Citation: Xiaokang JIANG, Junliang MA, Yan ZHAO, Feng GAO, Changli LIU, Xingshen ZHAO, Hengwei ZHOU. Preparation and luminescent properties of Sm3+-doped La2MgZrO6 phosphors[J]. Chinese Journal of Inorganic Chemistry, 2026, 42(2): 263-270. doi: 10.11862/CJIC.20250236
Sm3+掺杂La2MgZrO6荧光粉的制备及其荧光性能
English
Preparation and luminescent properties of Sm3+-doped La2MgZrO6 phosphors
-
Key words:
- sol-gel method
- / La2MgZrO6
- / orange-red phosphors
- / Sm3+ doping
-
0. 引言
稀土离子由于其独特的电子结构、较长的寿命和灵活的电子能态,被广泛地应用于固态照明、传感器、太阳能电池等领域[1-3]。Sm3+作为三价稀土离子由于其独特的4f电子构型而表现出独特的光学性质,其特定的4G5/2→6HJ(J=5/2、7/2、9/2、11/2)跃迁,使其在可见光谱中能够发射出强烈的橙红色。另外,Sm3+离子在350~450 nm范围内的吸收光谱与商用InGaN基光致发光二极管(LED)的发射光谱高度重叠,因此,Sm3+常被作为红色激活离子掺杂到材料中,用于合成红色荧光粉[4-8]。
Sm3+掺杂荧光材料在发光性能方面展现了巨大潜力,然而,当前研究仍面临几个关键挑战:(1) 大多数Sm3+激活荧光粉存在热稳定性不足的问题,限制了其在高温环境下的实际应用;(2) 传统红色荧光粉(如Y2O2S:Eu3+)含有硫元素,化学稳定性较差且制备过程环境污染大;(3) 现有荧光粉的色纯度和发光效率仍有提升空间,难以满足高质量白光LED对色彩还原性的要求。针对这些问题,开发新型基质材料并优化掺杂策略成为该领域的研究重点。
双钙钛矿A2BB′O6(A=La3+、Y3+、Gd3+;B=Mg2+、Zn2+;B′=Ti4+、Zr4+)作为一种新型的复合氧化物材料,具有出色的电学、光学特性以及优异的热稳定性,被认为是理想的基质材料[9-11]。在该结构中,A位点与8个氧形成十二面体,而B/B′位点与6个氧配位形成八面体。结构中的B-O和B′-O八面体具有宽范围的可调性,能够为掺杂离子(如稀土离子)提供合适的晶格位置,从而在主体的带隙中形成合适的能级[12-14]。La2MgZrO6(LMZ)属于双钙钛矿材料,同样具有以上性质,近年来逐渐引起科学研究者的关注。例如:Zeng等[15]采用传统固相法在还原气氛中成功合成了Cr3+掺杂的LMZ,最终得到了中心波长为825 nm、半高宽为210 nm、内量子效率为58%的双畸变八面体结构的双钙钛矿氧化物。Yang等[16]采用传统的高温固相反应法制备了LMZ:Bi3+,xSn4+双钙钛矿结构的蓝绿色荧光粉。通过Rietveld结构精修、密度泛函理论(DFT)和紫外可见(UV-Vis)吸收光谱对Sn4+掺杂LMZ样品中Bi3+的选择性占据现象进行了解释。Chen等[17]开发了一种新型材料LMZ:Pr3+,其具有可逆的辐射变色性能。用X射线照射材料时,材料的颜色从白色变为棕色,而用450 nm蓝光照射时,颜色可逆转。
基于此,我们选择LMZ作为基质材料,这主要是基于其独特的结构优势:(1) 双钙钛矿结构具有良好的热稳定性和化学稳定性,能够满足高温LED应用需求;(2) 结构中存在多种阳离子位点,为稀土离子掺杂提供了灵活的晶格环境;(3) 该基质具有较宽的带隙(3.6~4.0 eV),有利于稀土离子的高效发光。通过Sm3+掺杂,期望开发一种具有高热稳定性、高色纯度的橙红色荧光粉,以解决当前白光LED用红色荧光粉面临的热猝灭和色彩性能不足的问题;同时通过X射线衍射仪、扫描电子显微镜、荧光光谱仪对样品的物相结构、表面形貌以及荧光性能进行分析,探索Sm3+浓度对LMZ荧光性能的影响。
1. 实验部分
1.1 试剂与材料
实验中主要使用的试剂有乙酸锆(Zr(CH3COO)4, 99.99%)、六水合硝酸镧(La(NO3)3·6H2O,99.99%)、四水合乙酸镁(Mg(CH3COO)2·4H2O,99.9%)、六水合硝酸钐(Sm(NO3)3·6H2O,99.9%)和柠檬酸(C6H8O7,99.9%)。实验中所用到的化学试剂均购自上海阿拉丁股份有限公司。
1.2 样品的制备
采用溶胶-凝胶法制备了La2(1-x)MgZrO6:2xSm3+(LMZ:xSm3+,x=0.01、0.03、0.05、0.07、0.09、0.11)系列荧光粉。根据化学计量比准确称取La(NO3)3·6H2O、Sm(NO3)3·6H2O、Mg(CH3COO)2·4H2O、Zr(CH3COO)4及C6H8O7。将称量好的原料置于烧杯中,加入10 mL去离子水搅拌溶解。随后将溶液转移至烘干箱中,于80 ℃下保温2 h,形成凝胶;接着升温至200 ℃保持10 h,得到褐色干胶。最后,将干胶充分研磨均匀,置于马弗炉中,在1 450 ℃下烧结10 h,随炉冷却后收集样品。作为对比,在相同实验条件下,未添加Sm(NO3)3·6H2O制备了未掺杂LMZ样品。
1.3 表征手段
采用Bruker D8 ADVANCE型X射线衍射仪(XRD,Cu靶Kα射线,波长为0.154 18 nm)进行物相分析,扫描范围为10°~80°,工作电压为40 kV,工作电流为40 mA;样品微观形貌及元素分布通过Hitachi JSM-7500F型扫描电子显微镜(SEM)观察,工作电压为15 kV,工作电流为10 μA;紫外可见漫反射光谱由Shimadzu UV-3600IPLUS型分光光度计采集;光致发光光谱及荧光衰减曲线使用HORIBA FluoroMax+型荧光光谱仪测定。
2. 结果与讨论
2.1 物相分析
图 1a为不同Sm3+浓度掺杂的LMZ:xSm3+样品的XRD图。如图所示,随着Sm3+的掺入,样品衍射峰的位置和形状并没有发生改变,且未产生其他杂相,与已经报道[15-17]的LMZ样品的XRD基本一致,这表明Sm3+成功掺入LMZ样品中。在LMZ基质中La3+的离子半径为0.116 nm(配位数为8),Mg2+的离子半径为0.072 nm(配位数为6),Zr4+的离子半径为0.072 nm(配位数为6)。根据离子半径和离子价态近似原则,Sm3+(离子半径为0.122 nm,配位数为8)会优先取代La3+离子。掺杂离子半径与取代离子之间的半径差百分比(Dr)表示为[18]:
$ {D}_{\mathsf{r}}=\frac{\left|{R}_{\mathsf{s}}-{R}_{\mathsf{d}}\right|}{{R}_{\mathsf{s}}}\times 100\% $ (1) 图 1
图 1. (a) LMZ:xSm3+的XRD图; (b) 未掺杂LMZ样品的XRD结构精修图Figure 1. (a) XRD patterns of LMZ:xSm3+; (b) Rietveld refinement of the XRD pattern for the undoped LMZ sample式中,Rs和Rd分别表示取代离子半径、掺杂离子半径。经计算,Sm3+取代La3+、Mg2+、Zr4+的Dr分别为5.17%、71.43%、71.43%。当Dr小于30%时离子可被取代,因此Sm3+优先取代La3+。
为了进一步获得样品的结构信息,采用GSAS-Ⅱ软件对未掺杂LMZ样品的XRD数据进行结构精修,结果如图 1b所示。LMZ为单斜相,空间群为P21/n,晶格参数a=0.568 12 nm,b=0.579 02 nm,c=0.808 57 nm,β=90.049°。其全谱拟合因子(Rp)为9.46%,加权全谱拟合因子(Rwp)为13.67%,符合精修精度要求,结果可靠。物相分析结果表明,Sm3+成功掺杂进入LMZ晶格且未引起明显结构畸变,说明该基质的结构容忍因子较高,能够容纳较大尺寸的Sm3+离子。
2.2 表面形貌
图 2为LMZ:0.03Sm3+样品的SEM和元素映射图。由图可知,样品由许多紧密堆积的、不规则形状的微纳米颗粒组成,颗粒粒径小于10 μm,无明显团聚。各元素分布比较均匀,表明Sm3+已成功掺入到基质之中。
图 2
2.3 漫反射分析
图 3为LMZ:0.03Sm3+样品的紫外可见漫反射光谱及Tauc图。该样品在250~400 nm范围内具有较强的紫外吸收,这归因于基质的本征吸收和Sm3+离子的吸收。利用Kubelka-Munk公式[19-20]估算样品的光学带隙,如式2和3所示:
$ [F(R) h \nu]^n=A\left(h \nu-E_\mathsf{g}\right) $ (2) $ F(R)=(1-R)^2 / 2 R $ (3) 图 3
式中F(R)、R、hν和A分别为Kubelka-Munk函数、反射率、光子能量和吸收常数。经计算,LMZ:0.03Sm3+样品的光学带隙(Eg)约为3.96 eV,与理论计算值(3.64 eV)较为接近[17]。近紫外漫反射光谱分析结果表明,LMZ基质具有较宽的带隙,这有利于减少基质对发射光的重吸收,从而提高发光效率。3.96 eV的带隙也说明该材料能够有效吸收近紫外光,与商用近紫外芯片的发射波长(395~405 nm)匹配良好,具备一定的应用潜力。
2.4 光致发光性能
图 4为Sm3+掺杂LMZ系列样品的激发和发射光谱图。如图 4a所示,在601 nm监测波长下,LMZ:xSm3+在230~450 nm范围内呈现一系列窄激发带和较宽的激发带。其中250 nm附近的宽激发带是由O2-的2p轨道到La3+的4f轨道之间的电荷迁移带(CTB)引起的,其余窄带则对应Sm3+的6H5/2→4H7/2、6H5/2→4F9/2、6H5/2→4D5/2、6H5/2→4F7/2、6H5/2→4M19/2、6H5/2→6P5/2能级跃迁[8]。随着Sm3+浓度的不断增加,其激发峰的强度也在不断增强,当浓度达到0.03时达到最大。
图 4
图 4b为405 nm激发下LMZ:xSm3+的发射光谱图。由图可知,发射峰由Sm3+的4G5/2→6H5/2、4G5/2→6H7/2、4G5/2→6H9/2能级跃迁构成[5, 8]。随着Sm3+浓度的增加,发射强度不断增强,当浓度达到0.03时达到最大,随后出现明显的浓度猝灭现象。该现象是因为Sm3+浓度的不断增加使相邻Sm3+之间发生交叉弛豫,从而导致发射强度降低。
为进一步分析浓度猝灭机制,根据Blasse[21]理论,通过公式4可以计算出临界距离(Rc):
$ {R}_{\mathsf{c}}=2{\left(\frac{3V}{4\mathsf{π} {x}_{\mathsf{c}}Z}\right)}^{\frac{1}{2}} $ (4) 其中,V、xc和Z分别表示晶胞体积、临界猝灭浓度和晶胞中的阳离子数。当Rc < 0.5 nm时,交叉驰豫相互作用占主导;当Rc > 0.5 nm时,多极子相互作用机制占主导。在LMZ基质中,V=0.265 99 nm3,xc=0.03,Z=4,计算得出Rc=1.617 nm,远大于0.5 nm,表明在LMZ基质中,多极子之间的相互作用在浓度猝灭中占据主导作用。
根据Dexter理论[22],激活离子发光强度(I)与掺杂浓度(x)存在如下关系:
$ \frac{I}{x}=K{\left(1+\beta {x}^{\frac{\theta }{3}}\right)}^{-1} $ (5) 对于同一种基质材料,其中β、K为确定的常数,θ为多极子相互作用因子,当θ取值为6、8和10时分别对应电偶极-电偶极(d-d)、电偶极-电四极(d-q)和电四极-电四极(q-q)相互作用。如图 5所示,通过线性拟合lg(I/x)-lg x的曲线可以得到斜率(-θ/3)为-1.746 7,θ接近6,这表明在LMZ基质中d-d相互作用主导浓度猝灭。
图 5
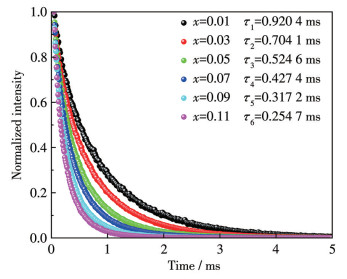
2.5 荧光寿命分析
图 6为室温下,以405 nm为激发波长,601 nm为监测波长,收集的不同Sm3+掺杂的LMZ样品的荧光衰减拟合曲线。从图中可以看出,随着Sm3+浓度的不断增加,其寿命逐渐减小。根据公式6进行单指数拟合[23]:
$ {I}_{t}={I}_{0}{\mathsf{e}}^{-\frac{t}{\tau }}+A $ (6) 图 6
式中,I0、It分别为初始时刻和t时刻的发光强度,τ为荧光寿命,A为常数。荧光寿命测试结果显示,最佳掺杂浓度样品的荧光寿命达到0.704 1 ms,属于毫秒级寿命,这与文献中报道的一致[6-7]。此外,随着Sm3+掺杂浓度从0.03增加至0.11,样品的荧光寿命逐渐缩短,这与浓度猝灭现象一致。
2.6 热稳定性分析
样品的热稳定性是衡量荧光粉性能的一个重要指标。图 7a为LMZ:0.03Sm3+样品在不同温度下的光致发光谱图。随着温度从298 K上升至473 K,样品的发光强度逐渐减弱,这是激发态电子通过非辐射跃迁的比例增加所致。图 7b为不同温度下样品的发光强度与室温(298 K)下发光强度的比值柱状图。当温度升至473 K时,样品仍保持在室温下发光强度的81%,表明该样品具有良好的热稳定性。
图 7
为了进一步分析热稳定性,利用Arrhenius方程[24-25]计算热猝灭活化能(ΔE):
$ {I}_{T}=\frac{{I}_{0}}{1+Aexp[-\Delta E/({k}_{B}T\left)\right]} $ (7) $ \mathsf{ln}\left(\frac{{I}_{0}}{{I}_{T}}-1\right)=\mathsf{ln}A-\frac{\Delta E}{{k}_{B}T} $ (8) 式中,IT和I0分别为温度T和298 K下的发光强度,kB为玻尔兹曼常数。如图 8所示,通过拟合ln(I0/IT-1)-1/(kBT)曲线,得到该曲线的斜率为-0.156 5,计算得到LMZ:3%Sm3+样品的热猝灭活化能为0.156 5 eV。这表明该材料具有较高的能量势垒,能够有效抑制热猝灭现象。这一优异的热稳定性源于双钙钛矿结构的刚性骨架和稳定的晶格环境。
图 8
2.7 CIE、色纯度及色温分析
图 9为LMZ:xSm3+系列样品在405 nm激发下的CIE色坐标及LMZ:0.03Sm3+的发光照片。如图所示,荧光粉发射光谱的CIE色坐标位于橙红色区域,其色纯度(color purity,CP)和相对色温(correlated color temperature,CCT)可以根据公式9~11进行计算[26],结果见表 1。当掺杂浓度为0.03时,样品的CIE色坐标为(0.536 1,0.452 6),CP为74%,CCT为2 177 K。
$ \mathrm{CP}=\sqrt{\frac{{\left(X-{X}_{\mathsf{i}}\right)}^{2}+{\left(Y-{Y}_{\mathsf{i}}\right)}^{2}}{{\left({X}_{\mathsf{d}}-{X}_{\mathsf{i}}\right)}^{2}+{\left({Y}_{\mathsf{d}}-{Y}_{\mathsf{i}}\right)}^{2}}}\times 100\% $ (9) $ \mathrm{CCT}=-473 n^3+3\;601 n^2-6\;861 n+5\;514.32 $ (10) $ n=(X-0.332\;0) /(Y-0.185\;8) $ (11) 图 9
表 1
x X Y CCT / K CP / % 0.01 0.492 1 0.489 4 2 833 74 0.03 0.536 1 0.452 6 2 177 79 0.05 0.532 5 0.455 7 2 225 78 0.07 0.517 2 0.468 6 2 442 76 0.09 0.514 0 0.471 3 2 490 75 0.11 0.501 9 0.481 4 2 677 74 式中,(X,Y)表示掺杂Sm3+系列样品对应的色坐标,(Xi,Yi)和(Xd,Yd)分别对应于理想白光色坐标和主波长下的色坐标。
3. 结论
针对白光LED用红色荧光粉面临的热稳定性不足、色纯度有限等问题,我们以双钙钛矿结构La2MgZrO6为基质,采用溶胶-凝胶法成功合成了一系列Sm3+掺杂的橙红色荧光粉。通过系统表征与分析,得出以下结论:
(1) XRD与SEM结果表明,所制备的La2(1-x)Mg ZrO6:2xSm3+样品为纯相双钙钛矿结构,Sm3+离子均匀取代La3+位点,未引入杂相,颗粒呈不规则微米级形貌,分布较为均匀。
(2) 在405 nm近紫外光激发下,样品呈现典型的Sm3+特征发射,最强峰位于601 nm,对应于 4G5/2→6H5/2跃迁。当Sm3+掺杂浓度为0.03时,发光强度达到最大值;进一步增加浓度则因d-d相互作用主导的浓度猝灭效应而下降。
(3) 最佳样品LMZ:0.03Sm3+的CIE色坐标为(0.536 1,0.452 6),位于橙红色区域,CP为79%,CCT为2 177 K,表明其在白光LED应用中具备良好的色彩表现潜力。
(4) LMZ:0.03Sm3+荧光粉表现出优异的热稳定性。在473 K高温下,其发光强度仍可维持室温强度的81%。通过Arrhenius模型计算得到LMZ:0.03Sm3+的热猝灭活化能为0.156 5 eV,进一步证实其具有较强的抗热猝灭能力。
(5) 荧光衰减曲线符合单指数衰减模型,最佳样品LMZ:0.03Sm3+在601 nm处的荧光寿命为0.704 1 ms,属于典型的Sm3+毫秒级辐射跃迁。
综上所述,我们成功开发出一种新型Sm3+掺杂La2MgZrO6橙红色荧光粉,其具有较高的色纯度、良好的热稳定性及与近紫外芯片匹配的激发特性,在高质量白光LED用红色荧光材料方面展现出良好的应用前景。
-
-
[1]
HUANG X J, ZHANG G H, DENG C Y, ZHANG M. Synthesis and photoluminescence characterization of Sm3+/Eu3+ single‑doped Gd2MgTiO6 phosphor for LEDs[J]. J. Mol. Struct., 2025, 1339: 142407
-
[2]
ZHAO H W, LU G J, YU M X, CHEN X T, YAO W, CAO C Y, XIE A. Exploring thermal enhancing of luminescence in Y2(WO4)3·3H2O:xmol%Eu3+ phosphors[J]. J. Solid State Chem., 2025, 348: 125377 doi: 10.1016/j.jssc.2025.125377
-
[3]
KEMPAIAH A, SHIVALINGASWAMY T, PRATIBHA S, MANJUNATHA C R. Facile fabrication and characterization of Sm3+ doped LaAlO3 nanophosphors for enhanced luminescence and photocatalytic dye degradation[J]. Solid State Commun., 2025, 402: 115960 doi: 10.1016/j.ssc.2025.115960
-
[4]
RAFIQ H, FAROOQ M, RASOOL M H, WANI A B, HAMEED Y. Deep dive into structural and optical study of stuffed-tridymite rare earth (Sm3+, Eu3+) doped CsZnPO4[J]. Opti. Mater. 2025, 163: 116963 doi: 10.1016/j.optmat.2025.116963
-
[5]
WANG R, XIE J T, HAIDER A A, ZHANG H Z, LI Y T, LI Z Y, XU Y J, JIANG M C, ZHANG J, QIAN W, ZHU J. Remarkable role of lanthanide substitution on luminescence chromaticity and thermostability of Sm3+-activated tellurate phosphors synthesized via microwave- assisted method[J]. J. Alloy. Compd., 2025, 1026: 180511
-
[6]
MHASHAKHETRI S T, YERPUDE A N, NANDANWAR C M, NANDE A V, DHOBLE S J. Investigation of structural, microstructural and optical properties of Ca3B2O6:Sm3+ downshifting phosphor[J]. Opti. Mater., 2025, 165: 117121 doi: 10.1016/j.optmat.2025.117121
-
[7]
YE H C, ZHANG W, CHENG X X, PAN C H, LI Y N, FENG Z Y, KONG H P, HU Z F. Novel red-light-excitable Sm3+-doped Gd2MgTiO6 phosphor for plant growth lighting[J]. Solid State Sciences, 2025, 165: 107957 doi: 10.1016/j.solidstatesciences.2025.107957
-
[8]
GUPTA I, KUMAR P, SINGH S, BHAGWAN S, KUMAR V, SINGH D. Phase recognition, structural measurements and photoluminescence studies of reddish-orange-emissive YAlO3:Sm3+ perovskite nanophosphors for NUV energized WLEDs[J]. J. Mol. Struct., 2022, 1267: 133567
-
[9]
YU Y, LI K J, DAI M M, XU H Y, WEI Y L, WANG R, FU Z L. Toward ultra-high sensitivity optical thermometers and bright yellow LEDs based on phonon-assisted energy transfer in rare earth-doped La2ZnTiO6 double perovskite[J]. Inorg. Chem., 2024, 63(30): 14142-14151 doi: 10.1021/acs.inorgchem.4c01929
-
[10]
ZHANG W K, DENG C Y, ZHANG M. Synthesis, structural and optical properties of a novel double perovskite Gd2MgTiO6:Dy3+ phosphors for LED applications[J]. Mater. Res. Bull., 2024, 179: 112982 doi: 10.1016/j.materresbull.2024.112982
-
[11]
YANG C, FAN C L, HUSSAIN F, SHENG W Q, SONG K X, WU J, HUANG Q M, SU W T, XU J M, SUN S K, WANG D W. Luminescent ionic lattice occupation and wide tunable emission spectra of La2MgZrO6:Bi3+, Eu3+ double perovskite phosphors for white light LED[J]. J. Rare Earths, 2023, 41(4): 489-497 doi: 10.1016/j.jre.2022.04.008
-
[12]
WEI X B, HUANG S, XU Z, WANG Y N, XING X L, SHANG M M. Photoluminescence properties of Ni2+-doped double perovskite A2MgTiO6 (A=La/Lu) phosphor with NIR-Ⅱ emission for spectral analysis application[J]. Opti. Mater., 2025, 160: 116792 doi: 10.1016/j.optmat.2025.116792
-
[13]
ZHAO S Q, CHEN Y J, GE Y M, ZHANG H B, YANG K, XU S Q, YANG X L, BAI G X. Multicolored luminescence in double perovskite Gd2ZnTiO6 phosphors with Tb3+/Eu3+ codoping and energy transfer[J]. J. Solid State Chem., 2025, 344: 125178 doi: 10.1016/j.jssc.2025.125178
-
[14]
LI H, NIU Y F, HAIDER A A, LIU C L, YOU C Y, ZHANG H Z, JIANG H M, LI J P, HUANG Y T, WANG S B, GAO D D, HUANG S P, ZHU J. Remarkable role of B site regulation on a highly heat- resistant double-perovskite phosphor with versatile NIR utilizations[J]. Chem. Eng. J., 2025, 510: 161635 doi: 10.1016/j.cej.2025.161635
-
[15]
ZENG H, ZHOU T, WANG L, XIE R J. Two-site occupation for exploring ultra-broadband near-infrared phosphor double-perovskite La2MgZrO6:Cr3+[J]. Chem. Mater., 2019, 31(14): 5245-5253 doi: 10.1021/acs.chemmater.9b01587
-
[16]
YANG C, FAN C L, HUSSAIN F, YE Z J, SHENG W Q, SONG K X, MUHAMMAD R, WU J, HUANG Q M, WANG H P, SU W T, XU J M, SUN S K, WANG D W. Sn4+ induced Bi3+ multi-lattice selective occupation and its color-tunable emission of La2MgZrO6:Bi3+, Sn4+ double perovskite phosphors[J]. J. Alloy. Compd., 2022, 902: 163724 doi: 10.1016/j.jallcom.2022.163724
-
[17]
CHEN Z H, TANG Q, ZENG J A, XIE H J, ZOU R, WANG J, LIU B M. Radiochromic perovskite La2MgZrO6:Pr for X-ray imaging and ionizing radiation detection[J]. Chem. Eng. J., 2025, 512: 162512 doi: 10.1016/j.cej.2025.162512
-
[18]
LEI Y Q, ZHANG M X, ZHANG M K, YU H X, TAN W H, MU Z L, WANG C Y, SHENG K, XIE M B, YU R J. The application of w-LEDs and latent fingerprint visualization with a newly developed reddish-orange YNb2VO9:Eu3+ phosphor[J]. J. Lumin., 2025, 283: 121274 doi: 10.1016/j.jlumin.2025.121274
-
[19]
JIANG Z L, HU T, MEN F, YANG H, LV W, WEN D W, ZENG Q G, GAO Y. An efficient and thermally stable red emitting Eu2+ doped oxide for rechargeable portable flashlight[J]. Chem. Eng. J., 2024, 482: 149086 doi: 10.1016/j.cej.2024.149086
-
[20]
CHEN Y L, WU H Y, LI Y M, LIU Z P, WAN J Y, HU Y H. Synthesis of Sr2Ta2O7:Eu3+ red phosphor and its luminescence characteristics[J]. J. Mater. Sci. ‒Mater. Electron., 2023, 34(24): 1740-1751 doi: 10.1007/s10854-023-11187-y
-
[21]
LI L H, SUN H P, ZHANG A L, ZHONG M, DENG B. Synthesis and optical characterization of novel orange-red emitting La3Ga5SnO14:Sm3+ phosphors with abnormal thermal quenching and application to w-LEDs[J]. J. Fluoresc., 2025, 35: 10431-10444 doi: 10.1007/s10895-025-04311-0
-
[22]
KONG X M, AI Y P, WEI M P, REN S T, WANG Z Y. A Ce3+-activated germanate blue phosphor for indoor plant lighting and temperature sensing[J]. J. Alloy. Compd., 2025, 1026: 180523
-
[23]
LIEN N T Q, VI N H, DAT T N, TRAC N N, TUYEN H V. Effect of Bi3+ on crystal structure and optical properties of Gd3PO7: Eu3+ phosphors[J]. Ceram. Int., 2023, 51(12): 16577-16583
-
[24]
DENG W J, HUANG D C, HE P H, YANG F L, PENG J Q, YOU W X, YE X Y. An efficient violet-excited and cyan-green/near-infrared dual emitting phosphor for full-spectrum lighting[J]. Ceram. Int., 2025, 51(12): 16710-16718 doi: 10.1016/j.ceramint.2024.08.395
-
[25]
NI J W, CHEN X, XIAO W Q, SONG X Y. A novel mixed metal orthoborate Ba2ZnTb2(BO3)4: Crystal structure and multicolor emitting properties introduced by Eu3+ doping[J]. Ceram. Int., 2025, 51(12): 16736-16748 doi: 10.1016/j.ceramint.2024.08.150
-
[26]
赵炎, 蒋小康, 李忠辉, 王佳旭, 周恒为, 郭海. Eu3+掺杂CaLaGaO4红色荧光粉的制备及其荧光性能[J]. 无机化学学报, 2024, 40(10): 1861-1868. doi: 10.11862/CJIC.20240242ZHAO Y, JIANG X K, LI Z H, WANG J X, ZHOU H W, GUO H. Preparation and fluorescence properties of Eu3+-doped CaLaGaO4 red phosphors[J]. Chinese J. Inorg. Chem., 2024, 40(10): 1861-1868 doi: 10.11862/CJIC.20240242
-
[1]
-
表 1 LMZ:xSm3+的色坐标、CCT和CP
Table 1. Chromatic coordinates, CCT, and CP of LMZ:xSm3+
x X Y CCT / K CP / % 0.01 0.492 1 0.489 4 2 833 74 0.03 0.536 1 0.452 6 2 177 79 0.05 0.532 5 0.455 7 2 225 78 0.07 0.517 2 0.468 6 2 442 76 0.09 0.514 0 0.471 3 2 490 75 0.11 0.501 9 0.481 4 2 677 74 -
扫一扫看文章
计量
- PDF下载量: 1
- 文章访问数: 431
- HTML全文浏览量: 21

下载:
下载:
下载: