含[FeFe]氢化酶基元的化合物及其光催化制氢性能
English
[FeFe]-hydrogenase-containing compound and its photocatalytic H2-production performance
-
Key words:
- [FeFe]-hydrogenase
- / photocatalysis
- / water splitting
- / hydrogen production
-
0. Introduction
Fossil fuels, including coal and oil, are non-renewable resources and currently serve as the main source of energy for humanity[1-2]. Their use results in the emission of greenhouse gases such as carbon dioxide, contributing to severe environmental issues[3]. Consequently, hydrogen has emerged as a promising alternative fuel due to its high efficiency and zero emissions[4]. However, traditional hydrogen production methods, such as water electrolysis, steam methane reforming, and petroleum pyrolysis, are energy-intensive and environmentally harmful[5]. Photocatalytic water splitting (WS) offers a potential solution to produce hydrogen by utilizing two abundant resources-solar energy and water[6-7]. The development of cost-effective photocatalysts with high catalytic activity and durability for the hydrogen evolution reaction is crucial for establishing a sustainable hydrogen economy[8].
[FeFe]-hydrogenase, also known as iron-only hydrogenase, can efficiently catalyze the reduction of protons to produce hydrogen gas[9-11]. However, its extreme sensitivity to oxygen results in low stability, limiting its sustainable application. In addition, it mainly exists in anaerobic bacteria in nature, such as thermophiles and clostridium, and the complex biosynthesis of [FeFe]-hydrogenase further restricts its availability[12-14].
Based on this, structural modifications were made to [FeFe]-hydrogenase to reconstruct a series of new molecular catalysts, which not only retained the catalytic hydrogen production capabilities of [FeFe]-hydrogenase but also improved its stability[15]. In this study, a new compound [Fe2((SCH2)2R)(CO)6] (1) containing [FeFe]-hydrogenase unit was synthesized and characterized, where R=4-{(1H-benzo[d]imidazol-1-yl)methyl}-anilino (Scheme 1). Its performance as a photocatalyst for hydrogen production from WS under simulated sunlight was evaluated.
Scheme 1
1. Experimental
1.1 Materials and instruments
All reagents and solvents were obtained commercially and used without further purification. 1H NMR and 13C NMR spectra were recorded at 400 MHz and 100 MHz, respectively, on a Bruker Avance spectrometer. Crystallographic data were collected using an Agilent SuperNova CCD single-crystal diffractometer. Fourier Transform Infrared (FTIR) spectra were recorded in a range of 400-4 000 cm-1 on a Perkin-Elmer 1600 FT-IR spectrometer. Ultraviolet-visible (UV-Vis) absorption spectra were measured on a Shimadzu UV2600 Double Beam UV-Vis Spectrophotometer.
1.2 Synthesis of the compounds
Compound 1 was synthesized according to the literature method[16], as illustrated in Scheme 1.
1.2.1 Synthesis of compound A
Benzimidazole (3.28 g, 0.027 8 mol), p-nitrobenzyl bromide (6.00 g, 0.027 8 mol), potassium hydroxide (1.56 g, 0.027 8 mol), and tetrahydrofuran (THF) (20 mL) were added to a 100 mL round-bottomed flask. The mixture was stirred and reacted overnight at room temperature. After removing the solvent, the crude product was purified by column chromatography [dichloromethane (DCM)/methanol as eluent, 100∶1, V/V]. A was obtained as a pale yellow solid (5.41 g, 77.0% yield). 1H NMR (DMSO-d6, 400 MHz): δ 8.46 (s, 1H), 8.26-8.18 (m, 2H), 7.73-7.66 (m, 1H), 7.52 (d, J=8.6 Hz, 2H), 7.50-7.47 (m, 1H), 7.28-7.19 (m, 2H), 5.70 (s, 2H)。Selected FTIR (KBr pellets, cm-1): 1 600 (s), 1 521 (s), 1 457 (s), 1 347 (s), 1 288 (s), 861 (w), 831 (w), 763 (w), 741(w), 734 (w).
1.2.2 Synthesis of compound B
A (1.50 g, 5.929 mmol), FeCl3·6H2O (0.40 g, 1.481 mmol), activated carbon (3.53 g, 392 mmol), hydrazine hydrate (50%, 71.15 g, 711.460 mmol), ethanol (30 mL), and chloroform (20 mL) were added into a 500 mL round-bottom flask and stirred overnight at room temperature. Subsequently, a large amount of water was added, and the mixture was filtered under reduced pressure. The resulting black filter cake was purified by column chromatography (DCM/methanol as eluent, 50∶1, V/V), and an orange-red liquid was collected. Rotary evaporation of this liquid obtained B as a pale yellow solid with a yield of 68.2%. 1H NMR (DMSO-d6, 400 MHz): δ 8.33 (s, 1H), 7.66-7.59 (m, 1H), 7.57-7.50 (m, 1H), 7.24-7.14 (m, 2H), 7.09-6.98 (m, 2H), 6.54-6.47 (m, 2H), 5.26 (s, 2H), 5.10 (s, 2H). Selected FTIR (KBr pellets, cm-1): 3 337 (S), 3 197 (S), 1 621 (W), 1 497 (W), 1 456 (W), 822 (W), 742 (W).
1.2.3 Synthesis of compound C
Under N2 atmosphere, B (3 g, 9.403 mmol), paraformaldehyde (6.40 g, 213.3 mmol), and DCM (50 mL) were combined in a 100 mL round-bottomed flask. The mixture was stirred at room temperature for 4 h. Then, dichlorosulfoxide (15.7 mL, 217 mmol) was slowly added dropwise via a constant-pressure dropping funnel. After an additional hour of stirring, the solvent was removed by rotary evaporation, and the resulting yellow solid C was obtained, which was employed in the next reaction step without further purification.
1.2.4 Synthesis of compound 1
Under N2 atmosphere, [Fe2(μ-S)2(CO)6][16] (D, 500 mg, 1.45 mmol) and anhydrous THF (20 mL) were added to a Schlenk flask. Triethylborohydride (2.9 mL, 2.9 mmol) was added dropwise to the reaction system at -78 ℃. The reaction was maintained at -78 ℃ for 1 h, after which C (850 mg, 2.9 mmol) was added. After stirring for an additional hour, the reaction mixture slowly warmed to room temperature. The solvent was then removed, and the resulting red solid was purified by column chromatography (DCM/petroleum ether as eluent, 1∶3, V/V). Compound 1 was isolated as a deep red solid (344 mg, 40.0% yield). 1H NMR (DMSO-d6, 400 MHz): δ 8.35 (s, 1H), 7.72-7.45 (m, 2H), 7.29 (d, J=8.3 Hz, 2H), 7.19 (q, J=6.5, 6.0 Hz, 2H), 6.90 (d, J=8.3 Hz, 2H), 5.40 (s, 2H), 4.54 (s, 4H). Selected FTIR (KBr pellets, cm-1): 2 073 (vs), 2 028 (vs), 1 991 (vs), 1 621 (w), 1 521 (w), 1 443 (w), 1 365 (w), 1 254 (w), 1 521 (w), 1 176 (w), 917 (w), 743 (w).
1.3 Crystal structure determination
The single crystal for X-ray diffraction was obtained by slowly diffusing hexane into a DCM solution of compound 1 at 0 ℃. Crystal data were collected with Mo Kα radiation (λ=0.071 073 nm) on a CCD diffractometer. Cell parameters were retrieved and refined using the SMART and SAINT software, respectively. The SADABS program was applied for absorption corrections. The structure was solved by direct methods with the SHELXL-97 program package. All the non-hydrogen atoms were in the Fourier maps and refined with anisotropic parameters. Crystal data are summarized in Table 1. Selected bond lengths (nm) and bond angles (°) are listed in Table 2.
Table 1
Parameter 1 Parameter 1 Formula C22H15Fe2N3O6S2 Z 2 Formula weight 593.19 Dc / (g·cm-3) 1.595 Crystal system Triclinic μ / mm-1 11.376 Space group P1 F(000) 600.0 a / nm 0.982 3(6) Crystal size / mm 0.28×0.2×0.16 b / nm 0.986 3(5) Reflection collected 9 010 c / nm 1.311 3(7) Rint 0.042 4 α / (°) 76.973(4) Data, restraints, number of parameters 4 413, 0, 317 β / (°) 86.359(5) GOF on F 2 1.050 γ / (°) 89.496(5) R1a, wR2b [I > 2σ(I)] 0.045 4, 0.110 9 V / nm3 1.235(1) R1, wR2 (all data) 0.063 5, 0.124 3 a R1=∑||Fo|-|Fc||/∑|Fo|; b wR2={∑[w(Fo2-Fc2)2/(Fo2)2]}1/2. Table 2
Fe1—Fe2 0.250 3(9) Fe2—S2 0.226 5(1) C20—Fe2 0.176 9(5) Fe1—S1 0.225 4(1) C17—Fe1 0.179 2(5) C22—Fe2 0.179 6(5) Fe1—S2 0.226 6(1) C18—Fe1 0.180 2(5) C21—Fe2 0.179 5(5) Fe2—S1 0.226 2(1) C19—Fe1 0.179 0(5) O6—C17—Fe1 174.1(4) C18—Fe1—S1 156.55(17) C20—Fe2—S2 86.61(7) O5—C18—Fe1 179.2(4) C18—Fe1—S2 86.96(14) C21—Fe2—S1 88.86(16) O4—C19—Fe1 178.6(5) C19—Fe1—S1 86.28(15) S1—Fe1—Fe2 56.50(3) O3—C20—Fe2 177.6(5) C19—Fe1—S2 154.09(16) S1—Fe1—S2 84.86(4) O2—C21—Fe2 179.6(5) C20—Fe2—C21 91.7(2) S2—Fe1—Fe2 56.45(3) O1—C22—Fe2 179.2(6) C20—Fe2—C22 99.4(3) S1—Fe2—Fe1 56.19(3) C19—Fe1—C17 96.7(2) C20—Fe2—Fe1 103.40(15) S1—Fe2—S2 84.71(4) C19—Fe1—C18 91.6(2) C21—Fe2—C22 98.6(2) S2—Fe2—Fe1 56.49(3) C19—Fe1—Fe2 98.65(16) C21—Fe2—Fe1 103.38(16) C15—S1—Fe1 112.84(13) C17—Fe1—C18 97.8(2) C22—Fe2—Fe1 148.89(17) C15—S1—Fe2 110.83(14) C17—Fe1—Fe2 155.27(13) C21—Fe2—S2 158.77(16) C16—S2—Fe1 112.92(13) C17—Fe1—S1 105.60(15) C22—Fe2—S1 103.12(18) C16—S2—Fe2 107.33(14) C17—Fe1—S2 109.08(15) C22—Fe2—S2 102.54(17) Fe1—S1—Fe2 67.31(3) C18—Fe1—Fe2 100.93(17) C20—Fe2—S1 157.12(19) Fe2—S2—Fe1 67.07(3) 2. Results and discussion
2.1 Structure description of compound 1
Compound 1 crystallizes in the triclinic space group P1 (Table 1). As shown in Fig.1a, the crystal structure of 1 is centered around two Fe(Ⅰ) ions, linked by a functionalized N-heteropropyl disulfide bridge and coordinated with six terminal carbonyl ligands. Two sulfur atoms are connected by the N-heteropropyl bridge, forming a chair-shaped six-membered ring and a boat-shaped six-membered ring, with the bridgehead nitrogen atom oriented towards the Fe1 atoms. The S1⋯S2 and Fe1—Fe2 distances are 0.305 1(1) and 0.250 3(9) nm, respectively. The Fe—S bonds range from 0.225 4(1) to 0.226 6(1) nm, and the Fe—C bonds vary from 0.176 9(5) to 0.180 2(5) nm, which are comparable to those in the previous report[17-19]. The dihedral angle between the planes S2—Fe1—Fe2 and S1—Fe1—Fe2 is 71.918(41)°. Additionally, the benzene ring and the benzimidazole ring are not coplanar, with a dihedral angle of 87.57(59)°. Detailed structural analysis also revealed that there exists an intramolecular C—H⋯O (H7⋯O6 0.25 nm, ∠C7—H7⋯O6 154°) hydrogen bond. The compounds are neatly stacked along the crystallographic b-axis, as shown in Fig.1b, but no π⋯π interaction is observed.
Figure 1
2.2 FTIR spectra
Compound 1, A, and B were also characterized by FTIR spectroscopy (Fig.2). Absorption peaks at 3 339 and 3 195 cm-1 of B can be attributed to the stretching vibrations of the —NH2 group. The IR spectra of compound 1 presented characteristic CO stretching vibration bands at 2 071, 2 030, and 1 989 cm-1.
Figure 2
2.3 UV-Vis absorption spectra
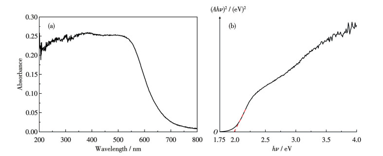
UV-Vis spectroscopy of compound 1 exhibited characteristic absorptions at ca. 490 nm in the solid state, consistent with the spectral features of other reports (Fig.3a)[20-22]. The Tauc plot was also determined by calculations (Fig.3b). The band-gap energy (Eg) was estimated from the x-axis intercept at (Ahν)2=0. The Eg of compound 1 was 1.98 eV. The strong UV-Vis absorption and relatively low Eg encouraged us to explore its photocatalytic reaction.
Figure 3
2.4 Photocatalytic hydrogen production
The structural characteristics and optical properties of compound 1 make it a promising candidate for photocatalysts in photocatalytic hydrogen production from WS. The experiment was conducted in a H2O/CH3CN solvent system, utilizing compound 1 as the photocatalyst (Cat), Ir[dF(CF3)ppy]2(dtbbpy)PF6 as the photosensitizer (Ps), and ascorbic acid as the sacrificial electron donor (Sed). The reaction was irradiated with visible light from a 300 W xenon lamp. The generated hydrogen was quantitatively measured using a gastight syringe and analyzed via gas chromatography (Techcomp 7890-Ⅱ). The ratio of each substance in the catalytic reaction was: nCat∶nPs∶nSed=8.67∶1.76∶30,
∶$ {V}_{{H}_{2}O} $ =3∶3. As shown in Fig.4 and Table 3, the amount of H2 produced of compound 1 within 3 h was 386.5 μmol, achieving a catalytic efficiency of 25.26 μmol·mg-1·h-1 and a turnover number (TON) of 0.45[23].$ {V}_{C{H}_{3}CN} $ Figure 4
Table 3
Peak area / μL$ {V}_{{H}_{2}} $ / μmol$ {n}_{{H}_{2}} $ Catalytic efficiency / (μmol·mg-1·h-1) TON 535 039 8 657.9 386.5 25.26 0.45 2.5 DFT calculations
DFT calculations for compound 1 were performed using Gaussian 03W at the B3LYP level. The HOMO (highest occupied molecular orbital) and LUMO (lowest unoccupied molecular orbital) energy levels, along with their difference, are presented in Fig.5 and Table 4. The LUMOs are primarily distributed on the [FeFe]-hydrogenase unit, rather than on the benzene and benzimidazole rings. Compared to the LOMOs, the HOMOs are more spread out and could be distributed on the benzimidazole rings. The HOMO and LUMO energy levels are -0.216 53 and -0.086 36 eV, respectively, with an energy gap of 0.130 47 eV. The narrow energy gap helps with the utilization of sunlight, increases the possibility of chemical reactions participating, and thereby boosts H2 production efficiency.
Figure 5
Table 4
EHOMO / eV ELUMO / eV ΔEL-H / eV -0.216 53 -0.086 36 0.130 47 3. Conclusions
In this study, a [FeFe]-hydrogenase-containing compound was synthesized and characterized using single-crystal X-ray diffraction, FTIR, UV-Vis spectroscopy, and DFT calculations. Photochemical H2 generation experiments demonstrated that this compound can serve as an effective photocatalyst for hydrogen production from WS under simulated sunlight, facilitating a pollution-free hydrogen release process. This research offers new insights into the design and development of novel [FeFe]-hydrogenase model catalysts.
-
-
[1]
ZOU Z G, YE J H, SAYAMA K, ARAKAWA H. Direct splitting of water under visible light irradiation with an oxide semiconductor photocatalyst[J]. Nature, 2001, 414(6864): 625-627 doi: 10.1038/414625a
-
[2]
ARMAROLI N, BALZANI V. The future of energy supply: Challenges and opportunities[J]. Angew. Chem. ‒Int. Edit., 2007, 46(1/2): 52-66
-
[3]
GREENING C, GRINTER R. Microbial oxidation of atmospheric trace gases[J]. Nat. Rev. Microbiol., 2022, 20(9): 513-528 doi: 10.1038/s41579-022-00724-x
-
[4]
SCHWARTZ E, FRIEDRICH B. The H2-metabolizing prokaryotes[M]//DWORKIN M, FALKOW S, ROSENBERG E, SCHLEIFER K H, STACKEBRANDT E. The prokaryotes: Vol. 2. New York: Springer, 2006: 496-563
-
[5]
NOCERA D G. Solar fuels and solar chemicals industry[J]. Accounts Chem. Res., 2017, 50(3): 616-619 doi: 10.1021/acs.accounts.6b00615
-
[6]
GRAY H B. Powering the planet with solar fuel[J]. Nat. Chem., 2009, 1(1): 7-7 doi: 10.1038/nchem.141
-
[7]
MAEDA K, TERAMURA K, LU D L, TAKATA T, SAITO N, INOUE Y, DOMEN K. Photocatalyst releasing hydrogen from water[J]. Nature, 2006, 440(7082): 295-295 doi: 10.1038/440295a
-
[8]
WANG X C, MAEDA K, THOMAS A, TAKANABE K, XIN G, CARLSSON J M, DOMEN K, ANTONIETTI M. A metal-free polymeric photocatalyst for hydrogen production from water under visible light[J]. Nat Mater, 2009, 8(1): 76-80 doi: 10.1038/nmat2317
-
[9]
SIDABRAS J W, STRIPP S T. A personal account on 25 years of scientific literature on [FeFe]-hydrogenase[J]. J. Biol. Inorg. Chem., 2023, 28(4): 355-378 doi: 10.1007/s00775-023-01992-5
-
[10]
CASTNER A T, JOHNSON B A, COHEN S M, OTT S. Mimicking the electron transport chain and active site of [FeFe] hydrogenases in one metal-organic framework: Factors that influence charge transport[J]. J. Am. Chem. Soc., 2021, 143(21): 7991-7999 doi: 10.1021/jacs.1c01361
-
[11]
KARAYILAN M, BREZINSKI W P, CLARY K E, LICHTENBERGER D L, GLASS R S, PYUN J. Catalytic metallopolymers from [2Fe-2S] clusters: Artificial metalloenzymes for hydrogen production[J]. Angew. Chem. ‒Int. Edit., 2019, 58(23): 7537-7550 doi: 10.1002/anie.201813776
-
[12]
GAO S, LIU Y, SHAO Y D, JIANG D Y, DUAN Q. Iron carbonyl compounds with aromatic dithiolate bridges as organometallic mimics of [FeFe] hydrogenases[J]. Coord. Chem. Rev., 2020, 402: 213081 doi: 10.1016/j.ccr.2019.213081
-
[13]
SONG L C, GU Z C, ZHANG W W, LI Q L, WANG Y X, WANG H F. Synthesis, structure, and electrocatalysis of butterfly [Fe2SP] cluster complexes relevant to [FeFe]-hydrogenases[J]. Organometallics, 2015, 34(16): 4147-4157 doi: 10.1021/acs.organomet.5b00560
-
[14]
PULLEN S, FEI H H, ORTHABER A, COHEN S M, OTT S. Enhanced photochemical hydrogen production by a molecular diiron catalyst incorporated into a metal-organic framework[J]. J. Am. Chem. Soc., 2013, 135(45): 16997-17003 doi: 10.1021/ja407176p
-
[15]
VÖLLER J S. Air-stable [FeFe] hydrogenases[J]. Nat. Catal., 2018, 1(8): 564-564 doi: 10.1038/s41929-018-0137-y
-
[16]
BOGAN L E, LESCH D A, RAUCHFUSS T B. Synthesis of heterometallic cluster compounds from Fe3(μ3-Te)2(CO)9 and comparisons with analogous sulfide clusters[J]. J. Organomet. Chem., 1983, 250(1): 429-438 doi: 10.1016/0022-328X(83)85067-0
-
[17]
JIN G X, WANG F B, ZHAO H R, WANG X H, LI Y L, SUN Y, CHENG J Y, SHENG X H, WANG H Y, MA J P, LIU Q K. [Fe2S2]-hydrogenase-mimic-containing supramolecule and coordination polymers: Syntheses, H2 evolution properties, and their structure-function relationship study[J]. Cryst. Growth Des., 2024, 24(7): 2667-2671 doi: 10.1021/acs.cgd.4c00144
-
[18]
BENNDORF S, SCHLEUSENER A, MÜLLER R, MICHEEL M, BARUAH R, DELLITH J, UNDISZ A, NEUMANN C, TURCHANIN A, LEOPOLD K, WEIGAND W, WÄCHTLER M. Covalent functionalization of CdSe quantum dot films with molecular [FeFe] hydrogenase mimics for light-driven hydrogen evolution[J]. ACS Appl. Mater. Interfaces, 2023, 15(15): 18889-18897 doi: 10.1021/acsami.3c00184
-
[19]
MERINERO A D, COLLADO A, CASARRUBIOS L, GÓMEZ-GALLEGO M, RAMÍREZ DE ARELLANO C, ARELLANO C, CABALLERO A, ZAPATA F, SIERRA M A. Triazole-containing [FeFe] hydrogenase mimics: Synthesis and electrocatalytic behavior[J]. Inorg. Chem., 2019, 58(23): 16267-16278 doi: 10.1021/acs.inorgchem.9b02813
-
[20]
JIN G X, HAN C C, ZHAO H R, WU X W, LI Y L, WANG H Y, MA J P. Small-molecules-induced metal-organic-framework-based photosensitizer for greatly enhancing H2 production efficiency[J]. ACS Mater. Lett., 2024, 6(2): 375-383 doi: 10.1021/acsmaterialslett.3c01286
-
[21]
CHEN X H, YANG F, HAN C C, HAN L C, WANG F B, JIN G X, WANG H Y, MA J P. [Fe2S2-Agx]-hydrogenase active-site-containing coordination polymers and their photocatalytic H2 evolution reaction properties[J]. Inorg. Chem., 2022, 61(34): 13261-13265 doi: 10.1021/acs.inorgchem.2c01818
-
[22]
GAO L G, XU C, SU Y J, LIU A M, MA T L. Cascaded band gap design for highly efficient electron transport layer-free perovskite solar cells[J]. Chem. Commun., 2022, 58(47): 6749-6752 doi: 10.1039/D2CC01807A
-
[23]
COSTENTIN C, DROUET S, ROBERT M, SAVÉANT J M. Turnover numbers, turnover frequencies, and overpotential in molecular catalysis of electrochemical reactions. Cyclic voltammetry and preparative-scale electrolysis[J]. J. Am. Chem. Soc., 2012, 134(27): 11235-11242 doi: 10.1021/ja303560c
-
[1]
-
Table 1. Crystallographic data for compound 1
Parameter 1 Parameter 1 Formula C22H15Fe2N3O6S2 Z 2 Formula weight 593.19 Dc / (g·cm-3) 1.595 Crystal system Triclinic μ / mm-1 11.376 Space group P1 F(000) 600.0 a / nm 0.982 3(6) Crystal size / mm 0.28×0.2×0.16 b / nm 0.986 3(5) Reflection collected 9 010 c / nm 1.311 3(7) Rint 0.042 4 α / (°) 76.973(4) Data, restraints, number of parameters 4 413, 0, 317 β / (°) 86.359(5) GOF on F 2 1.050 γ / (°) 89.496(5) R1a, wR2b [I > 2σ(I)] 0.045 4, 0.110 9 V / nm3 1.235(1) R1, wR2 (all data) 0.063 5, 0.124 3 a R1=∑||Fo|-|Fc||/∑|Fo|; b wR2={∑[w(Fo2-Fc2)2/(Fo2)2]}1/2. Table 2. Selected bond lengths (nm) and bond angles (°) for compound 1
Fe1—Fe2 0.250 3(9) Fe2—S2 0.226 5(1) C20—Fe2 0.176 9(5) Fe1—S1 0.225 4(1) C17—Fe1 0.179 2(5) C22—Fe2 0.179 6(5) Fe1—S2 0.226 6(1) C18—Fe1 0.180 2(5) C21—Fe2 0.179 5(5) Fe2—S1 0.226 2(1) C19—Fe1 0.179 0(5) O6—C17—Fe1 174.1(4) C18—Fe1—S1 156.55(17) C20—Fe2—S2 86.61(7) O5—C18—Fe1 179.2(4) C18—Fe1—S2 86.96(14) C21—Fe2—S1 88.86(16) O4—C19—Fe1 178.6(5) C19—Fe1—S1 86.28(15) S1—Fe1—Fe2 56.50(3) O3—C20—Fe2 177.6(5) C19—Fe1—S2 154.09(16) S1—Fe1—S2 84.86(4) O2—C21—Fe2 179.6(5) C20—Fe2—C21 91.7(2) S2—Fe1—Fe2 56.45(3) O1—C22—Fe2 179.2(6) C20—Fe2—C22 99.4(3) S1—Fe2—Fe1 56.19(3) C19—Fe1—C17 96.7(2) C20—Fe2—Fe1 103.40(15) S1—Fe2—S2 84.71(4) C19—Fe1—C18 91.6(2) C21—Fe2—C22 98.6(2) S2—Fe2—Fe1 56.49(3) C19—Fe1—Fe2 98.65(16) C21—Fe2—Fe1 103.38(16) C15—S1—Fe1 112.84(13) C17—Fe1—C18 97.8(2) C22—Fe2—Fe1 148.89(17) C15—S1—Fe2 110.83(14) C17—Fe1—Fe2 155.27(13) C21—Fe2—S2 158.77(16) C16—S2—Fe1 112.92(13) C17—Fe1—S1 105.60(15) C22—Fe2—S1 103.12(18) C16—S2—Fe2 107.33(14) C17—Fe1—S2 109.08(15) C22—Fe2—S2 102.54(17) Fe1—S1—Fe2 67.31(3) C18—Fe1—Fe2 100.93(17) C20—Fe2—S1 157.12(19) Fe2—S2—Fe1 67.07(3) Table 3. Three-hour hydrogen production data for compound 1
Peak area / μL$ {V}_{{H}_{2}} $ / μmol$ {n}_{{H}_{2}} $ Catalytic efficiency / (μmol·mg-1·h-1) TON 535 039 8 657.9 386.5 25.26 0.45 Table 4. HOMO and LUMO energy levels for compound 1
EHOMO / eV ELUMO / eV ΔEL-H / eV -0.216 53 -0.086 36 0.130 47 -
扫一扫看文章
计量
- PDF下载量: 0
- 文章访问数: 1021
- HTML全文浏览量: 71

下载:
下载:
下载: