氨基改性含氟硅渣用于多功能阻挡层的构筑及其对锂硫电池多硫化物穿梭效应的抑制作用
English
Amino-modified F-containing silica slag for the construction of multi-functional interlayer and the inhibitory effect on the polysulfide shuttle effect in lithium-sulfur batteries
-
Key words:
- silica
- / interlayer
- / shuttle effect
- / lithium-sulfur batteries
-
0. Introduction
Overexploitation of fossil fuels causes environmental and resource problems, making the development of renewable energy and energy storage technologies imperative, but the intermittency of solar and wind energy limits their industrial application[1]. In this context, secondary batteries have emerged as critical energy storage carriers due to their recyclability and high energy efficiency[2]. Among them, lithium-sulfur (Li-S) batteries use sulfur as the cathode (with a theoretical specific capacity of 1 675 mAh·g-1) and lithium as the anode. Their energy density is as high as 2 600 Wh·kg-1, ten times that of lithium-ion batteries. Additionally, sulfur is abundant in resources, low in cost, and environmentally harmless. These characteristics make Li-S batteries one of the most promising next-generation electrochemical energy storage technologies, attracting attention from numerous researchers[3-6].
Nevertheless, the practical application of Li-S batteries is confronted by numerous challenges. The dissolution and migration of lithium polysulfides (LiPSs) generated at the cathode trigger the shuttle effect[7-9], compromised cathode reactivity[10], growth of lithium dendrimers[11], and volumetric expansion effect during charging and discharging[12-13]. Designing a functional interlayer is a low-cost and easy-to-implement method for solving the polysulfide issue, and it is also the most readily adoptable implementation pathway in industrial production[14-16]. Due to its porous structure and large specific surface area, silica (SiO2) exhibits a certain adsorption capacity, enabling it to encapsulate sulfur and polysulfides within its pore spaces. This physical confinement effect slows down the diffusion rate of these substances[17-18]. Liang et al.[19] designed a sulfur-permeable mesoporous SiO2/carbon nanotube (CNTs) composite as an intercalation layer for Li-S batteries. Mesoporous SiO2 with a high specific surface area and high pore volume can provide a large number of active sites for capturing polysulfides. This enables it to accommodate a large amount of sulfur, inhibit the migration of sulfur in the system, and improve the utilization efficiency of sulfur. Li et al.[20] prepared polypropylene membranes modified with SiO2 nanoparticles (PP-SiO2) using a simple solution impregnation method. The thermal stability and electrolyte wettability of the modified separator were significantly improved, and its application in Li-S batteries resulted in significant improvements in the cycling performance.
Fluorinated SiO2-based materials exhibit excellent high-temperature resistance and affinity for electrolyte in the modification of the Li-S battery separator[21]. Fluorine (F) can significantly enhance the Li+ migration rate and promote the formation of the solid electrolyte interphase (SEI) film[22]. In addition, F-SiO2 composite structures exhibit a synergistic effect, combining the functions of physical adsorption and chemical anchoring[23], which further mitigates the shuttling effect. For this purpose, we selected industrial F-containing silica slag (named as SS, the main components are F and SiO2) to obtain the amino-modified SS (named as NH2-SS) by adding the modifier 3-aminopropyltriethoxysilane (APTES). Then, NH2-SS was composited with multi-walled carbon nanotubes (MWCNT) to prepare a functional separator (named as NH2-SS-PP, PP: polypropylene), and then NH2-SS-PP was applied to Li-S batteries. In contrast to using only a commercial PP separator, the proposed composite separator demonstrated remarkably enhanced electrochemical properties.
1. Experimental
1.1 Raw materials
The main reagents included monomeric sulfur powder (S, 95%, Beijing InnoChem Science & Technology Co., Ltd.), industrial SS [Guizhou Phosphate Chemical (Group) Co., Ltd.], concentrated hydrochloric acid [HCl, AR, Chongqing Chuandong Chemical (Group) Co., Ltd.], anhydrous ethanol (C2H5OH, AR, Tianjin Fuyu Fine Chemical Co., Ltd.), APTES (AR, Shanghai Aladdin Biochemical Technology Co., Ltd.), MWCNT (>98%, Hangzhou Hangdan Optoelectronics Technology Co., Ltd.), N-methyl pyrrolidone (NMP, AR, Guangdong Canrd New Energy Technology Co., Ltd.), Li sheet (Guangdong Canrd New Energy Technology Co., Ltd.), PP (Celgard 2500, Guangdong Canrd New Energy Technology Co., Ltd.), LS electrolyte [1.0 mol·L-1 lithium bis(trifluoromethane sulfonyl)imide (LiTFSI) dissolved in 1, 2-dimethoxyethane/1, 3-dioxolane (DME/DOL, 1∶1, V/V) with LiNO3 (mass fraction of 2%), Li2S8 (0.2 mol·L-1), and Li2S6 (0.2 mol·L-1)] were purchased from DuoDuo Chemical Reagent. All chemicals were analytically pure and used directly, and a button cell shell (CR2032, Guangdong Canrd New Energy Technology Co., Ltd.).
1.2 Preparation of NH2-SS
Firstly, 10 g of industrial SS was weighed for preliminary cleaning and immediately transferred to a vacuum drying oven and dried at 60 ℃ for 12 h. Then, it was put into a conical flask containing 150 mL of HCl (36%) and continuously stirred in an oil bath at 80 ℃ for 24 h. After cooling down, it was rinsed to neutrality with deionized water and evacuated, then put into the oven to dry for 12 h. Subsequently, it was fed into a ball mill at 500 r·min-1 for 8 h. After crushing, it was washed three times with deionized water and then dried. Finally, the material was sieved using a 300-mesh sieve, and the sieved portion was reserved.
0.8 g of sieved SS was weighed and mixed with 200 mL of anhydrous ethanol, and the mixture was ultrasonicated for 10 min to obtain a dispersed SS suspension. Then, 20 mL of APTES was mixed into the dispersed SS dispersion (4 mg·mL-1), and the mixture was kept warm for 8 h in an oil bath while stirring to fully modify the SS. The powder of NH2-SS was washed 9-12 times with a mixture of ethanol and deionized water solution (1∶2, V/V) and then dried at 60 ℃ for 12 h. Finally, the powder of NH2-SS was obtained by grinding for 1 h using a mortar.
1.3 Preparation of NH2-SS-PP and SS-PP
The interlayer was produced by mixing NH2-SS, MWCNT, and polyvinylidene fluoride (PVDF) with a mass ratio of 4∶5∶1 in NMP. Then, the slurry was coated onto a commercial PP (Celgard 2500) separator and dried in a vacuum oven for 24 h at 60 ℃. The coated PP was then cut into circular pieces with a diameter of 16 mm, and the NH2-SS-PP separator was yielded. Similarly, the SS-PP separator was prepared for comparison. The average mass loading of the interlayer material was ca. 0.4 mg·cm-2.
1.4 S/MWCNT cathode preparation
The S/MWCNT composite was synthesized using a melt-diffusion method: MWCNT and commercial S powder were mixed with a mass ratio of 1∶2 and then the mixture was heated at 155 ℃ for 12 h. To fabricate the cathode, PVDF, Ketjen black (KB), and S/MWCNT were mixed in NMP with a mass ratio of 1∶1∶8, and then the mixture was ground to form a homogeneous slurry, followed by coating onto a carbon-coated aluminum foil. The coating was vacuum-dried at 60 ℃ for 12 h and cut into circular pieces with a diameter of 12 mm. The areal mass loading of the S/MWCNT cathode was 0.9-1.2 mg·cm-2.
1.5 Li-S battery assembly
Li-S battery was assembled with an S/MWCNT electrode as the cathode, metal Li sheets as the anode, and NH2-SS-PP, SS-PP, or PP as a separator. The assembly sequence of batteries: anode→metal Li sheet→LS electrolyte→separator→LS electrolyte→cathode→spacer→spring→cathode shell. Finally, the battery was sealed using a sealing machine.
1.6 LiPSs adsorption test
20 mg of NH2-SS or SS was added into 4 mL of Li2S6 (5 mmol·L-1) solution. The color change of these solutions was compared, and the adsorption capacity of the samples for LiPSs was calculated according to the ultraviolet-visible (UV-Vis) spectrometer test results on the solutions, and a Li2S6 solution was used as the blank group.
1.7 Assembly of Li||Li symmetric batteries
Three types of Li||Li symmetric batteries were assembled based on PP, NH2-SS-PP, or SS-PP, and two Li metal sheets were used as the anode and cathode electrodes, respectively. The Li||Li symmetric battery was used for evaluating the interface resistance of the PP, NH2-SS-PP, or SS-PP separators.
1.8 Li2S nucleation and dissociation tests
The actual process of Li2S nucleation and dissolution during the charge/discharge of the Li-S battery was simulated by assembling a half-cell for constant-voltage discharge/charging at specific voltages. Preparation of carbon paper (CP) cathode (CP-NH2-SS, CP-SS): PVDF, KB, and NH2-SS or SS were mixed with a mass ratio of 1∶1∶8 in NMP, and then the mixture was ground to form a homogeneous slurry. The slurry was coated on the treated CP. The coating was vacuum-dried at 60 ℃ for 12 h and cut into circular pieces with a diameter of 12 mm. The CP-NH2-SS or CP-SS as the cathode and the Li metal sheet as the anode. On the cathode side, 20 μL of 0.2 mol·L-1 Li2S8 solution was used as the electrolyte, while the LS electrolyte was used on the anode side. The assembled batteries were tested using a Neware battery tester.
Li2S nucleation: first, the batteries were galvanostatically discharged to 2.06 V at 0.112 mA, followed by constant-voltage discharge at 2.05 V. At this voltage, Li2S was generated and nucleated on the electrode surface. The current-time curve was recorded until the current dropped below 0.01 μA.
Li2S dissolution: the batteries were galvanostatically discharged to 1.7 V at 0.1 mA to ensure complete reduction of long-chain LiPSs into Li2S, followed by discharging to 1.8 V at 0.01 mA. Then, the batteries were charged at a constant voltage of 2.4 V, where Li2S was dissolved and decomposed into Li+ and LiPSs. The current-time curve was recorded until the current dropped below 0.01 μA.
The effects of the material on Li2S nucleation and dissolution were analyzed based on the onset time of Li2S nucleation/dissolution as well as the nucleation and dissolution capacities.
Furthermore, to illustrate the catalytic conversion of polysulfides by NH2-SS and SS. CP-NH2-SS or CP-SS symmetric batteries was fabricated using Li2S6 as the electrolyte and PP as the separator, and its cyclic voltammetry (CV) curve was tested at a scan rate of 5 mV·s-1.
1.9 Electrochemical performance test of Li-S battery
Galvanostatic charge/discharge (GCD) cycle and rate performance tests were performed using the Shenzhen Neware CT 4008 battery test system in the voltage range of 1.7 to 2.8 V. CV curves and electrochemical impedance spectra (EIS, frequency range: 0.1 to 106 Hz) were tested using Shanghai Chenhua CHI604E.
The Li+ transfer number (
) was calculated using the timed-current method according to Eq.1, with the test instrument being the CHI604E workstation:$ t_{\mathrm{Li}^{+}} $ $t_{\mathrm{Li}^{+}}=\frac{I_{\mathrm{s}}\left(\Delta V-I_0 R_0\right)}{I_0\left(\Delta V-I_{\mathrm{s}} R_{\mathrm{s}}\right)} $ (1) where,
is the Li+ ion migration number, I0 is the initial current of polarization (A), Is is the termination current of polarization (A), ΔV is the polarization voltage (V), and the applied polarization voltage is 0.01 V, R0 is the interface resistance before polarization (Ω), and Rs is the interface resistance after polarization (Ω).$ t_{\mathrm{Li}^{+}} $ 1.10 Characterization
The Bruker D8 (Germany) X-ray diffractometer was used to analyze the phasing of substances and crystalline structure, with Cu Kα radiation (λ=0.154 nm) and 2θ=5°-90°, and the voltage of 40 kV, and the current of 100 mA. The nitrogen adsorption-desorption isotherms of the samples were recorded on a gas adsorption apparatus (American Mike 2460) to produce the specific surface area and pore size distribution. A ZEISS Gemini SEM 300 field-emission scanning electron microscope (SEM) was used to analyze the morphology. A Nicolet 10 infrared spectrometer was used to qualitatively investigate the chemical functional groups and chemical bonding in the samples. X-ray fluorescence spectroscopy (XRF, Zetium Panaco, Netherlands) was used to analyze the types and contents of various elements in SS before and after modification.
2. Results and discussion
2.1 Phase structure analysis
A large amount of impurities was removed from the SS via acid treatment. XRF test results showed that after the modification treatment, although the content of the F element decreased relatively, the total content of other impurities had dropped from 2.916% to 0.575%, which helps reduce the impact of other impurities on battery performance.
SS shown in Fig.1a exhibited an irregular, densely agglomerated block structure with large pores and limited fine block-like surface features, whereas NH2-SS in Fig.1b showed a porous and loose structure with a rougher surface. As shown in Fig.1c, SEM images and energy dispersive spectroscopy (EDS) mappings of NH2-SS at higher magnification revealed partial porosity on the surface. EDS analysis indicates the presence of Si, F, and O elements, alongside N, confirming the successful introduction of amino groups (—NH2). The pore structure and pore size distribution of NH2-SS and SS were further investigated via nitrogen adsorption-desorption experiments, with results shown in Fig.1d and 1e. It can be seen that NH2-SS contained a large number of mesopores and may also include some open pores; this modification treatment significantly improved the pore structure and adsorption performance of SS. The specific surface area of NH2-SS was 23 m2·g-1, which was higher than that of SS (16 m2·g-1). This is because acid treatment plays multiple roles in SS modification: it not only effectively removes impurities from the material surface and forms a specific pore structure, but also reacts with F elements in the SS matrix to generate a small amount of hydrofluoric acid (HF); HF exerts a mild etching effect on SS, thereby increasing the specific surface area of the modified material.
Figure 1
Figure 1. SEM images of (a) SS and (b) NH2-SS; (c) SEM image of NH2-SS and corresponding elemental mappings of NH2-SS; Nitrogen adsorption-desorption isotherms and pore size distribution curves (inset) of (d) NH2-SS and (e) SSTable 1
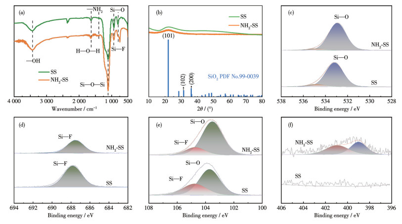
Sample Mass fraction of F / % Mass fraction of SiO2 /% Mass fraction of trace element / % SS 18.771 78.313 2.916 NH2-SS 13.780 85.645 0.575 FTIR spectra of NH2-SS in Fig. 2a revealed a broad absorption peak near 3 400 cm-1 corresponding to the stretching vibration of the hydroxyl groups (—OH), confirming their presence on the surface. Additionally, there was also an absorption peak near 1 640 cm-1 attributed to the bending vibration of H—O—H, a peak of the bending vibration of —NH2 at 1 511 cm-1, urther confirm the success of amination modificationand absorption peaks in the region of 1 100-800 cm-1 attributed to the bending vibration of Si—O—Si and the vibration of Si—F and Si—O. Among them, the Si—O shift of NH2-SS may be attributed to the change in F content and the introduction of —NH2 after modification[24]. To investigate the phase structure of NH2-SS, XRD characterization was performed. As shown in Fig.2b, the XRD patterns showed that both SS and NH2-SS had distinct peaks around 22°, which correspond to the (101) crystal plane of SiO2 (PDF No.99-0039), indicating that SS had an amorphous structure similar to SiO2. Based on the XPS analysis results, NH2-SS exhibited a distinct Si—O bond characteristic peak at 532.8 eV in the O1s spectrum (Fig.2c), and a prominent Si—F bond characteristic peak at 687.7 eV in the F1s spectrum (Fig.2d). In contrast, SS showed no such signal, confirming the presence of F. The Si2p spectrum further indicates that NH2-SS had a Si—F bond at 104.8 eV (Fig.2e), while retaining the Si—O peak at 103.5 eV, demonstrating its structure as F-containing SiO2. Additionally, the N1s spectrum revealed an —NH2 characteristic peak at 398.8 and a free NH4+ characteristic peak at 401.0 eV for NH2-SS (Fig.2f), with no N signal detected in SS. The result confirms the successful introduction of —NH2 modification.
Figure 2
2.2 Performance test
As shown in Fig.3a, to investigate the reaction kinetics of lithium-sulfur compounds in liquid-liquid reactions, we compared the CV curves of Li2S6 symmetric batteries using different interlayer materials. The results showed that when CP-NH2-SS was used as the interlayer material, the battery exhibited two pairs of more distinct redox peaks with higher peak voltages. This phenomenon indicates that after modification, CP-NH2-SS had better reversibility in electrochemical redox reactions, and its ability to catalytically convert sulfur compounds was also significantly improved. To examine the adsorption capacity of NH2-SS for polysulfides, visual adsorption experiments were conducted, as shown in the inset of Fig.3b. It was noted that the Li2S6 solution containing NH2-SS became transparent compared to the SS control group, indicating that NH2-SS exhibited the strongest adsorption of polysulfides. UV-Vis adsorption spectra of the supernatants revealed that all samples had significantly lower peak intensities than the Li2S6 blank control, with NH2-SS showing the weakest peaks. Because of the —NH2 as a strong Lewis base site, which interacts strongly with the Lewis acid sites (Li+) in polysulfides (Li2Sx), forming stable Li—N bonds[25-26]. In addition, the introduction of —NH2 not only adsorbs polysulfides but also changes the reaction pathway and energy barrier during the transformation process of polysulfides. Its lone pair electrons can weaken the strength of S—S bonds in polysulfides and promote the breaking and formation of Li—S bonds, thereby catalyzing the liquid-to-solid phase transformation process of polysulfides (Li2S6, Li2S8) to the final discharge products (Li2S2/Li2S)[27].
Figure 3
Figure 3. (a) CV curves of CP-NH2-SS and CP-SS symmetric batteries at 5 mV·s-1; (b) UV-Vis spectra of the Li2S6 solutions with NH2-SS, SS, and Li2S6 solutions; (c) CV curves of Li-S batteries based on NH2-SS-PP, SS-PP, and PP at 0.1 mV·s-1; (d) Tafel curves of Li||Li symmetric batteries based on NH2-SS-PP, SS-PP, and PPInset: digital photos of these Li2S6 solutions after 8 h of static adsorption.
Electrochemical measurements were performed on Li-S batteries using different separators to investigate the conversion kinetics of polysulfides in detail. As illustrated in Fig.3c, the CV curves exhibited distinct redox peaks. The battery based on NH2-SS-PP demonstrated superior kinetics, as evidenced by a smaller peak potential difference (ΔEp=0.334 V) and a higher peak current density compared to the batteries based on SS-PP (0.427 V) and PP (0.461 V). This is because polar —NH2 can more strongly adsorb LiPSs molecules, thereby accelerating their conversion rate during redox reactions, improving reaction kinetic efficiency, and enhancing the reversibility of the material. Li||Li symmetric batteries assembled with different separators were used for Tafel test analysis, the relationship between electrode reaction rate and electrode potential was studied, which in turn enabled the analysis of redox reaction kinetics and electrocatalytic activity. As shown in Fig.3d, the corrosion currents (Icorr) for the batteries based on NH2-SS-PP, SS-PP, and PP were 0.101, 1.056, and 1.194 mA, respectively. Among these, the battery based on NH2-SS-PP exhibited the lowest Icorr, and its current density showed a relatively stable logarithmic variation, indicating a lower degree of polarization. This characteristic enables it to enhance the electrochemical conversion kinetics in Li-S batteries.
To further investigate the kinetics of the sample on the conversion of LiPSs to the final product Li2S, Li2S8 batteries were assembled for deposition and dissolution experiments as shown in Fig.4. It can be seen that Li2S nucleation appeared at 532 s for CP-NH2-SS, and there was the highest peak current of 0.30 mA and the maximum from deposition capacity of 100.538 mAh·g-1 (Fig.4b). In contrast, CP-SS in Fig.4a showed late Li2S nucleation at 762 s with a smaller peak current (0.13 mA) and deposition capacity (47.073 mAh·g-1). The polarity of the —NH2 can adsorb and activate the ions required for the nucleation of LiPSs and Li2S, thereby reducing the energy barrier (overpotential) required for Li2S nucleation. During the nucleation process, the —NH2 acts as an “active site” to promote the reduction reaction process of LiPSs, accelerating the nucleation and deposition of Li2S. This leads to the advancement of the nucleation time, the increase of peak current, and the rapid deposition of more Li2S, which is reflected in higher deposition capacity. The oxidation behavior of Li2S on the sample surface can be understood from the dissolution curves shown in Fig.4c. CP-NH2-SS displayed a rapid rise in oxidation current (0.16 mA) and a shorter oxidation duration (586 s), whereas CP-SS showed a slower increase in oxidation current (0.12 mA) and a longer oxidation time (761 s). This suggests that the —NH2 in NH2-SS enhance Li2S nucleation and deposition by modifying the surface chemical environment. Because the —NH2 can act as a ‘bridge’, shortening the transmission distance of Li+ through chemical bonding, effectively increasing the rate of Li+ ion transfer in the separator. In addition, the —NH2 and carbonyl group will undergo an oxygen synergy effect, reducing the HOMO-LUMO gap of polysulfides (Li2Sx) by forming Li—O bonds, thereby accelerating the redox reaction of polysulfides, and the battery's rate performance is improved[26].
Figure 4
For evaluating the interfacial properties of the interlayer. As shown in Fig.5a-5c, NH2-SS-PP exhibited the smallest contact angle (14.7°), that of SS-PP was centered (21.7°), and that of PP was the largest (36.5°). Despite the presence of F, the hydroxyl groups in the material endow it with stronger electrolyte affinity, thus resulting in better electrolyte wettability than PP. The lower contact angle of NH2-SS-PP is expected to bring faster ion transport speed, lower impedance, and better cycling performance to the battery. The Li||Li symmetric batteries were assembled for EIS test and chrono-current method, and the effect of the separator on Li+ migration was investigated by calculating the Li+ ion migration number (
) by Eq.1. As shown in Fig.5d-5f, the Li+ ion migration numbers of NH2-SS-PP, SS-PP, and PP were 0.65, 0.58, and 0.52, respectively, indicating that all three groups of interlayers had a certain effect on the migration of Li+. Meanwhile, SS-PP can improve the interfacial compatibility between the polymer electrolyte and lithium, and promote the Li+ ion migration effectively. Among them, NH2-SS-PP had the highest Li+ migration number, which indicates that the better affinity (smaller contact angle) of NH2-SS-PP modified to the electrolyte makes the Li+ transport more usual and helps the Li+ ion migration.$ t_{\mathrm{Li}^{+}} $ Figure 5
The Nyquist plots of the Li-S batteries were obtained by the EIS measurement, and the fitted curves are also displayed in Fig.6a by an equivalent circuit (inset of Fig.6a) including ohmic resistance (Re), charge transfer resistance (Rct), and the Warburg impedance (ZW). The charge-transfer resistance for the battery based on NH2-SS-PP was 46 Ω, which was lower than that of SS-PP (88 Ω) and PP (114 Ω), which is attributed to the high electrolyte wettability and fast lithium ion transport endowed by NH2-SS-PP. As shown in Fig.6b, the initial discharge specific capacities of the Li-S battery based on NH2-SS-PP at 0.2C, 0.5C, 1C, 2C, 3C, and 4C were 1 048, 856, 790, 694, 632, and 590 mAh·g-1, and when the current density returned to 0.2C, the discharge specific capacity reverted to 876 mAh·g-1, which was higher than that of SS-PP (815 mAh·g-1) and PP (775 mAh·g-1), and the reversibility of the battery based on NH2-SS-PP was better.
Figure 6
Figure 6. Performance testing of Li-S batteries based on different interlayer materials: (a) Nyquist plots of batteries with various separators from EIS tests before cycling; (b) rate performance at various current densities; (c) GCD curves; GCD curves at different current densities of the batteries based on (d) NH2-SS-PP and (e) SS-PP; cycling performance plots at (f) 0.2C and (g) 2CInset in panel a: equivalent circuit fitting diagram, where CPE1 is a constant phase angle component.
Fig. 6c presents the GCD curves at 0.2C for batteries with various interlayer materials. The discharge curves displayed two plateaus, and the charging process showed one plateau, all corresponding to the sulfur redox reactions in Li-S batteries. The battery based on NH2-SS-PP exhibited a high initial discharge capacity of 1 048 mAh·g-1 and a low polarization voltage of 0.204 3 V. In comparison, the batteries based on SS-PP (711 mAh·g-1, 0.201 2 V) and PP (616 mAh·g-1, 0.238 5 V) showed lower capacities and different polarization voltages. The battery based on NH2-SS-PP provided a more stable discharge plateau, which accelerates the redox kinetics converting LiPSs to the final product Li2S, enhances sulfur utilization, and more effectively suppresses the shuttling of LiPSs. Further GCD tests at various rates (Fig. 6d and 6e) reveal that as the current density increased, the battery based on NH2-SS-PP maintained longer discharge plateaus and higher capacities than SS-PP, even at a high rate of 4C. This demonstrates that the battery based on NH2-SS-PP sustains a relatively stable voltage output.
Furthermore, the long-term cycling performances of these Li-S batteries were studied under different current densities. As illustrated in Fig.6f, at 0.2C, the battery based on NH2-SS-PP exhibited a high initial discharge capacity of 1 048 mAh·g-1, maintaining 664 mAh·g-1 after 200 cycles. In comparison, the capacity of the battery based on SS-PP decreased from 899 to 559 mAh·g-1, and that of the battery based on PP dropped from 785 to 559 mAh·g-1, indicating that the battery based on NH2-SS-PP had a higher initial discharge capacity. Furthermore, Fig.6g showed that at 2C, the battery based on NH2-SS-PP started with a discharge capacity of 789 mAh·g-1 and retained 432 mAh·g-1 after 500 cycles. This performance surpasses that of SS-PP (663 mAh·g-1 initial, 392 mAh·g-1 after cycling) and PP (575 mAh·g-1 initial, 230 mAh·g-1 after cycling), demonstrating both a higher initial capacity and slower capacity degradation for the battery based on NH2-SS-PP. Overall, cycling tests at both low and high current densities confirm that the battery based on NH2-SS-PP offers enhanced cycling stability, better sulfur utilization as an active material.
Table 2 compares several modified materials, revealing that the battery based on NH2-SS-PP not only exhibited a high initial specific discharge capacity at a low rate but also maintained a high specific discharge capacity of 590 mAh·g-1 at a high rate of 4C. Additionally, the separator made from this material significantly enhances the battery's performance.
Table 2
Modified material Specific capacity of discharge / (mAh·g-1) Reference Low rate High rate NH2-SS 1 048 (0.2C) 590 (4C) This work Double MWCNT 890 (0.2C) n.d.* [5] Co-NCNTs/SiO2 902 (0.2C) 690 (2C) [19] PP-SiO2 956 (0.2C) 567 (2C) [20] Co3O4 905 (0.2C) 742 (2C) [28] GO/Nafion 985 (0.2C) n.d. [29] Li-MWCNT 855 (0.2C) 804 (1C) [30] S/KB/Co7Fe3Co n.d. 500 (1C) [31] S/NPCS n.d. 567 (1C) [32] NiS-TiTe2 750(0.5C) n.d. [33] S@Co9S8/CNTs-Gr n.d. 950 (1C) [34] PMMA-LIZO/PP/AB n.d. 413 (1C) [35] *not described. 3. Conclusions
We present a modified interlayer developed from industrial F-containing silica slag (SS) as a raw material. The effective composite of NH2 with SS was demonstrated by SEM and XRD. When compared to the Li-S battery based on PP as a separator, the battery based on NH2-SS-PP separator exhibited an extended discharge plateau. Specifically, the initial discharge specific capacity reached 1 048 mAh·g-1 at a discharge rate of 0.2C, with 664 mAh·g-1 retained after 200 cycles, resulting in a decay rate of only 0.18% per cycle. Furthermore, at a discharge rate of 2C, the battery demonstrated a high specific capacity of 789 mAh·g-1 after prolonged cycling. The performance remained stable at higher rates, achieving a specific capacity of 590 mAh·g-1 even at a rate of 4C, and exhibiting durability over more than 500 cycles. The results demonstrate that NH2-SS can effectively inhibit the shuttle effect in Li-S batteries, thereby enhancing their performance and potential for practical applications.
Acknowledgments: This work was supported by the following grants: National Natural Science Foundation of China (Grants No.52372185 and 52062004), Advanced Electrochemical Energy Storage Devices and Key Materials Technology Innovation Talent Team Construction of Guizhou Province (Grant No.QKHPTRC-CXTD[2023]016), Innovation Team for Advanced Electrochemical Energy Storage Devices and Key Materials of Guizhou Provincial Higher Education Institutions (Grant No.QianJiaoJi[2023]054), Guizhou Province Basic Research Program (Natural Sciences) Talent Team Support Project (Grant No.QianKeHeJiChu QNB[2025]003), and Guizhou University College Student Innovation and Entrepreneurship Training Program Funding (Grant No.gzugc2024003). -
-
[1]
LIN Y C, WU Y HSUAN, TING J M, CHUNG S H. Stable lithium-sulfur cell separator with a high-entropy metal oxide modification[J]. Energy Fuels, 2023, 37(19): 15162-15169 doi: 10.1021/acs.energyfuels.3c02538
-
[2]
BATYRGALI N, YERKINBEKOVA Y, TOLGANBEK N, KALYBEKKYZY S, BAKENOV Z, MENTBAYEVA A. Recent advances on modification of separator for Li/S batteries[J]. ACS Appl. Energ. Mater., 2022, 6(2): 588-604
-
[3]
HE J J, LI X D. Recent materials development for Li-ion and Li-S battery separators[J]. J. Energy Storage, 2025, 112: 115541 doi: 10.1016/j.est.2025.115541
-
[4]
LIN Z, LIU Z C, FU W J, DUDNEY NANCY J, LIANG C D. Phosphorous pentasulfide as a novel additive for high-performance lithium-sulfur batteries[J]. Adv. Funct. Mater., 2013, 23(8): 1064-1069 doi: 10.1002/adfm.201200696
-
[5]
CHUNG S H, CHANG C H, MANTHIRAM A. Progress on the critical parameters for lithium-sulfur batteries to be practically viable[J]. Adv. Funct. Mater., 2018, 28(28): 1801188 doi: 10.1002/adfm.201801188
-
[6]
GAO X J, YANG X F, LI M S, SUN Q A, LIANG J N, LUO J, WANG J W, LI W H, LIANG J W, LIU Y L, WANG S Z, HU Y F, XIAO Q F, LI R Y, SHAM T K, SUN X L. Cobalt-doped SnS2 with dual active centers of synergistic absorption-catalysis effect for high-S loading Li-S batteries[J]. Adv. Funct. Mater., 2019, 29(8): 1806724 doi: 10.1002/adfm.201806724
-
[7]
程新兵, 张强. 金属锂枝晶生长机制及抑制方法[J]. 化学进展, 2018, 30(1): 51-72CHENG X B, ZHANG Q. Growth mechanism and suppression methods of lithium metal dendrites[J]. Progress Chem., 2018, 30(1): 51-72
-
[8]
谷穗, 靳俊, 卢洋, 钱荣, 温兆银. 锂硫电池的穿梭效应与抑制[J]. 储能科学与技术, 2017, 6(5): 1026-1040GU S, JIN J, LU Y, QIAN R, WEN Z Y. Shuttle effect and suppression in lithium-sulfur batteries[J]. Energy Storage Science and Technology, 2017, 6(5): 1026-1040
-
[9]
张序清. 锂硫电池硫/碳复合正极材料的改性制备及其电化学性能研究[D]. 杭州: 浙江大学, 2019.ZHANG X C. Modification and preparation of sulfur/carbon composite cathode materials for lithium-sulfur batteries and investigation of their electrochemical performance[D]. Hangzhou: Zhejiang University, 2019.
-
[10]
WANG S Z, LIAO J X, YANG X F, LIANG J N, SUN Q A, LIANG J W, ZHAO F P, KOO A, KONG F P, YAO Y, GAO X J, WU M Q, YANG S Z, LI R Y, SUN X L. Designing a highly efficient polysulfide conversion catalyst with paramontroseite for high-performance and long-life lithium-sulfur batteries[J]. Nano Energy, 2019, 57: 230-240 doi: 10.1016/j.nanoen.2018.12.020
-
[11]
LI Z, ZHANG J T, GUAN B Y, WANG D, LIU L M, LOU X W. A sulfur host based on titanium monoxide@carbon hollow spheres for advanced lithium-sulfur batteries[J]. Nat. Commun., 2016, 7(1): 13065 doi: 10.1038/ncomms13065
-
[12]
YUAN B, FENG Y, QIU X, HE Y, DONG L, ZHONG S, LIU J, LIANG Y, LIU Y, XIE H. A safe separator with heat-dispersing channels for high-rate lithium-ion batteries[J]. Adv. Funct. Mater., 2024, 34(9): 2308929 doi: 10.1002/adfm.202308929
-
[13]
ZHU W Y, ZHANG Z J, WEI J K, JING Y D, GUO W, XIE Z Z, QU D Y, LIU D, TANG H L, LI J S. A synergistic modification of polypropylene separator toward stable lithium-sulfur battery[J]. J. Membr. Sci., 2020, 597: 117646 doi: 10.1016/j.memsci.2019.117646
-
[14]
ZHU J D, YANILMAZ M, FU K, CHEN C, LU Y, GE Y Q, KIM D, ZHANG X. Understanding glass fiber membrane used as a novel separator for lithium-sulfur batteries[J]. J. Membr. Sci., 2016, 504: 89-96 doi: 10.1016/j.memsci.2016.01.020
-
[15]
ZHANG L L, WANG Y J, NIU Z Q, CHEN J. Advanced nanostructured carbon-based materials for rechargeable lithium-sulfur batteries[J]. Carbon, 2019, 141: 400-416 doi: 10.1016/j.carbon.2018.09.067
-
[16]
XIAO Z B, YANG Z, WANG L, NIE H G, ZHONG M, LAI Q Q, XU X J, ZHANG L J, HUANG S M. A lightweight TiO2/graphene interlayer, applied as a highly effective polysulfide absorbent for fast, long-life lithium-sulfur batteries[J]. Adv. Mater., 2015, 27(18): 2891-2898 doi: 10.1002/adma.201405637
-
[17]
CHEN C, JIANG Q B, XU H F, ZHANG Y P, ZHANG B K, ZHANG Z Y, LIN Z, ZHANG S Q. Ni/SiO2/graphene-modified separator as a multifunctional polysulfide barrier for advanced lithium-sulfur batteries[J]. Nano Energy, 2020, 76: 105033 doi: 10.1016/j.nanoen.2020.105033
-
[18]
CHO S H, YOON W Y. Improved lithium sulfur battery performance through attaching nanosilica on the backside of nickel foam[C]//The Electrochemical Society, Inc. Electrochemical Society Meeting Abstracts: Vol. 227. [S. l. ]: [s. n. ], 2015: 572-572
-
[19]
LIANG X R, LIN Z, LIN Z, LUO Q Y, LIANG W H, CHEN C. A sulfur-infiltrated mesoporous silica/CNT composite-based functional interlayer for enhanced Li-S battery performance [J]. Appl. Phys. Lett., 2024, 125(5): 053903 doi: 10.1063/5.0223059
-
[20]
LI J, HUANG Y D, ZHANG S, JIA W, WANG X C, GUO Y, JIA D Z, WANG L S. Decoration of silica nanoparticles on polypropylene separator for lithium-sulfur batteries[J]. ACS Appl. Mater. Interfaces, 2017, 9(8): 7499-7504 doi: 10.1021/acsami.7b00065
-
[21]
CHUNG S H, MANTHIRAM A. High-performance Li-S batteries with an ultra-lightweight MWCNT-coated separator[J]. J. Phys. Chem. Lett., 2014, 5(11): 1978-1983 doi: 10.1021/jz5006913
-
[22]
TU S B, CHEN X, ZHAO X X, CHENG M R, XIONG P X, HE Y W, ZHANG Q, XU Y H. A polysulfide-immobilizing polymer retards the shuttling of polysulfide intermediates in lithium-sulfur batteries[J]. Adv. Mater. 2018, 30(45): 1804581 doi: 10.1002/adma.201804581
-
[23]
XIN S, GU L, ZHAO N H, YIN Y X, ZHOU L J, GUO Y G, WAN L J. Smaller sulfur molecules promise better lithium-sulfur batteries[J]. J. Am. Chem. Soc., 2012, 134(45): 18510-18513 doi: 10.1021/ja308170k
-
[24]
YILMAZ M S. The CO2 adsorption performance of aminosilane-modified mesoporous silicas[J]. J. Therm. Anal. Calorim., 2021, 146(5): 2241-2251 doi: 10.1007/s10973-020-10417-3
-
[25]
FANG R P, ZHAO S Y, SUN Z H, WANG D W, CHENG H M, LI F. More reliable lithium-sulfur batteries: Status, solutions and prospects[J]. Adv. Mater., 2017, 29(48): 1606823 doi: 10.1002/adma.201606823
-
[26]
ZHONG J T, REN L L, YING C H, GUO Y, LIU J, ZHONG W H. Amino acid as a multifunctional electrolyte additive for enhancing Li-S battery performance[J]. J. Energy Storage, 2025, 109: 115251 doi: 10.1016/j.est.2024.115251
-
[27]
KANG X Y, HE T Q, DANG H, LI X Y, WANG Y M, ZHU F L, RAN F. Designing amino functionalized titanium-organic framework on separators toward sieving and redistribution of polysulfides in lithium-sulfur batteries[J]. Nano‒Micro Lett., 2025, 277: 2-19
-
[28]
ZHANG Y Z, GE X, KANG Q, KONG Z K, WANG Y L, ZHAN L. Vanadium oxide nanorods embed in porous graphene aerogel as high-efficiency polysulfide-trapping-conversion mediator for high performance lithium-sulfur batteries[J]. Chem. Eng. J., 2020, 393: 124570 doi: 10.1016/j.cej.2020.124570
-
[29]
ZHUANG T Z, HUANG J Q, PENG H J, HE L Y, CHENG X B, CHEN C M, ZHANG Q. Rational integration of polypropylene/graphene oxide/Nafion as ternary-layered separator to retard the shuttle of polysulfides for lithium-sulfur batteries[J]. Small, 2015, 12(3): 381-389
-
[30]
SU Y S, MANTHIRAM A. A new approach to improve cycle performance of rechargeable lithium-sulfur batteries by inserting a free-standing MWCNT interlayer[J]. Chem. Commun., 2012, 48(70): 8817-8819 doi: 10.1039/c2cc33945e
-
[31]
SUN L, XU H N, XIE J, YUAN Y, WANG H Z, WANG M, CHEN X, JIN Z. D-band center modulation of metallic Co-incorporated Co7Fe3 alloy heterostructure for regulating polysulfides in highly efficient lithium-sulfur batteries[J]. Adv. Funct. Mater., 2025, 35: 2416826 doi: 10.1002/adfm.202416826
-
[32]
SUN L, LIU Y X, XIE J, ZHANG F, JIANG R Y, JIN Z. Encapsulating sulfur into a gel-derived nitrogen-doped mesoporous and microporous carbon sponge for high-performance lithium-sulfur batteries[J]. ACS Appl. Mater. Interfaces, 2024, 16(10): 12907-12915 doi: 10.1021/acsami.3c15984
-
[33]
XIE J, CHENG F, CHEN R Y, JIN Z, SUN L. Promoting overall sulfur redox kinetics for Li-S batteries via interfacial synergy in a NiS-NiTe2 heterostructure-modified separator[J]. J. Mater. Chem. A, 2024, 12: 10737-10744 doi: 10.1039/D4TA00036F
-
[34]
SUN L, LIU Y X, XIE J, FAN L L, WU J, JIANG R Y, JIN Z. Polar Co9S8 anchored on pyrrole-modified graphene with in situ growth of CNTs as multifunctional self-supporting medium for efficient lithium-sulfur batteries[J]. Chem. Eng. J., 2023, 451: 138370 doi: 10.1016/j.cej.2022.138370
-
[35]
XIE P F, ZHANG B Y, ZHOU Y K, LI P, TIAN X H. A dual-coated multifunctional separator for the high-performance lithium-sulfur batteries[J]. Electrochim. Acta, 2021, 395: 139181 doi: 10.1016/j.electacta.2021.139181
-
[1]
-
Figure 3 (a) CV curves of CP-NH2-SS and CP-SS symmetric batteries at 5 mV·s-1; (b) UV-Vis spectra of the Li2S6 solutions with NH2-SS, SS, and Li2S6 solutions; (c) CV curves of Li-S batteries based on NH2-SS-PP, SS-PP, and PP at 0.1 mV·s-1; (d) Tafel curves of Li||Li symmetric batteries based on NH2-SS-PP, SS-PP, and PP
Inset: digital photos of these Li2S6 solutions after 8 h of static adsorption.
Figure 6 Performance testing of Li-S batteries based on different interlayer materials: (a) Nyquist plots of batteries with various separators from EIS tests before cycling; (b) rate performance at various current densities; (c) GCD curves; GCD curves at different current densities of the batteries based on (d) NH2-SS-PP and (e) SS-PP; cycling performance plots at (f) 0.2C and (g) 2C
Inset in panel a: equivalent circuit fitting diagram, where CPE1 is a constant phase angle component.
Table 1. XRF data analysis of SS and NH2-SS
Sample Mass fraction of F / % Mass fraction of SiO2 /% Mass fraction of trace element / % SS 18.771 78.313 2.916 NH2-SS 13.780 85.645 0.575 Table 2. Performance of Li-S batteries assembled with the modified interlayer
Modified material Specific capacity of discharge / (mAh·g-1) Reference Low rate High rate NH2-SS 1 048 (0.2C) 590 (4C) This work Double MWCNT 890 (0.2C) n.d.* [5] Co-NCNTs/SiO2 902 (0.2C) 690 (2C) [19] PP-SiO2 956 (0.2C) 567 (2C) [20] Co3O4 905 (0.2C) 742 (2C) [28] GO/Nafion 985 (0.2C) n.d. [29] Li-MWCNT 855 (0.2C) 804 (1C) [30] S/KB/Co7Fe3Co n.d. 500 (1C) [31] S/NPCS n.d. 567 (1C) [32] NiS-TiTe2 750(0.5C) n.d. [33] S@Co9S8/CNTs-Gr n.d. 950 (1C) [34] PMMA-LIZO/PP/AB n.d. 413 (1C) [35] *not described. -
扫一扫看文章
计量
- PDF下载量: 0
- 文章访问数: 218
- HTML全文浏览量: 20

下载:
下载:
下载: