Theoretical study on the thermally activated delayed fluorescence, and efficiency roll-off characteristics of a series of blue and blue-green Ir(Ⅲ) complexes

Zhengkun QIN Lixin BAO Yunkai ZHANG Lin CUI Jinyu WANG Yuhao WANG Mingxing SONG

Citation:  Zhengkun QIN, Lixin BAO, Yunkai ZHANG, Lin CUI, Jinyu WANG, Yuhao WANG, Mingxing SONG. Theoretical study on the thermally activated delayed fluorescence, and efficiency roll-off characteristics of a series of blue and blue-green Ir(Ⅲ) complexes[J]. Chinese Journal of Inorganic Chemistry, 2026, 42(2): 365-374. doi: 10.11862/CJIC.20250222 shu

一系列蓝色和蓝绿色Ir(Ⅲ)配合物的热活化延迟荧光及效率衰减特性的理论研究

    通讯作者: 宋明星, mxsong@jlnu.edu.cn
  • 基金项目:

    国家自然科学基金 21701047

    吉林省教育厅科学技术研究基金 JJKH20250944KJ

    吉林省教育厅科学技术研究基金 JJKH20191024KJ

    吉林省科学技术发展基金 20220101039JC

    吉林省科学技术发展基金 20180520191JH

摘要: 从理论上研究了一系列蓝色和蓝绿色Ir(Ⅲ)配合物,以探索它们的电子结构、光物理性质、效率衰减特性和热活化延迟荧光(TADF)性质。所有计算均使用密度泛函理论(DFT)和含时密度泛函理论(TDDFT)。使用Gaussian 09软件包对配合物的电子结构、前沿分子轨道特性(决定复合物的效率滚降效应)和光物理性质进行了计算。使用ORCA软件包计算了自旋轨道耦合矩阵元<T|HSOC|S>(决定复合物的TADF性质)。计算结果表明,辅助配体四苯基亚氨基二膦酸(tpip)是一种强吸电子基团,可以降低配合物的效率滚降效应。此外,在设计的(F3Phppy)2Ir(tpip)配合物(F3Phppy=2-[4-(2,4,6-三氟苯基)苯基]吡啶)中观察到TADF。

English

  • For more than a decade, Ir(Ⅲ) complexes have gained significant attention in organic light-emitting diodes (OLEDs) due to their excellent features, such as high quantum efficiency, excellent thermal and chemical stability, and a wide scope of emissive colors, demonstrating potential applications in flat-panel displays and solid-state lighting sources[1-2]. Up to now, the comprehensive performance of Ir(Ⅲ)-complex-based green/red-light phosphors has approached commercial standards, exemplified by compounds such as Ir(ppy)3 and Ir(dfppy)2(acac) (green: ppy=2-phenylpyridine, dfppy=4, 6-difluorophenylpyridine, acac=acetylacetonate) and Ir(piq)3 (red: piq=1-phenylisoquinolato)[3-17]. However, the use of Ir(Ⅲ)-complex-based blue-light phosphors in commercial applications has rarely been reported[18-21]. This is primarily because, on the one hand, the wide energy gap leads to insufficient emission efficiency for blue-light phosphors. On the other hand, the efficiency roll-off effect prevents their effective use in solid-state lighting sources and even flat-panel displays[22-23].

    Generally, improving the luminescence efficiency of blue-light phosphors through ligand adjustment is challenging, as it is an inherent property of the wide energy gap. Conversely, introducing electron-withdrawing or electron-donating groups into the ligand can adjust the charge transfer mode, thereby reducing the phosphorescence lifetime. This lifetime is a key factor in determining whether the material exhibits the efficiency roll-off effect[24]. In 2011, Zhu et al. proposed a strategy to reduce the phosphorescence lifetime of a blue Ir(Ⅲ) complex (Ir(dfppy)2(tpip): dfppy=4, 6-difluorophenylpyridine, tpip=tetraphenylimidodiphosphinate), thereby mitigating its efficiency roll-off effect[24]. The literature reports excellent performance for this complex, characterized by an emission maximum at 485 nm, CIE color coordinates of (0.15, 0.36), and a triplet state (T1) lifetime of 0.77 μs. However, the analysis of the complex′s photophysical properties is limited.

    For Ir(dfppy)2(tpip), what attracts us is not only its aforementioned excellent performance but also its broad emission spectrum band (430-600 nm), which necessarily corresponds to richer charge transfer modes. Interestingly, research on the thermal activation delayed fluorescence (TADF) properties of transition metal complexes has been extremely limited since Kawai et al. first proposed this phenomenon for such complexes in 2006[25-36].

    In this article, using the classic blue Ir(Ⅲ) complexes FIrpic (pic=picolinic acid) and Ir(dfppy)2(tpip) as parent compounds, we extracted their auxiliary ligands and introduced a benzene ring into the main ligand phenylpyridine to provide rich frontier molecular orbitals (FMOs). We designed six blue Ir complexes: (Phppy)2Ir(pic) (1), (F3Phppy)2Ir(pic) (2), (Phppy)2Ir(tmd) (3), (F3Phppy)2Ir(tmd) (4), (Phppy)2Ir(tpip) (5), and (F3Phppy)2 Ir(tpip) (6), where Phppy=2-(biphenyl-4-yl)pyridine, tmd=2,2,6,6-tetramethyl-3,5-heptanedione). We investigated the electronic structures, fragment-composed FMOs, absorption spectra, and emission spectra (fluorescence and phosphorescence) properties of Ir(Ⅲ) complexes 1-6 using density functional theory (DFT) and time-dependent density functional theory (TDDFT) methods. To investigate the TADF property of the designed complexes, the spin-orbit coupling (SOC) matrix elements were also calculated. We anticipate that the materials we designed can be synthesized in the future.

    As is well known, FIrpic is a classic blue electroluminescent material, holding a leading position among blue emitters in key performance metrics. These include an emission maximum at approximately 472 nm, a high maximum current efficiency of 53.6 cd·A-1, and a high maximum external quantum efficiency (EQE) of 30.0% at 100 cd·m-2 [22]. These data demonstrate the rationality of the structural design of FIrpic. However, its severe efficiency roll-off effect prevents it from reaching commercial standards. Zhu et al. replaced the pic ligand in FIrpic with tpip and experimentally synthesized Ir(dfppy)2(tpip)[24]. This modification concentrated the FMOs towards the main ligand and the metal center, shortened the charge transfer distance, and mitigated the efficiency roll-off effect of the emitter, which increases the triplet intra-ligand charge transfer (3ILCT) component while decreasing the triplet ligand-to-ligand charge transfer (3LLCT) component. However, it also caused a redshift of the emission spectrum (to 485 nm)[24]. This systematic design explores the distinct roles of main ligands (Phppy vs F3Phppy) and ancillary ligands (pic, tmd, and tpip). Qualitatively: (1) extending conjugation in the main ligand (Phppy) increases FMO contributions and induces a blue shift in absorption; (2) introducing strong electron-withdrawing fluorine groups (F3Phppy) effectively compresses the energy gap between the singlet excited state (S1) and T1 ($ \Delta {E}_{{S}_{1}{T}_{1}} $), enhancing TADF potential; (3) employing the strong electron-withdrawing ancillary ligand tpip significantly localizes FMOs on the main ligand and metal center, shortening the charge transfer distance and reducing 3LLCT character, which is key to suppressing efficiency roll-off, albeit accompanied by an emission redshift. The ancillary ligand tmd exhibits intermediate electron-withdrawing ability, with effects lying between those of pic and tpip.

    In previous work, we carefully studied the effect of tpip ligands on the FMOs in Ir(Ⅲ) complexes. We found that although tpip ligands increased the 3ILCT contribution, the 3LLCT component persisted. This persistence is the main reason for the observed emission spectrum redshift[37-40]. We speculate two primary reasons for this phenomenon: firstly, the structure of the main ligands might be too small to provide sufficient FMOs; secondly, the electron-withdrawing group tpip might be insufficient to fully concentrate the FMOs on the main ligands and the metal center. To verify the correctness of this hypothesis, we introduced the main ligand Phppy (providing more active orbitals for the FMOs) to address the first point, and the main ligand F3Phppy (containing the electron-withdrawing fluorine group) to address the second point in this study (Fig.1).

    Figure 1

    Figure 1.  (a) Sketch maps and (b) the optimized ground state (S0) geometrical structures of the complexes

    To ensure the reliability of the calculation results, we employed the established computational methodology previously used for FIrpic[41-43]. The S0 and T1 geometries were optimized using the DFT and TDDFT methods, respectively, with the Becke three-parameter Lee-Yang-Parr (B3LYP) exchange-correlation functional[44-46]. No symmetry constraints were applied to these complexes.

    Sketch maps depicting the optimized S0 geometrical structures of the complexes are shown in Fig.1. Key geometric parameters for the S0 and T1 are summarized in Table 1. As shown in Table 1, the molecular structures of complexes 1-6 exhibit slight distortions in their S0. The bond lengths of Ir—C and Ir—N maintain good symmetry, while minor changes (<9.38°) are observed in bond angles ∠N1—Ir—C1, ∠N1—Ir—C2, ∠N1—Ir—N3/∠N1—Ir—O1, and ∠N1—Ir—O/∠N1—Ir—O2. Furthermore, the S0 structures of all complexes maintain a regular octahedral configuration, effectively preventing π-π stacking——a key factor contributing to the efficiency roll-off effect. Compared to the S0 of complexes 1-6, the T1 structures of complexes 1-3 undergo significant deformation, while complexes 4-6 show nearly no structural changes. This suggests that complexes 1-3 require a larger energy barrier to undergo radiative transitions.

    Table 1

    Table 1.  Main geometry structural parameters of S0 and T1 of the complexes under DFT and TDDFT level*
    下载: 导出CSV
    Complex State Selected bond length / nm Selected bond angle / (°)
    R1 R2 R3 R4 R5 R6 A1 A2 A3 A4 A5
    1 S0 0.20 0.20 0.20 0.20 0.21 0.21 174.87 80.70 94.73 89.88 91.20
    T1 0.20 0.19 0.20 0.20 0.22 0.21 175.86 82.12 95.46 88.00 92.35
    2 S0 0.20 0.20 0.20 0.20 0.21 0.21 175.02 80.62 94.89 89.78 91.33
    T1 0.20 0.19 0.20 0.20 0.22 0.21 176.46 82.13 95.97 87.10 92.71
    3 S0 0.20 0.20 0.20 0.20 0.21 0.21 176.59 80.74 96.86 93.33 89.17
    T1 0.20 0.20 0.20 0.19 0.22 0.22 177.54 96.82 80.59 94.64 87.56
    4 S0 0.20 0.20 0.20 0.20 0.21 0.21 176.49 80.68 96.79 93.37 89.42
    T1 0.20 0.20 0.20 0.20 0.21 0.21 176.49 80.72 96.89 93.19 89.19
    5 S0 0.20 0.20 0.20 0.20 0.22 0.22 174.98 80.88 95.61 94.59 88.93
    T1 0.20 0.20 0.20 0.20 0..2 0.22 174.98 80.89 95.62 94.58 88.92
    6 S0 0.20 0.20 0.20 0.20 0.22 0.22 175.02 80.83 95.68 94.33 89.23
    T1 0.25 0.20 0.20 0.20 0.22 0.22 175.02 80.83 95.68 94.33 89.23
    *R1: Ir—N1, R2: Ir—C1, R3: Ir—N2, R4: Ir—C2, R5: Ir—N3/Ir—O1, R6: Ir—O/Ir—O2; A1: ∠N1—Ir—N2, A2: ∠N1—Ir—C1, A3: ∠N1—Ir—C2, A4: ∠N1—Ir—N3/∠N1—Ir—O1, A5: ∠N1—Ir—O/∠N1—Ir—O2.

    It is known that charge transitions within the FMOs of the S0 of complexes——which represent the system′s most active orbitals——will be accompanied by optical radiation or non-radiation processes. Therefore, we discuss the S0 electronic structure, focusing on the highest occupied molecular orbit (HOMO)/lowest unoccupied molecular orbit (LUMO) distribution, energy levels, and energy gaps. These for complexes 1-6 are shown in Fig.2; their fragment-composed FMOs are in Table S1-S6 (Supporting information).

    Figure 2

    Figure 2.  Electronic structures on the HOMOs and LUMOs of S0, energy levels, and energy gaps (Eg) between HOMO and LUMO of the complexes 1-6

    The lines of green and the lines of red are HOMO and LUMO energy levels, respectively.

    In FIrpic′s S0, HOMO localizes on Ir and the main ligand phenyl, LUMO localizes on auxiliary ligands[41-43]. Compared to it, complex 1′s extra main ligand phenyl increases main ligands′ HOMO/LUMO contributions via more FMOs, with this amplified in complex 2 by electron-withdrawing fluorine (Fig.2, Table S1-S6). For complexes 3 and 4, replacing the auxiliary ligand pic with tmd increases the proportion of FMO components localized on the main ligands, while significantly reducing the proportion on the auxiliary ligands. Similarly, the FMOs of complexes 5-6 are almost entirely localized on the main ligands. This indicates that complexes 5-6 exhibit low efficiency roll-off characteristics, attributable to the strongly electron-withdrawing group tpip. This phenomenon demonstrates that introducing a phenyl group into the main ligand shifts the FMOs toward the main ligand, and fluorination of this phenyl group amplifies the effect. Additionally, adjusting the electron-donating ability of the auxiliary ligand achieves the same outcome.

    The energies of different states and the energy gaps between states for complexes 1-6 are listed in Table 2. Our calculation results show that the energy levels of each electronic state in the complexes are reasonably distributed. The $ \Delta {E}_{{S}_{1}{T}_{1}} $ are 1.174, 1.069, 1.156, 1.005, 0.861, and 0.752 eV, respectively.

    Table 2

    Table 2.  Energy levels of the S0, the lowest singlet S1, and the lowest T1 under the M06-2X functional
    下载: 导出CSV
    Complex $ {E}_{{S}_{0}} $ / eV $ {E}_{{S}_{1}} $ / eV $ {E}_{{T}_{1}} $ / eV Δ$ \Delta {E}_{{S}_{0}{S}_{1}} $ / eV $ \Delta {E}_{{S}_{0}{T}_{1}} $ / eV $ \Delta {E}_{{S}_{1}{T}_{1}} $ / eV
    1 -5.261 -1.722 -2.896 3.539 2.365 1.174
    2 -5.280 -1.784 -2.853 3.496 2.427 1.069
    3 -5.065 -1.563 -2.719 3.502 2.346 1.156
    4 -5.077 -1.675 -2.680 3.402 2.397 1.005
    5 -5.016 -1.522 -2.383 3.494 2.633 0.861
    6 -5.034 -1.641 -2.393 3.393 2.641 0.752
    $E_{S_0}, E_{S_1}$, and $E_{T_1}$ are the energies of S0, the lowest S1, and the lowest T1 under the M06-2X functional, respectively; and are the energy gaps between different states (S0 and S1, S0 and T1, respectively).

    Fluorination of the phenyl group on the main ligand causes a slight decrease in $ \Delta {E}_{{S}_{1}{T}_{1}} $ (ca. 0.1 eV). Furthermore, $ \Delta {E}_{{S}_{1}{T}_{1}} $ decreases as the electron-donating ability of the auxiliary ligand increases. Notably, the $ \Delta {E}_{{S}_{1}{T}_{1}} $ values for complexes 5-6 (which feature the tpip auxiliary ligand) reach levels conducive to the TADF phenomenon (0.861 and 0.752 eV)[47].

    Based on the FMO composition and energy gap analysis (Fig.2, Table 2 and S1-S6), the performance tendencies of the six complexes are summarized as follows: complexes 1-2 with the weakly electron-withdrawing ancillary ligand pic are prone to 3LLCT and exhibit a higher risk of efficiency roll-off; complexes 3-4 with the moderately electron-withdrawing tmd show improvement; complexes 5-6 with the strongly electron-withdrawing tpip display the lowest tendency for efficiency roll-off due to highly localized FMOs and significantly reduced 3LLCT. Notably, complex 6 combines the low $ \Delta {E}_{{S}_{1}{T}_{1}} $ (0.752 eV) from F3Phppy and the strong FMO localization from tpip, predicting both low efficiency roll-off and TADF characteristics.

    The calculated absorption spectra, along with their oscillator strengths, assignments, and excitation energies, are listed in Table S7. The FMO properties are listed in Table S1-S6. For clarity, only the leading excited states (with large configuration interaction coefficients) are listed. The calculated phosphorescent emissions of the complexes in CH2Cl2 solution are listed in Table 3.

    Table 3

    Table 3.  Phosphorescent emission parameters of the complexes in CH2Cl2 solution under the TDDFT/M06-2X calculations
    下载: 导出CSV
    Complex Energy / eV Wavelength / nm Major Contribution rate / % Character
    1 2.37 524.25 HOMO→LUMO 55.7 3MLCT*+3LLCT+3ILCT
    HOMO→LUMO+1 36.8
    2 2.43 510.78 HOMO→LUMO 55.8 3MLCT+3LLCT+3ILCT
    HOMO→LUMO+1 35.6
    3 2.35 528.50 HOMO→LUMO 60.2 3MLCT+3LLCT+3ILCT
    HOMO→LUMO+1 28.7
    4 2.40 517.23 HOMO→LUMO 59.6 3MLCT+3LLCT+3ILCT
    HOMO→LUMO+2 30.0
    5 2.63 470.85 HOMO→LUMO 57.0 3MLCT+3LLCT+3ILCT
    HOMO→LUMO+2 33.5
    6 2.64 469.39 HOMO→LUMO 58.2 3MLCT+3LLCT+3ILCT
    HOMO→LUMO+2 31.7
    *3MLCT: the triplet metal-to-ligand charge transfer.

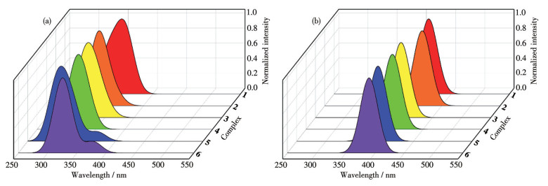
    In addition, Ir(Ⅲ) complexes typically exhibit main peaks and shoulder peaks in their emission spectra. The main peak primarily corresponds to fluorescence emission, while the shoulder peak primarily corresponds to phosphorescence emission. Thus, the fluorescence emission spectra of the complexes were also calculated and are shown in Fig.3, together with the absorption spectra of complexes 1-6.

    Figure 3

    Figure 3.  (a) Absorption spectra and (b) fluorescence emission spectra of the complexes 1-6

    As shown in Table S7 and Fig.3, the positions of the strongest absorption peaks for complexes 1-6, generated by the excitation of multiple electronic states, are 347, 325, 322, 321, 307, and 326 nm, respectively. Compared to FIrpic, the absorption spectra of complexes 1-2 show a blue shift (ca. 78 nm), attributed to the introduction of phenyl groups into the main ligand[43]. For complexes 3-6, as electron-withdrawing groups are introduced via the auxiliary ligands, the frontier orbital components gradually shift towards the main ligand and the metal center, and the original 1LLCT charge transfer transition transforms into 1ILCT. Consequently, compared to complexes 1-2, the blue shift in the absorption spectra of complexes 3-6 is less pronounced.

    Interestingly, as reported in the literature, Ir complexes typically undergo a blue shift in their absorption and emission spectra upon fluorination of the main ligand[48]. In this work, complexes 1-2 (with pic as the auxiliary ligand) follow this pattern. For complexes 3-4 (with tmd as the auxiliary ligand), fluorination of the main ligand has almost no effect on the absorption spectrum. Uniquely, complexes 5-6 (with tpip as the auxiliary ligand) exhibit a red shift in their absorption spectra. The reason for this anomalous phenomenon is that the tmd and tpip groups possess strong electron-withdrawing abilities, causing the FMOs of complexes 3-6 to localize on both the main ligand and the metal center. Therefore, fluorination of the main ligand affects both the HOMO and LUMO.

    Complexes 1-6 show fluorescence emission peaks (412-390 nm, Fig.3) and phosphorescence peaks (524.25-469.39 nm, Table 3; blue/blue-green). Their emission spectra have a main fluorescence peak (determining color) and a phosphorescent shoulder. Enhanced auxiliary ligand electron-donating ability causes significant blue shifts in emission; main ligand fluorination has little effect, due to weakened 3LLCT and strengthened 3ILCT. Notably, complexes 5-6 have absorption shoulder peaks (363, 367 nm) near their fluorescence peaks (389, 390 nm), suggesting possible TADF.

    The efficiency roll-off in OLEDs, particularly problematic for blue emitters, is primarily caused by exciton-exciton annihilation at high current densities. Its severity is critically linked to the material′s phosphorescence lifetime (τ). According to the well-established model by Adachi et al.: efficiency roll-off is proportional to τ2/d2, where d is the exciton diffusion distance[27]. This highlights that shortening τ is a highly effective strategy to suppress roll-off. Strikingly, Zhu et al. experimentally measured an exceptionally short τ (0.77 μs) for Ir(dfppy)2(tpip)[24], a complex structurally analogous to our designed 5-6 (both featuring the key tpip ancillary ligand). This value is significantly lower than the typical τ (1.4 μs) observed for the benchmark blue emitter FIrpic[49]. Applying the relationship above, a reduction in τ from 1.40 to 0.77 μs (a decrease of ca. 45%) would theoretically suppress efficiency roll-off by approximately 70% under comparable exciton diffusion conditions. This compelling experimental evidence strongly corroborates our theoretical prediction that the tpip ligand effectively mitigates efficiency roll-off. The physical origin lies in the strong electron-withdrawing nature of tpip, which localizes FMOs on the main ligand and metal center (Fig.2, Table S5-S6), thereby reducing long-range 3LLCT processes and shortening the excited-state lifetime, τ.

    To further validate the TADF properties of the complexes, SOC matrix elements (<T|HSOC|S>, shown in Table 4) were calculated. The results show that the <T|HSOC|S> between the S1 and T1 states for complexes 3 and 6 are below 10 cm-1. This small SOC matrix element <T|HSOC|S> facilitates the reverse intersystem crossing (RISC) process between the S1 and T1 states for these complexes. However, for complex 3, the $ \Delta {E}_{{S}_{1}{T}_{1}} $ (1.156 eV, Table 2) is too large for RISC to occur efficiently. Consequently, while the calculated data confirms the presence of the TADF phenomenon in complex 6, it cannot be confirmed for complex 3.

    Table 4

    Table 4.  SOC matrix elements of the complexes $\Delta E_{S_0 T_1}$
    下载: 导出CSV
    Complex <S1|Hsoc|T1> /
    cm-1
    <S1|Hsoc|T2> /
    cm-1
    <S1|Hsoc|T3> /
    cm-1
    1 55.78 67.67 117.86
    2 49.78 89.19 124.28
    3 6.61 79.96 822.29
    4 10.42 46.56 843.64
    5 23.33 181.74 813.78
    6 8.09 136.56 817.62

    To investigate the efficiency roll-off effect and thermally activated delayed fluorescence (TADF) characteristics of Ir(Ⅲ) complexes, we theoretically designed and calculated complexes 1-6, focusing on their geometrical structures, FMO properties, absorption spectra, emission spectra (fluorescence and phosphorescence), and SOC effects. The results show that the S0 molecular structures of all complexes exhibit a regular octahedral configuration, which structurally reduces the efficiency roll-off effect. Significant differences between the ground and excited state molecular structures of complexes 1-3 indicate that they require overcoming higher energy barriers during light emission.

    Furthermore, introducing phenyl groups into the main ligands broadens their steric volume, facilitating the shift of FMOs towards the main ligands and the Ir center. Introducing tpip auxiliary ligands shifts almost all FMOs onto the main ligands, shortening the charge transfer distance and thereby achieving the goal of reducing the efficiency roll-off effect for complexes 5-6.

    Critically, the strong electron-withdrawing ancillary ligand tpip localizes FMOs on the main ligand and metal (reducing 3LLCT), leading to a significant shortening of the phosphorescence lifetime τ (experimentally demonstrated to be >45% reduction in analogous tpip complexes[24]). According to the Adachi model, this translates to a substantial suppression of efficiency roll-off by ca. 70%. Simultaneously, the fluorinated main ligand F3Phppy compresses the $ \Delta {E}_{{S}_{1}{T}_{1}} $ gap to 0.75 eV in complex 6, enabling TADF[49].

    Analysis of photophysical properties reveals that introducing phenyl groups into the main ligands causes a blue shift in the absorption spectra. Conversely, fluorination of these phenyl groups has little effect on the spectral shift because the FMOs are primarily localized on the main ligands and the Ir atom. Finally, the calculated <T|HSOC|S> values, S1-T1 energy gaps, and emission spectra collectively indicate that complex 6 displays TADF properties.


    Acknowledgments: The authors are grateful to the financial aid from the National Natural Science Foundation of China (Grant No.21701047), Science and Technology Research Foundation of Jilin Provincial Department of Education (Grants No. JJKH20250944KJ, JJKH20191024KJ), and the Science and Technology Development Foundation of Jilin Province of China (Grants No.20220101039JC, 20180520191JH). Supporting information is available at http://www.wjhxxb.cn
    1. [1]

      LI X N, XIE Y J, LI Z. Diversity of luminescent metal complexes in OLEDs: Beyond traditional precious metals[J]. Chem. Asian J., 2021, 16: 2817-2829 doi: 10.1002/asia.202100784

    2. [2]

      JAYARAMAN J, VENUGOPAL T, SHANMUGAM T. Phosphorescent organic light-emitting devices: iridium based emitting materials-An overview[J]. Coord. Chem. Rev., 2023, 483: 215100 doi: 10.1016/j.ccr.2023.215100

    3. [3]

      BALDO M A, LAMANSKY S, BURROWS P E, THOMPSON M E, FORREST S R. Very high-efficiency green organic light-emitting devices based on electrophosphorescence[J]. Appl. Phys. Lett., 1999, 75(1): 4-6 doi: 10.1063/1.124258

    4. [4]

      HOLMES R J, FORREST S R, TUNG Y J, KWONG R C, BROWN J J, GARON S, THOMPSON M E. Efficient blue organic light-emitting devices with reduced efficiency roll-off[J]. Appl. Phys. Lett., 2003, 82(15): 2422-2424 doi: 10.1063/1.1568146

    5. [5]

      TOKITO S, IIJIMA T, SUZURI Y, KITA H, TSUZUKI T, SATO F. Highly efficient phosphorescence from organic light-emitting devices with an exciton-block layer[J]. Appl. Phys. Lett., 2003, 83: 569-571 doi: 10.1063/1.1594834

    6. [6]

      LI J, DJUROVICH P I, ALLEYNE B D, YOUSUFUDDIN M, HO N N, THOMAS J C, PETERS J C, BAU R, THOMPSON M E. Synthetic control of excited-state properties in cyclometalated Ir(Ⅲ) complexes using ancillary ligands[J]. Inorg. Chem., 2005, 44(6): 1713-1727 doi: 10.1021/ic048599h

    7. [7]

      LYU Y Y, BYUN Y, KWON O, HAN E, JEON W S, DAS R R, CHAR K. Substituent effect on the luminescent properties of a series of deep blue emitting mixed ligand Ir(Ⅲ) complexes[J]. J. Phys. Chem. B, 2006, 110(21): 10303-10314 doi: 10.1021/jp057446s

    8. [8]

      CHENG M N, WANG H, GONG L Z. A Facile and general approach to the synthesis of chiral biphenyl-based phosphoric acids and their application in asymmetric catalysis[J]. Angew. Chem. ‒Int. Edit., 2007, 46(14): 2418-2421 doi: 10.1002/anie.200604733

    9. [9]

      ZHOU G J, WONG W Y, YAO B, XIE Z Y, WANG L X. A facile synthesis of chiral biphenyl-based phosphoric acids via palladium-catalyzed asymmetric cross-coupling[J]. Angew. Chem. ‒Int. Edit., 2007, 46(8): 1189-1192 doi: 10.1002/anie.200790022

    10. [10]

      HO C L, WONG W Y, WANG Q, MA D G, WANG L X, LIN Z Y. Highly efficient green-emitting iridium(Ⅲ) phosphors with tunable triplet energy for phosphorescent organic light-emitting diodes[J]. Adv. Funct. Mater., 2008, 18(13): 2305-2310

    11. [11]

      CHANG C F, CHENG Y M, CHI Y, CHIU Y C, LIN C C, LEE G H, CHOU P T, CHEN C C, CHANG C H, WU C C. Ruthenium-catalyzed asymmetric transfer hydrogenation of quinolines: A practical approach to chiral tetrahydroquinolines[J]. Angew. Chem. ‒Int. Edit., 2008, 47(24): 4449-4452 doi: 10.1002/anie.200890111

    12. [12]

      LEE J H, SHIN H, KIM J M, KIM K H, KIM J J. Exciplex-forming co-host-based red phosphorescent organic light-emitting diodes with long operational stability and high efficiency[J]. ACS Appl. Mater. Interfaces, 2017, 9(4): 3277-3281 doi: 10.1021/acsami.6b14438

    13. [13]

      KIM K H, AHN E S, HUH J S, KIM Y H, KIM J J. Design of heteroleptic Ir complexes with horizontal emitting dipoles for highly efficient organic light-emitting diodes with an external quantum efficiency of 38%[J]. Chem. Mater., 2016, 28(20): 7505-7510 doi: 10.1021/acs.chemmater.6b03428

    14. [14]

      KIM S Y, JEONG W I, MAYR C, PARK Y S, KIM K H, LEE J H, MOON C K, BRÜTTING W, KIM J J. Organic light-emitting diodes with 30% external quantum efficiency based on a horizontally oriented emitter[J]. Adv. Funct. Mater., 2013, 23(31): 3896-3900 doi: 10.1002/adfm.201300104

    15. [15]

      SEO S, SHITAGAKI S, OHSAWA N, INOUE H, SUZUKI K, NOWATARI H, YAMAZAKI S. Exciplex-triplet energy transfer: A new method to achieve extremely efficient organic light-emitting diode with external quantum efficiency over 30% and drive voltage below 3 V[J]. Jpn. J. Appl. Phys., 2014, 53: 042102 doi: 10.7567/JJAP.53.042102

    16. [16]

      KIM K H, LEE S, MOON C K, KIM S Y, PARK Y S, LEE J H, KIM J J. Phosphorescent dye-based supra-molecules for high-efficiency organic light-emitting diodes[J]. Nat. Commun., 2014, 5: 4769 doi: 10.1038/ncomms5769

    17. [17]

      LI X, ZHANG J, ZHAO Z, WANG L, YANG H, CHANG Q, LU Z. Deep blue phosphorescent organic light-emitting diodes with CIEy value of 0.11 and external quantum efficiency up to 22.5%[J]. Adv. Mater., 2018, 30: 1705005 doi: 10.1002/adma.201705005

    18. [18]

      LEE J H, CHENG S H, YOO S J, SHIN H, CHANG J H, WU C I, WONG K T, KIM J J. An exciplex forming host for highly efficient blue organic light emitting diodes with low driving voltage[J]. Adv. Funct. Mater., 2015, 25(3): 361-366 doi: 10.1002/adfm.201402707

    19. [19]

      SHIN H, LEE J H, MOON C K, HUH J S, SIM B, KIM J J. Sky-blue phosphorescent OLEDs with 34.1% external quantum efficiency using a low refractive index electron transporting layer[J]. Adv. Mater., 2016, 28(25): 4920-4925

    20. [20]

      ZAEN R, PARK K M, LEE K H, LEE J Y, KANG Y. Blue phosphorescent Ir(Ⅲ) complexes achieved with over 30% external quantum efficiency[J]. Adv. Opt. Mater., 2019, 7: 1901387 doi: 10.1002/adom.201901387

    21. [21]

      BARANOFF E, CURCHOD B F E. FIrpic: Archetype blue phosphorescent emitter for electroluminescence[J]. Dalton Trans., 2014, 43(21): 2991-2995

    22. [22]

      KANG J W, LEE S H, PARK H D, JEONG W I, YOO K M, PARK Y S, KIM J J. Highly efficient blue phosphorescent organic light-emitting diodes with a hole-blocking layer[J]. Appl. Phys. Lett., 2007, 90(22): 223508 doi: 10.1063/1.2745224

    23. [23]

      ZHU Y C, ZHOU L, LI H Y, XU Q L, TENG M Y, ZHENG Y X, ZUO J L, ZHANG H J, YOU X Z. Highly efficient green and blue-green phosphorescent OLEDs based on iridium complexes with the tetraphenylimidodiphosphinate ligand[J]. Adv. Mater., 2011, 23: 4041-4046 doi: 10.1002/adma.201101792

    24. [24]

      WONG M Y, ZYSMAN-COLMAN E. Purely organic thermally activated delayed fluorescence materials for organic light-emitting diodes[J]. Adv. Mater., 2017, 29(22): 1605444 doi: 10.1002/adma.201605444

    25. [25]

      ADACHI C, BALDO M A, THOMPSON M E. Nearly 100% internal phosphorescence efficiency in an organic light-emitting device[J]. J. Appl. Phys., 2001, 90(10): 5048-5051 doi: 10.1063/1.1409582

    26. [26]

      ENDO A, OGASAWARA M, TAKAHASHI A, YOKOYAMA D, KATO Y, ADACHI C. Thermally activated delayed fluorescence from Sn4+-porphyrin complexes and their application to organic light emitting diodes——A novel mechanism for electroluminescence[J]. Adv. Mater., 2009, 21(47): 4802-4806 doi: 10.1002/adma.200900983

    27. [27]

      LEITL M J, KRYLOVA V A, DJUROVICH P I, THOMPSON M E, YERSIN H. Phosphorescence versus thermally activated delayed fluorescence: Controlling singlet-triplet splitting in brightly emitting and sublimable Cu􀃬 compounds[J]. J. Am. Chem. Soc., 2014, 136(45): 16032 doi: 10.1021/ja508155x

    28. [28]

      KRYLOVA V A, DJUROVICH P I, CONLEY B L, HAIGES R, WHITED M T, WILLIAMS T J, THOMPSON M E. Highly efficient blue thermally activated delayed fluorescence emitters based on ortho-metalated iridium complexes[J]. Chem. Commun., 2014, 50(60): 7176-7178

    29. [29]

      HOFBECK T, MONKOWIUS U, YERSIN H. Highly efficient luminescence of Cu􀃬 compounds: Thermally activated delayed fluorescence combined with short-lived phosphorescence[J]. J. Am. Chem. Soc., 2015, 137(1): 399-404 doi: 10.1021/ja5109672

    30. [30]

      ZINK D M, VOLZ D, BAUMANN T, MYDLAK M, FLÜGGE H, FRIEDRICHS J, NIEGER M, BRÄSE S. Highly soluble copper􀃬 complexes for inkjet-printed OLEDs[J]. Chem. Mater., 2013, 25(22): 4471-4479 doi: 10.1021/cm4018375

    31. [31]

      WALLESCH M, VOLZ D, ZINK D M, SCHEPERS U, NIEGER M, BAUMANN T, BRÄSE S. Bright coppertunities: Multinuclear Cu􀃬 complexes with N-P ligands and their applications[J]. Chem. ‒Eur. J., 2014, 20(22): 6578-6590 doi: 10.1002/chem.201402060

    32. [32]

      BIZZARRI C, STRABLER C, PROCK J, TRETTENBREIN B, RUGGENTHALER M, YANG C H, POLO F, IORDACHE A, BRUGGELLER P, DE COLA L. Influence of substituents on the energy and nature of the lowest excited states of heteroleptic phosphorescent Ir(Ⅲ) complexes: A joint theoretical and experimental study[J]. Inorg. Chem., 2014, 53(21): 10944-10952

    33. [33]

      LIANG D, CHEN X L, LIAO J Z, HU J Y, JIA J H, LU C Z. Influence of substituents on the magnetic properties of a series of dysprosium-based single-molecule magnets[J]. Inorg. Chem., 2016, 55(14): 7467-7474

    34. [34]

      WANG Z, ZHENG C, WANG W, XU C, JI B, ZHANG X. Synthesis, structure, and magnetic properties of a series of dysprosium-based single-molecule magnets with different substituents[J]. Inorg. Chem., 2016, 55(5): 2157-2164 doi: 10.1021/acs.inorgchem.5b02546

    35. [35]

      KAWAMURA Y, BROOKS J, BROWN J J. Intermolecular interaction and a concentration-quenching mechanism of phosphorescent iridium(Ⅲ) complexes in a solid film[J]. Phys. Rev. Lett., 2006, 96(1): 017404 doi: 10.1103/PhysRevLett.96.017404

    36. [36]

      CHI H Y, JI Y, ZHANG Y K, ZHAO X M, QU S J, JIANG F D, LU C H, XIAO B, SONG M X, LI D F. Theoretical study of blue-green iridium(Ⅲ) complexes with low-efficiency roll-off properties for application in phosphorescent organic light-emitting diodes[J]. Appl. Organomet. Chem., 2024, 38: e7322 doi: 10.1002/aoc.7322

    37. [37]

      CHI H Y, ZHANG Y K, JI Y, SUN Y, LI G, ZHU Y, JIANG L, XIAO B, SONG M X, LI D F. Theoretical study on a series of iridium(Ⅲ) complexes with low-efficiency roll-off properties for application in OLEDs[J]. Chem. Phys. Lett., 2024, 838(1): 141080

    38. [38]

      QIN Z, ZHANG Y, TIAN H, PAN Z, WANG M, CUI L, WANG J, BAO L, WANG Y, ZHANG W, SONG M. A series of blue phosphorescent iridium(Ⅲ) complexes with thermally activated delayed fluorescence and efficiency roll-off properties[J]. RSC Adv., 2024, 14(34): 36895-36901

    39. [39]

      SONG M X, ZHANG H, LIU X H, JI Y, GUO X L, YANG J Y, QIN Z K, BAI F Q, ZHANG H J. Theoretical study of the high intersystem spin crossing (ISC) ability of a series of iridium complexes with low efficiency roll-off properties[J]. Appl. Organomet. Chem., 2022, 36: e6875 doi: 10.1002/aoc.6875

    40. [40]

      PARK N G, CHOI G C, LEE Y H, KIM Y S. Theoretical studies on the ground and excited states of blue phosphorescent cyclometalated Ir(Ⅲ) complexes having ancillary ligand[J]. Curr. Appl. Phys., 2006, 6(6): 620-626

    41. [41]

      GU X, FEI T, ZHANG H Y, XU H, YANG B, MA Y G, LIU X D. Theoretical studies of blue-emitting iridium complexes with different ancillary ligands[J]. J. Phys. Chem. A, 2008, 112(36): 8387-8393 doi: 10.1021/jp8026429

    42. [42]

      YANG B, ZHANG M, ZHANG H, SUN J. Theoretical study on the influence of ancillary ligand on the energy and optical properties of heteroleptic phosphorescent Ir(Ⅲ) complexes[J]. J. Lumin., 2011, 131(6): 1158-1163 doi: 10.1016/j.jlumin.2011.02.026

    43. [43]

      RUNGE E, GROSS E K U. Density-functional theory for time-dependent systems[J]. Phys. Rev. Lett., 1984, 52(12): 997-1000 doi: 10.1103/PhysRevLett.52.997

    44. [44]

      PETERSILKA M, GOSSMANN U J, GROSS E K U. Time-dependent density-functional theory for many-body systems[J]. Phys. Rev. Lett., 1996, 76(6): 1212-1215

    45. [45]

      MAYO S L, OLAFSON B D, GODDARD W A Ⅲ. DREIDING: A generic force field for molecular simulations[J]. J. Phys. Chem., 1990, 94(26): 8897-8909 doi: 10.1021/j100389a010

    46. [46]

      ZHANG T, XIAO Y, WANG H, KONG S, HUANG R, AU V K, YU T, HUANG W. Highly twisted thermally activated delayed fluorescence (TADF) molecules and their applications in organic light-emitting diodes(OLEDs)[J]. Angew. Chem. ‒Int. Edit., 2023, 62: e202301896 doi: 10.1002/anie.202301896

    47. [47]

      FLAMIGNI L, BARBIERI A, SABATINI C, VENTURA B, BARIGELLETTI F. Luminescent platinum􀃭 complexes: Influence of ligands on excited states and applications[J]. Top. Curr. Chem., 2007, 281: 143-178

    48. [48]

      NEESE F. Software update: The ORCA program system——Version 5.0[J]. Wiley Interdiscip. Rev. ‒Comput. Mol. Sci., 2022, 12: e1606 doi: 10.1002/wcms.1606

    49. [49]

      HUMPHREY W, DALKE A, SCHULTEN K. VMD: Visual Molecular Dynamics[J]. J. Mol. Graph., 1996, 14: 33-38 doi: 10.1016/0263-7855(96)00018-5

  • Figure 1  (a) Sketch maps and (b) the optimized ground state (S0) geometrical structures of the complexes

    Figure 2  Electronic structures on the HOMOs and LUMOs of S0, energy levels, and energy gaps (Eg) between HOMO and LUMO of the complexes 1-6

    The lines of green and the lines of red are HOMO and LUMO energy levels, respectively.

    Figure 3  (a) Absorption spectra and (b) fluorescence emission spectra of the complexes 1-6

    Table 1.  Main geometry structural parameters of S0 and T1 of the complexes under DFT and TDDFT level*

    Complex State Selected bond length / nm Selected bond angle / (°)
    R1 R2 R3 R4 R5 R6 A1 A2 A3 A4 A5
    1 S0 0.20 0.20 0.20 0.20 0.21 0.21 174.87 80.70 94.73 89.88 91.20
    T1 0.20 0.19 0.20 0.20 0.22 0.21 175.86 82.12 95.46 88.00 92.35
    2 S0 0.20 0.20 0.20 0.20 0.21 0.21 175.02 80.62 94.89 89.78 91.33
    T1 0.20 0.19 0.20 0.20 0.22 0.21 176.46 82.13 95.97 87.10 92.71
    3 S0 0.20 0.20 0.20 0.20 0.21 0.21 176.59 80.74 96.86 93.33 89.17
    T1 0.20 0.20 0.20 0.19 0.22 0.22 177.54 96.82 80.59 94.64 87.56
    4 S0 0.20 0.20 0.20 0.20 0.21 0.21 176.49 80.68 96.79 93.37 89.42
    T1 0.20 0.20 0.20 0.20 0.21 0.21 176.49 80.72 96.89 93.19 89.19
    5 S0 0.20 0.20 0.20 0.20 0.22 0.22 174.98 80.88 95.61 94.59 88.93
    T1 0.20 0.20 0.20 0.20 0..2 0.22 174.98 80.89 95.62 94.58 88.92
    6 S0 0.20 0.20 0.20 0.20 0.22 0.22 175.02 80.83 95.68 94.33 89.23
    T1 0.25 0.20 0.20 0.20 0.22 0.22 175.02 80.83 95.68 94.33 89.23
    *R1: Ir—N1, R2: Ir—C1, R3: Ir—N2, R4: Ir—C2, R5: Ir—N3/Ir—O1, R6: Ir—O/Ir—O2; A1: ∠N1—Ir—N2, A2: ∠N1—Ir—C1, A3: ∠N1—Ir—C2, A4: ∠N1—Ir—N3/∠N1—Ir—O1, A5: ∠N1—Ir—O/∠N1—Ir—O2.
    下载: 导出CSV

    Table 2.  Energy levels of the S0, the lowest singlet S1, and the lowest T1 under the M06-2X functional

    Complex $ {E}_{{S}_{0}} $ / eV $ {E}_{{S}_{1}} $ / eV $ {E}_{{T}_{1}} $ / eV Δ$ \Delta {E}_{{S}_{0}{S}_{1}} $ / eV $ \Delta {E}_{{S}_{0}{T}_{1}} $ / eV $ \Delta {E}_{{S}_{1}{T}_{1}} $ / eV
    1 -5.261 -1.722 -2.896 3.539 2.365 1.174
    2 -5.280 -1.784 -2.853 3.496 2.427 1.069
    3 -5.065 -1.563 -2.719 3.502 2.346 1.156
    4 -5.077 -1.675 -2.680 3.402 2.397 1.005
    5 -5.016 -1.522 -2.383 3.494 2.633 0.861
    6 -5.034 -1.641 -2.393 3.393 2.641 0.752
    $E_{S_0}, E_{S_1}$, and $E_{T_1}$ are the energies of S0, the lowest S1, and the lowest T1 under the M06-2X functional, respectively; and are the energy gaps between different states (S0 and S1, S0 and T1, respectively).
    下载: 导出CSV

    Table 3.  Phosphorescent emission parameters of the complexes in CH2Cl2 solution under the TDDFT/M06-2X calculations

    Complex Energy / eV Wavelength / nm Major Contribution rate / % Character
    1 2.37 524.25 HOMO→LUMO 55.7 3MLCT*+3LLCT+3ILCT
    HOMO→LUMO+1 36.8
    2 2.43 510.78 HOMO→LUMO 55.8 3MLCT+3LLCT+3ILCT
    HOMO→LUMO+1 35.6
    3 2.35 528.50 HOMO→LUMO 60.2 3MLCT+3LLCT+3ILCT
    HOMO→LUMO+1 28.7
    4 2.40 517.23 HOMO→LUMO 59.6 3MLCT+3LLCT+3ILCT
    HOMO→LUMO+2 30.0
    5 2.63 470.85 HOMO→LUMO 57.0 3MLCT+3LLCT+3ILCT
    HOMO→LUMO+2 33.5
    6 2.64 469.39 HOMO→LUMO 58.2 3MLCT+3LLCT+3ILCT
    HOMO→LUMO+2 31.7
    *3MLCT: the triplet metal-to-ligand charge transfer.
    下载: 导出CSV

    Table 4.  SOC matrix elements of the complexes $\Delta E_{S_0 T_1}$

    Complex <S1|Hsoc|T1> /
    cm-1
    <S1|Hsoc|T2> /
    cm-1
    <S1|Hsoc|T3> /
    cm-1
    1 55.78 67.67 117.86
    2 49.78 89.19 124.28
    3 6.61 79.96 822.29
    4 10.42 46.56 843.64
    5 23.33 181.74 813.78
    6 8.09 136.56 817.62
    下载: 导出CSV
  • 加载中
计量
  • PDF下载量:  0
  • 文章访问数:  304
  • HTML全文浏览量:  14
文章相关
  • 发布日期:  2026-02-10
  • 收稿日期:  2025-07-01
  • 修回日期:  2025-11-18
通讯作者: 陈斌, bchen63@163.com
  • 1. 

    沈阳化工大学材料科学与工程学院 沈阳 110142

  1. 本站搜索
  2. 百度学术搜索
  3. 万方数据库搜索
  4. CNKI搜索

/

返回文章