Crystal structure, Hirshfeld surface analysis, and antifungal activity of five complexes based on 2,5-bis(carboxymethoxy)terephthalic acid

Jiarong ZHU Xiaohua ZHANG Xinting XIONG Xuliang NIE Xiuying SONG Miaomiao ZHANG Dayong PENG Xiuguang YI

Citation:  Jiarong ZHU, Xiaohua ZHANG, Xinting XIONG, Xuliang NIE, Xiuying SONG, Miaomiao ZHANG, Dayong PENG, Xiuguang YI. Crystal structure, Hirshfeld surface analysis, and antifungal activity of five complexes based on 2,5-bis(carboxymethoxy)terephthalic acid[J]. Chinese Journal of Inorganic Chemistry, 2025, 41(11): 2358-2370. doi: 10.11862/CJIC.20250150 shu

五例基于2,5-二(羧甲氧基)对苯二甲酸构筑的配合物的晶体结构、Hirshfeld表面分析及抗真菌活性

    通讯作者: 聂旭亮, niexuliang1981@163.com
    宋秀英, songxy0825@163.com
    易绣光, jayxgggchem@163.com
  • 基金项目:

    国家自然科学基金 22208135

    国家自然科学基金 22168018

    江西省自然科学基金 20242BAB25161

    江西省自然科学基金 20232BAB213038

    江西省自然科学基金 20232BAB203048

    江西省教育厅重点基金 GJJ200404

    国家重点实验室开放基金 2025-KF07

摘要: 由2,5-二(羧甲氧基)对苯二甲酸(H4BCTA)、1, 10-菲咯啉(Phen)和2, 2′-联吡啶(Bipy)合成了5个新颖的配合物[Co2(BCTA)(H2O)4]n (1)、[Co2(BCTA)(Phen)2(H2O)2] (2)、[Co2(BCTA)(Bipy)2(H2O)2] (3)、[Cu2(BCTA)(Bipy)2(H2O)2]n (4)和[Cd2(BCTA)(Bipy)2(H2O)2]n (5)。通过红外光谱、元素分析、热重分析和单晶X射线衍射表征了所有配合物的结构。配合物23是零维结构, 配合物5是一维带状结构, 配合物14是二维网状结构。对配合物1~5进行了Hirshfeld表面分析, 并详细研究了配合物的抗真菌活性。配合物5对7种病原真菌具有很强的抗真菌活性, 抑制率均高达100%。

English

  • Metal-organic frameworks (MOFs), formally introduced by Yaghi in 1995[1-2], have become one of the most investigated classes of coordination polymers (CPs) owing to their exceptionally high porosity, crystallinity, and modular structure/composition, and are predicted to be the decisive material in the 21st century[3-6]. Terephthalic acid ligands have been widely used in the synthesis of MOF because of their unique two equidistant carboxyl groups, the rigid structure of the phenyl skeleton, and their good bridging ability[5-9]. Yaghi et al. systematically studied the directional design and synthesis of metal-organic framework (MOF-5), and regulated the structure and function of MOF-5 with the different organic groups[10-12]. Dietzel et al. synthesized a series of coordination polymers from 2,5- dihydroxyterephthalic acid and auxiliary ligands, and studied the magnetic property, adsorption, and desorption properties of the complexes[13-14]. In recent decades, more and more coordination polymers constructed with substituted terephthalic acid ligands have been synthesized. However, upon examining these complexes, it becomes apparent that substituents only regulate their functions and do not participate in coordination[15-17]. The research on its function mainly focuses on electric and magnetic materials, gas storage and separation, optical, chemical sensing, catalysis, and drug delivery, but there are few reports on the antibacterial properties and applications of the coordination polymers[18].

    There are many effective components with antibacterial activity in nature. After structural modification, high-activity and environment-friendly botanical fungicides can be obtained. In recent years, people began to pay attention to the synthesis and properties of natural product and their derivatives complexes[19]. Bhattacharya et al. synthesized two metal complexes of thiosalicylate and evaluated their antibacterial, anti-biofilm, and anti-tumor activities[20]. Cai et al. synthesized three 4-aminosalicylic acid complexes, all of which have significant inhibitory effects on three bacterial strains[21]. Our group synthesized a series of metal complexes of salicylic acid derivatives and studied their antifungal activity[22-25].

    MOFs can be endowed with antimicrobial activity in many different ways, such as using antimicrobial metal ions[26]. The antifungal activity can be improved by coordinating organic ligands with metal ions to form metal complexes[27-28]. The antifungal mechanism of complexes is similar at the molecular level, but it is completely different from the antifungal mechanism, which may become a new solution to the drug resistance problem[29-30]. We have noticed that phenoxyacetic acid is an important chemical raw material, which has strong biological activity and can be used to produce herbicides, insecticides, fungicides, phytohormones, and other pesticides. In view of the above considerations, we designed and synthesized a new ligand, namely 2,5-bis(carboxymethyl)terephthalic acid (H4BCTA), from a salicylic acid derivative, and then used it as a ligand to synthesize five novel metal complexes. Herein, we report the crystal structure and properties of these five complexes: [Co2(BCTA)(H2O)4]n (1), [Co2(BCTA)(Phen)2(H2O)2] (2), [Co2(BCTA)(Bipy)2(H2O)2] (3), [Cu2(BCTA)(Bipy)2(H2O)2]n (4), and [Cd2 (BCTA)(Bipy)2(H2O)2]n (5), where Phen=1, 10-phenanthroline, Bipy=2, 2′-bipyridine. The structures of all the complexes were characterized by single-crystal X-ray diffraction, thermogravimetric analysis (TGA), elemental analysis, and infrared spectra. Hirshfeld surface and antifungal activity of complexes 1-5 were investigated.

    The ligand H4BCTA was synthesized according to references[24-25]. Phen, Bipy, CoCl2·6H2O, Cu(CH3COO)2·H2O, and other reactants were obtained commercially and used without further purification. Elemental analysis of C, H, and N was performed on a Perkin-Elmer 240C elemental analyzer. IR spectra were recorded (KBr disks, 4 000-400 cm-1) on a Nicolet 6700 FT-IR spectrometer. TGA experiment was carried out on a Perkin-Elmer TG/DTA 6300 system with a heating rate of 10 ℃·min-1 from 20 to 900 ℃ under a nitrogen atmosphere.

    1.2.1   Synthesis of complex 1

    A mixture of CoCl2·6H2O (0.047 4 g, 0.2 mmol), H4BCTA (0.031 4 g, 0.1 mmol), NaOH (2 mL, 0.4 mol·L-1), and distilled water (10 mL) was sealed in a Teflon-lined stainless reactor (25 mL) and heated at 120 ℃ for 72 h. Then the autoclave was cooled to room temperature. The crystals were recovered, then filtered and washed with distilled water. The purple crystals of 1 suitable for X-ray diffraction analysis were obtained with a yield of 45% based on Co(Ⅱ). Elemental Anal. Calcd. for C6H7CoO7(%): C, 28.82; H, 2.82. Found(%): C, 28.14; H, 3.02. IR (KBr, cm-1): 3 356(vs), 1 571(vs), 1 407(vs), 1 348(m), 1 194(vs), 1 003(m), 948(m), 895(w), 852(m), 819(m), 730(s), 664(m), 449(m).

    1.2.2   Synthesis of complex 2

    A mixture of CoCl2·6H2O (0.047 4 g, 0.2 mmol), H4BCTA (0.031 4 g, 0.1 mmol), Phen (0.019 8 g, 0.1 mmol), NaOH (2 mL, 0.4 mol·L-1), and distilled water (10 mL) was sealed in a Teflon-lined stainless reactor (25 mL) and heated at 120 ℃ for 72 h. Then the autoclave was cooled to room temperature. The crystals were recovered, then filtered and washed with distilled water. The purple crystals of 2 suitable for X-ray diffraction analysis were obtained with a yield of 42% based on Co(Ⅱ). Elemental Anal. Calcd. for C18H19CoN2O9(%): C, 46.37; H, 4.11; N, 6.01. Found (%): C, 45.49; H, 4.24; N, 5.89. IR (KBr, cm-1): 3 631(vs), 1 453(vs), 1 409(m), 1 202(vw), 1 066(w), 842(w), 491(w).

    1.2.3   Synthesis of complex 3

    The synthesis was the same as that of 2, except that ligand Phen was replaced by Bipy (0.015 6 g, 0.1 mmol). The purple crystals of 3 suitable for X-ray diffraction analysis were obtained with a yield of 31% based on Co(Ⅱ). Elemental Anal. Calcd. for C16H13Co N2O6(%): C, 49.50; H, 3.38; N, 7.22. Found(%): C, 48.38; H, 3.55; N, 7.05. IR (KBr, cm-1): 3 347(vs), 1 591(vs), 1 474(w), 1 445(w), 1 410(m), 1 350(w), 1 250(vw), 1 167(vw), 1 018(vw), 1 003(vw), 947(vw), 909(w), 878(w), 825(vw), 773(vw), 662(vw), 449(vw).

    1.2.4   Synthesis of complex 4

    The synthesis was the same as that of 3, except that CoCl2·6H2O was replaced by Cu(CH3COO)2·H2O (0.039 9 g, 0.2 mmol). The blue crystals of 4 suitable for X-ray diffraction analysis were obtained with a yield of 42% based on Cu(Ⅱ). Elemental Anal. Calcd. for C32H29Cu2N4O13.5(%): C, 47.29; H, 3.60; N, 6.89. Found(%): C, 46.78; H, 3.68; N, 6.82. IR (KBr, cm-1): 3 362(vs), 1 663(s), 1 601(vs), 1 497(vs), 1 475(s), 1 447(s), 1 293(m), 1 031(m), 771(w), 731(m), 493(w), 414(w).

    1.2.5   Synthesis of complex 5

    The synthesis was the same as that of 3, except that CoCl2·6H2O was replaced by Cd(CH3COO)2·2H2O (0.053 3 g, 0.2 mmol). The white crystals of 5 suitable for X-ray diffraction analysis were obtained with a yield of 32% based on Cd(Ⅱ). Elemental Anal. Calcd. for C16H19CdN2O9(%): C, 38.76; H, 3.86; N, 5.65. Found(%): C, 38.30; H, 3.95; N, 5.58. IR (KBr, cm-1): 3 424(w), 1 593(vs), 1 475(s), 1 439(m), 1 357(s), 1 246(m), 1 204(m), 1 059(m), 1 017(s), 858(w), 768(m), 736(w).

    The crystal structures of complexes 1-5 were determined by single-crystal X-ray diffraction. Reflection data were collected at room temperature on a Bruker APEX Ⅱ area detector diffractometer[31] equipped with a graphite-monochromatic Mo radiation (λ=0.071 073 nm) with ω-2θ scan mode at 293(2) K. Empirical absorption corrections were applied to all data using the SADABS program. The structure was solved by direct methods and refined by full-matrix least squares on F2 using SHELXTL-2014 software[32-33]. All non-hydrogen atoms were located by direct methods and subsequent difference Fourier syntheses. All hydrogen atoms were located by geometrical calculations, and their positions and thermal parameters were fixed during the structure refinement, with C—H lengths of 0.093-0.097 nm and O—H length of 0.082 nm. Crystallographic data and pertinent information are given in Table 1. Selected bond lengths and bond angles are given in Table S1 (Supporting information), and hydrogen bond lengths and bond angles are given in Table S2.

    Table 1

    Table 1.  Crystal and structure refinement data of complexes 1-5
    下载: 导出CSV
    Parameter 1 2 3 4 5
    Empirical formula C6H7CoO7 C18H19CoN2O9 C16H13CoN2O6 C32H29Cu2N4O13.5 C16H19CdN2O9
    Formula weight 250.05 466.28 388.21 812.67 495.74
    Temperature / K 293 293 296 298 293
    Crystal system Orthorhombic Monoclinic Monoclinic Monoclinic Triclinic
    Space group Pbca P21/c P21/c P21/c P1
    a / nm 1.108 26(4) 0.957 63(5) 0.948 32(15) 1.537 3(3) 0.871 76(3)
    b / nm 0.704 69(3) 2.633 15(12) 0.791 38(12) 1.545 7(3) 1.007 29(4)
    c / nm 1.992 35(7) 0.731 24(4) 2.070 8(3) 1.386 7(2) 1.143 09(4)
    α / (°) 111.843(3)
    β / (°) 93.311(4) 93.564(2) 108.017(2) 97.379(3)
    γ / (°) 100.075(3)
    V / nm3 1.555 98(10) 1.840 80(16) 1.551 1(4) 3.133 5(10) 0.896 53(6)
    Z 8 4 4 4 2
    Dc / (g·cm-3) 2.135 1.683 1.662 1.723 1.836
    μ(Mo ) / mm-1 2.22 0.99 1.14 1.44 1.273
    F(000) 1 008 960 792 1 660 498.0
    Crystal size / mm 0.21×0.18×0.15 0.23×0.15×0.12 0.18×0.14×0.12 0.20×0.14×0.12 0.19×0.16×0.04
    θ range for data collection / (°) 3.6-25.5 3.5-25.5 2.2-25.5 1.9-25.0 3.4-25.5
    Reflection collected 4 741 8 080 11 597 23 887 6 718
    Independent reflection 1 446 (Rint=0.025 8) 3 423 (Rint=0.024 8) 2 884 (Rint=0.037 4) 5 825 (Rint=0.039 0) 3 341 (Rint=0.019 7)
    Goodness-of-fit on F2 1.077 1.097 1.029 1.060 0.993
    Final R indices[I > 2σ(I)]* R1=0.025 2,
    wR2=0.055 6
    R1=0.050 4
    wR2=0.133 9
    R1=0.030 3,
    wR2=0.070 3
    R1=0.036 7,
    wR2=0.095 0
    R1=0.027 7,
    wR2=0.055 4
    R indices (all data) R1=0.029 0,
    wR2=0.057 6
    R1=0.059 5,
    wR2=0.140 3
    R1=0.042 9,
    wR2=0.076 4
    R1=0.060 0,
    wR2=0.113 2
    R1=0.030 6,
    wR2=0.057 1
    *R1=∑||Fo|-|Fc||/∑|Fo|; b wR2=[∑w(Fo2-Fc2)2/∑w(Fo2)2]1/2.

    The antifungal activity of complexes 1-5 against eight plant pathogenic fungi was determined by the mycelial growth rate method[34-35] at a mass concentration of 200 μg·mL-1. Each antifungal test was repeated three times, respectively, and all experimental data of the fungi were recorded. The diameter of the mycelium was measured by the cross method when the mycelium of the blank sample was full. The inhibition rate was calculated by the average of three experiments. The specific steps of the antifungal activity test were shown in the paper we reported[36].

    2.1.1   Crystal structure of complex 1

    As illustrated in Fig. 1, the asymmetric unit of complex 1 contains one Co(Ⅱ) ion, half of a BCTA4- ligand, and two coordinated water molecules. Each Co1 ion coordinates with four oxygen atoms (O1, O2, O3, and O5) from two BCTA4- ligands and two oxygen atoms (O6 and O7) from two coordinated water molecules, respectively, yielding one slightly deformed octahedral configuration. The Co—O bond lengths are between 0.201 21(16) and 0.216 44(16) nm, and the O—Co—O bond angles vary from 77.27(6)° to 172.38(7)°, and are similar to those in Co(Ⅱ) complex[22].

    Figure 1

    Figure 1.  Asymmetric unit of complex 1 with 50% thermal ellipsoids

    Symmetry codes: -x+3/2, y-1/2, z; -x+3/2, y+1/2, z; -x+1, -y+1, -z+1; x-1/2, -y+1/2, -z+1.

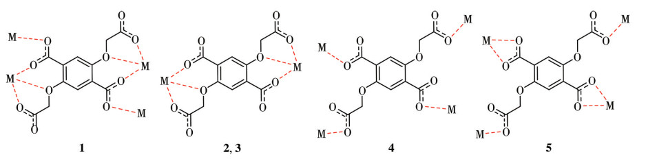
    Each BCTA4- ligand is coordinated with four cobalt ions by octadentate bridging (Scheme 1). The two oxygen atoms (O2, O2) of each BCTA4- ligand coordinate with two nearby cobalt ions (Co1 and Co1), respectively, and connect the adjacent cobalt ions to form a 2D network structure (Fig. 2). In the 2D network structure, there are parallelogram structures formed by four ligands and four cobalt ions. The distances between Co(Ⅱ) ions (Co1…Co1 and Co1…Co1) are 0.487 53(5) and 0.894 27(6) nm, and the angles between Co(Ⅱ) ions (Co1…Co1…Co1 and Co1…Co1…Co1) are 55.231(6)° and 124.769(7)°, respectively. In complex 1, there are a lot of hydrogen bond interactions between carboxyl oxygen atoms from BCTA4- ligand and coordinated water molecules. Intermolecular O—H…O hydrogen bonds between three oxygen atoms (O1, O4, and O5) of two carboxyl groups from BCTA4- ligand and two oxygen atoms (O6 and O7) from two coordinated water molecules in the packing structure connect the adjacent 2D network to form a 3D hydrogen bond network (Fig. 3).

    Figure 1

    Figure 1.  Coordination codes of the BCTA4- ligand in complexes 1-5

    Figure 2

    Figure 2.  Two-dimensional network of complex 1

    Some water molecules and hydrogen atoms in the structure have been deleted for clarity; Symmetry codes: -x+3/2, y-1/2, z; -x+3/2, y+1/2, z; -x+1, -y+1, -z+1; x-1/2, -y+1/2, -z+1; -x+1/2, y+1/2, z.

    Figure 3

    Figure 3.  Three-dimensional hydrogen bond network of complex 1
    2.1.2   Crystal structure of complexes 2 and 3

    Complexes 2 and 3 are zero-dimensional structures, and their crystal structure are very similar. Take the crystal structure of 2 as an example (the asymmetric unit of 3 is shown in Fig. S1). As illustrated in Fig. 4, the asymmetric unit of 2 contains one Co(Ⅱ) ion, half of a deprotonated BCTA4- ligand, one Phen ligand, one coordinated water molecule, and three crystal lattice water molecules. Each BCTA4- ligand is coordinated with two cobalt ions by hexadentate bridging (Scheme 1). The Co(Ⅱ) ion is also a six-coordinated octahedron configuration, which coordinates with three oxygen atoms (O2, O3, and O4) of the BCTA4- ligand, two nitrogen atoms (N1 and N2) of two Phen ligands, and one oxygen atom (O6) from a coordinated water molecule, respectively. The Co—O bond lengths are 0.200 69(18), 0.203 65(18), 0.209 9(2), and 0.224 53(17) nm. The Co—N bond lengths are 0.211 2(2) and 0.214 4(2) nm. The O—Co—O bond angles vary from 76.03(7)° to 156.60(7)°, the O—Co—N bond angles vary from 86.28(8)° to 170.22(8)°, and the N—Co—N bond angles are 78.31(8)°, which are similar to those in Co(Ⅱ) complex[22].

    Figure 4

    Figure 4.  Asymmetric unit of complex 2 with 50% thermal ellipsoids

    Some hydrogen atoms in the structure have been deleted for clarity; Symmetry code: -x+1, -y+1, -z+1.

    As illustrated in Fig. 5, intermolecular O—H…O hydrogen bonds between three oxygen atoms (O1, O2, and O5) of carboxyl from BCTA4- ligand, oxygen atoms (O6) from coordinated water molecule and oxygen atoms (O7, O8 and O9) from crystal lattice water molecule in the packing structure connect the adjacent complex 2 to form 1D hydrogen bond chain (Fig. 5). Weak intermolecular C—H…O hydrogen bonds and π-π stacking in the packing structure connect the adjacent 1D chain structure to form 3D network (Fig. 6).

    Figure 5

    Figure 5.  One-dimensional hydrogen bond chain of complex 2

    Figure 6

    Figure 6.  Three-dimensional hydrogen bond network of complex 2
    2.1.3   Crystal structure of complex 4

    As illustrated in Fig. 7, complex 4 is a binuclear copper complex. Its asymmetric unit contains two Cu(Ⅱ) ions (Cu1 and Cu2), one deprotonated BCTA4- ligand, two Bipy ligands, two coordinated water molecules, and one and a half crystal lattice water molecule. Each Cu(Ⅱ) ion is in a five-coordinated tetragonal pyramid configuration, which coordinates with two oxygen atoms of two BCTA4- ligands, one oxygen atom of the coordinated water molecule, and two nitrogen atoms of the Bipy ligand. The bond lengths of Cu—O are between 0.195 9(2) and 0.228 6(3) nm, the bond lengths of Cu—N are between 0.200 5(3) and 0.201 9(3) nm, and the bond angles of N—Cu—N are 80.37(12)° and 80.46(11)°, the bond angles of N—Cu—O are between 84.98(11)° and 174.83(11)°, and those of O—Cu—O are between 95.17(10)° and 107.90(11)°. The close Cu…O distances (Cu1…O2 and Cu2…O7) are 0.274 99(28) and 0.289 93(28) nm, they look short but not close enough to be a bond, which is similar to those in Cu(Ⅱ) complex[22].

    Figure 7

    Figure 7.  Asymmetric unit of complex 4 with 50% thermal ellipsoids

    Some hydrogen atoms in the structure have been deleted for clarity; Symmetry codes: x, -y+1/2, z-1/2; x, -y+3/2, z-1/2; x, -y+1/2, z+1/2; x, -y+3/2, z+1/2.

    As illustrated in Fig. 8, BCTA4- ligand adopts a unique tetra-dentate bridging coordination mode (Scheme 1). The two carboxyl groups in BCTA4- ligand connect adjacent Cu2 to form a 1D chain structure, while the other two carboxyl groups connect adjacent Cu1 to form a 1D chain structure. The distances between two Cu(Ⅱ) ions (Cu1…Cu1, Cu2…Cu2 and Cu1…Cu2) are 0.734 00(11), 0.733 75(11), and 0.832 40(15) nm, respectively. The angles between Cu(Ⅱ) ions (Cu1…Cu1…Cu1 and Cu2…Cu2…Cu1) are 141.684(8)° and 141.798(8)°. The BCTA4- ligand connects adjacent 1D chains to form a 2D network structure. In the stacking structure of complex 4, there are also abundant intermolecular O—H…O hydrogen bonds (Table S2) that connect adjacent 2D structures, resulting in a 3D hydrogen bond network structure (Fig. 9).

    Figure 8

    Figure 8.  Two-dimensional network of complex 4

    Symmetry codes: x, -y+1/2, z-1/2; x, -y+3/2, z-1/2; x, -y+1/2, z+1/2; x, -y+3/2, z+1/2.

    Figure 9

    Figure 9.  Three-dimensional hydrogen bond network of complex 4
    2.1.4   Crystal structure of complex 5

    As illustrated in Fig. 10, the asymmetric unit of complex 5 contains one Cd(Ⅱ) ion, half of a deprotonated BCTA4- ligand, one Bipy ligand, two coordinated water molecules, and two crystal lattice water molecules. Each Cd(Ⅱ) ion is a seven-coordination ([N2O5]) twisted single-cap triangular prism configuration, which coordinates with three oxygen atoms (O1, O2, and O5) of two BCTA4- ligands, two oxygen atoms (O6 and O7) of two coordinated water molecules, and two nitrogen atoms (N1 and N2) of the Bipy ligand. The bond lengths of Cd—O are between 0.230 99(19) and 0.247 5(2) nm, the bond lengths of Cd—N are 0.236 3(2) and 0.242 6(3) nm, and the bond angle of N—Cd—N is 68.57(9)°, the bond angles of N—Cd—O are between 75.18(8)° and 143.30(8)°, and those of O—Cd—O are between 52.84(7)° and 169.53(8)°, which are similar to those in Cd(Ⅱ) complex[22].

    Figure 10

    Figure 10.  Asymmetric unit of complex 5 with 50% thermal ellipsoids

    Some hydrogen atoms in the structure have been deleted for clarity; Symmetry codes: x, y-1, z; x, y+1, z; -x, -y+1, -z+2; -x, -y+2, -z+2.

    BCTA4- ligand adopts a unique six-dentate bridging coordination mode (Scheme 1). Four carboxyl groups of BCTA4- ligand coordinate with one cadmium ion respectively, connecting four adjacent cadmium ions into a 1D banded structure (Fig. 11). In the banded structure, the distances between Cd(Ⅱ) ions (Cd1…Cd1 and Cd1…Cd1) are 1.007 29(5) and 0.843 43(4) nm, and the angles between Cd(Ⅱ) ions (Cd1…Cd1… Cd1 and Cd1…Cd1…Cd1) are 75.585(2)° and 104.415(3)°, respectively. Intermolecular O—H…O hydrogen bonds between oxygen atoms of carboxyl and from BCBA4- ligand and oxygen atoms from crystal lattice water molecule in the packing structure connect the adjacent 1D banded structure to form a 3D hydrogen bond network (Fig. 12).

    Figure 11

    Figure 11.  One-dimensional banded structure of complex 5

    Symmetry codes: x, -y+1/2, z-1/2; x, -y+3/2, z-1/2; x, -y+1/2, z+1/2; x, -y+3/2, z+1/2.

    Figure 12

    Figure 12.  Three-dimensional hydrogen bond networks of complex 5

    To further analyze various weak inter-molecular forces, the Hirshfeld surface analysis method was used to quantitatively analyze the weak inter-molecular forces of complexes 1-5 using Crystal Explorer 3.1 based on their crystal structure[37-38]. The Hirshfeld surface analysis of complex 1 is presented as an example. As shown in Fig. 13, the ranges of dnorm, shape index, and curvedness are -1.187 4-0.996 1, -1.000 0-1.000 0, and -4.000 0-0.400 0. The red spots on the Hirshfeld surface analysis indicate that the contacts between the atoms are shorter than van der Waals′ radii of atoms, and the white or blue spots indicate the contacts of atoms are equal to or longer than the sum of their van der Waals′ radii[38]. The contribution percentages of various reciprocal contacts to the Hirshfeld surface analysis of 1 are shown in Fig. 14. The four main reciprocal contacts are O…H, H…H, C…H, and C…C reciprocal contacts and the contribution of four main reciprocal contacts to the whole Hirshfeld surface analysis is 84.8%. Among all the contacts, O…H interaction is the most significant one, with a contribution of 47.3% due to the large number of O atoms in the crystal structure, and the H…H interaction provides a 21.0% contribution. The Hirshfeld surface analysis and 2D fingerprint plots of complexes 2-5 are shown in Fig. S2-S9. Complexes 2-5 show a similar contribution of different contacts to the Hirshfeld surface analysis (Fig. 15). Due to the introduction of the second ligand, the contribution percentage of O…H interaction in complex 2-5 is greatly reduced, and the contribution percentages of C…H and C…C interaction are greatly increased, which is related to their similar crystal structure.

    Figure 13

    Figure 13.  Hirshfeld surface analysis of complex 1

    Figure 14

    Figure 14.  Two-dimensional fingerprint of complex 1

    Unit: nm

    Figure 15

    Figure 15.  Contribution percentages of various contacts of complexes 1-5 determined by Hirshfeld surface analysis

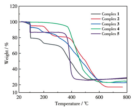
    TGA data of complexes 1-5 are shown in Fig. 16. The TG curve shows that complex 1 first experienced a significant weight loss at 100 ℃. From the crystal structure, it can be seen that Co in 1 is coordinated with two H2O molecules, so it is not difficult to know that this weight loss is due to the H2O molecules. The final total weight loss at 103.73 ℃ was 18.58% (Calcd. 14.44%). The final total weight loss at 505.98 ℃ was 72.69% (Calcd. 74.40%), attributed to the removal of the ligands, and the final product was CoO with the weight of 27.31% (Calcd. 25.60%). Complex 2 was very stable until a significant weight loss began at 381.23 ℃ and stabilized at 649.16 ℃. The final total weight loss at 649.16 ℃ was 82.56 % (Calcd. 93.92%), attributed to the removal of the ligands, and the final product was CoO with the weight of 17.44% (Calcd. 16.08%). Complex 3 final total weight loss at 614.03 ℃ was 75.87% (Calcd. 80.68%), attributed to the removal of the ligands, and the final product was CoO with the weight of 24.13% (Calcd. 19.32%). Complex 4 was very stable until a significant weight loss began at 370.61 ℃ and stabilized at 591.57 ℃. The final total weight loss at 591.57 ℃ was 76.19% (Calcd. 80.31%), attributed to the removal of the ligands, and the final product is CuO with the weight of 23.81% (Calcd. 19.69%). Complex 5 first experienced a significant weight loss at 100 ℃. From the crystal structure, it can be seen that Cd in complex 5 is coordinated with two H2O molecules, and there is also a water molecule connected by hydrogen bonding in complex 5. Therefore, it is not difficult to know that this weight loss is due to H2O molecules. The final total weight loss at 103.13 ℃ was 13.25% (Calcd. 11.12%). The final total weight loss at 504.78 ℃ was 74.31 % (Calcd. 73.65%), attributed to the removal of the ligands, and the final product is CdO with the weight of 25.69% (Calcd. 26.35%). The results of TGA of complexes 1-5 are consistent with their crystal structure.

    Figure 16

    Figure 16.  TGA curves of complexes 1-5

    The antifungal activity results of the H4BCTA ligand, metal ions, and complexes 1-5 are shown in Table 2. The results indicate that metal ions, the H4BCTA ligand, and complexes 1-5 have certain inhibitory effects against eight pathogenic fungi. Among them, the ligand had the worst antifungal activity, and the highest inhibition rate was only 23.77%. The antifungal activity of metal ions was better than that of the ligand, among which copper ion had the best activity to Rhizoctonia solani AG1, cobalt ion had the best activity to Bipolaris maydis, and cadmium ion had the strongest antifungal activity, and its inhibition rate against four pathogenic fungi is over 92%. The antifungal activity of complexes was stronger than that of the ligand and corresponding metal ions. The results show that the antifungal activity of the complexes was obviously improved due to the synergistic effect of ligand and metal ion[22-23]. Complexes 1 and 2 had strong antifungal activity against Bipolaris maydis, and the inhibitory rate reached 82.61% and 55.97%, respectively. The results showed that the introduction of the second ligand reduced the antifungal activity of complex 2. Complex 3 had strong antifungal activity against Sphaeropsis sapinea, and the inhibitory rate reached 72.52%. The results showed that the introduction of the second ligand enhanced the antifungal activity of complex 3. The antifungal activity of complex 4 was weak, and the antifungal activity of complex 5 was the strongest among all complexes. Complex 5 showed very strong antifungal activity against all pathogenic fungi, among which the inhibition rate against Bipolaris maydis was 84%, and the inhibition rate against the other seven pathogenic fungi was as high as 100% (Fig. 17). The antifungal activity of complex 5 was slightly stronger than that of the corresponding cadmium complex in the literature. The results of the antifungal activity of complex 5 show that the synergistic effect of ligand and Cd2+ ion obviously improves the antifungal activity of complex 5, but the antifungal activity of complex 5 mainly comes from Cd2+ ion, which is consistent with the results reported in the literature[22-23].

    Table 2

    Table 2.  Inhibition rates against fungi of complexes 1-5 and metal ions*
    下载: 导出CSV
    Compound Inhibition rate / %
    R. S. P. P. F. V. F. N. S. S. C. C. C. F. B. M.
    DMSO 7.41 2.75 0.00 5.71 0.00 3.03 0.00 0.96
    H4BTBA 23.77 8.61 6.88 5.63 12.20 0.00 0.53 0.00
    Co2+ 10.51 0.00 0.00 0.00 27.17 0.00 0.00 68.77
    Cu2+ 32.13 15.82 1.09 3.76 11.75 3.52 7.93 25.04
    Cd2+ 100.00 74.01 92.57 97.85 98.41 58.65 80.31 31.29
    1 50.00 19.19 3.30 0.00 26.46 6.02 0.00 82.61
    2 1.04 9.06 0.94 1.07 30.66 0.00 1.99 55.97
    3 72.52 14.38 6.54 0.00 31.74 3.01 0.00 23.37
    4 14.98 18.71 2.22 0.00 8.99 13.25 3.61 1.08
    5 100.00 100.00 100.00 100.00 100.00 100.00 100.00 84.82
    *R. S.: Rhizoctonia solani AG1, P. P.: Phytophthora parasitica var.nicotianae, F. V.: Fusarium verticllioides, F. N.: Fusarium oxysporum f.sp.niveum; S. S.: Sphaeropsis sapinea, C. C.: Colletotrichum capsici, C. F.: Colletotrichum fructicola, B. M.: Bipolaris maydis; Data are given as the mean of triplicate experiments.

    Figure 17

    Figure 17.  Antifungal activity of complex 5

    In conclusion, five novel complexes were successfully synthesized with the H4BCTA ligand under solvothermal conditions. All complexes were structurally characterized by infrared spectroscopy, elemental analysis, thermogravimetric analysis, and single-crystal X-ray diffraction. Hirshfeld surface analysis and antifungal activity of complexes 1-5 were investigated. Furthermore, complex 5 has super-strong antifungal activity against seven pathogenic fungi, and all the inhibitory rates are as high as 100%. Therefore, this study is expected to provide important ideas for developing MOFs with excellent antifungal properties.


    Supporting information is available at http://www.wjhxxb.cn
    1. [1]

      YAGHI O M, LI G, LI H. Selective binding and removal of guests in a microporous metal-organic framework[J]. Nature, 1995, 378: 703-706 doi: 10.1038/378703a0

    2. [2]

      FURUKAWA H, CORDOVA K E, O′KEEFFE M, YAGHI O M. The chemistry and applications of metal-organic frameworks[J]. Science, 2013, 341: 1230444 doi: 10.1126/science.1230444

    3. [3]

      李建定, 冯俊阳, 任慧敏, 李纲. 由2,5-二溴对苯二甲酸构筑的铪(Ⅳ)基金属有机框架的质子导电性能[J]. 无机化学学报, 2025, 41(6): 1094-1100LI J D, FENG J Y, REN H M, LI G. Proton conductive properties of a Hf(Ⅳ)-based metal-organic framework built by 2,5-dibromophenyl-4, 6-dicarboxylic acid[J]. Chinese J. Inorg. Chem., 2025, 41(6): 1094-1110

    4. [4]

      QIU J H, ZHANG X G, FENG Y, ZHANG X F, WANG H, YAO J F. Modified metal-organic frameworks as photocatalysts[J]. Appl. Catal. B-Environ., 2018, 231: 317-342 doi: 10.1016/j.apcatb.2018.03.039

    5. [5]

      崔培培, 李鑫, 陈奕霖, 程智林, 高飞燕, 郭旭, 闫文宁, 邓雨晨. 柔性二羧酸过渡金属配位聚合物的合成、表征和荧光性质[J]. 无机化学学报, 2024, 40(11): 2221-2231CUI P P, LI X, CHEN Y L, CHENG Z L, GAO F Y, GUO X, YAN W N, DENG Y C. Transition metal coordination polymers with flexible dicarboxylate ligand: Synthesis, characterization, and photoluminescence property[J]. Chinese J. Inorg. Chem., 2024, 40(11): 2221-2231

    6. [6]

      罗小玲, 邹品田, 王小燕, 刘峥, 孔翔飞, 唐群, 王胜. 基于2,5-二溴对苯二羧酸配体的镧系金属有机骨架的合成、结构及性质[J]. 无机化学学报, 2024, 40(6): 1143-1150LUO X L, ZOU P T, WANG X Y, LIU Z, KONG X F, TANG Q, WANG S. Synthesis, crystal structures, and properties of lanthanide metal-organic frameworks based on 2,5-dibromoterephthalic acid ligand[J]. Chinese J. Inorg. Chem., 2024, 40(6): 1143-1150

    7. [7]

      WANG Z H, LI Z Z, NG M, MILNER P J. Rapid mechanochemical synthesis of metal-organic frameworks using exogenous organic base[J]. Dalton Trans., 2020, 49: 16238-16244 doi: 10.1039/D0DT01240H

    8. [8]

      WAUTERAERTS N, TU M, CHANUT N, RODRÍGUEZ-HERMIDA S, GANDARA-LOE J, AMELOOT R. Vapor-assisted synthesis of the MOF-74 metal-organic framework family from zinc, cobalt, and magnesium oxides[J]. Dalton Trans., 2023, 52: 17873-17880 doi: 10.1039/D3DT01785K

    9. [9]

      HEISKA J, KARPPINEN M. Gas-phase deposition of di- and tetra-lithium salts of 2,5-dihydroxyterephthalic acid[J]. Dalton Trans., 2022,51: 4246-4251 doi: 10.1039/D2DT00055E

    10. [10]

      EDDAOUDI M, KIM J, ROSI N, VODKA D, WACHTER J, KEEFFE M, YAGHI O M. Systematic design of pore size and functionality in isoreticular MOFs and their application in methane storage[J]. Science, 2002, 295: 469-472 doi: 10.1126/science.1067208

    11. [11]

      ROSI N L, KIM J, EDDAOUDI M, CHEN B, KEEFFE M, Y AGHI O M. Rod packings and metal-organic frameworks constructed from rod-shaped secondary building units[J]. J. Am. Chem. Soc., 2005, 127: 1504-1518 doi: 10.1021/ja045123o

    12. [12]

      ROWSELL J L C, MILLWARD A R, PARK K S, YAGHI O M. Hydrogen sorption in functionalized metal-organic frameworks[J]. J. Am. Chem. Soc., 2004, 126: 5666-5667 doi: 10.1021/ja049408c

    13. [13]

      DIETZEL P D C, BLOM R, FJELLVÅG H. A scandium coordination polymer constructed from trimeric octahedral building blocks and 2,5-dihydroxyterephthalate[J]. Dalton Trans., 2006, 35: 2055-2057

    14. [14]

      DIETZEL P D C, PANELLA B, HIRSCHER M, BLOM R, FJELLVÅG H. Hydrogen adsorption in a nickel based coordination polymer with open metal sites in the cylindrical cavities of the desolvated framework[J]. Chem. Commun., 2006, 42: 959-961

    15. [15]

      GUO X G, YANG W B, WU X Y, ZHANG Q K, LU C Z. Construction of coordination polymers based on methylenebis(3, 5-dimethylpyrazole) and varied aromatic carboxylic acids[J]. CrystEngComm, 2013, 15: 10107-10115 doi: 10.1039/c3ce41575a

    16. [16]

      HAN L, QIN L, YAN X Z, XU L P, SUN J L, YU L, CHEN H B, ZOU X D. Two isomeric magnesium metal-organic frameworks with [24-MC-6] metallacrown cluster[J]. Cryst. Growth Des., 2013, 13: 1807-1811 doi: 10.1021/cg4000318

    17. [17]

      DUNCAN M J, WHEATLEY P S, COGHILL E M, VORNHOLT S M, WARRENDER S J, MORRIS R E. Antibacterial efficacy from NO-releasing MOF-polymer films[J]. Mater. Adv., 2020, 1: 2509-2519 doi: 10.1039/D0MA00650E

    18. [18]

      NONG W Q, WU J, GHILADI R A, GUAN Y G. The structural appeal of metal-organic frameworks in antimicrobial applications[J]. Coord. Chem. Rev., 2021, 442: 214007 doi: 10.1016/j.ccr.2021.214007

    19. [19]

      BUKONJIĆ A M, TOMOVIĆ D L, NIKOLIĆ M V, MIJAJLOVIĆ M Ž, JEVTIĆ V V, RATKOVIĆ Z R, NOVAKOVIĆ S B, BOGDANOVIĆ G A, RADOJEVIĆ I D, MAKSIMOVIĆ J Z, VASIĆ S M, ČOMIĆ L R, TRIFUNOVIĆ S R, RADIĆ G P. Antibacterial, antibiofilm and antioxidant screening of copper(Ⅱ)-complexes with some S-alkyl derivatives of thiosalicylic acid. Crystal structure of the binuclear copper(Ⅱ)-complex with S-propyl derivative of thiosalicylic acid[J]. J. Mol. Struct., 2017, 1128: 330-337 doi: 10.1016/j.molstruc.2016.08.086

    20. [20]

      NAYAK M, SINGH A K, PRAKASH P, KANT R, BHATTACHARYA S. Structural studies on thiosalicylate complexes of Zn(Ⅱ) & Hg(Ⅱ). First insight into Zn(Ⅱ)-thiosalicylate complex as potential antibacterial, antibiofilm and anti-tumour agent[J]. Inorg. Chim. Acta, 2020, 501: 119263 doi: 10.1016/j.ica.2019.119263

    21. [21]

      WU C Y, SHAN Y N, LUO J M, FAN X D, ZHENG R, GUO S H, CAI X J. Silver(Ⅰ) complexes containing bioactive salicylic acid derivatives: Synthesis, characterization, antibacterial activity, and their underlying mechanism[J]. J. Inorg. Biochem., 2025, 266: 112845 doi: 10.1016/j.jinorgbio.2025.112845

    22. [22]

      XIONG X T, YI X G, XIAO P L, PENG D Y, XIONG Z Q, NIE X L. Hydrothermal preparation, crystal structure, Hirshfeld surface analysis, photophysical properties and antifungal activity of a series of complexes assembled by 5-bromo-2-(carboxymethoxy) benzoic acid ligands[J]. J. Mol. Struct., 2024, 1312: 138593 doi: 10.1016/j.molstruc.2024.138593

    23. [23]

      熊欣婷, 熊志强, 肖攀蕾, 聂旭亮, 宋秀英, 易绣光. 两个含5-溴水杨酸钠(Ⅰ)/镉(Ⅱ)配合物的合成、晶体结构、Hirshfeld表面分析与抑菌活性[J]. 无机化学学报, 2024, 40(9): 1661-1670XIONG X T, XIONG Z Q, XIAO P L, NIE X L, SONG X Y, YI X G. Synthesis, crystal structures, Hirshfeld surface analysis and antifungal activity of two complexes Na(Ⅰ)/Cd(Ⅱ) assembled by 5-bromo-2-hydroxybenzoic acid ligands[J]. Chinese J. Inorg. Chem., 2024, 40(9): 1661-1670

    24. [24]

      黄翠欣, 顾家, 熊万明, 陈金珠, 聂旭亮, 上官新晨. 两个含对羧甲氧基肉桂酸锌(Ⅱ)/镉(Ⅱ)配合物的合成、晶体结构与抑菌活性[J]. 无机化学学报, 2021, 37(7): 1197-1203HUANG C X, GU J, XIONG W M, CHEN J Z, NIE X L, SHANGGUAN X C. Synthesis, crystal structures and antibacterial activities of two complexes of Zn(Ⅱ)/Cd(Ⅱ) assembled by 4-carboxymethoxycinnamic acid ligand[J]. Chinese J. Inorg. Chem., 2021, 37(7): 1197-1203

    25. [25]

      XIAO P L, GU J, PENG D Y, XIONG W M, NIE X L. Synthesis and crystal structures of two Cd(Ⅱ) coordination polymers assembled by 4-carboxymethoxy-3-phenylacrylic acid ligands[J]. J. Chem. Crystallogr., 2023, 53: 16-24 doi: 10.1007/s10870-022-00938-0

    26. [26]

      WANG A, WALDEN M, ETTLINGER R, KIESSLING F, GASSENSMITH J J, LAMMERS T, WUTTKE S, PEÑA Q. Biomedical metal-organic framework materials: Perspectives and challenges[J]. Adv. Funct. Mater., 2024, 34: 2308589 doi: 10.1002/adfm.202308589

    27. [27]

      KALHORIZADEH T, DAHRAZMA B, ZARGHAMI R, MIRZABABAEI S, KIRILLOV A M, ABAZARI R. Quick removal of metronidazole from aqueous solutions using metal-organic frameworks[J]. New J. Chem., 2022, 46: 9440-9450 doi: 10.1039/D1NJ06107K

    28. [28]

      ABAZARI R, SANATI S, MORSALI A, KIRILLOV A M. Instantaneous sonophotocatalytic degradation of tetracycline over NU-1000@ZnIn2S4 core-shell nanorods as a robust and eco-friendly catalyst[J]. Inorg. Chem., 2021, 60: 9660-9672 doi: 10.1021/acs.inorgchem.1c00951

    29. [29]

      ALAVIJEH R K, BEHESHTI S, AKHBARI K, MORSALI A. Investigation of reasons for metal-organic framework′s antibacterial activities[J]. Polyhedron, 2018, 156: 257-278 doi: 10.1016/j.poly.2018.09.028

    30. [30]

      WYSZOGRODZKA G, MARSZALEK B, GIL B, DOROŻYŃSKI P. Metal-organic frameworks: Mechanisms of antibacterial action and potential applications[J]. Drug Discov. Today, 2016, 21: 1009-1018 doi: 10.1016/j.drudis.2016.04.009

    31. [31]

      BRUKER. APEX2, SAINT and SADABS[CP]. Bruker AXS Inc. : Madison, WI, USA, 2005.

    32. [32]

      SHELDRICK G M. A short history of SHELX[J]. Acta Crystallogr. Sect. A, 2008, A64: 112-122

    33. [33]

      SHELDRICK G M. Crystal structure refinement with SHELXL[J]. Acta Crystallogr. Sect. C, 2015, C71: 3-8

    34. [34]

      CHEN G Q, ZHU L N, HE J X, ZHANG S, LI Y H, GUO X L, SUN D, TIAN Y E, LIU S M, HUANG X B, CHE Z P. Combinatorial synthesis of novel 1-sulfonyloxy/acyloxyeugenol derivatives as fungicidal agents[J]. Comb. Chem. High Throughput Screen, 2022, 25: 1545-1551 doi: 10.2174/1386207324666210813114829

    35. [35]

      姚晨虓, 刘畅, 李小杰, 白静科, 徐敏, 邱睿, 陈玉国, 康业斌, 李淑君. 烟草镰刀菌根腐病防治药剂的筛选[J]. 河南农业科学, 2022,51(4): 87-94YAO C Y, LIU C, LI X J, BAI J K, XU M, QIU R, CHEN Y G, KANG Y B, LI S J. The screening of the root rot prevention of tobacco sickle bacteria[J]. Journal of Henan Agricultural Sciences, 2022,51(4): 87-94

    36. [36]

      XIAO P L, SONG X Y, XIONG X T, PENG D Y, NIE X L. Synthesis, crystal structure, spectral characterization and antifungal activity of novel phenolic acid triazole derivatives[J]. Molecules, 2023, 28: 6970 doi: 10.3390/molecules28196970

    37. [37]

      YANG K Z, ZOU R, LIAO W M, YI X G, ZHANG J B. Preparation, structure, characterization and properties of a novel [Y(HIA)3(H2O)2]n·nYCl3 (HIA=isonicotinic acid)[J]. Acta Chim. Slov., 2023, 70: 310-317 doi: 10.17344/acsi.2023.8005

    38. [38]

      LEE C T, YANG W T, PARR R G. Development of the Colle-Salvetti correlation-energy formula into a functional of the electron density[J]. Phys. Rev. B, 1988, 37: 785-789 doi: 10.1103/PhysRevB.37.785

  • Figure 1  Asymmetric unit of complex 1 with 50% thermal ellipsoids

    Symmetry codes: -x+3/2, y-1/2, z; -x+3/2, y+1/2, z; -x+1, -y+1, -z+1; x-1/2, -y+1/2, -z+1.

    Figure 1  Coordination codes of the BCTA4- ligand in complexes 1-5

    Figure 2  Two-dimensional network of complex 1

    Some water molecules and hydrogen atoms in the structure have been deleted for clarity; Symmetry codes: -x+3/2, y-1/2, z; -x+3/2, y+1/2, z; -x+1, -y+1, -z+1; x-1/2, -y+1/2, -z+1; -x+1/2, y+1/2, z.

    Figure 3  Three-dimensional hydrogen bond network of complex 1

    Figure 4  Asymmetric unit of complex 2 with 50% thermal ellipsoids

    Some hydrogen atoms in the structure have been deleted for clarity; Symmetry code: -x+1, -y+1, -z+1.

    Figure 5  One-dimensional hydrogen bond chain of complex 2

    Figure 6  Three-dimensional hydrogen bond network of complex 2

    Figure 7  Asymmetric unit of complex 4 with 50% thermal ellipsoids

    Some hydrogen atoms in the structure have been deleted for clarity; Symmetry codes: x, -y+1/2, z-1/2; x, -y+3/2, z-1/2; x, -y+1/2, z+1/2; x, -y+3/2, z+1/2.

    Figure 8  Two-dimensional network of complex 4

    Symmetry codes: x, -y+1/2, z-1/2; x, -y+3/2, z-1/2; x, -y+1/2, z+1/2; x, -y+3/2, z+1/2.

    Figure 9  Three-dimensional hydrogen bond network of complex 4

    Figure 10  Asymmetric unit of complex 5 with 50% thermal ellipsoids

    Some hydrogen atoms in the structure have been deleted for clarity; Symmetry codes: x, y-1, z; x, y+1, z; -x, -y+1, -z+2; -x, -y+2, -z+2.

    Figure 11  One-dimensional banded structure of complex 5

    Symmetry codes: x, -y+1/2, z-1/2; x, -y+3/2, z-1/2; x, -y+1/2, z+1/2; x, -y+3/2, z+1/2.

    Figure 12  Three-dimensional hydrogen bond networks of complex 5

    Figure 13  Hirshfeld surface analysis of complex 1

    Figure 14  Two-dimensional fingerprint of complex 1

    Unit: nm

    Figure 15  Contribution percentages of various contacts of complexes 1-5 determined by Hirshfeld surface analysis

    Figure 16  TGA curves of complexes 1-5

    Figure 17  Antifungal activity of complex 5

    Table 1.  Crystal and structure refinement data of complexes 1-5

    Parameter 1 2 3 4 5
    Empirical formula C6H7CoO7 C18H19CoN2O9 C16H13CoN2O6 C32H29Cu2N4O13.5 C16H19CdN2O9
    Formula weight 250.05 466.28 388.21 812.67 495.74
    Temperature / K 293 293 296 298 293
    Crystal system Orthorhombic Monoclinic Monoclinic Monoclinic Triclinic
    Space group Pbca P21/c P21/c P21/c P1
    a / nm 1.108 26(4) 0.957 63(5) 0.948 32(15) 1.537 3(3) 0.871 76(3)
    b / nm 0.704 69(3) 2.633 15(12) 0.791 38(12) 1.545 7(3) 1.007 29(4)
    c / nm 1.992 35(7) 0.731 24(4) 2.070 8(3) 1.386 7(2) 1.143 09(4)
    α / (°) 111.843(3)
    β / (°) 93.311(4) 93.564(2) 108.017(2) 97.379(3)
    γ / (°) 100.075(3)
    V / nm3 1.555 98(10) 1.840 80(16) 1.551 1(4) 3.133 5(10) 0.896 53(6)
    Z 8 4 4 4 2
    Dc / (g·cm-3) 2.135 1.683 1.662 1.723 1.836
    μ(Mo ) / mm-1 2.22 0.99 1.14 1.44 1.273
    F(000) 1 008 960 792 1 660 498.0
    Crystal size / mm 0.21×0.18×0.15 0.23×0.15×0.12 0.18×0.14×0.12 0.20×0.14×0.12 0.19×0.16×0.04
    θ range for data collection / (°) 3.6-25.5 3.5-25.5 2.2-25.5 1.9-25.0 3.4-25.5
    Reflection collected 4 741 8 080 11 597 23 887 6 718
    Independent reflection 1 446 (Rint=0.025 8) 3 423 (Rint=0.024 8) 2 884 (Rint=0.037 4) 5 825 (Rint=0.039 0) 3 341 (Rint=0.019 7)
    Goodness-of-fit on F2 1.077 1.097 1.029 1.060 0.993
    Final R indices[I > 2σ(I)]* R1=0.025 2,
    wR2=0.055 6
    R1=0.050 4
    wR2=0.133 9
    R1=0.030 3,
    wR2=0.070 3
    R1=0.036 7,
    wR2=0.095 0
    R1=0.027 7,
    wR2=0.055 4
    R indices (all data) R1=0.029 0,
    wR2=0.057 6
    R1=0.059 5,
    wR2=0.140 3
    R1=0.042 9,
    wR2=0.076 4
    R1=0.060 0,
    wR2=0.113 2
    R1=0.030 6,
    wR2=0.057 1
    *R1=∑||Fo|-|Fc||/∑|Fo|; b wR2=[∑w(Fo2-Fc2)2/∑w(Fo2)2]1/2.
    下载: 导出CSV

    Table 2.  Inhibition rates against fungi of complexes 1-5 and metal ions*

    Compound Inhibition rate / %
    R. S. P. P. F. V. F. N. S. S. C. C. C. F. B. M.
    DMSO 7.41 2.75 0.00 5.71 0.00 3.03 0.00 0.96
    H4BTBA 23.77 8.61 6.88 5.63 12.20 0.00 0.53 0.00
    Co2+ 10.51 0.00 0.00 0.00 27.17 0.00 0.00 68.77
    Cu2+ 32.13 15.82 1.09 3.76 11.75 3.52 7.93 25.04
    Cd2+ 100.00 74.01 92.57 97.85 98.41 58.65 80.31 31.29
    1 50.00 19.19 3.30 0.00 26.46 6.02 0.00 82.61
    2 1.04 9.06 0.94 1.07 30.66 0.00 1.99 55.97
    3 72.52 14.38 6.54 0.00 31.74 3.01 0.00 23.37
    4 14.98 18.71 2.22 0.00 8.99 13.25 3.61 1.08
    5 100.00 100.00 100.00 100.00 100.00 100.00 100.00 84.82
    *R. S.: Rhizoctonia solani AG1, P. P.: Phytophthora parasitica var.nicotianae, F. V.: Fusarium verticllioides, F. N.: Fusarium oxysporum f.sp.niveum; S. S.: Sphaeropsis sapinea, C. C.: Colletotrichum capsici, C. F.: Colletotrichum fructicola, B. M.: Bipolaris maydis; Data are given as the mean of triplicate experiments.
    下载: 导出CSV
  • 加载中
计量
  • PDF下载量:  2
  • 文章访问数:  1668
  • HTML全文浏览量:  424
文章相关
  • 发布日期:  2025-11-10
  • 收稿日期:  2025-05-01
  • 修回日期:  2025-09-29
通讯作者: 陈斌, bchen63@163.com
  • 1. 

    沈阳化工大学材料科学与工程学院 沈阳 110142

  1. 本站搜索
  2. 百度学术搜索
  3. 万方数据库搜索
  4. CNKI搜索

/

返回文章