含噻唑基团二铁配合物的合成、表征、电催化质子还原与抗菌活性
English
Synthesis, structural characterization, electrocatalytic proton reduction, and fungicidal activity of thiazole-containing di-iron complexes
-
Key words:
- thiazole
- / di-iron complex
- / crystal structure
- / electrocatalytic proton reduction
- / fungicidal activity
-
Due to the serious environmental problems caused by the widespread utilization of fossil fuels in the past centuries, the development of new energy sources has become more and more important. Among these new energy sources, H2 is considered the best candidate to replace fossil fuels in the future because of its sustainability[1]. Although Pt-based catalysts have exhibited a good efficiency in producing H2 under the photochemical conditions[2], their scarcity and expense hinder their development. It is well-known that Fe is one of the most abundant metals on the earth; however, Fe-based catalysts displayed low efficiency in producing H2 under the photochemical and electrochemical conditions[3-6]. On the other hand, [FeFe]-H2ases are a type of natural enzyme that can reversibly convert protons to H2 in nature with a turnover frequency (TOF) of 6 000-9 000 s-1[7-8]. The structure of the active site of [FeFe]-H2ases was established by X-ray crystallography, showing that a di-iron core ligated by a bridged dithiolate, carbonyls, cyanides, and a cysteinyl ligand[9-10]. The elucidation of the active site of [FeFe]-H2ases has inspired chemists to design and synthesize a library of analogues as the biomimics for producing H2[11-16].
Thiazole-containing heterocyclic compounds have attracted great concern due to their various biological activities. For example, sulfonamide-containing thiazole derivatives exhibited insecticidal activity against the cotton leafworm, Spodoptera littoralis[17]. Thiazole-containing compounds exhibited antibacterial activity against Methicillin-Resistant Staphylococcus aureus[18]. Thiazole carboxamides exhibited fungicidal activity as succinate dehydrogenase inhibitors[19]. N-(5-(3, 5-Methoxyphenyl)-(thiazole-2-yl))phenoxyacetamide derivatives exhibited herbicidal activity[20].
In this study, we combined the [FeFe]-H2ases active site with a thiazole moiety to design a new hybrid that will present potential application in electrochemical proton reduction as well as some biological activities. Herein, this contribution will describe the synthesis, structural characterization, X-ray crystal structures, electrocatalytic proton reduction, and fungicidal activity of three di-ion complexes with a thiazole moiety as the biomimics for the [FeFe]-H2ases active site.
1. Experimental
1.1 Materials and methods
Tri(p-tolyl)phosphine (tp), tris(4-fluorophenyl)phosphine (fp), 4-methylthiazole-5-carboxylic acid, 4-dimethylaminopyridine (DMAP), N, N′-dicyclohexylcarbodiimide (DCC), and Me3NO·2H2O were available commercially and used as received. Complex [Fe2(CO)6(μ-SCH2CH(CH2OH)S)] (1) was synthesized by the literature procedure[21]. IR spectra were measured on a Nicolet 6700 FT-IR spectrometer. NMR spectra were analyzed by a Bruker Avance 500 MHz spectrometer. Elemental analyses were conducted on an Elementar vario EL cube analyzer. X-ray photoelectron spectroscopy (XPS) analyses were performed by a Thermo Scientific K-Alpha. Cyclic voltammograms were tested using a CHI 660E Electrochemical workstation.
1.2 Synthesis of complex [Fe2(CO)6(μ-tedt)]
To a mixture of complex 1 (0.402 g, 1 mmol), DMAP (0.048 g, 0.4 mmol), and 4-methylthiazole-5-carboxylic acid (0.172 g, 1.2 mmol) in CH2Cl2 (30 mL), DCC (0.309 g, 1.5 mmol) was added. The solution was stirred overnight, and the volatiles were reduced on a rotary evaporator. Complex [Fe2(CO)6(μ-tedt)] (2) (tedt=SCH2CH(CH2OOC(5-C3HNSCH3))S) was obtained by TLC with CH2Cl2/petroleum ether (3∶1, V/V) as the eluent. Yield: 0.481 g (91%). IR (KBr disk, cm-1): νC≡O 2 076 (vs), 2 038 (vs), 2 011 (sh), 1 991 (vs), 1 973 (sh); νC=O 1 716 (s). 1H NMR (500 MHz, CDCl3): δ 8.81 (s, 1H, CH=N), 4.23-4.13 (m, 2H, OCH2), 3.04-2.99 (m, 1H, SCH), 2.79 (s, 3H, CH3), 2.72 (dd, J=7.7, 13.2 Hz, 1H, SCH2), 1.98 (dd, J=5.2, 13.2 Hz, 1H, SCH2). Anal. Calcd. for C14H9Fe2NO8S3(%): C, 31.90; H, 1.72; N, 2.66. Found(%): C, 31.90; H, 2.04; N, 2.61.
1.3 Syntheses of complexes [Fe2(CO)5(tp)(μ-tedt)] and [Fe2(CO)5(fp)(μ-tedt)]
A solution of Me3NO·2H2O (0.017 g, 0.15 mmol) in MeCN (3 mL) was added to a mixture of complex 2 (0.079 g, 0.15 mmol) and tp (0.046 g, 0.15 mmol) or fp (0.047 g, 0.15 mmol) in CH2Cl2 (5 mL). The mixture was stirred for 1 h, and the solvents were reduced on a rotary evaporator. Complexes [Fe2(CO)5(tp)(μ-tedt)] (3) and [Fe2(CO)5(fp)(μ-tedt)] (4) were obtained by TLC using CH2Cl2/petroleum ether (3∶1, V/V) as the eluent.
Complex 3: red solid, yield 0.105 g (87%). IR (KBr disk, cm-1): νC≡O 2 045 (vs), 1 979 (vs), 1 934 (s); νC=O 1 719 (m). 1H NMR (500 MHz, CDCl3): δ 8.82 (s, 1H, CH=N), 7.45 (t, J=9 Hz, 6H, PhH), 7.18 (d, J=7 Hz, 6H, PhH), 4.03-3.88 (m, 2H, OCH2), 2.72 (s, 3H, CH3), 2.35 (s, 9H, 3PhCH3), 1.88-1.85 (m, 1H, SCH), 1.35-1.26 (m, 2H, SCH2). 31P{1H} NMR (200 MHz, CDCl3, 85% H3PO4): δ 60.26 (s). Anal. Calcd. for C34H30Fe2NO7PS3(%): C, 50.83; H, 3.76; N, 1.74. Found(%): C, 50.32; H, 3.86; N, 1.46.
Complex 4: red solid, yield 0.112 g (92%). IR (KBr disk, cm-1): νC≡O 2 045 (vs), 1 994 (vs), 1 975 (vs), 1 939 (s); νC=O 1 717 (m). 1H NMR (500 MHz, CDCl3): δ 8.86 (br, 1H, CH=N), 7.56-7.51 (m, 6H, PhH), 7.12 (t, J=8.2 Hz, 6H, PhH), 4.02-3.91 (m, 2H, OCH2), 2.72 (s, 3H, CH3), 1.87 (s, 1H, SCH), 1.42 (d, J=6 Hz, 2H, SCH2). 31P{1H} NMR (200 MHz, CDCl3, 85% H3PO4): δ 61.16 (s). 19F {1H} NMR (470 MHz, CDCl3, CF3COOH): δ -108.36 (s). Anal. Calcd. for C31H21F3Fe2NO7PS3(%): C, 45.67; H, 2.60; N, 1.72. Found(%): C, 45.03; H, 2.97; N, 1.51.
1.4 X-ray crystallography
A single crystal was mounted on a Bruker D8 QUEST diffractometer. Data were collected at 296 K by using a graphite-monochromatic with Mo Kα radiation (λ=0.071 073 nm) in the ω-φ scan mode. Using OLEX2, the structures were solved by direct methods using the SHELXS program and refined by full-matrix least-squares techniques SHELXL on F 2. Hydrogen atoms were located using the geometric method. Non-hydrogen atoms were refined with anisotropic thermal parameters. Details of crystal data, data collections, and structure refinements are listed in Table 1.
Table 1
Parameter 2 3 4 Empirical formula C14H9Fe2NO8S3 C34H30Fe2NO7PS3 C31H21F3Fe2NO7PS3 Formula weight 527.10 803.44 815.34 Crystal system Monoclinic Monoclinic Triclinic Space group C2/c P21/n P1 a / nm 2.372 58(11) 1.442 02(8) 0.911 30(7) b / nm 1.331 61(6) 1.692 20(9) 1.215 14(9) c / nm 1.722 52(14) 1.622 73(9) 1.659 15(12) α / (°) 87.886(2) β / (°) 131.968 0(10) 110.600(2) 79.748(2) γ / (°) 68.474(2) V / nm3 4.046 3(4) 3.706 6(4) 1.681 0(2) Z 8 4 2 Dc / (g·cm-3) 1.731 1.440 1.611 μ / mm-1 1.784 1.041 1.161 F(000) 2 112.0 1 648.0 824.0 Crystal size / mm 0.44×0.34×0.22 0.26×0.22×0.16 0.36×0.24×0.12 2θ range / (°) 5.96-50.874 4.69-50.19 4.32-50.098 h, k, l ranges -28 ≤ h ≤ 27,
-15 ≤ k ≤ 16,
-20 ≤ l ≤ 20-17 ≤ h ≤ 17,
-20 ≤ k ≤ 20,
-19 ≤ l ≤ 18-10 ≤ h ≤ 10,
-14 ≤ k ≤ 14,
-19 ≤ l ≤ 19Reflection collected 40 530 80 995 41 544 Observed reflection 3 196 4 517 4 311 Independent reflection 3 721 (Rint=0.044 1) 6 581 (Rint=0.096 0) 5 939 (Rint=0.060 2) Data, number of restraints, number of parameters 3 721, 1, 254 6 581, 65, 436 5 939, 1, 416 Goodness of fit on F 2 1.062 1.054 1.059 Final R indexes [I>2σ(I)] R1=0.029 2, wR2=0.070 0 R1=0.077 8, wR2=0.208 3 R1=0.070 1, wR2=0.182 7 Final R indexes (all data) R1=0.036 9, wR2=0.073 8 R1=0.117 7, wR2=0.233 1 R1=0.103 3, wR2=0.202 4 Largest diff. peak and hole / (e·nm-3) 425, -460 1 159, -1 043 1 963, -754 1.5 Fungicidal activity
Complexes 2-4 were studied by in vitro fungicidal activity against ten fungi at a mass fraction of 0.005% using the mycelial growth rate method[22]. In comparison with the blank assay, the inhibition rate (R) was calculated by the following equation: R=(dCK-dAI)/dCK×100%, where dCK is the average diameter of mycelia for the blank assay, and dAI is the average diameter of mycelia when the complexes are added. Each experiment was repeated three times.
2. Results and discussion
2.1 Synthesis and characterization
Reaction of the hydroxy-containing starting material 1 with 4-methylthiazole-5-carboxylic acid in the presence of DCC and DMAP gave the ester product 2 in a good yield. Further treatment of complex 2 with tri(p-tolyl)phosphine or tris(4-fluorophenyl)phosphine and Me3NO·2H2O as the decarbonylating agent gave the corresponding derivatives 3 and 4 in good yields. The mechanism for the synthesis of the derivatives 3 and 4 involves the removal of one CO of complex 2 by the decarbonylating agent Me3NO·2H2O to generate an intermediate species [Fe2(CO)5(L)] (L=MeCN or Me3N) and CO2, followed by the coordination of the phosphine ligand to form the product. The structures of the newly prepared complexes were elucidated by various methods, including elemental analysis, NMR, and IR spectroscopy. In the IR spectrum of complex 2, five absorption bands ranging from 2 076 to 1 973 cm-1 were found for the stretching vibrations of the terminal carbonyls C≡O, close to the hexacarbonyl di-iron analogues[23-24]. In the IR spectra of complexes 3 and 4, three or four absorption bands ranging from 2 045 to 1 934 cm-1 were found for the stretching vibrations of the terminal carbonyls C≡O, moving to lower frequencies with respect to those of complex 2 because the phosphine ligands tri(p-tolyl)phosphine and tris(4-fluorophenyl)phosphine are better electron donor than CO[25]. The 31P NMR spectra of complexes 3 and 4 displayed a single resonance at ca. δ 61, which can be assigned to the coordinated phosphine ligands, in accord with phosphine-containing di-iron analogues[26-28].
2.2 X-ray crystallography
The structures of three complexes were further identified by X-ray crystallography. The molecular structures, drawn as thermal ellipsoids at a 30% probability, are shown in Fig.1, and the selected bond parameters are listed in Table 2. Complexes 2 and 3 crystallize in monoclinic space groups C2/c and P21/n, respectively, whereas complex 4 crystallizes in triclinic space group P1. All the complexes consist of a di-iron core ligated by a bridged dithiolate, which is linked with a thiazole moiety through an ester group and six terminal carbonyls or five terminal carbonyls and a phosphine ligand. The occupation of the phosphine ligands in complexes 3 and 4 is apical to the distorted octahedral arrangement of the Fe2 atom, in agreement with the similar analogues[29-30]. The Fe1—Fe2 bond distances of complexes 3 [0.250 48(13) nm] and 4 [0.250 65(12) nm] are slightly longer than that of complex 2 [0.250 17(5) nm], possibly due to the electronic effect of the phosphine ligand, but much shorter than those of diphosphine-chelated analogues[31-32] as well as natural [FeFe]-H2ases[9-10]. It is noteworthy that the methyl carbon C12 attached to the thiazole ring in complex 3 is disordered over two sites, with an occupancy of 0.57(2).
Figure 1
Table 2
Bond 2 3 4 Fe1—Fe2 0.250 17(5) 0.250 48(13) 0.250 65(12) Fe1—S1 0.223 69(7) 0.224 66(18) 0.224 87(18) Fe1—S2 0.224 74(7) 0.225 16(19) 0.225 41(19) Fe2—S1 0.224 24(7) 0.224 22(19) 0.224 82(18) Fe2—S2 0.223 81(7) 0.225 28(18) 0.225 43(19) Fe2—P1 0.224 90(18) 0.223 36(18) S1—Fe1—Fe2 56.153(19) 56.00(5) 56.12(5) S1—Fe1—S2 80.33(2) 79.57(7) 79.19(7) S2—Fe1—Fe2 55.925(18) 56.24(5) 56.23(5) S1—Fe2—Fe1 55.94(2) 56.17(5) 56.14(5) S2—Fe2—Fe1 56.277(19) 56.19(5) 56.22(5) S2—Fe2—S1 80.41(2) 79.64(7) 79.20(7) P1—Fe2—Fe1 154.03(6) 156.39(6) Fe1—S1—Fe2 67.90(2) 67.83(6) 67.75(5) Fe2—S2—Fe1 67.80(2) 67.57(6) 67.55(6) 2.3 XPS analysis
To check the oxidation states of iron and sulfur, complexes 2-4 were characterized by XPS analysis. As shown in Fig.2a, two peaks centered at 708.6 and 721.5 eV were observed for the 2p1/2 and 2p3/2 ionizations of the Fe+ ions in complex 2, respectively, similar to the previously-reported di-iron analogues[33-35]. As shown in Fig.2b, two peaks centered at 162.8 and 164.5 eV were observed for the 2p ionizations of the thiolate and thiazole sulfur atoms in complex 2, respectively, because Dey et al. reported 161.9[33] or 162.4 eV[34] for the thiolate sulfur atoms of the di-iron analogues. It can also be seen from Fig.2c and 2e that two peaks centered at 708.1, 721.1 eV (for complex 3) and 708.2, 720.9 eV (for complex 4) were observed for the Fe+ ions in complexes 3 and 4. Similarly, as shown in Fig.2d and 2f, two peaks centered at 162.6, 164.2 eV (for complex 3) and 162.6, 164.1 eV (for complex 4) were observed for the thiolate and thiazole sulfur atoms in complexes 3 and 4. It is worth pointing out that the binding energies of complexes 3 and 4 shift to lower energies relative to complex 2, probably due to the effect of the phosphine ligand.
Figure 2
2.4 Cyclic voltammetry
To study the redox activity of these complexes, cyclic voltammetry (CV) was conducted in an acetonitrile solution with nBu4NPF6 as the supporting electrolyte at a scan rate of 0.1 V·s-1. As shown in Fig.3a, the CV curve of complex 2 only possessed one irreversible reduction event at Epc=-1.64 V (vs Fc/Fc+). With reference to the previous study[36], we can designate this event to be the one-electron process FeⅠFeⅠ+e→FeⅠFe0, as the aforementioned XPS analysis has confirmed the oxidation state of Fe+ in the di-iron complexes. In contrast, as shown in Fig.3b, the CV curve of complex 3 possessed two irreversible reduction events at Epc=-1.86 and -2.15 V together with one irreversible oxidation event at Epa=0.46 V. The assignments of the second reduction event and oxidation event are one-electron processes FeIFe0+e→Fe0Fe0 and FeIFeI-e→FeIFeⅡ, respectively, according to the reference results[36]. It is noteworthy that the first reduction event of complex 3 was moving negatively by 0.22 V as compared to complex 2, consistent with the fact that the phosphine ligand increases the electron density on the di-iron core. Analogous to complex 3, as shown in Fig.3c, the CV curve of complex 4 possessed two irreversible reduction events at Epc=-1.80 and -2.07 V together with one irreversible oxidation event at Epa=0.54 V. Notably, all potentials for complex 4 were moving cathodically relative to the corresponding potentials for complex 3 which is consistent with the fact that tri(p-tolyl)phosphine is a better electron donor than tris(4-fluorophenyl)phosphine bearing an electron-withdrawing group.
Figure 3
2.5 Electrocatalysis
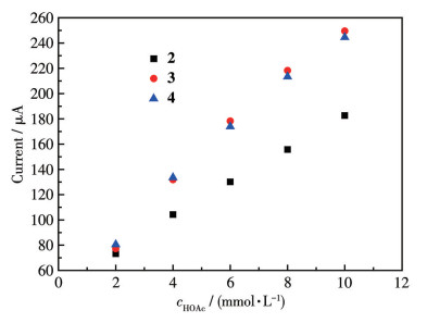
Electrocatalytic proton reduction by di-iron analogues has been extensively studied[37-39]; thus, in this work, we carried out the hydrogen evolution reaction by adding a proton source into the acetonitrile solution under the electrochemical conditions. Fig.4 shows the CV curves of three complexes upon addition of 2-10 mmol·L-1 acetic acid. It can be seen from Fig.4a that upon addition of the acid, the height of the reduction event was slightly enhanced; however, a new reduction event at ca. -2.2 V appeared, and its current height increased remarkably with continuous addition of the acid. This catalytic potential moved positively by ca. 0.3 V with respect to the acid blank without the catalyst[40]. Further, as shown in Fig.5, the current height increased linearly with the acid concentration. The above-mentioned observations imply that proton reduction catalyzed by complex 2 occurs in this system[41-43]. Besides, another catalytic reduction event at ca. -2.5 V was also observed, and we propose that this peak corresponds to the direct reduction of the acid at the electrode. Likewise, as shown in Fig.4b and 4c, catalytic waves at ca. -2.3 V were observed for complexes 3 and 4 along with the corresponding linear relationship of current height against the acid concentration (Fig.5), revealing that both complexes can also catalyze the proton reduction to H2 under the same conditions.
Figure 4
Figure 5
To evaluate the catalytic efficiency of these complexes in the hydrogen evolution reaction, TOF was used as a parameter for comparison. TOF can be calculated by a reported method[44] and the relationship of TOF with the acid concentration is displayed in Fig.6. From Fig.6, we can conclude that the catalytic efficiencies of complexes 3 and 4 were better than that of complex 2 which is reflecting that the enhancement of electron density on the di-iron core will increase the catalytic efficiency for H2 production, probably due to the easily binding for proton. In addition, the catalytic efficiency of complex 4 was the best among these complexes with a TOF of 23.5 s-1 at 10 mmol·L-1 HOAc concentration.
Figure 6
2.6 Fungicidal activity
According to the previously-reported method[45], we tested the fungicidal activity of these thiazole-containing analogues at a mass fraction of 0.005% against B. cinerea (BC), C. arachidicola (CA), C. fragariae (CF), F. oxysporum (FO), G. zeae (GZ), P. capsici (PC), P. infestans (PI), P. oryae (PO), P. piricola (PP), and R. solani (RS), and the results are listed in Table 3. Unfortunately, these complexes displayed relatively poor fungicidal activity.
Table 3
Complex R / % PI GZ PO PC CF BC RS FO CA PP 2 25.0 26.9 11.1 20.7 35.7 30.8 30.4 8.7 14.3 7.1 3 16.7 3.8 6.7 10.3 21.4 26.9 21.7 8.7 14.3 10.7 4 16.7 15.4 6.7 17.2 7.1 19.2 30.4 17.4 14.3 14.3 3. Conclusions
In this contribution, we have synthesized and characterized three di-iron analogues containing a thiazole moiety as potential catalysts for H2 production. The X-ray crystallographic studies have revealed that these complexes consist of a di-iron core ligated by a bridged dithiolate bearing a thiazole moiety and six terminal carbonyls or five terminal carbonyls and an apically-ligated phosphine ligand. XPS analysis has confirmed the oxidation state of Fe+ in the complexes as well as thiolate sulfur and thiazole sulfur. CV studies have shown that these complexes can catalyze the reduction of protons to H2, and the complexes containing phosphine ligands exhibited better efficiencies than the parent complex.
-
-
[1]
FREY M. Hydrogenases: Hydrogen-activating enzymes[J]. ChemBioChem, 2002, 3(2/3): 153-160
-
[2]
DU P W, SCHNEIDER J, JAROSZ P, EISENBERG R. Photocatalytic generation of hydrogen from water using a platinum (Ⅱ) terpyridyl acetylide chromophore[J]. J. Am. Chem. Soc., 2006, 128(24): 7726-7727 doi: 10.1021/ja0610683
-
[3]
NA Y, WANG M, PAN J X, ZHANG P, ÅKERMARK B, SUN L C. Visible light-driven electron transfer and hydrogen generation catalyzed by bioinspired [2Fe2S] complexes[J]. Inorg. Chem., 2008, 47(7): 2805-2810 doi: 10.1021/ic702010w
-
[4]
LI X Q, WANG M, ZHANG S P, PAN J X, NA Y, LIU J H, ÅKERMARK B, SUN L C. Noncovalent assembly of a metalloporphyrin and an iron hydrogenase active-site model: Photo-induced electron transfer and hydrogen generation[J]. J. Phys. Chem. B, 2008, 112(27): 8198-8202 doi: 10.1021/jp710498v
-
[5]
ZHONG W, WU L, JIANG W D, LI Y L, MOOKAN N, LIU X M. Proton-coupled electron transfer in the reduction of diiron hexacarbonyl complexes and its enhancement on the electrocatalytic reduction of protons by a pendant basic group[J]. Dalton Trans., 2019, 48(36): 13711-13718 doi: 10.1039/C9DT02058F
-
[6]
ZHAO P H, JIN B, WANG S J, WANG D, GUO Y, HU T P. Variation of dithiolate bridges in carbon nanotube-attached diiron chelate compounds for electrocatalytic hydrogen evolution reaction[J]. Appl. Surf. Sci., 2023, 639: 158276 doi: 10.1016/j.apsusc.2023.158276
-
[7]
TARD C, PICKETT C J. Structural and functional analogues of the active sites of the [Fe]-, [NiFe]-, and [FeFe]-hydrogenases[J]. Chem. Rev., 2009, 109(6): 2245-2274 doi: 10.1021/cr800542q
-
[8]
LUBITZ W, OGATA H, RÜDIGER O, REIJERSE E. Hydrogenases[J]. Chem. Rev., 2014, 114(8): 4081-4148 doi: 10.1021/cr4005814
-
[9]
PETERS J W, LANZILOTTA W N, LEMON B J, SEEFELDT L C. X-ray crystal structure of the Fe-only hydrogenase (CpI) from Clostridium pasteurianum to 1.8 angstrom resolution[J]. Science, 1998, 282(5395): 1853-1858 doi: 10.1126/science.282.5395.1853
-
[10]
NICOLET Y, PIRAS C, LEGRAND P, HATCHIKIAN C E, FONTECILLA-CAMPS J C. Desulfovibrio desulfuricans iron hydrogenase: The structure shows unusual coordination to an active site Fe binuclear center[J]. Structure, 1999, 7(1): 13-23 doi: 10.1016/S0969-2126(99)80005-7
-
[11]
SCHMIDT M, CONTAKES S M, RAUCHFUSS T B. First generation analogues of the binuclear site in the Fe-only hydrogenases: Fe2(μ-SR)2(CO)4(CN)22‒[J]. J. Am. Chem. Soc., 1999, 121(4): 9736-9737
-
[12]
MEJIA-RODRIGUEZ R, CHONG D, REIBENSPIES J H, SORIAGA M P, DARENSBOURG M Y. The hydrophilic phosphatriazaadamantane ligand in the development of H2 production electrocatalysts: Iron hydrogenase model complexes[J]. J. Am. Chem. Soc., 2004, 126(38): 12004-12014 doi: 10.1021/ja039394v
-
[13]
AHMED M E, NAYEK A, KRIžAN A, COUTARD N, MOROZAN A, DEY S G, LOMOTH R, HAMMARSTRöM L, ARTERO V, DEY A. A bidirectional bioinspired [FeFe]-hydrogenase model[J]. J. Am. Chem. Soc., 2022, 144(8): 3614-3625 doi: 10.1021/jacs.1c12605
-
[14]
ORTON G R F, RINGENBERG M R, HOGARTH G. Biomimics of [FeFe]-hydrogenases incorporating redox-active ligands: Ferrocene-bridged dithiolate complexes [Fe2(CO)6(μ-EC5H4FeC5H4E)] (E=S, Se)[J]. J. Organomet. Chem., 2022, 978: 122472 doi: 10.1016/j.jorganchem.2022.122472
-
[15]
MERINERO A D, COLLADO A, CASARRUBIOS L, GÓMEZ-GALLEGO M, DE ARELLANO C R, CABALLERO A, ZAPATA F, SIERRA M A. Triazole-containing [FeFe] hydrogenase mimics: Synthesis and electrocatalytic behavior[J]. Inorg. Chem., 2019, 58(23): 16267-16278 doi: 10.1021/acs.inorgchem.9b02813
-
[16]
ORTAN G R F, GHOSH S, ALKER L, SARKER J C, PUGH D, RICHMOND M G, HARTL F, HOGARTH G. Biomimics of [FeFe]-hydrogenases incorporating redox-active ligands: Synthesis, redox properties and spectroelectrochemistry of diiron-dithiolate complexes with ferrocenyl-diphosphines as Fe4S4 surrogates[J]. Dalton Trans., 2022, 51(25): 9748-9769 doi: 10.1039/D2DT00419D
-
[17]
SOLIMAN N N, SALAM M A E, FADDA A A, ABDEL-MOTAAL M. Synthesis, characterization, and biochemical impacts of some new bioactive sulfonamide thiazole derivatives as potential insecticidal agents against the cotton leafworm, Spodoptera littoralis[J]. J. Agric. Food Chem., 2020, 68(21): 5790-5805 doi: 10.1021/acs.jafc.9b06394
-
[18]
LIU H, XU T, XUE Z H, HUANG M J, WANG T T, ZHANG M M, YANG R G, GUO Y. Current development of thiazole-containing compounds as potential antibacterials against methicillin-resistant Staphylococcus aureus[J]. ACS Infect. Dis., 2024, 10(2): 350-370 doi: 10.1021/acsinfecdis.3c00647
-
[19]
GUO X F, ZHAO B, FAN Z J, YANG D Y, ZHANG N L, WU Q F, YU B, ZHOU S, KALININA T A, BELSKAYA N P. Discovery of novel thiazole carboxamides as antifungal succinate dehydrogenase inhibitors[J]. J. Agric. Food Chem., 2019, 67(6);1647-1655 doi: 10.1021/acs.jafc.8b06935
-
[20]
LIU N, WAN Y H, BAI Z D, HAN J C, BAI H D, LI H, WANG Y Y, BAI L Y, LUO D F, LI Z R. Design, synthesis, and herbicidal activities of N-(5-(3,5-methoxyphenyl)-(thiazole-2-yl))phenoxyacetamide derivatives[J]. J. Agric. Food Chem., 2024, 72(42): 23097-23107 doi: 10.1021/acs.jafc.4c01824
-
[21]
RAZAVET M, LE CLOIREC A, DAVIES S C, HUGHES D L, PICKETT C J. X-ray crystallographic analysis of D, L-[Fe2{SCH2CH(CH2OH)S}(CO)6] reveals a hydrogen-bonded cyclic hexamer with ordered optical centres[J]. Dalton Trans., 2001: 3551-3552
-
[22]
TONG J Y, MIN L J, SUN N B, WU H K, YU S J, BIAN Q, LIU X H. Facile synthesis of novel quinolin-8-amine derivatives: Crystallographic study, in silico and antifungal investigation[J]. Chem. Biol. Technol. Agric., 2025, 12: 134 doi: 10.1186/s40538-025-00853-4
-
[23]
ZHAO P H, LI J R, MA Z Y, HAN H F, QU Y P, LU B P. Diiron azadithiolate clusters supported on carbon nanotubes for efficient electrocatalytic proton reduction[J]. Inorg. Chem. Front., 2021, 8(8): 2107-2118 doi: 10.1039/D0QI01415J
-
[24]
GAO Y, WANG S J, GUO Z, WANG Y Z, QU Y P, ZHAO P H. Covalent versus noncovalent attachments of [FeFe]-hydrogenase models onto carbon nanotubes for aqueous hydrogen evolution reaction[J]. J. Inorg. Biochem., 2024, 259: 112665 doi: 10.1016/j.jinorgbio.2024.112665
-
[25]
刘旭锋, 徐博, 徐航, 李玉龙. 膦配体取代的乙基乙撑双铁配合物的合成、晶体结构及电化学催化性能[J]. 无机化学学报, 2022, 38(12): 2521-2529LIU X F, XU B, XU H, LI Y L. Diiron butane-1, 2-dithiolate complexes with phosphine ligands: Preparation, crystal structures, and electrochemical catalytic performance[J]. Chinese J. Inorg. Chem., 2022, 38(12): 2521-2529
-
[26]
YAN L, HU K, LIU X F, LI Y L, LIU X H, JIANG Z Q. Diiron ethane-1, 2-dithiolate complexes with 1, 2, 3-thiadiazole moiety: Synthesis, X-ray crystal structures, electrochemistry and fungicidal activity[J]. Appl. Organomet. Chem., 2021, 35(2): e6084 doi: 10.1002/aoc.6084
-
[27]
CHEN F Y, HE J, YU X Y, WANG Z, MU C, LIU X F, LI Y L, JIANG Z Q, WU H K. Electrocatalytic properties of diiron ethanedithiolate complexes containing benzoate ester[J]. Appl. Organomet. Chem., 2018, 32(12): e4549 doi: 10.1002/aoc.4549
-
[28]
LIN H M, LI J R, MU C, LI A, LIU X F, ZHAO P H, LI Y L, JIANG Z Q, WU H K. Synthesis, characterization, and electrochemistry of monophosphine-containing diiron propane-1, 2-dithiolate complexes related to the active site of [FeFe]-hydrogenases[J]. Appl. Organomet. Chem., 2019, 33(11): e5196 doi: 10.1002/aoc.5196
-
[29]
刘旭锋, 徐博, 徐航, 李玉龙. 含膦配体二铁二硫五羰基配合物的合成、表征及电催化产氢性能[J]. 无机化学学报, 2023, 39(8): 1619-1627LIU X F, XU B, XU H, LI Y L. Synthesis, characterization, and electrocatalytic hydrogen evolution of diiron dithiolato pentacarbonyl complexes bearing phosphine ligand[J]. Chinese J. Inorg. Chem., 2023, 39(8): 1619-1627
-
[30]
刘旭锋, 李玉龙, 刘幸海. 含异恶唑二铁配合物的合成、表征及电催化产氢性能和抗菌活性[J]. 无机化学学报, 2023, 39(12): 2367-2376LIU X F, LI Y L, LIU X H. Synthesis, characterization, electrocatalytic properties, and antifungal activity of isoxazole-containing di-iron complexes[J]. Chinese J. Inorg. Chem., 2023, 39(12): 2367-2376
-
[31]
GHOSH S, HOGARTH G, HOLLINGSWORTH N, HOLT K B, RICHARD I, RICHMOND M G, SANCHEZ B E, UNWIN D. Models of the iron-only hydrogenase: A comparison of chelate and bridge isomers of Fe2(CO)4{Ph2PN(R)PPh2}(μ-pdt) as proton-reduction catalysts[J]. Dalton Trans., 2013, 42(19): 6775-6792 doi: 10.1039/c3dt50147g
-
[32]
ZHAO P H, MA Z Y, HU M Y, HE J, WANG Y Z, JING X B, CHEN H Y, LI Y L. PNP-chelated and -bridged diiron dithiolate complexes Fe2(μ-pdt)(CO)4{(Ph2P)2NR} together with related monophosphine complexes for the [2Fe]H subsite of [FeFe]-hydrogenases: Preparation, structure, and electrocatalysis[J]. Organometallics, 2018, 37(8): 1280-1290 doi: 10.1021/acs.organomet.8b00030
-
[33]
DEY S, RANA A, DEY S G, DEY A. Electrochemical hydrogen production in acidic water by an azadithiolate bridged synthetic hydrogenese mimic: Role of aqueous solvation in lowering overpotential[J]. ACS Catal., 2013, 3(3): 429-436 doi: 10.1021/cs300835a
-
[34]
AHMED M E, DEY S, MONDAL B, DEY A. H2 evolution catalyzed by a FeFe-hydrogenase synthetic model covalently attached to graphite surfaces[J]. Chem. Commun., 2017, 53(58): 8188-8191 doi: 10.1039/C7CC04281G
-
[35]
JIN B, TAN X, ZHANG X X, WANG Z Y, QU Y P, HE Y B, HU T P, ZHAO P H. Substituent effects in carbon-nanotube-supported diiron monophosphine complexes for hydrogen evolution reaction[J]. Electrochim. Acta, 2022, 434: 141325 doi: 10.1016/j.electacta.2022.141325
-
[36]
CHONG D, GEORGAKAKI I P, MEJIA-RODRIGUEZ R, SANABRIA-CHINCHILLA J, SORIAGA M P, DARENSBOURG M Y. Electrocatalysis of hydrogen production by active site analogues of the iron hydrogenase enzyme: Structure/function relationships[J]. Dalton Trans., 2003: 4158-4163
-
[37]
GLOAGUEN F, LAWRENCE J D, RAUCHFUSS T B. Biomimetic hydrogen evolution catalyzed by an iron carbonyl thiolate[J]. J. Am. Chem. Soc., 2001, 123(38): 9476-9477 doi: 10.1021/ja016516f
-
[38]
BAI S F, DU X M, TIAN W J, XU H, ZHANG R F, MA C L, WANG Y L, LÜ S, LI Q L, LI Y L. Di-, tri- and tetraphosphine-substituted Fe/Se carbonyls: Synthesis, characterization and electrochemical properties[J]. Dalton Trans., 2022, 51(29): 11125-11134 doi: 10.1039/D2DT01376B
-
[39]
朱霖洁, 刘旭锋. 双膦配体桥联的四铁配合物的电催化产氢性能[J]. 无机化学学报, 2025, 41(2): 321-328ZHU L J, LIU X F. Electrocatalytic hydrogen evolution performance of tetra-iron complexes with bridging diphosphine ligands[J]. Chinese J. Inorg. Chem., 2025, 41(2): 321-328
-
[40]
YAN L, YANG J, Lü S, LIU X F, LI Y L, LIU X H, JIANG Z Q. Phosphine-containing diiron propane-1, 2-dithiolate derivatives: Synthesis, spectroscopy, X-ray crystal structures, and electrochemistry[J]. Catal. Lett., 2021, 151(7): 1857-1867 doi: 10.1007/s10562-020-03450-2
-
[41]
HOGARTH G. An unexpected leading role for [Fe2(CO)6(μ-pdt)] in our understanding of [FeFe]-H2ases and the search for clean hydrogen production[J]. Coord. Chem. Rev., 2023, 490: 215174 doi: 10.1016/j.ccr.2023.215174
-
[42]
LÜ S, HUANG H L, ZHANG R F, MA C L, LI Q L, HE J, YANG J, LI T, LI Y L. Phosphine-substituted Fe-Te clusters related to the active site of [FeFe]-H2ases[J]. Inorg. Chem. Front., 2020, 7(12): 2352-2361 doi: 10.1039/D0QI00276C
-
[43]
朱霖洁, 刘旭锋. 两个含氨基膦配体的二铁配合物的合成、表征与电催化产氢活性[J]. 无机化学学报, 2025, 41(5): 939-947ZHU L J, LIU X F. Synthesis, characterization and electrocatalytic hydrogen evolution of two di-iron complexes containing a phosphine ligand with a pendant amine[J]. Chinese J. Inorg. Chem., 2025, 41(5): 939-947
-
[44]
HELM M L, STEWART M P, BULLOCK R M, DUBOIS M R, DUBOIS D L. A synthetic nickel electrocatalyst with a turnover frequency above 100, 000 s-1 for H2 production[J]. Science, 2011, 333(6044): 863-866 doi: 10.1126/science.1205864
-
[45]
LIU X H, QIAO L, ZHAI Z W, CAI P P, CANTRELL C L, TAN C X, WENG J Q, HAN L, WU H K. Novel 4-pyrazole carboxamide derivatives containing flexible chain motif: Design, synthesis and antifungal activity[J]. Pest Manag. Sci., 2019, 75(11): 2892-2900 doi: 10.1002/ps.5463
-
[1]
-
Table 1. Crystal data and structure refinement details for complexes 2-4
Parameter 2 3 4 Empirical formula C14H9Fe2NO8S3 C34H30Fe2NO7PS3 C31H21F3Fe2NO7PS3 Formula weight 527.10 803.44 815.34 Crystal system Monoclinic Monoclinic Triclinic Space group C2/c P21/n P1 a / nm 2.372 58(11) 1.442 02(8) 0.911 30(7) b / nm 1.331 61(6) 1.692 20(9) 1.215 14(9) c / nm 1.722 52(14) 1.622 73(9) 1.659 15(12) α / (°) 87.886(2) β / (°) 131.968 0(10) 110.600(2) 79.748(2) γ / (°) 68.474(2) V / nm3 4.046 3(4) 3.706 6(4) 1.681 0(2) Z 8 4 2 Dc / (g·cm-3) 1.731 1.440 1.611 μ / mm-1 1.784 1.041 1.161 F(000) 2 112.0 1 648.0 824.0 Crystal size / mm 0.44×0.34×0.22 0.26×0.22×0.16 0.36×0.24×0.12 2θ range / (°) 5.96-50.874 4.69-50.19 4.32-50.098 h, k, l ranges -28 ≤ h ≤ 27,
-15 ≤ k ≤ 16,
-20 ≤ l ≤ 20-17 ≤ h ≤ 17,
-20 ≤ k ≤ 20,
-19 ≤ l ≤ 18-10 ≤ h ≤ 10,
-14 ≤ k ≤ 14,
-19 ≤ l ≤ 19Reflection collected 40 530 80 995 41 544 Observed reflection 3 196 4 517 4 311 Independent reflection 3 721 (Rint=0.044 1) 6 581 (Rint=0.096 0) 5 939 (Rint=0.060 2) Data, number of restraints, number of parameters 3 721, 1, 254 6 581, 65, 436 5 939, 1, 416 Goodness of fit on F 2 1.062 1.054 1.059 Final R indexes [I>2σ(I)] R1=0.029 2, wR2=0.070 0 R1=0.077 8, wR2=0.208 3 R1=0.070 1, wR2=0.182 7 Final R indexes (all data) R1=0.036 9, wR2=0.073 8 R1=0.117 7, wR2=0.233 1 R1=0.103 3, wR2=0.202 4 Largest diff. peak and hole / (e·nm-3) 425, -460 1 159, -1 043 1 963, -754 Table 2. Selected bond lengths (nm) and angles (°) for complexes 2-4
Bond 2 3 4 Fe1—Fe2 0.250 17(5) 0.250 48(13) 0.250 65(12) Fe1—S1 0.223 69(7) 0.224 66(18) 0.224 87(18) Fe1—S2 0.224 74(7) 0.225 16(19) 0.225 41(19) Fe2—S1 0.224 24(7) 0.224 22(19) 0.224 82(18) Fe2—S2 0.223 81(7) 0.225 28(18) 0.225 43(19) Fe2—P1 0.224 90(18) 0.223 36(18) S1—Fe1—Fe2 56.153(19) 56.00(5) 56.12(5) S1—Fe1—S2 80.33(2) 79.57(7) 79.19(7) S2—Fe1—Fe2 55.925(18) 56.24(5) 56.23(5) S1—Fe2—Fe1 55.94(2) 56.17(5) 56.14(5) S2—Fe2—Fe1 56.277(19) 56.19(5) 56.22(5) S2—Fe2—S1 80.41(2) 79.64(7) 79.20(7) P1—Fe2—Fe1 154.03(6) 156.39(6) Fe1—S1—Fe2 67.90(2) 67.83(6) 67.75(5) Fe2—S2—Fe1 67.80(2) 67.57(6) 67.55(6) Table 3. Fungicidal activity of complexes 2-4 at a mass fraction of 0.005%
Complex R / % PI GZ PO PC CF BC RS FO CA PP 2 25.0 26.9 11.1 20.7 35.7 30.8 30.4 8.7 14.3 7.1 3 16.7 3.8 6.7 10.3 21.4 26.9 21.7 8.7 14.3 10.7 4 16.7 15.4 6.7 17.2 7.1 19.2 30.4 17.4 14.3 14.3 -
扫一扫看文章
计量
- PDF下载量: 0
- 文章访问数: 352
- HTML全文浏览量: 17

下载:
下载:
下载: