Syntheses and fluorescent sensing properties of two coordination polymers based on 9, 9′-dihexyl-2, 7-di(pyridin-4-yl)fluorene

Gaofeng WANG Shuwen SUN Lixin Meng Dequn PENG

Citation:  Gaofeng WANG, Shuwen SUN, Lixin Meng, Dequn PENG. Syntheses and fluorescent sensing properties of two coordination polymers based on 9, 9′-dihexyl-2, 7-di(pyridin-4-yl)fluorene[J]. Chinese Journal of Inorganic Chemistry, 2026, 42(2): 331-339. doi: 10.11862/CJIC.20250260 shu

两种基于9, 9′-二己基-2, 7-二(4-吡啶基)芴的配位聚合物的合成和荧光传感性能

    通讯作者: 王高峰, wgf1979@126.com
    彭得群, pengdequn@ycu.edu.cn
  • 基金项目:

    山西省基础研究计划(自由探索类) 20210302123086

    运城学院应用研究项目 CY-2021010

    山西省教育科学"十四五"规划课题 SZ-21084

    山西省高等学校教学改革创新项目 J20220995

摘要: 在溶剂热条件下, 1, 4-萘二甲酸(H2ndc)和9, 9′-二己基-2, 7-二(4-吡啶基)芴(hfdp)分别与Co2+和Cd2+反应得到2种配位聚合物: {[Co(hfdp)(ndc)(H2O)]·DMA}n (1)和{[Cd(hfdp)(ndc)(H2O)]·DMA}n (2), 其中DMA=N, N-二甲基乙酰胺。单晶衍射结构分析表明, 配合物12都含有相似的结构单元, 拓扑分析显示二者均为{44·62}的平面结构。此外, 配合物12均表现出良好的热稳定性和荧光传感性能, 对2, 4, 6-三硝基苯酚(TNP)的检出限分别为0.107和0.327 μmol·L-1, 可作为高效的TNP荧光传感器。

English

  • The rational design of coordination polymers (CPs) remains a significant challenge in chemistry, which continues to attract considerable research interest. It stems not only from their fascinating topological varieties but also from their broad functional applications, including gas storage, chemical sensing, catalysis, and luminescent materials[1-7]. A common synthetic strategy for CPs involves combining polycarboxylic acids and multidentate N-donor auxiliary ligands. In such mixed-ligand systems, metal centers coordinate with both carboxylate oxygen atoms and nitrogen donors, leading to the formation of extended frameworks with unique topological features[1-7]. However, the final structural assembly is highly sensitive to various experimental factors, including reactant ratios, templating agents, temperature, solvent selection, and pH conditions.

    In line with our ongoing efforts to develop functional CPs[8-10], we report two new CPs using the mixed-ligand strategy in which 1, 4-naphthalenedicarboxylic acid (H2ndc) and 9, 9′-dihexyl-2, 7-di(pyridin-4-yl) fluorene (hfdp) (Scheme 1) were employed to construct {[M(hfdp)(ndc)(H2O)]·DMA}n systems, where M=Co (1), Cd (2), and DMA=N, N-dimethylacetamide. Single- crystal X-ray diffraction reveals the metal centers (Co2+/Cd2+) in 1 and 2 are bridged by ndc2- and hfdp ligands, forming 2D networks. Moreover, the fluorescent sensing properties of 1 and 2 have been studied in detail.

    Scheme 1

    Scheme 1.  Structure of H2ndc and hfdp

    Reagents and solvents were purchased from Aladdin Industrial Corporation (Shanghai, China) and used as received. Elemental analyses (EA) were performed on an Elementar Vario EL Ⅲ elemental analyzer. The infrared (IR) spectra were recorded on a Bruker Vector 22 spectrophotometer with KBr pellets in the 4 000-400 cm-1 region. The luminescence spectra were measured on a Hitachi F-4600 fluorescence spectrometer. UV-Vis spectra were recorded with an Agilent Cary5000 spectrophotometer. Thermogravimetric analyses (TGA) were carried out on a NETZSCH STA 449F3 unit at a heating rate of 10 ℃·min-1 under a nitrogen atmosphere. Powder X-ray diffraction data were measured on a Rigaku SmartLab 3 diffractometer with Cu radiation (λ=0.154 184 nm, 40 kV, 30 mA), and scans were run for each sample over a 2θ range of 3°-60°.

    A mixture of 9, 9′-dihexyl-2, 7-dibromofluorene (14.76 g, 30 mmol), 4-pyridineboronic acid (18 g, 146 mmol), anhydrous potassium carbonate (24 g, 174 mmol), Pd(PPh3)4 (240 mg), and 1, 4-dioxane/H2O (120 and 20 mL, respectively) was heated to 90 ℃ with stirring under an nitrogen atmosphere for 48 h. After evaporating the solvent, the slurry mud was collected and washed with H2O (400 mL). Slow evaporation from acetone/H2O (150 mL and 50 mL, respectively) yielded 9.80 g (66.8%) of pure hfdp as light yellow crystals. Anal. Calcd. for C35H40N2(%): C, 86.02; H, 8.25; N, 5.73. Found(%): C, 85.89; H, 8.19; N, 5.58. IR (cm-1): 3 456, 3 076, 3 024, 2 951, 2 924, 2 854, 1 589, 1 545, 1 462, 1 408, 1 373, 1 296, 1 254, 1 223, 1 142, 1 117, 1 066, 1 041, 999, 887, 800, 754, 708, 669, 611, 590, 561, 488, 442. 1H NMR (600 MHz, CDCl3): 8.71 (d, J=6.0 Hz, 4H), 7.86 (d, J=7.8 Hz, 2H), 7.69 (d, J=9.6 Hz, 2H), 7.65 (s, 2H), 7.62 (d, J=6.6 Hz, 4H), 1.27 (t, J=6.6 Hz, 4H), 1.04-1.15 (m, 12H), 0.77 (t, J=6.6 Hz, 6H), 0.68-0.73 (m, 4H).

    A mixture of Co(NO3)2·6H2O (0.04 mmol), hfdp (0.04 mmol), and H2ndc (0.04 mmol) in DMA/H2O (4 and 3 mL, respectively) was added in a 15 mL Teflon-lined stainless steel reactor and heated at 95 ℃ for a week, after which it was cooled to ambient temperature. Purple block crystals were obtained by filtration. Yield: 64% (based on hfdp). Anal. Calcd. for C51H57Co N3O6(%): C, 70.66; H, 6.63; N, 4.85. Found(%): C, 70.52; H, 6.50; N, 4.97. IR (cm-1): 3 445, 3 080, 3 041, 3 004, 2 954, 2 924, 2 870, 2 854, 1 637, 1 610, 1 551, 1 508, 1 465, 1 411, 1 350, 1 257, 1 220, 1 190, 1 159, 1 111, 1 068, 1 018, 908, 883, 825, 814, 791, 750, 719, 667, 627, 590, 565, 538, 498, 446.

    Preparation of complex 2 was similar to that of complex 1 except that Cd(NO3)2·4H2O (0.04 mmol) was used instead of Co(NO3)2·6H2O. Colorless block crystals were obtained by filtration. Yield: 55% (based on hfdp). Anal. Calcd. for C51H57CdN3O6(%): C, 66.55; H, 6.24; N, 4.57. Found(%): C, 66.36; H, 6.13; N, 4.72. IR (cm-1): 3 423, 3 225, 3 039, 2 955, 2 923, 2 850, 1 634, 1 609, 1 555, 1 510, 1 462, 1 402, 1 350, 1 257, 1 221, 1 153, 1 068, 1 014, 816, 791, 748, 717, 663, 625, 594, 563, 444.

    The diffraction data of complexes 1 and 2 were collected at 293(2) K on a Bruker Smart-1000 CCD diffractometer (Mo , λ=0.071 073 nm). Absorption corrections of 1 and 2 were applied using the program SADABS[11]. The structures were solved by Direct Methods[11] with the SHELXTL program (version 6.10)[11-12] and refined by full matrix least-squares techniques on F 2 with SHELXTL. All non-hydrogen atoms were refined anisotropically. The hydrogen atoms bonded to carbon atoms were fixed geometrically at calculated distances and allowed to ride on the parent atoms. The water hydrogen atoms were located in difference Fourier maps and refined with d(O—H)=0.085(2) nm and d(H…H)=0.135(2) nm distances as restraints. Crystallographic data and structure refinements for complexes 1 and 2 are presented in Table 1. Selected bond distances and angles for 1 and 2 are listed in Table 2.

    Table 1

    Table 1.  Crystallographic data and refinement parameters for complexes 1 and 2
    下载: 导出CSV
    Parameter 1 2
    Formula C51H57CoN3O6 C51H57CdN3O6
    Formula weight 873.39 920.41
    Crystal system Monoclinic Monoclinic
    Space group P21/c P21/c
    Crystal size / mm 0.26×0.22×0.20 0.28×0.25×0.22
    a / nm 1.322 12(8) 1.337 08(6)
    b / nm 2.744 10(11) 2.757 78(10)
    c / nm 1.550 98(13) 1.537 87(9)
    β / (°) 125.427(4) 124.099(3)
    V / nm3 4.585 2(5) 4.695 7(4)
    Dc / (g·cm-3) 1.265 1.302
    Z 4 4
    μ / mm-1 0.426 0.516
    F(000) 1 848 1 920
    Unique reflection 8 240 8 434
    Observed reflection [I > 2σ(I)] 6 848 7 036
    Number of parameters 552 552
    GOF 1.020 1.088
    Final R indices [I > 2σ(I)] R1=0.068 3, wR2=0.184 9 R1=0.048 9, wR2=0.126 3
    R indices (all data) R1=0.081 1, wR2=0.195 1 R1=0.060 7, wR2=0.136 3

    Table 2

    Table 2.  Selected bond lengths (nm) and bond angles (°) for complexes 1 and 2
    下载: 导出CSV
    1
    Co1—O1 0.208 4(2) Co1—O4#1 0.212 0(3) Co1—N2#2 0.215 9(3)
    Co1—O5 0.209 6(3) Co1—N1 0.214 4(3) Co1—O3#1 0.220 7(3)
    O1—Co1—O5 88.71(10) O1—Co1—O3#1 111.38(10) N1—Co1—N2#2 94.47(12)
    O1—Co1—O4#1 171.84(10) O5—Co1—N2#2 175.26(12) O5—Co1—O3#1 88.23(11)
    O1—Co1—N1 91.86(11) O4#1—Co1—N1 96.26(11) O4#1—Co1—O3#1 60.47(10)
    O1—Co1—N2#2 87.63(11) O4#1—Co1—N2#2 92.52(11) N1—Co1—O3#1 156.47(11)
    2
    Cd1—O1 0.22 54(3) Cd1—O3#2 0.229 9(3) Cd1—N2#1 0.234 4(3)
    Cd1—O5 0.228 9(3) Cd1—N1 0.232 8(3) Cd1—O4#2 0.237 5(3)
    O1—Cd1—O5 86.57(11) O1—Cd1—O4#2 114.81(11) N1—Cd—N2#1 92.58(12)
    O1—Cd1—O3#2 169.52(11) O3#2—Cd1—N1 98.42(11) N1—Cd1—O4#2 153.86(11)
    O1—Cd1—N1 91.33(12) O3#2—Cd1—N2#1 96.14(12) O5—Cd1—N2#1 173.59(12)
    O1—Cd1—N2#1 87.22(11) O3#2—Cd1—O4#2 55.56(10) O5—Cd1—O4#2 92.84(13)
    Symmetry codes: #1: -x, y+1/2, -z+3/2; #2: -x+2, y+1/2, -z+3/2 for 1; #1: -x, y+1/2, -z+3/2; #2: x-1, y-1, z for 2.

    Complexes 1 and 2 were successfully synthesized by reacting hfdp and H2ndc with Co(NO3)2 (or Cd(NO3)2) at 95 ℃ in moderate yields. However, other complexes could not be prepared when using metal nitrates such as manganese nitrate, nickel nitrate, zinc nitrate, and copper nitrate. For the IR spectra of 1 and 2, prominent and sharp peaks corresponding to the C—H stretching mode of the aryl groups appeared in a range of 3 000-3 100 cm-1. Bands observed in the region of 2 950-2 850 cm-1 can be attributed to the aliphatic C—H stretching vibration modes of the —CH2— group. Peaks at 1 634-1 637 cm-1 (asymmetric stretching) and 1 462-1 465 cm-1 (symmetric stretching) indicate the characteristic bands of the carboxylate groups in both complexes. The IR spectra and elemental analyses of 1 and 2 were consistent with the structural models obtained from single-crystal X-ray diffraction analyses.

    Single-crystal X-ray diffraction confirms that both 1 and 2 are isostructural frameworks with the monoclinic P21/c space group (Fig.1 and 2). Thus, only the structure of 1 is described herein in detail. As illustrated in Fig.1, complex 1 contains one Co2+ cation, one ndc2- anion, one hfdp ligand, one coordinated water molecule, and one lattice DMA molecule in its asymmetric unit. The Co1 center adopts a distorted octahedral coordination geometry, binding to two nitrogen atoms from distinct hfdp ligands and to four oxygen atoms supplied by two ndc2- ligands and one coordinated water molecule. The Co—N bond lengths are 0.214 4(3) and 0.215 9(3) nm, respectively, while Co—O distances range from 0.208 4(2) to 0.220 7(3) nm.

    Figure 1

    Figure 1.  (a) Coordination environments in complex 1; (b) Schematic representation of the nets with Schläfli symbol of {44·62}

    The hydrogen atoms bonded to carbon atoms and lattice DMA molecules are omitted for clarity; 30% ellipsoid probability; Symmetry codes: #1:-x, y+1/2, -z+3/2; #2:-x+2, y+1/2, -z+3/2.

    Figure 2

    Figure 2.  Coordination environments in complex 2

    The hydrogen atoms bonded to carbon atoms and lattice DMA molecules are omitted for clarity; 30% ellipsoid probability; Symmetry codes: #1:-x, y+1/2, -z+3/2; #2: x-1, y-1, z.

    In complex 1, each ndc2- anion adopts both μ1-η1η1 and μ1-η1η0 coordination modes, bridging two adjacent Co(Ⅱ) centers. This linkage extends the Co(Ⅱ) centers into a zigzag chain with a repeat distance of 1.079 4(4) nm and a Co…Co…Co angle of 172.90(4)°. Adjacent zigzag chains are interconnected by hfdp ligands, forming a 2D layered structure extending along the [102] direction (Fig.1). To understand the topology of the 2D layer, the Co(Ⅱ) centers can be defined as 4-connected nodes, while the ndc2- and hfdp ligands act as linkers. The structure of 1 can be described as a 2D topological network with Schläfli symbol {44·62} (Fig.1)[13].

    PXRD patterns of complexes 1 and 2 were measured at room temperature to confirm phase purity. For both complexes, the experimental patterns closely match those simulated from single-crystal diffraction data (Fig.S1 and S2, Supporting information), exhibiting only minor intensity discrepancies. The observed minor intensity variations are likely due to slight lattice solvent loss, confirming the high phase purity of the bulk materials[14].

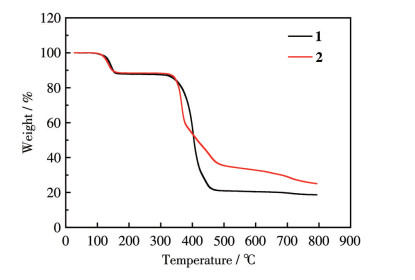
    To verify the thermal stabilities of the complexes, TGA of complexes 1 and 2 has been performed in a range of 30 to 800 ℃ with a heating rate of 10 ℃·min-1 under a N2 atmosphere (Fig.3). For 1, the framework remained stable up to 127 ℃, with no significant weight loss observed below this temperature. A weight loss of 12.06% (Calcd. 12.04%) occurred between 127 and 154 ℃, attributed to the release of free DMA molecules and coordinated water molecules. Further decomposition proceeded with a major weight loss of 54.11% between 376 and 416 ℃, corresponding to the degradation of hfdp ligands (Calcd. 55.96%). For 2, an initial weight loss of 11.98% (Calcd. 11.42%) was observed between 116 and 149 ℃, assigned to the loss of one DMA molecule and a coordinated water molecule per formula unit. Subsequent decomposition showed a weight loss of 52.11% between 348 and 477 ℃, corresponding to the collapse of the hfdp ligands (Calcd. 53.10%).

    Figure 3

    Figure 3.  TGA curves of complexes 1 and 2

    Since CPs with fluorene ligands generally exhibit significant luminescence properties, the photoluminescence behaviors of compounds 1, 2, H2ndc, and hfdp were investigated in DMF solution at room temperature[8-10]. As shown in Fig.4, the H2ndc ligand exhibited an emission maximum at 414 nm (λex=364 nm). The hfdp ligand displayed a fluorescence peak at 390 nm (λex=347 nm). The emission spectra of 1 and 2 showed intense peaks at 385 nm (λex=344 nm for 1, λex=339 nm for 2). Compared to the hfdp ligand, both complexes demonstrated blue-shifted emissions, with a hypsochromic shift of 5 nm. These luminescence behaviors of 1 and 2 may originate from nπ* or ππ* electronic transitions within the hfdp ligand upon coordination[10]. Notably, 1 and 2 exhibited significantly enhanced fluorescence intensity relative to the free ligands, attributed to metal-ligand coordination increasing ligand rigidity and reducing non-radiative energy loss.

    Figure 4

    Figure 4.  Fluorescence emission spectra of complexes 1, 2, and the ligands

    In view of their structural characteristics and favorable luminescence properties, complexes 1 and 2 were employed as fluorescent probes to detect various nitro-explosives, including 2, 4, 6-trinitrophenol (TNP), 4-nitrophenol (4-NP), 4-nitrotoluene (4-NT), 1, 2-dinitrobenzene (1, 2-DNB), 1, 3-dinitrobenzene (1, 3-DNB), and 1, 4-dinitrobenzene (1, 4-DNB) (Structural formulas of the six nitro-explosives tested are provided in Table S1.). Given that complexes 1 and 2 exhibit similar quenching effects towards nitro-explosives, complex 1 was selected for detailed elucidation.

    As depicted in Fig.5a, the fluorescence intensity of 1 was quenched to varying degrees upon the addition of different nitro-explosives. Upon addition of 50 μL of TNP solution, the emission intensity of 1 (2 mL) was quenched by nearly 96.38%. This quench efficiency was significantly higher than that observed for other nitro-explosives under identical conditions (59.76% for 1, 4-DNB, 57.91% for 4-NP, 14.06% for 1, 2-DNB, 12.20% for 1, 3-DNB, and 10.81% for 4-NT, Fig.S3). Anti-interference experiments further demonstrated the selectivity of 1 for TNP. As depicted in Fig.5b, the fluorescence of 1 was still quenched to a large extent after the concomitant addition of TNP and other nitro explosives at the same time, indicating its pronounced selectivity toward TNP under competitive conditions. Subsequent concentration titration experiments revealed a progressive decline in the fluorescence emission intensity of 1 with increasing TNP concentration (Fig.5c). The Stern-Volmer (S-V) equation (I0/I=1+KSVcTNP)[8-10] was applied to quantify the quenching efficiency, where I0 and I represent the fluorescence intensities of 1 before and after TNP addition, respectively, KSV is the quenching constant, and cTNP is the TNP concentration. A linear relationship between cTNP and I0/I was observed within the concentration range of 0-25 μmol·L-1 (Fig.5d). From the linear regression, a KSV of 7.05×104 L·mol-1 was determined. The limit of detection (LOD) for TNP was calculated to be 0.107 μmol·L-1 (at 3σ/k level, σ=standard deviation, k=slope, Fig.S5), comparing favorably with most reported values in the literature[5, 8-10, 15-25] (Table S2). The results indicate that complex 1 can function as an effective fluorescent probe for TNP detection.

    Figure 5

    Figure 5.  (a) Fluorescence intensity of 1 in the presence of different nitro-explosives; (b) Fluorescence intensity of 1 in the presence of other nitro-explosives and TNP; (c) Fluorescence spectra of 1 upon gradual addition of TNP solution (5 mmol·L-1); (d) S-V plot for 1 detecting TNP in DMF suspension at the low concentration (0-25 μmol·L-1); (e) Time-dependent fluorescence intensity for 1 detecting TNP; (f) Cyclic stability for 1 detecting TNP

    For practical application, response time and reusability are critical parameters. The fluorescence quenching of 1 occurred rapidly, within 30 s of TNP addition, and remained stable over the subsequent 240 s (Fig.5e). Reusability was assessed through cyclic experiments: after soaking in a TNP solution for several minutes, 1 was recovered by washing with deionized water followed by centrifugal filtration. The probe retained its sensing capability effectively for at least five cycles (Fig.5f). Therefore, complex 1 functioned as a rapid, selective, sensitive, and recyclable fluorescent sensor for TNP detection. Complex 2 exhibited similar properties, with a KSV of 4.99×104 L·mol-1 and LOD of 0.327 μmol·L-1 (at 3σ/k level) (Fig.6, S4, and S6).

    Figure 6

    Figure 6.  (a) Fluorescence intensity of 2 in the presence of different nitro-explosives; (b) Fluorescence intensity of 2 in the presence of other nitro-explosives and TNP; (c) Fluorescence spectra of 2 upon gradual addition of TNP solution (5 mmol·L-1); (d) S-V plot for 2 detecting TNP in DMF suspension at the low concentration (0-25 μmol·L-1); (e) Time-dependent fluorescence intensity for 2 detecting TNP; (f) Cyclic stability for 2 detecting TNP

    To elucidate the fluorescence quenching mechanisms of 1 and 2 induced by TNP, UV-Vis absorption spectra of TNP, and other nitroaromatic analytes (i.e., 4-NP, 1, 2-DNB, 1, 3-DNB, 1, 4-DNB, and 4-NT) were measured in DMF solution. As shown in Fig.7, a significant spectral overlap existed between the emission bands of the complex and the absorption bands of TNP. This overlap between the analyte (TNP) and the sensors (1 or 2) leads to competitive energy absorption, resulting in fluorescence quenching via an energy competition mechanism[10].

    Figure 7

    Figure 7.  Spectra overlap between the UV-Vis spectra of nitro-explosives and the emission spectra of 1 and 2 in DMF

    In this study, two coordination polymers, [Co(hfdp)(ndc)(H2O)]·DMA}n (1) and {[Cd(hfdp)(ndc)(H2O)]·DMA}n (2), were synthesized under solvothermal conditions. Their structures were confirmed by EA, IR, TGA, and single-crystal X-ray diffraction analyses. The results show that 1 and 2 exhibit identical coordination geometries, remarkable thermal stability, and good fluorescence properties. Both function as effective fluorescent sensors for TNP through luminescence quenching with high sensitivity and selectivity.

    Supporting information is available at http://www.wjhxxb.cn


    1. [1]

      DUTTA A, SINGH A, WANG X X, KUMAR A, LIU J Q. Luminescent sensing of nitroaromatics by crystalline porous materials[J]. CrystEngComm, 2020, 22(45): 7736-7781 doi: 10.1039/D0CE01087A

    2. [2]

      YANG J, HUANG Z X, XIA G H, RHIM J W, ZHANG W L. Recent trends in the application of MOFs for quality management and safety monitoring of postharvest fruits and vegetables[J]. Coord. Chem. Rev., 2025, 544: 216973 doi: 10.1016/j.ccr.2025.216973

    3. [3]

      LI J, LIN G, LIANG H, WANG S X, HU T, LI S W, ZHANG L B. Recent advances in the synthesis of MOF-based composites for heavy-metal ion adsorption[J]. Coord. Chem. Rev., 2025, 545: 217010 doi: 10.1016/j.ccr.2025.217010

    4. [4]

      ZHAO Z H, HUANG J R, LIAO P Q, CHEN X M. Highly efficient electroreduction of CO2 to ethanol via asymmetric C—C coupling by a metal-organic framework with heterodimetal dual sites[J]. J. Am. Chem. Soc., 2023, 145(30): 26783-26790

    5. [5]

      NAGARKAR S S, DESAI A V, SAMANTA P, GHOSH S K. Aqueous phase selective detection of 2, 4, 6-trinitrophenol using a fluorescent metal-organic framework with a pendant recognition site[J]. Dalton Trans., 2015, 44(34): 15175-15180 doi: 10.1039/C5DT00397K

    6. [6]

      MU Y J, RAN Y G, ZHANG B B, DU J L, JIANG C Y, DU J. Dicarboxylate ligands modulated structural diversity in the construction of Cd(Ⅱ) coordination polymers built from N-heterocyclic ligand: Synthesis, structures, and luminescent sensing[J]. Cryst. Growth Des. 2020, 20(9): 6030-6043 doi: 10.1021/acs.cgd.0c00739

    7. [7]

      SUN N N, SHAH S S A, LIN Z Y, ZHENG Y Z. JIAO L, JIANG H L. MOF-based electrocatalysts: An overview from the perspective of structural design[J]. Chem. Rev. 2025, 125(5): 2703-2792 doi: 10.1021/acs.chemrev.4c00664

    8. [8]

      王高峰, 孙述文, 宋少飞, 吕玫. 一种镉基配位聚合物的合成及其对2, 4, 6-三硝基苯酚的荧光识别[J]. 无机化学学报, 2023, 39(12): 2407-2414WANG G F, SUN S W, SONG S F, LÜ M. Synthesis of a Cd(Ⅱ)-based coordination polymer for luminescence detecting 2, 4, 6-trinitrophenol[J]. Chinese J. Inorg. Chem., 2023, 39(12): 2407-2414

    9. [9]

      孙述文, 王高峰. 一种痕量监测2, 4, 6-三硝基苯酚的锌基配位聚合物荧光探针的构筑[J]. 无机化学学报, 2025, 41(4): 753-760SUN S W, WANG G F. Design and synthesis of a Zn-based coordination polymer as a fluorescent probe for trace monitoring 2, 4, 6-trinitrophenol[J]. Chinese J. Inorg. Chem., 2025, 41(4): 753-760

    10. [10]

      王高峰, 孙述文, 杨海英, 王叶. 2, 7-双(4-吡啶基)-9, 9-二甲基芴的锌配位聚合物合成及其对2, 4, 6-三硝基苯酚的荧光传感研究[J]. 分析科学学报, 2024, 40(6): 648-654WANG G F, SUN S W, YANG H Y, WANG Y. A fluorescent zinc-based coordination polymer constructed by 4, 4′-(9, 9-dimethyl-9H-fluorene-2, 7-diyl)dipyridine with sensitive sensing property for 2, 4, 6-trinitrophenol[J]. Journal of Analytical Science, 2024, 40(6): 648-654

    11. [11]

      SHELDRICK G M. SHELXL 2014/7, Program for crystal structure refinement[CP]. University of Göttingen, Germany, 2014.

    12. [12]

      SHELDRICK G M. A short history of SHELX[J]. Acta Crystallogr. Sect. A, 2008, A64: 112-122

    13. [13]

      BLATOV V A. Multipurpose crystallochemical analysis with the program package TOPOS[J]. IUCr CompComm Newsletter, 2006, 7: 4-38

    14. [14]

      LIANG Q F, ZHENG H W, YANG D D, ZHENG X J. Zn(Ⅱ) complexes based on a Schiff base: Mechanochromism- and solvent molecule-dependent acidochromism[J]. Cryst. Growth Des. 2022, 22(6): 3924-3931 doi: 10.1021/acs.cgd.2c00320

    15. [15]

      徐涵, 潘兆瑞, 亓昭鹏, 孙洁. 基于V型配体的三个荧光Zn-MOF对水溶液中2, 4, 6-三硝基苯酚和Fe3+的荧光传感[J]. 无机化学学报, 2022, 38(12): 2479-2490XU H, PAN Z R, QI Z P, SUN J. Three luminescent Zn-MOFs based on V-shaped ligands for fluorescence sensing of 2, 4, 6-trinitrophenol and Fe3+ in aqueous solution[J]. Chinese J. Inorg. Chem., 2022, 38(12): 2479-2490

    16. [16]

      ZHANG J F, WU J J, GONG L P, FENG J Y, ZHANG C. Water- stable luminescent Zn(Ⅱ) metal-organic framework as rare multifunctional sensor for Cr􀃱 and TNP[J]. ChemistrySelect, 2017, 2(24): 7465-7473 doi: 10.1002/slct.201701253

    17. [17]

      ZHANG J F, WU J J, TANG G D, FENG J Y, LUO F M, XU B, ZHANG C. Multiresponsive water-stable luminescent Cd coordination polymer for detection of TNP and Cu2+[J]. Sens. Actuator B‒Chem., 2018, 272: 166-174 doi: 10.1016/j.snb.2018.05.121

    18. [18]

      WANG J, WU X R, LIU J Q, LI B H, SINGH A, KUMAR A, BATTEN S R. An uncommon (5, 5)-connected 3D metal organic material for selective and sensitive sensing of nitroaromatics and ferric ion: Experimental studies and theoretical analysis[J]. CrystEngComm, 2017, 19(25): 3519-3525 doi: 10.1039/C7CE00912G

    19. [19]

      HE H M, CHEN S H, ZHANG D Y, YAN E C, ZHAO X J. A luminescent metal-organic framework as an ideal chemosensor for nitroaromatic compounds[J]. RSC Adv., 2017, 7(62): 38871-38876 doi: 10.1039/C7RA06320B

    20. [20]

      HE H M, SONG Y, SUN F X, BIAN Z, GAO L X, ZHU G S. A porous metal-organic framework formed by a V-shaped ligand and Zn(Ⅱ) ion with highly selective sensing for nitroaromatic explosives[J]. J. Mater. Chem. A, 2015, 3(32): 16598-16603 doi: 10.1039/C5TA03537F

    21. [21]

      DENG Y J, CHEN N J, LI Q Y, WU X J, HUANG X L, LIN Z H, ZHAO Y G. Highly fluorescent metal-organic frameworks based on a benzene-cored tetraphenylethene derivative with the ability to detect 2, 4, 6-trinitrophenol in water[J]. Cryst. Growth Des., 2017, 17(6): 3170-3177 doi: 10.1021/acs.cgd.7b00131

    22. [22]

      PARMAR B, RACHURI Y, BISHT K K, SURESH E. Syntheses and structural analyses of new 3D isostructural Zn(Ⅱ) and Cd(Ⅱ) luminescent MOFs and their application towards detection of nitroaromatics in aqueous media[J]. ChemistrySelect, 2016, 1(19): 6308-6315 doi: 10.1002/slct.201601134

    23. [23]

      YANG Y, SHEN K, LIN J Z, ZHOU Y, LIU Q Y, HANG C, ABDELHAMID H N, ZHANG Z Q, CHEN H. A Zn-MOF constructed from electron-rich π-conjugated ligands with an interpenetrated graphene-like net as an efficient nitroaromatic sensor[J]. RSC Adv., 2016, 6(51): 45475-45481 doi: 10.1039/C6RA00524A

    24. [24]

      RACHURI Y, PARMAR B, BISHTA K K, SURESH E. Mixed ligand two dimensional Cd(Ⅱ)/Ni(Ⅱ) metal organic frameworks containing dicarboxylate and tripodal N-donor ligands: Cd(Ⅱ) MOF is an efficient luminescent sensor for detection of picric acid in aqueous media[J]. Dalton Trans., 2016, 45(18): 7881-7892 doi: 10.1039/C6DT00753H

    25. [25]

      SONG X Z, SONG S Y, ZHAO S N, HAO Z M, ZHU M, MENG X, WU L L, ZHANG H J. Single-crystal-to-single-crystal transformation of a europium(Ⅲ) metal-organic framework producing a multi- responsive luminescent sensor[J]. Adv. Funct. Mater., 2014, 24(26): 4034-4041 doi: 10.1002/adfm.201303986

  • Scheme 1  Structure of H2ndc and hfdp

    Figure 1  (a) Coordination environments in complex 1; (b) Schematic representation of the nets with Schläfli symbol of {44·62}

    The hydrogen atoms bonded to carbon atoms and lattice DMA molecules are omitted for clarity; 30% ellipsoid probability; Symmetry codes: #1:-x, y+1/2, -z+3/2; #2:-x+2, y+1/2, -z+3/2.

    Figure 2  Coordination environments in complex 2

    The hydrogen atoms bonded to carbon atoms and lattice DMA molecules are omitted for clarity; 30% ellipsoid probability; Symmetry codes: #1:-x, y+1/2, -z+3/2; #2: x-1, y-1, z.

    Figure 3  TGA curves of complexes 1 and 2

    Figure 4  Fluorescence emission spectra of complexes 1, 2, and the ligands

    Figure 5  (a) Fluorescence intensity of 1 in the presence of different nitro-explosives; (b) Fluorescence intensity of 1 in the presence of other nitro-explosives and TNP; (c) Fluorescence spectra of 1 upon gradual addition of TNP solution (5 mmol·L-1); (d) S-V plot for 1 detecting TNP in DMF suspension at the low concentration (0-25 μmol·L-1); (e) Time-dependent fluorescence intensity for 1 detecting TNP; (f) Cyclic stability for 1 detecting TNP

    Figure 6  (a) Fluorescence intensity of 2 in the presence of different nitro-explosives; (b) Fluorescence intensity of 2 in the presence of other nitro-explosives and TNP; (c) Fluorescence spectra of 2 upon gradual addition of TNP solution (5 mmol·L-1); (d) S-V plot for 2 detecting TNP in DMF suspension at the low concentration (0-25 μmol·L-1); (e) Time-dependent fluorescence intensity for 2 detecting TNP; (f) Cyclic stability for 2 detecting TNP

    Figure 7  Spectra overlap between the UV-Vis spectra of nitro-explosives and the emission spectra of 1 and 2 in DMF

    Table 1.  Crystallographic data and refinement parameters for complexes 1 and 2

    Parameter 1 2
    Formula C51H57CoN3O6 C51H57CdN3O6
    Formula weight 873.39 920.41
    Crystal system Monoclinic Monoclinic
    Space group P21/c P21/c
    Crystal size / mm 0.26×0.22×0.20 0.28×0.25×0.22
    a / nm 1.322 12(8) 1.337 08(6)
    b / nm 2.744 10(11) 2.757 78(10)
    c / nm 1.550 98(13) 1.537 87(9)
    β / (°) 125.427(4) 124.099(3)
    V / nm3 4.585 2(5) 4.695 7(4)
    Dc / (g·cm-3) 1.265 1.302
    Z 4 4
    μ / mm-1 0.426 0.516
    F(000) 1 848 1 920
    Unique reflection 8 240 8 434
    Observed reflection [I > 2σ(I)] 6 848 7 036
    Number of parameters 552 552
    GOF 1.020 1.088
    Final R indices [I > 2σ(I)] R1=0.068 3, wR2=0.184 9 R1=0.048 9, wR2=0.126 3
    R indices (all data) R1=0.081 1, wR2=0.195 1 R1=0.060 7, wR2=0.136 3
    下载: 导出CSV

    Table 2.  Selected bond lengths (nm) and bond angles (°) for complexes 1 and 2

    1
    Co1—O1 0.208 4(2) Co1—O4#1 0.212 0(3) Co1—N2#2 0.215 9(3)
    Co1—O5 0.209 6(3) Co1—N1 0.214 4(3) Co1—O3#1 0.220 7(3)
    O1—Co1—O5 88.71(10) O1—Co1—O3#1 111.38(10) N1—Co1—N2#2 94.47(12)
    O1—Co1—O4#1 171.84(10) O5—Co1—N2#2 175.26(12) O5—Co1—O3#1 88.23(11)
    O1—Co1—N1 91.86(11) O4#1—Co1—N1 96.26(11) O4#1—Co1—O3#1 60.47(10)
    O1—Co1—N2#2 87.63(11) O4#1—Co1—N2#2 92.52(11) N1—Co1—O3#1 156.47(11)
    2
    Cd1—O1 0.22 54(3) Cd1—O3#2 0.229 9(3) Cd1—N2#1 0.234 4(3)
    Cd1—O5 0.228 9(3) Cd1—N1 0.232 8(3) Cd1—O4#2 0.237 5(3)
    O1—Cd1—O5 86.57(11) O1—Cd1—O4#2 114.81(11) N1—Cd—N2#1 92.58(12)
    O1—Cd1—O3#2 169.52(11) O3#2—Cd1—N1 98.42(11) N1—Cd1—O4#2 153.86(11)
    O1—Cd1—N1 91.33(12) O3#2—Cd1—N2#1 96.14(12) O5—Cd1—N2#1 173.59(12)
    O1—Cd1—N2#1 87.22(11) O3#2—Cd1—O4#2 55.56(10) O5—Cd1—O4#2 92.84(13)
    Symmetry codes: #1: -x, y+1/2, -z+3/2; #2: -x+2, y+1/2, -z+3/2 for 1; #1: -x, y+1/2, -z+3/2; #2: x-1, y-1, z for 2.
    下载: 导出CSV
  • 加载中
计量
  • PDF下载量:  0
  • 文章访问数:  317
  • HTML全文浏览量:  22
文章相关
  • 发布日期:  2026-02-10
  • 收稿日期:  2025-08-08
  • 修回日期:  2025-11-03
通讯作者: 陈斌, bchen63@163.com
  • 1. 

    沈阳化工大学材料科学与工程学院 沈阳 110142

  1. 本站搜索
  2. 百度学术搜索
  3. 万方数据库搜索
  4. CNKI搜索

/

返回文章