醋酸钠调控米托蒽醌自组装无载体纳米药物的制备及其用于诱导人乳腺癌细胞凋亡

李林 李佳雪 杨美霞 丁嘉玉 荆佳祺 张瑞平

引用本文: 李林, 李佳雪, 杨美霞, 丁嘉玉, 荆佳祺, 张瑞平. 醋酸钠调控米托蒽醌自组装无载体纳米药物的制备及其用于诱导人乳腺癌细胞凋亡[J]. 无机化学学报, 2025, 41(12): 2536-2548. doi: 10.11862/CJIC.20250138 shu
Citation:  Lin LI, Jiaxue LI, Meixia YANG, Jiayu DING, Jiaqi JING, Ruiping ZHANG. Preparation of mitoxantrone self-assembled carrier-free nanodrugs regulated by sodium acetate for apoptosis induction of human breast carcinoma cells[J]. Chinese Journal of Inorganic Chemistry, 2025, 41(12): 2536-2548. doi: 10.11862/CJIC.20250138 shu

醋酸钠调控米托蒽醌自组装无载体纳米药物的制备及其用于诱导人乳腺癌细胞凋亡

    通讯作者: 李林, E⁃mail:lilin@tynu.edu.cn; 张瑞平, E⁃mail:zrp_7142@sxmu.edu.cn
  • 基金项目:

    山西省基础研究计划项目 202203021221216

    山西省基础研究计划项目 202203021212190

    太原师范学院大学生创新创业训练项目 CXCY25024

    山西省科技创新平台研究基金 410220367

摘要: 基于氢键驱动自组装作用,以米托蒽醌(MIT)和阿霉素(DOX)为抗肿瘤药物模型,通过醋酸钠(NaAc)调控,借助纳米共沉淀法得到了无载体高负载纳米药物(MIT-DOX/NaAc,MIDA)。该MIDA中的MIT和DOX负载率均高达95%,且具有良好的稳定性和pH响应药物释放特性。细胞毒性和划痕迁移抑制实验表明,MIDA可借助高通透性滞留效应(EPR)靶向到肿瘤组织,进而抑制人乳腺癌细胞(MCF-7)的迁移增殖,且药效高于DOX、MIT和DOX/NaAc。利用流式细胞术和荧光显微镜探究了细胞摄取行为和凋亡情况。结果表明,MCF-7摄取MIDA具有时间依赖性,通过小窝蛋白和网格蛋白介导的共同作用机制,经内吞作用进入肿瘤细胞质。随后,MIT和DOX解离进入细胞核,诱导MCF-7发生晚期凋亡。

English

  • 乳腺癌作为全球女性流行恶性肿瘤,具有发病年轻化、易转移和预后差等特点,严重影响了患者的生活质量[1]。全球癌症统计报告显示,2022年全球乳腺癌新发人数约230.9万,死亡人数约66.6万,这一严峻形式给各国带来了沉重的经济负担,因此乳腺癌防治工作依然任重道远[2-3]。化疗是临床治疗乳腺癌的主要方式,但所使用的药物存在肿瘤靶向性弱、毒副作用严重、多药耐药频发等问题,使治疗效率大打折扣[4-6]。因此,高效低毒治疗乳腺癌是临床医学的迫切目标。

    纳米技术为发展低毒副、高功效肿瘤治疗提供了新途径[7]。基于提高药物生物利用度的纳米药物输送体系(NDDS)便是近年来逐渐发展起来的新型递药方式,在肿瘤治疗中具有重要价值和发展前景[8]。NDDS通过功能化修饰生物相容性高、尺寸小和表面基团丰富的纳米载体,进而负载药物进入体内,利用肿瘤细胞与正常细胞差异,实现药物定点释放和低毒高效治疗[9]。然而其在现实应用中仍面临诸多难题,比如制备过程复杂、纳米载体毒性大(线粒体损伤、心血管效应、血小板聚集、氧化应激和炎症反应)、生物降解问题和药物负载量低等。因此,简便合成药物负载量高且低毒高效的NDDS还有待继续研究。

    为了减少纳米载体使用量,进而避免其诱发的机体毒性,部分药物研究者提出了无载体纳米药物(CDDS)的设计思路,并据此制备了相应的纳米药物[10]。例如:Liu等使用碲原子或硒原子取代三硫键中间的硫原子,构建了氧化还原双响应硫-碲-硫和硫-硒-硫桥连的同型二聚体前药,解决了肿瘤组织中存在的氧化还原异质性问题[11]。Xie等将疏水性的分化诱导剂(全反式维甲酸,A-TRA)和亲水性的抗癌药物(伊立替康,IRI)自组装成两亲性纳米前药,并包裹光热剂IR825,用于光热-分化-化疗联合治疗乳腺癌干细胞[12]。Wang等开发了一种基于甲强龙双药和芦丁共组装方法所制备的纳米粒子用于治疗脊髓损伤[13]。Yu等运用药物合成技术将天然药物香芹酚中的羟基结构与青蒿琥酯中的羧基结构进行连接,设计成自组装体前药。随后,通过磷脂-聚合物偶联物DSPE-PEG2K进行修饰,获得了香芹酚-青蒿琥酯纳米组装体。该纳米组装体实现了精准靶向肝脏,并通过抑制铁死亡与重塑肝脏免疫稳态的作用机制来缓解肝脏的相关病症[14]。Xu等揭示了小檗碱(BBR)和厚朴酚(MAG)可以在水溶液中自组装成稳定的纳米级结构,该自组装纳米药物可有效促进BBR在结肠中的口服生物利用度和生物分布[15]。Tian等利用自组装技术将雷公藤红素和毛兰素制备成稳定均匀的纳米药物CEN。研究发现,CEN表现出良好的肿瘤靶向性和高通透性滞留效应(EPR)。基于这些特性,CEN可延长在体内的作用时间,进而提高治疗效果,并降低全身毒性[16]。CDDS不用依靠纳米载体,前药和纯药(单药或多药)在氢键、π-π堆积、疏水相互作用、静电相互作用、范德瓦耳斯力等非共价相互作用驱动下自组装形成纳米晶体,从而实现细胞内药物自发递送[17-19]。基于CDDS具有制备策略简便易行、载药量(接近100%)远高于纳米载体(< 10%),以及能够借助EPR将药物靶向输送到肿瘤组织等优势[20-21],开展新型CDDS纳米药物的研发工作,对于提升肿瘤治疗效率并降低纳米载体所带来的毒副性具有重要的意义。

    米托蒽醌(MIT)作为蒽醌类抗肿瘤药物,可通过结合RNA抑制核酸形成,从而导致细胞死亡;也可以和各期细胞DNA相结合,充分发挥抗肿瘤作用[22]。阿霉素(DOX)是一种常用的蒽环类抗肿瘤药物,也可通过阻止DNA和RNA的合成,抑制肿瘤生长[23]。MIT和DOX常被用作临床上治疗乳腺癌的一类药物,但其非特异性分布引发的高毒副性限制了其临床应用。将2种药物通过物理作用力或化学键偶联形成纳米药物,可改变药物理化性质和体内分布性,并通过EPR靶向到肿瘤组织,进而提高药物生物利用度[24-25]。例如,Zhang等将MIT和DSPE-PEG2K分别作为药物模块和表面功能化模块,开发了MIT前药纳米组装体,并发现其具有较好的肿瘤特异性和药代动力学[26]。Li等将DOX和焦脱镁叶绿酸-a(Ppa)自组装为纳米前药,并探究其光动力协同化疗抗肿瘤功效[27]。虽然上述无载体纳米药物在降低纳米载体毒性方面己取得显著进展,但在制备方法和合成过程中仍存在一些问题。例如,这些过程通常会使用大量有机溶剂,且需要高温反应条件。以乳化法、沉淀法和超临界流体法等制备方法为例,它们对药物的溶解性有一定要求,仅适用于脂溶性和水溶性不佳的药物。同时,部分纳米药物晶体技术主要聚焦于难溶性药物的溶出度和溶解度,较少涉及药物在体内的缓释、控释和靶向等行为。为此,若要使设计的纳米药物成功应用于临床,纳米药物不仅应由被普遍认可的安全物质构成,而且其制备程序最好采用简单、绿色的步骤。然而,目前尚未有关于不使用任何有机溶剂来调控MIT和DOX结合的自组装纳米药物的相关报道。

    基于MIT和DOX的结构特点,我们不使用任何有机溶剂,仅采用由醋酸钠(NaAc)调控的简单且绿色的室温制备方法,通过氢键结合的自组装反应,促进了稳定纳米药物MIT-DOX/NaAc(MIDA)的生成。NaAc作为媒介,不仅使药物负载率提高到95%,而且降低了药物在正常组织中的释放率(< 7%),显著提高了药物生物半衰期以及利用度。相比于化学键偶联反应,该制备方法更节能,且绿色无害。细胞摄取实验结果表明,人乳腺癌细胞(MCF-7)对MIDA的摄取量与时间呈正相关性。当MIDA与MCF-7细胞共培养3 h后,可观察到明亮的红色荧光位于细胞核内,表明MIT和DOX在酸性肿瘤环境中可得到有效释放,从而发挥较好的抗肿瘤功效(图 1)。这为自组装纳米药物应用于肿瘤治疗领域开拓了新视角。

    图 1

    图 1.  MIDA用于肿瘤化疗的示意图
    Figure 1.  Illustration of MIDA for tumor chemotherapy

    MIT、蔗糖(sucrose)、4,6-联脒-2-苯基吲哚(DAPI)与CCK-8试剂均购自北京索莱宝科技有限公司;DOX、盐酸氯丙嗪(CHL)、2-羟丙基-β-环糊精(M-β-CD)、金雀花碱(CYT)与阿米洛利盐酸盐水合物(AMI)均购自上海阿拉丁生化科技有限公司;Annexin V Binding Buffer(10x)与Annexin V-APC/7-AAD染色液均购自武汉伊莱瑞特生物科技股份有限公司;MCF-7购自武汉博士德生物工程有限公司。

    纳米药物MIDA的制备在红外线加热电磁搅拌器(Wiggens WH220-R型)上完成;粒径和电位测试在纳米粒度及电位分析仪(Malvern Zetasizer Nano ZS-90型)上完成;紫外可见(UV-Vis)吸收光谱数据使用紫外可见分光光度计(Hitachi U-3900型)获得;荧光光谱数据使用荧光分光光度计(Hitachi F-7000型)获得;红外光谱测试在傅里叶红外光谱仪(FTIR,Thermo Fisher Nicole iS5型)上完成;形貌观察使用透射电子显微镜(TEM,FEI Tecnai F30型),加速电压为200 kV;细胞毒性测试采用酶标仪(Tecan SUNRISE型)进行测定;细胞凋亡、摄取动力学和机制采用流式细胞仪(BD FACSCelesta 3型)进行分析测定;细胞内成像定位利用荧光显微镜(Leica DMi8型)进行观察。

    移取1.0 mL NaAc溶液(1.0 mol·L-1)于棕色反应瓶中,并逐滴加入0.1 mL DOX溶液(1.0 mg·mL-1),混合均匀,于25 ℃搅拌反应6 h后,再滴加0.1 mL MIT溶液(1.0 mg·mL-1),并继续于25 ℃搅拌反应12 h。待反应结束,离心洗涤(15 000 r·min-1,10 min)直至上清液几乎无色,制备得到MIDA,并置于4 ℃冰箱中保存备用。借助标准曲线计算MIT和DOX的负载量。为了得到具有最优特性的MIDA,通过控制变量法对MIT与DOX的最佳配比、反应方式及时间进行探索和优化。同时按照相同方式,在不添加MIT的条件下制备纳米药物DA。

    将MCF-7以每孔5.0×103个接种于96孔板中,培养24 h。以最佳条件下制备得到的DA和MIDA为研究对象,设置系列梯度质量浓度的MIDA和DA,并分别与MCF-7共培养24和48 h后,观察拍照MCF-7形态。随后,采用CCK-8法测定相应的吸光度值,并依据标准曲线计算得出MCF-7活力。在该实验体系中,以游离DOX和MIT为阳性对照,未做任何处理的MCF-7为阴性对照。

    将MCF-7以每孔2.0×106个接种于6孔板中,培养24 h。利用10 µL移液枪头在六孔板底部划“十”字划痕制造细胞划痕模型,以最佳条件下制备得到的DA和MIDA为研究对象,分别用含有MIDA(1.56 μg·mL-1)和DA(3.0 μg·mL-1)的新鲜培养液对MCF-7继续培养7和24 h后,拍照观察,利用软件计算细胞划痕愈合率和迁移抑制率。

    将MCF-7以每孔2.0×105个接种于6孔板中过夜。以最佳条件下制备得到的DA和MIDA为研究对象,分别用含有MIDA(1.56 μg·mL-1)和DA(3.0 μg·mL-1)的新鲜培养液对MCF-7继续培养24 h后,利用不含EDTA的胰酶对细胞进行消化处理,接着离心收集MCF-7并用缓冲液重悬MCF-7,然后加入2.5 μL Annexin V-APC和7-AAD在4 ℃下避光反应20 min。待染色结束,加入400 μL缓冲液重悬吹打MCF-7,最后使用流式细胞仪检测MCF-7凋亡情况。

    将MCF-7以每孔2.0×106个接种于6孔板,并置于细胞培养箱(37 ℃,5% CO2)中培养,待MCF-7贴壁后,分别用含有最佳条件下制备得到的MIDA(1.56 μg·mL-1)对MCF-7培养1、3、9、12、24 h后,消化离心收集MCF-7,并用冷磷酸盐缓冲液(PBS,pH=7.4)重悬。采用相同步骤,分别以CYT(0.45 mol·L-1)、M-β-CD(0.01 mol·L-1)、CHL(10.0 μg·mL-1)、AMI(1.0 μg·mL-1)、Sucrose(50.0 μmol·L-1)抑制剂对MCF-7预处理30 min,随后用含有MIDA(1.56 μg·mL-1)的新鲜培养液对MCF-7继续培养3 h后,用流式细胞仪测定其荧光强度。在该实验体系中,以未作任何抑制剂处理的于37 ℃ MIDA培养3 h的MCF-7作为对照。

    将MCF-7以每孔1.0×104个接种于35 mm培养皿,并置于细胞培养箱(37 ℃,5% CO2)中培养,待MCF-7贴壁后,分别用最佳条件下制备得到的MIDA(1.56 μg·mL-1)新鲜培养液对MCF-7继续培养1、3、6、24 h后,利用DAPI试剂对细胞核染色,最后通过倒置荧光显微镜观察在暗场(DF)和明场(BF)视野下细胞摄取药物的情况,并拍照记录。

    为设计和开发出高负载、低毒副、疗效强且符合环境友好的绿色低成本纳米药物体系,以NaAc(1.0 mol·L-1)作为反应介质,将MIT与DOX混合,通过氢键结合自组装作用[28]制备得到无载体高负载纳米药物MIDA。MIT的解离常数的负对数(pKa)为6.7,DOX的pKa为8.3,NaAc反应介质的pH为9.6[29],MIT和DOX中的—NH2与—OH不会质子化,可通过氢键相结合。此外,MIT和DOX中芳香环还可通过π-π作用结合,从而自组装为纳米药物(图 2)。

    图 2

    图 2.  MIDA的制备路线
    Figure 2.  Preparation route of MIDA

    DOX和MIT负载量通过UV-Vis吸收光谱法测定并作相应标准曲线进行计算(图 3)。为了得到具有最高药物负载量的MIDA和DA,对MIT与DOX混合比例、时间和方式进行了详细探究(图 4和S1,Supporting information)。由图 4A和图S1可知,当MIT与DOX以1∶1的质量比参与反应时,MIDA中MIT和DOX负载率最高,均达到95%。由图 4B和4C可观察到反应18 h且通过两步反应方式时,药物负载量为最大。通过粒径(图 4D)和电位测试(图 4E)进一步证实,当MIT和DOX以1∶1的质量比参与反应时,得到的MIDA为符合EPR尺寸的最优性能纳米药物。为了验证NaAc介质对调控MIT和DOX自组装形成MIDA的重要作用,采用pH为9.6的磷酸缓冲液(PB)介质代替NaAc介质研究了DOX和MIT的负载影响。如图S2和图 4F所示,NaAc介质中DOX和MIT的负载率均高达95%,而PB介质中DOX和MIT的负载率仅为25%。该结果表明,MIDA的高负载量特性不是介质碱度起主要调控作用。NaAc作为一种强碱弱酸盐,在水中可发生水解反应,生成醋酸和氢氧化钠。DOX与MIT分子富含胺基、羰基和羟基等官能团,醋酸分子中所含的羰基氧原子和羟基氢原子,能够与DOX和MIT分子中的胺基、羰基和羟基形成氢键,从而导致MIDA的高载药量。

    图 3

    图 3.  不同质量浓度的DOX在NaAc介质中的(A) UV-Vis吸收光谱和(B) 标准曲线; 不同质量浓度的MIT在NaAc介质中的(C) UV-Vis吸收光谱和(D) 标准曲线
    Figure 3.  (A) UV-Vis absorption spectra and (B) standard curve of DOX with different mass concentrations in NaAc medium; (C) UV-Vis absorption spectra and (D) standard curve of MIT with different mass concentrations in NaAc medium

    图 4

    图 4.  (A) MIT和DOX的质量比、(B) 反应时间及(C) 反应方式对MIDA药物负载量的影响; 不同质量比的MIT和DOX合成MIDA的(D) 水合粒径分布曲线和(E) ζ电位; (F) NaAc与PB对药物负载量的影响
    Figure 4.  Effect of (A) mass ratio of MIT and DOX, (B) reaction time, and (C) reaction mode on drug loading amount of MIDA; (D) Hydrated size distribution curve and (E) ζ potential of MIDA synthesized by different mass ratios of MIT and DOX; (F) Effect of NaAc and PB on drug loading content

    为了证实在NaAc介质中,DOX与MIT能成功结合为MIDA,我们以最佳条件下制备得到的DA和MIDA为研究对象,首先测试了MIDA的UV-Vis吸收光谱(图 5A)。结果显示,MIDA中出现了DOX和MIT特征峰,证明了二者的成功结合。值得注意的是,MIT和DOX的特征峰发生了轻微红移且峰型变宽(图 5A),这可能是MIT和DOX中苯环的π-π堆积导致的[29]。荧光光谱(图 5B)显示,游离DOX有较强荧光,但当DOX与MIT相结合形成MIDA后,DOX荧光猝灭,证明MIDA的成功制备。图 5A插图显示,日光灯下DOX为橘红色,MIT为蓝色,而MIDA呈紫色;图 5B插图显示,紫外灯下DOX发橙红色荧光,而MIDA没有荧光。这进一步表明MIDA的成功制备。FTIR谱图(图 5C)显示,与DOX和MIT相比,MIDA在3 550~3 200 cm-1处的特征峰变宽,且向低波数位移,表明分子间由氢键缔合,说明MIDA的成功制备。TEM(图 5D)表征结果显示,MIDA呈球形颗粒分布,与DA形貌不相同(图S3)。纳米药物的粒径大小和表面电荷会对其血液循环、组织分布和清除过程产生影响,进而影响疗效[30]。因此,我们通过马尔文粒度仪对纳米药物的粒径和ζ电位进行了测试。图 5E显示,将MIT与DA连接后,MIDA粒径由181.5 nm增大到265.5 nm,电位也由-23.8 mV变化为-29.8 mV(图 5F),这表明MIT与DOX结合生成了MIDA。

    图 5

    图 5.  DOX、MIT和MIDA的(A) UV-Vis吸收光谱、(B) 荧光光谱和(C) FTIR谱图; (D) MIDA的TEM图像; MIDA和DA的(E) 粒径图和(F) ζ电位图
    Figure 5.  (A) UV-Vis absorption spectra, (B) fluorescence spectra, and (C) FTIR spectra of DOX, MIT, and MIDA; (D) TEM image of MIDA; (E) Particle sizes and (F) ζ potentials of MIDA and DA

    Inset in panel A: photographs of DOX, MIT, and MIDA under daylight; Inset in panel B: photographs of DOX, MIT, and MIDA under UV 365 nm irradiation.

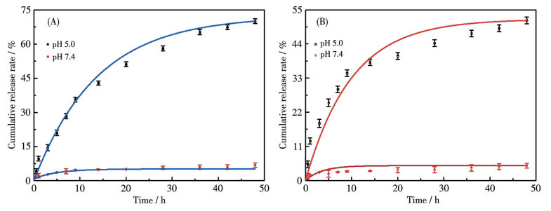
    成功的纳米药物需具备在肿瘤部位定点可持续释放的特性,若药物过早释放,将会使人体正常组织受损,代谢功能减弱[29]。为了评估MIDA作为抗肿瘤药物的潜力,对其分散性和药物释放特性进行了研究。图S4显示MIDA在培养液和PBS(pH=7.4)介质中分散性良好,经过24 h才完全沉降。图 6显示模拟药物在体内释放累计48 h后,MIDA在pH=7.4(模拟正常组织)时MIT和DOX的药物释放率均不超过7%,而在pH=5.0的酸性环境中,MIT和DOX的释放率分别达70%和50%,均远高于正常生理环境。这是由于在肿瘤酸性环境中,氢键被破坏发生断裂,从而使MIT和DOX高效释放[24]。上述结果表明,MIDA具有良好的稳定性,可降低对正常组织的毒副作用。

    图 6

    图 6.  MIDA中(A) MIT和(B) DOX体外释药模拟测试
    Figure 6.  In vitro drug release simulation test of (A) MIT and (B) DOX in MIDA

    为评价MIDA对MCF-7增殖生长的影响,首先由不同浓度的MIDA对MCF-7进行培养处理,并设置不同的培养时间梯度,随后对经过不同处理的MCF-7的细胞形态特征进行观察并拍照记录。如图S5A~S5C所示,经不同浓度MIDA培养处理的MCF-7在形态上表现出变圆、皱缩、轮廓模糊、碎片增多的现象,并且部分细胞呈现脱落现象。进一步分析发现,这些形态变化具有浓度和时间依赖性,这表明MIDA可抑制MCF-7的增殖和生长。值得注意的是,游离MIT和DOX诱导MCF-7凋亡的形态与MIDA不相同,这暗示MIDA与MIT和DOX引起细胞的死亡机制不尽相同。为了定量检测MIDA对MCF-7的增殖生长,采用CCK-8法对MCF-7活力进行定量分析。如图 7所示,随着质量浓度增大和时间延长,MIDA、DA、MIT和DOX对MCF-7杀伤力逐渐增强,且杀伤力从强到弱的顺序依次为MIDA > DA > MIT > DOX,进一步表明MIDA抗肿瘤性能的优越性。

    图 7

    图 7.  MIDA、DA、MIT和DOX与MCF-7作用(A) 24 h和(B) 48 h后的CCK-8毒性测试
    Figure 7.  Effect of MIDA, DA, MIT, and DOX on MCF-7 cytotoxicity for (A) 24 h and (B) 48 h measured by CCK-8 assay

    通过划痕实验检测了MIDA对MCF-7迁移的抑制行为。如图 8所示,与对照组划痕宽度明显变窄相比,MIDA、DA、MIT和DOX处理组随时间延长细胞划痕宽度变化较小(图 8A)。其中,MIDA对细胞迁移的抑制率最高,达到了86.26%,MCF-7的迁移能力降低得更为显著(图 8B)。这一结果充分表明,MIDA能够有效抑制细胞的迁移生长,且与CCK-8的检测结果一致。

    图 8

    图 8.  MIDA、DA、MIT+DOX、游离MIT和DOX与MCF-7细胞对(A) 细胞划痕迁移宽度形态和(B) 细胞迁移抑制率的影响
    Figure 8.  Effect of MIDA, DA, MIT+DOX, free MIT, and DOX on (A) the morphology of the migration width of cell scratches and (B) cell migration-inhibiting rate

    为了探究MIDA对MCF-7凋亡的影响,利用Annexin V-APC与7-AAD对细胞双染后,借助流式细胞仪测定其凋亡率。如图 9A所示,MIDA组凋亡率为39.37%,DA组为18.55%,游离MIT组为18.72%,且主要诱导细胞晚期凋亡。与对照组相比,细胞存活率最低的是MIDA组(图 9B),由细胞凋亡率可得MIDA的药效强于MIT(图 9C)。这表明MIDA可以诱导MCF-7凋亡。

    图 9

    图 9.  MIDA、DA、游离MIT和DOX诱导MCF-7凋亡: (A) 流式细胞仪检测结果; (B) 细胞存活定量分析; (C) 细胞凋亡定量分析
    Figure 9.  Apoptosis of MCF-7 induced by MIDA, DA, free MIT, and DOX: (A) flow cytometry diagrams; (B) quantitative analysis of cell survival; (C) quantitative analysis of apoptosis

    为了探究MIDA的细胞摄取行为,首先测试了MCF-7与MIDA在共培养不同时间后的荧光强度变化(图 10A)。结果发现MCF-7荧光强度与培养时间呈正相关,表明细胞摄取MIDA具有时间依赖性,且在9 h后细胞摄取量达到饱和(图 10B)。随后用不同抑制剂培养处理MCF-7来探究其摄取机理(图 10C10D)。结果显示,小窝蛋白破坏剂CYT和M-β-CD组细胞摄取MIDA量骤然下降,抑制率达到约80%。此外,网格蛋白破坏剂Sucrose和CHL组细胞摄取MIDA量也下降(抑制率为25%),但大胞饮抑制剂AMI预处理细胞后,细胞摄取量几乎没改变。综上可知,MCF-7摄取MIDA与时间呈正相关关系。进一步研究表明,MCF-7通过网格蛋白和小窝蛋白共同介导的内吞作用将MIDA摄取进入细胞内。

    图 10

    图 10.  在不同培养时间下,MCF-7摄取MIDA的动力学流式细胞测试图(A)和曲线图(B); 不同抑制剂培养处理的MCF-7摄取MIDA的机制流式细胞测试图(C)和柱状图(D)
    Figure 10.  Flow cytometry assay diagrams (A) and curves (B) of MIDA uptake kinetics in MCF-7 cells at different incubation times; Flow cytometry assay diagrams (C) and histograms (D) of MIDA uptake mechanism in MCF-7 cells cultured with different inhibitors

    为了检测MIDA在MCF-7内的摄取分布情况,通过荧光显微镜对MIDA摄取分布进行了观察。如图 11所示,MCF-7与DOX共培养1 h后,细胞核呈现出明亮的红色荧光。而MIDA培养1 h后,细胞中的荧光较弱,但随着时间延长,红色荧光逐渐增强,培养12 h后,细胞内MIDA趋于饱和且主要位于细胞核中,DA则需要24 h才可以进入细胞核。结果表明MIDA可以进入细胞进行药物输送,随后药物解离进入细胞核,从而杀死肿瘤细胞。

    图 11

    图 11.  MIDA、DA和DOX在MCF-7细胞内的摄取和分布
    Figure 11.  Cellular uptake and distribution images of MIDA, DA and DOX in MCF-7 cells

    基于DOX与MIT在NaAc(1.0 mol·L-1)介质中的氢键结合驱动自组装作用,采用绿色简单的方法制备了药物负载率高达95%的高负载纳米药物MIDA。与DOX和MIT相比,MIDA展现出了良好的生理稳定性(正常组织中药物释放率低至7%)和pH可控释放药物的高细胞毒性,可有效提高DOX和MIT的血液循环时间。摄取动力学实验探究发现,MCF-7摄取MIDA与时间呈正相关。摄取机制实验发现,MCF-7摄取MIDA首先通过网格蛋白和小窝蛋白共同介导内吞,随后在肿瘤细胞酸性环境刺激下氢键断裂,最后DOX和MIT发挥药效,诱导MCF-7凋亡。综上所述,我们介绍了一种简单高效和灵敏便捷的无载体自组装纳米药物的制备策略,为低毒高效纳米药物在生物医学中的应用提供了新的设计思路和理论支持。


    Supporting information is available at http://www.wjhxxb.cn
    1. [1]

      SIEGEL R L, GIAQUINTO A N, JEMAL A. Cancer statistics, 2024[J]. CA-Cancer J. Clin., 2024, 74(1):  12-49. doi: 10.3322/caac.21820

    2. [2]

      邬昊, 吕青. 全球及中国乳腺癌的流行病学趋势及防控启示: 2018-2022年《全球癌症统计报告》解读[J]. 中国普外基础与临床杂志, 2024,31,(7): 796-802. WU H, LÜ Q. Epidemiological trends and implications of breast cancer prevention and control in China and the world: An interpretation of the Global Cancer Statistics Report 2018-2022[J]. Chinese J. Bases Clin. Gen. Surg., 2024, 31(7):  796-802.

    3. [3]

      HAN B F, ZHENG R S, ZENG H M, WANG S M, SUN K X, CHEN R, LI L, WEI W Q, HE J. Cancer incidence and mortality in China, 2022[J]. J. Natl. Cancer Cent., 2024, 4(1):  47-53.

    4. [4]

      LU Z H, CHEN Y, LIU D, JIAO X, LIU C, WANG Y K, ZHANG Z Z, JIA K, GONG J F, YANG Z M, SHEN L. The landscape of cancer research and cancer care in China[J]. Nat. Med., 2023, 29:  3022-3032. doi: 10.1038/s41591-023-02655-3

    5. [5]

      李林, 许鑫汝, 李英奇, 张彩凤. 靶向纳米钻石-甲氨蝶呤药物体系制备及与MCF-7细胞作用[J]. 高等学校化学学报, 2019,40,(9): 1998-2004. LI L, XU X R, LI Y Q, ZHANG C F. Preparation of targeting nanodiamond-metaminopterone drug system and its interaction with MCF-7 cells[J]. Chem. J. Chinese Universities, 2019, 40(9):  1998-2004.

    6. [6]

      YAO H Z, WANG Z G, WANG N, DENG Z Q, LIU G Y, ZHOU J H, CHEN S, SHI J H, ZHU G Y. Enhancing circulation and tumor accumulation of carboplatin via an erythrocyte-anchored prodrug strategy[J]. Angew. Chem. ‒Int. Edit., 2022, 61(25):  e202203838. doi: 10.1002/anie.202203838

    7. [7]

      WINTER J O. One step closer to cancer nanomedicine[J]. Science, 2022, 377(6604):  371-372. doi: 10.1126/science.add3666

    8. [8]

      BHATIA S N, CHEN X Y, DOBROVOLSKAIA M A, LAMMERS T. Cancer nanomedicine[J]. Nat. Rev. Cancer, 2022, 22:  550-556. doi: 10.1038/s41568-022-00496-9

    9. [9]

      CAI S S, LI T Y, AKINADE T, ZHU Y F, LEONG K W. Drug delivery carriers with therapeutic functions[J]. Adv. Drug Delivery Rev., 2021, 176:  113884. doi: 10.1016/j.addr.2021.113884

    10. [10]

      MEI H, CAI S S, HUANG D, GAO H L, CAO J, HE B. Carrier-free nanodrugs with efficient drug delivery and release for cancer therapy: From intrinsic physicochemical properties to external modification[J]. Bioact. Mater., 2022, 8:  220-240.

    11. [11]

      LIU T, LI L X, WANG S, DONG F D, ZUO S Y, SONG J X, WANG X, LU Q, WANG H L, ZHANG H T, CHENG M S, LIU X H, HE Z G, SUN B J, SUN J. Hybrid chalcogen bonds in prodrug nanoassemblies provides dual redox-responsivity in the tumor microenvironment[J]. Nat Commun., 2022, 13:  7228. doi: 10.1038/s41467-022-35033-7

    12. [12]

      XIE X, JIANG K L, LI B W, HOU S L, TANG H L, SHAO B H, PING Y, ZHANG Q Q. A small-molecule self-assembled nanodrug for combination therapy of photothermal-differentiation-chemotherapy of breast cancer stem cells[J]. Biomaterials, 2022, 286:  121598. doi: 10.1016/j.biomaterials.2022.121598

    13. [13]

      WANG H, LIN F, WU Y, GUO W, CHEN X S, XIAO C S, CHEN M W. Carrier-free nanodrug based on co-assembly of methylprednisolone dimer and rutin for combined treatment of spinal cord injury[J]. ACS Nano, 2023, 17(13):  12176-12187. doi: 10.1021/acsnano.3c00360

    14. [14]

      YU M Y, YU J J, ZHOU Y J, LIANG Z, TANG H, LI C B, QUE Q Y, WANG H X, XIE H Y, XU X. A self-assembled nanomicelle-based "one stone for two birds" strategy for precision therapy of hepatic ischemia-reperfusion injury[J]. Nano Res., 2025, 18(2):  94907185. doi: 10.26599/NR.2025.94907185

    15. [15]

      XU Y D, CHEN Z J, HAO W, YANG Z M, FARAG M, VONG C T, WANG Y T, WANG S P. Berberine and magnolol exert cooperative effects on ulcerative colitis in mice by self-assembling into carrier-free nanostructures[J]. J Nanobiotechnol., 2024, 22:  538. doi: 10.1186/s12951-024-02804-x

    16. [16]

      TIAN J H, CHEN K, ZHANG Q, QIU C, TONG H B, HUANG J N, HAO M J, CHEN J H, ZHAO W T, WONG Y K, GAO L, LUO P, WANG J G, DU Q F. Mechanism of self-assembled celastrol-erianin nanomedicine for treatment of breast cancer[J]. Chem. Eng. J., 2024, 499:  155709. doi: 10.1016/j.cej.2024.155709

    17. [17]

      FANG F, CHEN X. Carrier-free nanodrugs: From bench to bedside[J]. ACS Nano, 2024, 18(35):  23827-23841. doi: 10.1021/acsnano.4c09027

    18. [18]

      AN J L, ZHANG Z Q, ZHANG J R, ZHANG L Y, LIANG G F. Research progress in tumor therapy of carrier-free nanodrug[J]. Biomed. Pharmacother., 2024, 178:  117258. doi: 10.1016/j.biopha.2024.117258

    19. [19]

      LI L, TIAN H L, ZHANG Z, DING N, HE K, LU S J, LIU R L, WU P J, WANG Y, HE B, LUO M C, PENG P L, YANG M, NICE E C, HUANG C H, XIE N, WANG D, GAO W. Carrier-free nanoplatform via evoking pyroptosis and immune response against breast cancer[J]. ACS Appl. Mater. Interfaces, 2023, 15(1):  452-468. doi: 10.1021/acsami.2c17579

    20. [20]

      YAO Y Q, XU Z N, DING H R, YANG S S, CHEN B H, ZHOU M J, ZHU Y H, YANG A H, YAN X X, LIANG C R, KOU X D, CHEN B, HUANG W, LI Y B. Carrier-free nanoparticles-new strategy of improving druggability of natural products[J]. J. Nanobiotechnol., 2025, 23:  108. doi: 10.1186/s12951-025-03146-y

    21. [21]

      DONG X R, LIU H, LIU H B, ZHANG X Q, DENG X R. Carrier-free nanomedicines: Mechanisms of formation and biomedical applications[J]. Giant, 2024, 18:  100256. doi: 10.1016/j.giant.2024.100256

    22. [22]

      ZHANG H J, CHEN W J, WANG J, DU W X, WANG B B, SONG L, HU Y, MA X P. A novel ROS-activable self-immolative prodrug for tumor-specific amplification of oxidative stress and enhancing chemotherapy of mitoxantrone[J]. Biomaterials, 2023, 293:  121954. doi: 10.1016/j.biomaterials.2022.121954

    23. [23]

      ZHANG R J, GUO L H, LI Q J, LIANG Y, LIAO Y Y, XU H B, LIU C T, ZHOU G D, WANG L, XU S X, YUAN M M. Biodegradable carrier-free nanomedicine via self-assembly of pure drug molecules for triple sensitization of radiotherapy[J]. ACS Nano, 2025, 19(17):  16355-16371. doi: 10.1021/acsnano.4c15736

    24. [24]

      XU X D, WANG G W, CHEN Y J, JIN P L, CHEN J F, FANG X, YE D Q, HUANG P T. Ultrasound-activated carrier-free nanoprodrugs enhanced universality and efficiency of solid tumor-targeting chemotherapy[J]. Bioact. Mater., 2025, 50:  571-584.

    25. [25]

      SU Q Y, WANG Z Y, ZHOU H M, ZHANG M M, DENG W J, WEI X, XIAO J S, DUAN X P. Eradication of large tumors by nanoscale drug self-assembly[J]. Adv. Mater., 2024, 36(49):  2410536. doi: 10.1002/adma.202410536

    26. [26]

      ZHANG B W, LI L X, HUANG M L, ZHAO E W, LI Y Q, SUN J, HE Z G, FU C W, LIU G J, SUN B J. Probing the impact of surface functionalization module on the performance of mitoxantrone prodrug nanoassemblies: Improving the effectiveness and safety[J]. Nano Lett., 2024, 24(12):  3759-3767. doi: 10.1021/acs.nanolett.4c00300

    27. [27]

      LI H, ZHANG X L, CHEN S T, CAO C, ZHANG X, LI X, XING S X, JIA S T, LI J S, WANG S. Hypoxia exacerbation-triggered doxorubicin prodrug activation for sequential photodynamic/chemotherapy[J]. ACS Mater. Lett., 2024, 6(7):  2599-2608. doi: 10.1021/acsmaterialslett.4c00798

    28. [28]

      LE Z C, CHEN Y T, HAN H H, TIAN H K, ZHAO P F, YANG C B, HE Z Y, LIU L X, LEONG K W, MAO H Q, LIU Z J, CHEN Y M. Hydrogen-bonded tannic acid-based anticancer nanoparticle for enhancement of oral chemotherapy[J]. ACS Appl. Mater. Interfaces, 2018, 10(49):  42186-42197. doi: 10.1021/acsami.8b18979

    29. [29]

      YANG Z T, SHI X Z, QIU L Y. Tunable supramolecular self-assemblies based on cyclodextrin polymer as a loading platform for water-soluble drugs[J]. Carbohydr. Polym., 2025, 347:  122743. doi: 10.1016/j.carbpol.2024.122743

    30. [30]

      ZHANG J X, FANG H K, DAI Y B, LI Y Q, LI L X, ZUO S Y, LIU T, SUN Y X, SHI X B, HE Z G, SUN J, SUN B J. Cholesterol sulfate-mediated ion-pairing facilitates the self-nanoassembly of hydrophilic cationic mitoxantrone[J]. J. Colloid Interface Sci., 2024, 669:  731-739. doi: 10.1016/j.jcis.2024.05.029

  • 图 1  MIDA用于肿瘤化疗的示意图

    Figure 1  Illustration of MIDA for tumor chemotherapy

    图 2  MIDA的制备路线

    Figure 2  Preparation route of MIDA

    图 3  不同质量浓度的DOX在NaAc介质中的(A) UV-Vis吸收光谱和(B) 标准曲线; 不同质量浓度的MIT在NaAc介质中的(C) UV-Vis吸收光谱和(D) 标准曲线

    Figure 3  (A) UV-Vis absorption spectra and (B) standard curve of DOX with different mass concentrations in NaAc medium; (C) UV-Vis absorption spectra and (D) standard curve of MIT with different mass concentrations in NaAc medium

    图 4  (A) MIT和DOX的质量比、(B) 反应时间及(C) 反应方式对MIDA药物负载量的影响; 不同质量比的MIT和DOX合成MIDA的(D) 水合粒径分布曲线和(E) ζ电位; (F) NaAc与PB对药物负载量的影响

    Figure 4  Effect of (A) mass ratio of MIT and DOX, (B) reaction time, and (C) reaction mode on drug loading amount of MIDA; (D) Hydrated size distribution curve and (E) ζ potential of MIDA synthesized by different mass ratios of MIT and DOX; (F) Effect of NaAc and PB on drug loading content

    图 5  DOX、MIT和MIDA的(A) UV-Vis吸收光谱、(B) 荧光光谱和(C) FTIR谱图; (D) MIDA的TEM图像; MIDA和DA的(E) 粒径图和(F) ζ电位图

    Figure 5  (A) UV-Vis absorption spectra, (B) fluorescence spectra, and (C) FTIR spectra of DOX, MIT, and MIDA; (D) TEM image of MIDA; (E) Particle sizes and (F) ζ potentials of MIDA and DA

    Inset in panel A: photographs of DOX, MIT, and MIDA under daylight; Inset in panel B: photographs of DOX, MIT, and MIDA under UV 365 nm irradiation.

    图 6  MIDA中(A) MIT和(B) DOX体外释药模拟测试

    Figure 6  In vitro drug release simulation test of (A) MIT and (B) DOX in MIDA

    图 7  MIDA、DA、MIT和DOX与MCF-7作用(A) 24 h和(B) 48 h后的CCK-8毒性测试

    Figure 7  Effect of MIDA, DA, MIT, and DOX on MCF-7 cytotoxicity for (A) 24 h and (B) 48 h measured by CCK-8 assay

    图 8  MIDA、DA、MIT+DOX、游离MIT和DOX与MCF-7细胞对(A) 细胞划痕迁移宽度形态和(B) 细胞迁移抑制率的影响

    Figure 8  Effect of MIDA, DA, MIT+DOX, free MIT, and DOX on (A) the morphology of the migration width of cell scratches and (B) cell migration-inhibiting rate

    图 9  MIDA、DA、游离MIT和DOX诱导MCF-7凋亡: (A) 流式细胞仪检测结果; (B) 细胞存活定量分析; (C) 细胞凋亡定量分析

    Figure 9  Apoptosis of MCF-7 induced by MIDA, DA, free MIT, and DOX: (A) flow cytometry diagrams; (B) quantitative analysis of cell survival; (C) quantitative analysis of apoptosis

    图 10  在不同培养时间下,MCF-7摄取MIDA的动力学流式细胞测试图(A)和曲线图(B); 不同抑制剂培养处理的MCF-7摄取MIDA的机制流式细胞测试图(C)和柱状图(D)

    Figure 10  Flow cytometry assay diagrams (A) and curves (B) of MIDA uptake kinetics in MCF-7 cells at different incubation times; Flow cytometry assay diagrams (C) and histograms (D) of MIDA uptake mechanism in MCF-7 cells cultured with different inhibitors

    图 11  MIDA、DA和DOX在MCF-7细胞内的摄取和分布

    Figure 11  Cellular uptake and distribution images of MIDA, DA and DOX in MCF-7 cells

  • 加载中
计量
  • PDF下载量:  2
  • 文章访问数:  1014
  • HTML全文浏览量:  153
文章相关
  • 发布日期:  2025-12-10
  • 收稿日期:  2025-04-22
  • 修回日期:  2025-09-29
通讯作者: 陈斌, bchen63@163.com
  • 1. 

    沈阳化工大学材料科学与工程学院 沈阳 110142

  1. 本站搜索
  2. 百度学术搜索
  3. 万方数据库搜索
  4. CNKI搜索

/

返回文章