 4a2 5-CH3O — 15 121.2~122.2 Table 2. Inhibitory rate (%) of products on four bacterial strains (1 μg/mL)
Compd. Pseudomonas aeruginosa, PAM1032 Staphylococcus aureus Escherichia coli Escherichia coli-NMD-1 2a1 — 45.17 — — 2a2 — 49.28 — — 2a3 — 58.36 — — 2b1 — — — — 2b2 — — — — 2b3 — 33.30 — — 2c — — — — 2d1 — 44.26 — — 2d2 — — — — 3a — 41.80 — — 4a1 — 56.07 — — 4a2 — — 32.21 — AP — — — — KAN — 99.82 94.27 99.65 Meropenem — 100.00 96.24 — 1% DMSO — — — — Data less than 30% was showed as "—". Table 3. Inhibitory rate (%) of products on the apoptosis rate of HepG2 cells in different concentration
Compd. 5 μg/mL 25 μg/mL 50 μg/mL 2a1 23.61±1.59 83.33±1.67 90.41±1.27 2a2 18.46±1.12 82.23±1.61 86.54±2.29 2b1 11.10±1.24 46.98±1.00 88.07±3.20 3a 21.73±1.62 42.14±2.65 93.32±1.69 4a2 15.00±2.49 58.30±1.99 89.86±1.40 -
扫一扫看文章
计量
- PDF下载量: 6
- 文章访问数: 1087
- HTML全文浏览量: 94

下载:
下载:
下载: