Citation: Min WANG, Dehua XIN, Wei ZHANG, Haiying YANG, Yuchun WANG, Zhaorong LIU, Meng SHI, Le SHI. Preparation and full-spectrum catalytic degradation performance of nitrogen vacancy g-C3N4/Bi/BiOBr/BiOI heterojunction material[J]. Chinese Journal of Inorganic Chemistry, 2025, 41(11): 2283-2298. doi: 10.11862/CJIC.20250109
氮空位g-C3N4/Bi/BiOBr/BiOI异质结材料的制备及其全光谱催化降解性能
English
Preparation and full-spectrum catalytic degradation performance of nitrogen vacancy g-C3N4/Bi/BiOBr/BiOI heterojunction material
-
Key words:
- g-C3N4
- / BiOBr
- / BiOI
- / heterojunction
- / full-spectrum catalysis
- / ciprofloxacin
-
0. 引言
盐酸四环素、环丙沙星(CIP)等抗生素的发现和使用,为养殖业、畜牧业和医药行业的发展做出巨大贡献,但同时也引发了一系列的环境问题[1-3]。研究表明,生物体无法充分吸收和利用抗生素,导致其随着尿液和粪便排出体外,并进入水循环系统[4]。此外,抗生素类药物的过度使用及废水的不当处理,导致抗生素污染愈发严重[5]。抗生素污染不仅会破坏水环境的生态平衡,还会对人类健康造成重大威胁[6-7]。
迄今为止,科研工作者已经研发了各种治理抗生素污染的技术和方法,包括物理吸附、生物降解、化学氧化、光/热/电催化氧化等[8-9]。其中,光催化技术因能耗低、效率高、操作简单、环境友好等特点而备受青睐[10-11]。光催化技术主要依靠光激发半导体材料产生电子、空穴和各种活性氧物质来分解抗生素,其效率主要取决于半导体材料的光吸收能力、光生电子-空穴对的分离效率和氧化还原能力。
在诸多光催化材料中,BiOX(X=Br、I)因较强的可见光吸收、独特的二维层状结构、简单的制备方法等优势引起了广泛关注[12-14]。BiOX由[Bi2O2]2+阳离子层和双卤素离子层交替排列组成,在垂直于层结构方向形成的内部极化电场可以促进光生载流子由体相向表面迁移[15-16]。但是,迁移至表面的电子和空穴极易因库仑相互作用发生复合,导致载流子利用率降低。此外,由于导带(CB)和价带(VB)电势的限制,BiOX在光催化反应期间无法同时产生活性的超氧自由基(·O2-)和羟基自由基(·OH)[17-18]。因此,提高光生电子和空穴的表面分离效率和氧化还原能力对于BiOX的实际应用至关重要。
研究表明,向BiOX的晶体结构中引入氧空位缺陷,可以破坏表面原子的有序排列,在缺陷附近形成的能量无序区域可以促进激子(束缚态的电子-空穴对)解离为自由载流子[19-20]。此外,氧空位的引入可以调整BiOX的电子结构,而且在其禁带间形成的局域缺陷态作为光生电子和反应物的捕获位点,可以抑制光生载流子的表面复合[21-22]。BiOX体系光生电子-空穴对氧化还原能力的提高可以通过构筑S型异质结实现。类石墨相氮化碳(g-C3N4)作为典型的聚合物光催化剂,具有本征可见光吸收、热稳定性和化学稳定性高、原料廉价、易合成等特点[23]。g-C3N4的能带结构与BiOX相匹配,可用于构筑S型异质结。
Wang等通过原位溶剂热法制备了g-C3N4/BiOBr异质结。在界面内建电场和能带弯曲的协同作用下,该复合材料的Ⅱ型结构转变为S型机制,增强了光生载流子的分离效率和氧化还原能力,进而提高了其对四环素的降解活性[24]。通过原位合成法构筑的S型g-C3N4/BiOBr (001)[25]、2D/3D BiOI/g-C3N4[26]、g-C3N4/Bi4O5I2[6]异质结在可见光照射下对染料、抗生素等有机污染物的降解活性同样高于单组分材料。但是太阳光谱中的近红外光(占比约50%)仍然无法被充分利用。
据报道,Bi具有与贵金属类似的局域表面等离激元共振(LSPR)效应,其在增强可见近红外光吸收的同时,可以产生高能热载流子参与光催化反应,由此导致的局域电磁场增强可以加速电子跃迁并促进界面电荷转移[27]。He等通过溶剂热法构筑了S型Bi2S3/BiOBr异质结。反应期间,部分铋源被还原为金属Bi,同时在BiOBr的晶格中形成氧空位缺陷。缺陷、金属Bi及S型机制的协同作用提高了Bi2S3/Bi/BiOBr异质结在可见光照射下对Cr(Ⅵ)的还原能力[28]。
基于此,我们采用原位溶剂热法制备得到了氮空位g-C3N4(NVCN)/Bi/BiOBr/BiOI多元异质结光催化材料,利用缺陷和金属Bi的LSPR效应、界面异质结的形成及缺陷(氧空位和氮空位)的激子解离和电荷捕获作用、双S型机制的构建,对整个光催化反应过程进行了优化,增强了异质结全光谱催化降解CIP的反应活性,并对其光催化活性的增强机理进行了解析。
1. 实验部分
1.1 试剂与仪器
尿素、硝酸铋、溴酸钠、碘酸钾、溴化钠、碘化钠、无水乙醇、硝酸均购自国药集团化学试剂有限公司;CIP购自上海阿拉丁生化科技股份有限公司;草酸钠(SO)、对苯醌(p-BQ)、叔丁醇(TBA)、β-胡萝卜素(β-CAR)均购自麦克林生化科技股份有限公司。所用试剂均为分析纯,使用之前未经过进一步提纯,实验用水为去离子水。
所用仪器包括X射线衍射仪[XRD,D/max-2200PC,Cu Kα射线,λ=0.154 06 nm,40 kV,40 mA,扫描范围为10°~70°,扫描速率为5 (°)·min-1]、傅里叶变换红外光谱仪(FTIR,TENSOR 27)、扫描电子显微镜(SEM,SU-8100,5.0 kV)、透射电子显微镜(TEM,G20 F202,200 kV)、比表面积及孔径分析仪(NOVA2200e)、电子顺磁共振波谱仪(EPR,Bruker A300)、X射线光电子能谱仪(XPS,XSAM800)、紫外可见近红外分光光度计(Cary 5000)、荧光分光光度计(F-4600,激发波长为370 nm)和荧光光谱仪(Edinburgh FS5,激发波长:340 nm)。
1.2 样品的制备
根据文献报道的方法制备NVCN[29]:将10 g尿素放入带盖的刚玉坩埚中,然后在马弗炉中以15 ℃·min-1的速率升温至550 ℃,反应4 h,冷却至室温,得到NVCN。
将6 mmol硝酸铋加入到35 mL乙醇中,搅拌30 min后,先后加入2 mmol溴酸钠、2 mmol碘酸钾和0.6 g NVCN,继续搅拌2 h并超声处理2 h,然后在连续的搅拌作用下逐滴滴加1.5 mL硝酸,继续搅拌2 h,随后将混合溶液转入100 mL带聚四氟乙烯内衬的不锈钢反应釜中,180 ℃反应16 h,待冷却到室温后,使用去离子水将所得沉淀物洗涤至上清液无色透明、澄清,继续使用无水乙醇洗涤3次,在真空干燥箱中干燥24 h,得到NVCN/Bi/BiOBr/BiOI粉体,简写为CN/BBOBI。
上述反应过程中,在相同的反应条件下,溴酸钠和碘酸钾的加入量分别为4和0 mmol时,制备得到NVCN/Bi/BiOBr,简写为CN/BBOB;溴酸钠和碘酸钾的加入量分别为0和4 mmol时,制备得到NVCN/Bi/BiOI,简写为CN/BBOI。当NVCN的加入量为0 g时,在上述相同的反应条件下分别制备得到Bi/ BiOBr/BiOI、Bi/BiOBr和Bi/BiOI,分别简写为BBOBI、BBOB和BBOI。
分别以硝酸铋(6 mmol)、溴化钠(2 mmol)和碘化钠(2 mmol)为铋源、溴源和碘源,以去离子水为溶剂,在相同的反应条件下分别制备得到单相BiOBr和BiOI,用以研究两者的光学性质和能带结构。
1.3 光催化性能测试
将20 mg样品加入到装有40 mL 20 mg·L-1 CIP溶液的石英试管中,超声5 min后在CEL-LAB500光化学反应仪中暗反应30 min,使光催化粉体与CIP分子之间达到吸附-脱附平衡。然后,打开光源(500 W氙灯)进行光催化反应。为了模拟可见光和近红外光光源,实验中分别配备420或800 nm的截止滤光片。光反应期间,每隔15 min(可见光)或1 h(近红外光)取2 mL悬浊液,离心处理(6 000 r·min-1,15 min)后使用0.22 μm的尼龙滤头过滤得到上清液。通过UV-9000型紫外可见分光光度计测试上清液在特征波长处的吸光度(A),采用下式计算CIP的降解效率(η):
$ \begin{equation} \eta=\left(A_0-A\right) / A_0 \times 100 \% \end{equation} $ (1) 式中,A0为初始CIP溶液在特征波长处的吸光度值。
1.4 循环降解实验
称取20 mg CN/BBOBI分散至40 mL CIP(20 mg·L-1)溶液中,超声处理5 min后在光化学反应仪中暗反应30 min以实现吸附-脱附平衡。随后,打开光源,在可见光照射90 min或近红外光照射6 h后停止反应。离心分离光催化剂粉体。使用紫外可见光分光光度计测试上清液的吸光度,通过式1计算降解效率。将收集的光催化剂使用去离子水和无水乙醇分别洗涤3次,60 ℃真空干燥12 h,研磨后用于下一次循环,循环实验重复6次。最终收集的样品经过洗涤、干燥后用于XRD测试。
1.5 自由基捕获实验
分别以SO、p-BQ、TBA和β-CAR作为空穴(h+)、·O2-、·OH和单线态氧(1O2)的牺牲剂进行自由基捕获实验,牺牲剂的加入量均为1 mmol,具体的实验条件和过程与光催化性能测试部分相同。
1.6 光电化学测试
使用CHI-660E型电化学工作站进行光电化学测试。三电极体系中,以涂覆有光催化材料的F掺杂SnO2透明导电玻璃(FTO)为工作电极,Pt片为对电极,KCl饱和的Ag/AgCl电极为参比电极,以300 W氙灯加420 nm的截止滤光片模拟可见光光源,使用0.1 mol·L-1的Na2SO4溶液作为电解液。
2. 结果与讨论
2.1 组成与结构分析
图 1a为各样品的XRD图。图中,NVCN在12.8°和27.6°处的衍射峰分别对应石墨相氮化碳的(100)和(002)晶面[30]。BBOB的衍射峰与六方相金属Bi(PDF No.85-1329)和四方相BiOBr(PDF No.78-0348)的衍射峰一一对应。BBOI的XRD图中出现了Bi和四方相BiOI(PDF No.10-0445)的特征衍射峰。BBOBI由Bi、BiOBr和BiOI三相组成。与NVCN复合后,CN/BBOB、CN/BBOI和CN/BBOBI中Bi、BiOBr和BiOI的晶体结构并未发生明显变化,但组分Bi的衍射峰强度明显增大,表明NVCN的引入有利于金属Bi的形成。图 1b为24°~36°范围内的局部XRD放大图。由图可知,复合材料中各组分之间的强化学相互作用导致晶格发生畸变,因此,与BBOB、BBOI、BBOBI、CN/BBOB和CN/BBOI相比,CN/ BBOBI的XRD图中Bi、BiOBr和BiOI的衍射峰均有明显的偏移。
图 1
图 1. 所制备样品的(a) XRD图和(b) 24°~36°范围内的局部放大图及(c) FTIR谱图Figure 1. (a) XRD patterns and (b) the magnified patterns in the range of 24°-36°, and (c) FTIR spectra of the prepared samples图 1c为各样品的FTIR谱图。NVCN的FTIR谱图中,814 cm-1处尖锐的特征吸收峰对应三均三嗪环的面外弯曲振动模式,1 700~1 200 cm-1范围内的吸收峰是由CN杂环中C—N和C=N—C键的伸缩振动产生的,3 400~2 800 cm-1范围内较宽的吸收峰则起源于氨基和羟基基团的伸缩振动[31]。BBOB的FTIR谱图中,1 397和527 cm-1处的吸收峰分别对应Bi—Br键的非对称伸缩振动和Bi—O键的对称伸缩振动[32];对于BBOI,位于1 393、768和556 cm-1的吸收峰分别源于I—Bi—O、I—O和Bi—O键的伸缩振动[33-34]。两者的FTIR谱图中,3 600~3 300 cm-1和1 700~1 500 cm-1范围内较宽的特征吸收带分别归属于表面吸附羟基基团的伸缩振动和弯曲振动模式[32]。CN/BBOB、CN/BBOI和CN/BBOBI的FTIR谱图与NVCN类似,同时可以观察到BBOB和BBOI较微弱的特征吸收峰。在酸性的反应条件下,NVCN表面的氨基和羟基基团解离到溶液中,为BBOB和BBOI的原位生长提供活性位点。因此,CN/BBOB、CN/BBOI和CN/BBOBI的FTIR谱图中,氨基和羟基基团的吸收峰强度明显低于NVCN。
2.2 微观形貌和孔结构分析
利用SEM观察所制备样品的微观形貌。图 2a、2b分别为BBOB和BBOI的SEM图,图 2c和2d为BBOBI的SEM图。三者的SEM图中均可以观察到纳米棒和由纳米片自组装形成的纳米花形貌。2种不同形貌形成的原因如下:溶剂热体系中,乙醇分子可以自发形成微反应器,晶核在微反应器中生成,HNO3的存在可以使晶核沿一维方向生长[35],从而形成纳米棒形貌;微反应器外的晶核则首先生长形成纳米颗粒,颗粒沿二维方向生长形成纳米片,然后经过奥斯特瓦尔德熟化过程聚集形成纳米花形貌[36]。
图 2
在CN/BBOB(图 2e、2f)和CN/BBOI(图 2g、2h)的SEM图中,纳米棒和纳米花表面可以观察到不规则纳米片的存在,该形貌归属于NVCN。CN/BBOB和CN/BBOI的SEM图及对应的元素映射图如图 2i、2j所示。CN/BBOB由C、N、Bi、O和Br元素组成,CN/BBOI中包含C、N、Bi、O和I元素。从图中可以看出,C、N元素的分布与Bi、O、Br和I元素的分布高度重叠,表明NVCN与BBOB和BBOI复合良好。
如图 3a~3e所示,CN/BBOBI同样由不规则纳米片、纳米棒及由纳米片自组装形成的纳米花3种形貌组成,与CN/BBOB和CN/BBOI的微观形貌一致。选择不同的形貌和位置进行元素组成分析,对应的SEM图和元素映射图如图 3f~3i所示。从图中可以看出,CN/BBOBI由C、N、Bi、O、Br和I元素组成,各元素分布清晰且与形貌保持一致。C、N元素的分布轮廓与Bi、O、Br和I元素基本相同,进一步证实了NVCN与BBOBI成功复合成多元异质结材料。
图 3
图 4a~4d为CN/BBOBI的TEM图。图中,棒状、花状与不规则纳米片状形貌共存,与SEM图结果一致。图 4e和4h为CN/BBOBI的高分辨TEM(HRTEM)图,图 4f、4g、4i和4j为对应区域的局部放大图。图中晶格间距为0.328、0.282、0.353和0.301 nm的晶格条纹分别与Bi的(012)晶面、BiOBr的(102)和(101)晶面、BiOI的(102)晶面相匹配,进一步表明CN/BBOBI中存在Bi、BiOBr和BiOI。NVCN为无定型态,因此,HRTEM图中无法探测到其晶格条纹[37-38]。从HRTEM图中可以观察到,Bi、BiOBr及BiOI三者的晶格条纹间并不存在明显的界限,证实了界面异质结的形成。此外,BiOBr和BiOI的条纹附近可以观察到明显的无序区域,表明样品中存在缺陷。
图 4
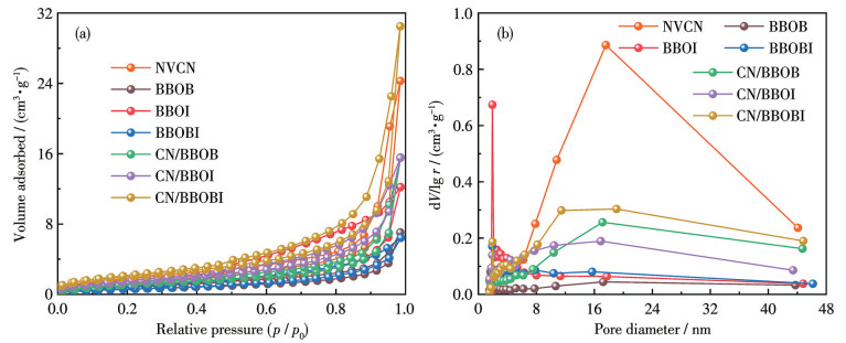
图 5a为所制备样品的N2吸附-脱附等温线。由图可知,各样品均具有Ⅳ型等温线和典型的H3型回滞环,符合介孔材料的特征[39],表明所制备样品具有介孔结构。光催化材料表面活性位点的数量在很大程度上取决于比表面积的大小。使用Brunauer-Emmett-Teller(BET)法计算所制备样品的比表面积,结果见表 1。NVCN的BET比表面积最大,为72 m2·g-1。CN/BBOB、CN/BBOI和CN/BBOBI的BET比表面积分别为37、42和45 m2·g-1,明显大于BBOB (11 m2·g-1)、BBOI(24 m2·g-1)和BBOBI(27 m2·g-1)。各样品的孔径分布曲线如图 5b所示,表 1列出了相应的孔结构参数。所有样品中,CN/BBOBI的平均孔径最大,约为19.50 nm,其孔容(0.29 cm3·g-1)介于NVCN(0.41 cm3·g-1)和BBOBI(0.21 cm3·g-1)之间。较大的比表面积、孔径和孔容可以为光催化反应提供更多的活性位点[40]。
图 5
表 1
表 1 所制备样品的BET比表面积和孔结构参数Table 1. BET specific surface areas and pore structure parameters of the prepared samplesSample Specific surface area / (m2·g-1) Average pore diameter / nm Total pore volume / (cm3·g-1) NVCN 72 16.71 0.41 BBOB 11 19.19 0.05 BBOI 24 19.34 0.11 BBOBI 27 19.42 0.12 CN/BBOB 37 19.11 0.19 CN/BBOI 42 19.39 0.21 CN/BBOBI 45 19.50 0.29 2.3 缺陷及元素组成分析
还原性的溶剂热反应条件有利于氧空位缺陷的形成[28],因此我们通过EPR测试对所制备样品的氧空位缺陷进行表征,结果如图 6a所示。BBOB、BBOI、BBOBI和CN/BBOBI在g=2.003处均可以探测到明显的EPR信号,对应表面氧空位位点的单电子捕获,证实了所制备样品中存在氧空位缺陷[41-43]。CN/BBOBI的EPR信号强于BBOBI,表明样品中含有更高浓度的氧空位缺陷,氧空位浓度的增大与界面极化电荷转移有关。
图 6
通过样品中各元素结合能的变化判断界面极化电荷的转移方向。如图 6b所示,NVCN的C1s XPS谱图中,284.60和288.00 eV处的特征峰分别归属于C—C和N—C=N键[44]。与BBOBI耦合后,N—C=N键的结合能增大至288.38 eV。图 6c为NVCN和CN/BBOBI的高分辨N1s XPS谱图。对于NVCN,C—N=C、N—(C)3和C—N—H键的特征峰分别位于398.46、399.60和401.00 eV处;与NVCN相比,CN/BBOBI中N元素的特征峰向高结合能方向偏移。如图 6d所示,由于样品中Bi3+、Bi(3-x)+和Bi0共存,BBOB、BBOI、CN/BBOB和CN/BBOI的Bi4f XPS谱图中可以观察到2个非对称的特征峰[45-46]。由图可知,BBOB和BBOI与NVCN复合后,Bi元素的特征峰向低结合能方向偏移。结合能增大代表电子云密度减小[47-48],即NVCN与BBOBI复合后,极化电荷由NVCN向BBOBI转移,电子在BBOBI一侧累积,促进了正电性氧空位的形成,导致CN/BBOBI中氧空位浓度增大[49]。
图 6e为BBOB和BBOBI的高分辨Br3d XPS谱图。BBOB的Br3d谱图可以被拟合为2个特征峰,位于69.01和67.83 eV处的峰分别归属于Br3d3/2和Br3d5/2轨道[50]。BBOBI中Br元素的2个特征峰的结合能分别减小至68.68和66.28 eV,表明BBOBI中Br元素的电子云密度高于BBOB。如图 6f所示,BBOI和BBOBI的I3d XPS谱图中可以观察到2个非对称的特征峰,高结合能和低结合能处的峰位分别对应I3d3/2和I3d5/2轨道[22]。BBOI与BBOB耦合后,I元素的结合能由630.52和619.06 eV分别增大至630.86和619.25 eV,表明I元素的电子云密度减小,即在BBOB与BBOI的界面处,极化电荷由BBOI向BBOB转移。
2.4 光学性质和能带结构分析
紫外可见近红外漫反射光谱(UV-Vis-NIR DRS)可用于分析半导体材料的光学性质。图 7a为NVCN、BiOBr和BiOI的紫外可见漫反射光谱(UV-Vis DRS)。由图可知,NVCN只可以吸收部分可见光,其光吸收带边约为453 nm;由于氮空位缺陷的存在,光吸收带边附近可以观察到一个微弱的乌尔巴赫吸收尾[38]。BiOBr和BiOI的光吸收带边约为442和673 nm,与文献报道基本一致[14-15]。通过水热法合成的BiOBr和BiOI中不含金属Bi和氧空位缺陷,因此两者无法吸收近红外光。图 7b为各复合材料的UV-Vis-NIR DRS。BBOB、BBOI和BBOBI因等离子体Bi和氧空位缺陷的LSPR效应,可以充分吸收可见光和近红外光,同时保留了BiOBr和BiOI的半导体特性,其中BBOBI的吸收带边介于BBOB和BBOI之间。由XRD图可知,向反应体系中引入NVCN可以促进金属Bi的形成;复合材料中Bi含量的增大导致CN/BBOB、CN/BBOI和CN/BBOBI对近红外光的吸收能力进一步增强,这意味着所制备样品可以更充分地利用太阳能进行催化反应。
图 7
图 7. (a) NVCN、BiOBr和BiOI的UV-Vis DRS; (b) BBOB、BBOI、BBOBI、CN/BBOB、CN/BBOI和CN/BBOBI的UV-Vis-NIR DRS; NVCN、BiOBr和BiOI的(c) Kubelka-Munk转换曲线和(d) XPS-VB谱图Figure 7. (a) UV-Vis DRS of NVCN, BiOBr, andBiOI; (b) UV-Vis-NIR DRS of BBOB, BBOI, BBOBI, CN/BBOB, CN/BBOI, and CN/BBOBI; (c) Kubelka-Munk transformation curves and (d) XPS-VB spectra of NVCN, BiOBr, and BiOI根据Kubelka-Munk转换公式2可以计算半导体材料的带隙(Eg):
$ \begin{equation} \alpha h \nu=A\left(h \nu-E_{\mathrm{g}}\right)^n \end{equation} $ (2) 式中,α、h和ν分别代表光吸收系数、普朗克常数和入射光频率,A为比例常数,指数n与半导体材料的跃迁类型有关。直接跃迁型半导体和间接跃迁型半导体的n值分别为1和4。据报道,NVCN、BiOBr和BiOI均为间接跃迁型半导体[51-52]。图 7c为三者的Kubelka-Munk转换曲线,由图可知,NVCN、BiOBr和BiOI的带隙分别为2.68、2.54和1.69 eV。由XPS-VB谱图(图 7d)可知,NVCN、BiOBr和BiOI的VB能量(EVB)分别为1.65、2.44和1.32 eV。由式3计算得到三者的CB能量(ECB)分别为-1.03、-0.10和-0.37 eV。
$ \begin{equation} E_{\mathrm{CB}}=E_{\mathrm{VB}}-E_{\mathrm{g}} \end{equation} $ (3) 2.5 光催化活性和稳定性分析
通过降解CIP衡量所制备材料的光催化性能。图 8a为各样品在可见光照射下对CIP的降解曲线。由图可知,可见光照射90 min时,NVCN、BBOB和BBOI对CIP的降解效率分别为23.2%、41.1%和52.0%;BBOBI对CIP的降解效率为60.1%,略高于BBOB和BBOI。从图中可以看出,与NVCN复合后,所制备样品对CIP的降解活性进一步提升。三者中,CN/BBOBI的光催化性能最佳,其在可见光下照射60 min时,对CIP的降解效率即可到达90.7%,此时,NVCN、BBOBI、CN/BBOB和CN/BBOI对CIP的降解效率仅为16.4%、48.2%、67.4%和79.3%。
图 8
图 8. 所制备样品在(a) 可见光和(b) 近红外光照射下对CIP的降解曲线及(c) 相应的TOC去除率; CN/BBOBI在(d) 可见光和(e) 近红外光照射下降解CIP的循环实验结果; (f) CN/BBOBI循环前后的XRD图Figure 8. Degradation curves of CIP by the prepared samples under (a) visible light and (b) NIR light irradiation, and (c) the corresponding TOC removal rates; Results of cyclic experiments on the degradation of CIP by CN/BBOBI under (d) visible light and (e) NIR light irradiation; (f) XRD patterns of CN/BBOBI before and after cycling是否可以利用能量较低的近红外光进行降解反应对光催化材料的实际应用至关重要。因此,我们通过在近红外光照射下降解CIP进一步评价所制备材料的光催化性能,结果如图 8b所示。由UV-Vis-NIR DRS可知,NVCN无法吸收近红外光。但NVCN中氮空位处的少部分局域电子可以被激发跃迁至CB位置,参与后续的化学反应。因此,在近红外光照射下,NVCN可以分解部分CIP,反应6 h时,其对CIP的降解效率约为12.9%。此时,BBOB、BBOI和BBOBI对CIP的降解效率分别为27.4%、36.4%和44.7%,相对较高的反应活性可以归因于金属Bi和氧空位缺陷的LSPR效应及界面肖特基结的形成,这不仅可以增强样品的近红外光吸收,同时也可以提高热载流子的分离效率。向体系中引入NVCN可以促进Bi的形成,使其对近红外光的吸收进一步增强。因此,与BBOB、BBOI和BBOBI相比,CN/BBOB、CN/BBOI和CN/BBOBI的近红外光催化活性进一步提升。近红外光照射6 h时,CN/BBOBI对CIP的降解效率为78.5%,分别为NVCN和BBOBI的6.1倍和1.8倍。样品的近红外光催化活性主要依赖于金属Bi和氧空位缺陷的LSPR激发。CN/BBOI的近红外光吸收强度高于CN/BBOBI,因此,即便缺失BiOI中氧空位缺陷对光催化反应的贡献,CN/BBOI在近红外光照射下对CIP的降解活性与CN/BBOBI相比仍然相差不大。
降解液中的总有机碳(TOC)含量可以反映光催化材料对有机污染物的矿化能力。如图 8c所示,可见光照射90 min时,CN/BBOBI降解CIP的TOC去除率由12.3%(NVCN)、44.5%(BBOBI)显著增大至73.1%;其在近红外光下照射6 h时,降解CIP的TOC去除率(62.1%)为NVCN(5.4%)和BBOBI(24.6%)的11.5倍和2.5倍。TOC去除率的提高表明CN/BBOBI对CIP具有较高的矿化能力,通过光催化反应可以将CIP分解为H2O和CO2。
通过循环实验评价CN/BBOBI的稳定性。如图 8d、8e所示,在可见光和近红外光照射下,经过6次的循环反应后,CN/BBOBI对CIP的降解效率由94.1%和78.5%分别变为87.2%和68.9%,反应活性并未显著降低。如图 8f所示,经过循环反应后,CN/BBOBI的XRD峰的强度有所弱化,该现象归因于反应物和产物的吸附以及不可避免的机械损伤[53-54];但其XRD特征衍射峰的位置保持不变,并且没有观察到任何杂峰,表明所制备的CN/BBOBI异质结具有良好的循环稳定性。
2.6 光电化学性质分析
通过光致发光(PL)和时间分辨光致发光(TRPL)谱图研究了光生载流子的动力学过程,以分析光生电子-空穴对的分离和转移行为。如图 9a所示,NVCN荧光发射峰的强度最高,说明光生电子-空穴对的复合率较高[38]。BBOB、BBOI和BBOBI的光生载流子倾向于通过非辐射复合的形式湮灭,因此,三者的PL谱图中并未探测到明显的荧光发射峰[55-56]。NVCN与BBOB和BBOI复合后,PL发射峰的强度明显降低,表明构筑异质结可以提高光生载流子的分离效率。与CN/BBOB和CN/BBOI相比,CN/BBOBI的发射峰强度进一步降低,说明CN/ BBOBI可以产生更高浓度的光生电子和空穴以参与后续的光催化反应。图 9b和9c分别为NVCN和CN/BBOBI的TRPL谱图。使用双指数函数对所得曲线进行拟合,图中,较长的寿命(τ2)对应CB电子和VB空穴的复合,较短的寿命(τ1)则对应光生电子在缺陷态的弛豫。NVCN和CN/BBOBI光生载流子的平均寿命分别为7.67和9.28 ns,光生载流子寿命的延长进一步表明NVCN与BBOBI复合提高了光生电子-空穴对的分离效率[57]。
图 9
图 9. (a) 所制备样品的PL谱图; (b) NVCN和(c) CN/BBOBI的TRPL谱图; NVCN、BBOBI和CN/BBOBI在可见光照射下的(d) EIS和(e) 瞬态光电流响应曲线Figure 9. (a) PL spectra of the prepared samples; TRPL spectra of (b) NVCN and (c) CN/BBOBI; (d) EIS and (e) transient photocurrent response curves of NVCN, BBOBI, and CN/BBOBI under visible light irradiation在无偏压、频率范围为100 000~0.1 Hz的条件下测试样品的电化学阻抗谱(EIS,图 9d)以研究样品光生载流子的界面转移行为,使用ZSimpWin软件对Nyquist点图进行拟合,使用的等效模拟电路为Rs(CRct),其中,Rs、C和Rct分别为溶液电阻、空间电荷电容和电荷转移电阻[58],拟合数据见表 2。NVCN、BBOBI和CN/BBOBI的电荷转移电阻分别为10.45、8.081和5.461 kΩ,CN/BBOBI的电荷转移电阻最小,表明其具有更好的电荷传输能力[59]。所制备样品在可见光照射下的瞬态光电流响应曲线如图 9e所示。由图可知,CN/BBOBI的光电流响应强度明显高于NVCN和BBOBI,表明其光生电子和空穴具有更高的分离效率,与PL和TRPL结果一致。光生载流子分离效率的提高、寿命的延长及电荷转移电阻的减小均有利于光催化活性的提升。
表 2
Sample Rs / Ω C / mF Rct / kΩ Error / % NVCN 22.07 0.131 3 10.45 ≤5.39 BBOBI 23.33 0.142 0 8.081 ≤5.38 CN/BBOBI 24.02 0.154 1 5.461 ≤5.33 2.7 光催化机理分析
通过自由基捕获实验明确在光催化降解反应过程中起主要作用的活性物质,从而研究CN/ BBOBI异质结的全光谱催化机理。由图 10a可知,在可见光照射下,SO、p-BQ、TBA和β-CAR的引入使CIP的降解效率由90.7%分别降低至41.2%、21.1%、64.9%和84.2%,表明·O2-和h+是起主要作用的活性物质,·OH是起次要作用的活性物质,1O2的作用较为微弱。如图 10b所示,在近红外光照射下,当向反应体系中添加SO后,CIP的降解效率由78.5%显著降低至16.5%,p-BQ和TBA的加入使其降解效率分别下降至40.3%和60.8%,引入β-CAR后,CIP的降解效率仅降低了约2.2%,即在近红外光照射时,各活性物质的作用排序为h+ > ·O2- > ·OH,1O2几乎不起作用。以上结果表明,在全光谱照射下,h+、·O2-和·OH对CIP的光降解均有一定的贡献。光生载流子分离效率提高会导致激子效应被弱化,1O2的生成主要依赖于激子传能过程[60-61]。因此,在光催化反应期间1O2的贡献较小。
图 10
图 10. CN/BBOBI在(a) 可见光和(b) 近红外光照射下的自由基捕获实验结果; CN/BBOBI在(c) 可见光和(d) 近红外光照射下所产生的DMPO-·O2-和DMPO-·OH的EPR谱图Figure 10. Results of free radical capture experiments by CN/BBOBI under (a) visible light and (b) NIR light irradiation; EPR spectra of DMPO-·O2- and DMPO-·OH produced by CN/BBOBI under (c) visible light and (d) NIR light irradiation通过EPR测试进一步验证光催化反应期间各活性氧物质的生成,使用5,5-二甲基-1-吡咯啉-N-氧化物(DMPO)为自由基捕获剂,结果如图 10c、10d所示。图中,强度比约为1∶1∶1∶1的4个峰为DMPO- ·O2-加成物的特征信号峰,强度比约为1∶2∶2∶1的4个峰为DMPO-·OH加成物的特征信号峰[62]。在黑暗条件下,未观察到明显的EPR信号。该结果表明,在可见光和近红外光照射下,CN/BBOBI异质结均可以产生·O2-和·OH,与自由基捕获实验结果一致。
基于以上分析,可以推断出NVCN/Bi/BiOBr/ BiOI异质结全光谱催化降解CIP的反应机理。NVCN、BiOBr和BiOI的能带结构如图 11所示。在全光谱照射下,三者均可以被激发产生电子-空穴对。氮空位和氧空位缺陷位点的局域电子同样可以吸收能量跃迁至CB位置。若NVCN/BiOBr/BiOI异质结遵循Ⅱ-Ⅱ型电荷转移机制,NVCN和BiOI的光生电子将会向BiOBr的CB位置迁移,BiOBr的光生空穴将会向NVCN和BiOI的VB位置迁移。BiOBr的CB电势(-0.10 V)大于O2/·O2-的标准氧化还原电势(-0.33 V)[51],NVCN和BiOI的VB电势(1.65和1.32 V)则小于OH-/·OH和H2O/·OH的标准氧化还原电势(1.99和2.40 V)[43, 63],此时,无法产生·O2-和·OH,与自由基捕获实验和EPR测试结果不符。
图 11
根据XPS测试结果,NVCN、BiOBr和BiOI三者接触后,NVCN和BiOI的自由电子向BiOBr转移,在NVCN和BiOI一侧形成正空间电荷区域,在BiOBr一侧则形成负空间电荷区域,从而产生由NVCN、BiOI指向BiOBr的界面内建电场(interface built-in electric field,IBIEF);同时,NVCN和BiOI的能带边缘向上弯曲,BiOBr的能带边缘则向下弯曲。在IBIEF和能带弯曲的作用下,BiOBr的光生电子和NVCN、BiOI的光生空穴在界面复合,形成双S型电荷转移机制[64-66],具有强氧化还原能力的光生电子和空穴被保留。
与此同时,金属等离子体Bi的自由电子与入射光子发生相干振荡,产生高能热电子和热空穴。据报道[37],热电子可以向缺陷位点弛豫,在稳定局域电荷密度的同时可以抑制热载流子复合。LSPR高能热载流子的产生会导致界面处的局域电磁场增强(local electromagnetic field enhancement,LEMFE),从而加速电子跃迁,促进界面电荷转移[67-68]。BiOBr和BiOI层间的内部极化电场(internal polarization electric field,IPEF)可以抑制光生载流子的体相复合;而氮空位和氧空位缺陷的存在使晶体表面结构的有序排列被破坏,形成能量无序区域,这可以促进激子解离为自由载流子;此外,光生电子可以向缺陷位点定向迁移,从而抑制光生载流子的表面复合。因此,NVCN/Bi/BiOBr/BiOI异质结光生载流子的分离效率和氧化还原能力被显著提升。NVCN和BiOI的光生电子与O2反应产生·O2-,BiOBr的光生空穴和LSPR热空穴与OH-和H2O反应产生·OH。CIP通过与h+、·O2-和·OH等活性物质反应被分解为H2O和CO2,与上述表征结果一致。
3. 结论
通过溶剂热法制备得到了NVCN/Bi/BiOBr/BiOI多元异质结光催化材料。NVCN的引入促进了等离子体Bi的形成,使异质结对可见光和近红外光的吸收明显增强。在界面内建电场和能带弯曲的作用下,Ⅱ-Ⅱ型结构转变为双S型机制,提高了光生电子和空穴的氧化还原能力。此外,界面内建电场、BiOBr和BiOI的内部极化电场、氮空位和氧空位的电荷捕获作用及Bi的局域电磁场增强效应,使异质结光生载流子的分离效率显著提高。上述特性提高了NVCN/Bi/BiOBr/BiOI异质结在全光谱照射下对CIP的降解活性,为废水中抗生素类污染物的去除提供了新思路。
-
-
[1]
MIAO S, ZHANG Y Y, YUAN X, ZUO J N. Antibiotic resistance evolution driven synergistically by antibiotics and typical organic pollutants in antibiotic production wastewater[J]. J. Hazard. Mater., 2025, 483: 136543. doi: 10.1016/j.jhazmat.2024.136543
-
[2]
ZHUANG S T, WANG J L. Interaction between antibiotics and microplastics: Recent advances and perspective[J]. Sci. Total Environ., 2023, 897: 165414. doi: 10.1016/j.scitotenv.2023.165414
-
[3]
SUN Y K, SUN W T, LI Y D, DONG N N, YU H Y, YIN W Y, ZHU F P, GAO B Y, XU S P. Effective inhibition of chloride ion interference in photocatalytic process by negatively charged molecularly imprinted photocatalyst: Behavior and mechanism[J]. Water Res., 2024, 262: 122040. doi: 10.1016/j.watres.2024.122040
-
[4]
WANG P P, WANG L T, RAO L M, SHAO J J, YUAN Q X, SHAN S D. Simple and low-cost synthesis of g-C3N4 for efficient sunlight photo-catalytic degradation of antibiotics in biogas slurry[J]. J. Environ. Manage., 2025, 377: 124692. doi: 10.1016/j.jenvman.2025.124692
-
[5]
LIN S J, SONG Y, SUN Y J, LIN W J, YU G Y, LIAO X W, YANG Q. Morpholine-modified Ru-based agents with multiple antibacterial mechanisms as metalloantibiotic candidates against Staphylococcus aureus infection[J]. RSC Adv., 2024, 14(28): 20130-20144. doi: 10.1039/D4RA02667E
-
[6]
LIU X T, CHEN S, TANTAI X J, DAI X Y, SHAO S Y, WU M X, SUN P F, DONG X P. Regulating defects in sulfur-doped Bi4O5I2 and constructing S-scheme heterojunctions with g-C3N4 to enhance photo-catalytic antibiotic degradation[J]. Sep. Purif. Technol., 2025, 363: 132001. doi: 10.1016/j.seppur.2025.132001
-
[7]
ZHANG Q, ZHENG D, BAI B, MA Z Y, ZONG S C. Insight into antibiotic removal by advanced oxidation processes (AOPs): Performance, mechanism, degradation pathways, and ecotoxicity assessment[J]. Chem. Eng. J., 2024, 500: 157134. doi: 10.1016/j.cej.2024.157134
-
[8]
RAN Y H, CUI R Y, WANG X Y, WANG H X, ZHANG L, XU L J, ZHU J M, HUANG Q, YUAN W Y. Advancements in iron-based photocatalytic degradation for antibiotics and dyes[J]. J. Environ. Manage., 2025, 374: 123991. doi: 10.1016/j.jenvman.2024.123991
-
[9]
SONG X, LIANG J Y, WANG J, LU L, BELLINI M, RODRÍGUEZ-LUGO R E, MUDDASSIR M, ANSARI I A. Photocatalytic performance of Cd(Ⅱ)-based coordination polymer of efficient antibiotic degradation[J]. J. Water Process Eng., 2025, 71: 107254. doi: 10.1016/j.jwpe.2025.107254
-
[10]
YANG J M, TIAN S F, SONG Z, HAO Y G, LU M H. Recent advances in sorption-based photocatalytic materials for the degradation of antibiotics[J]. Coord. Chem. Rev., 2025, 523: 216257. doi: 10.1016/j.ccr.2024.216257
-
[11]
YU G L, SUN Q F, YANG Y, CHEN S, LONG Y N, LI Y F, GE S Y, ZHENG D. BiOCl-based composites for photocatalytic degradation of antibiotics: A review of synthesis method, modification, factors affecting photodegradation and toxicity assessment[J]. J. Alloy. Compd., 2024, 981: 173733. doi: 10.1016/j.jallcom.2024.173733
-
[12]
XU L P, YU J C, WANG Y. Recent advances on bismuth oxyhalides for photocatalytic CO2 reduction[J]. J. Environ. Sci., 2024, 140: 183-203. doi: 10.1016/j.jes.2023.07.002
-
[13]
ALI Z, MA J L, HONG M, SUN R C. Review: Applications of the functional photocatalysts BiOX (X=Cl, Br, I) for clean energy, the environment, and future photobiorefineries[J]. J. Mater. Chem. A, 2023, 11(7): 3297-3314. doi: 10.1039/D2TA09877F
-
[14]
SUN Y D, ZENG C, ZHANG X, ZHANG Z Q, YANG B, GUO S Q. Tendencies of alloyed engineering in BiOX-based photocatalysts: A state-of-the-art review[J]. Rare Met., 2024, 43(4): 1488-1512. doi: 10.1007/s12598-023-02569-6
-
[15]
LI Q, ZHANG J H, XU W, WANG H Q, ZHOU J Y, CHEN Q G, CHEN J M, CHEN D Z. Oxygen vacancies mediated flower-like BiOX microspheres for photocatalytic purification of methyl mercaptan odor: Significant distinction induced by halogen elements[J]. Chem. Eng. J., 2023, 471: 144658. doi: 10.1016/j.cej.2023.144658
-
[16]
ZHANG T, WANG W T, HE M, WANG H, HE Z H, YANG Y, WANG K, LIU Z T. Boosting the solvent-free photocatalytic oxidation of benzylamine to N-benzylenebutylamine over BiOX/TiO2 heterojunction nanoflowers[J]. Sep. Purif. Technol., 2025, 356: 130021. doi: 10.1016/j.seppur.2024.130021
-
[17]
ZHANG S F, GUO J, DENG S S, ZHANG R, ZHU Q Y, LIU Y X, LIN X G, LI Y Y. Multifunctional BiOBr/BiOI3D microspheres for improving visible-light-driven photocatalytic degradation and disinfection efficiency[J]. J. Environ. Chem. Eng., 2024, 12(3): 113017. doi: 10.1016/j.jece.2024.113017
-
[18]
ZHANG J X, DANG J J, GUAN W S. Construction of Z-scheme Fe3O4/BiOBr/BiOI heterojunction with magnetically recyclable for enhanced photocatalytic reaction activity[J]. Chem. Eng. Res. Des., 2024, 210: 382-392. doi: 10.1016/j.cherd.2024.08.043
-
[19]
FANG X, YIN C J, CHEN Z H, XUAN L J, ZHANG Z H, GENG X, LIN J, WU J. Synergizing oxygen vacancy engineering and f-electron doping to promote dynamics of rare-earth-doped bismuth oxyhalides for photocatalysis[J]. J. Colloid Interface Sci., 2025, 690: 137311. doi: 10.1016/j.jcis.2025.137311
-
[20]
DI G L, SHU R Y, HAN D J, DING J W, CHEN Z F, LI X D, WU X W, ZHAO X L. Oxygen vacancy and boron dual sites enable efficient oxygen activation for emerging contaminant degradation: Boosted exciton dissociation via built-in electric field modulation[J]. Appl. Catal. B-Environ., 2025, 362: 124754. doi: 10.1016/j.apcatb.2024.124754
-
[21]
WANG W Y, HU F Y, LI B Q, MA D Q, SHI J, ZHANG Y R, LIU X X, DONG P Y, XI X G, KAWI S. Sulfite-induced surface oxygen vacancy in BiOI for efficient photocatalytic reduction capacity improvement[J]. Appl. Catal. B-Environ., 2025, 367: 125103. doi: 10.1016/j.apcatb.2025.125103
-
[22]
TONG H L, ZHANG J N, SUN B M, SHI H, REN N Q, YOU S J, ZHANG G S. Visible-light photocatalytic oxygen activation by oxygen vacancies-rich BiOI for enhanced removal of bisphenol A in water[J]. Environ. Res., 2025, : 121412.
-
[23]
JAVED M S, NAZIR M A, SHAFIQ Z, ULLAH S, NAJAM T, IQBAL R, ISMAIL M A, TAMANG T L, SHAH S S A. Advanced materials for photocatalytic removal of antibiotics from wastewater[J]. J. Alloy. Compd., 2025, 1010: 177926. doi: 10.1016/j.jallcom.2024.177926
-
[24]
WANG X, ZHANG X F, XIE Y D, SHI Y J, ZHAO C B, LI G L, ZHANG Y B, SHI H X. Construction of novel biochar/g-C3N4/BiOBr heterojunction with S-scheme mechanism for efficient photocatalytic degradation of tetracycline[J]. J. Environ. Chem. Eng., 2024, 12(5): 113469. doi: 10.1016/j.jece.2024.113469
-
[25]
ZHANG X Y, LI W X, HU L Q, GAO M M, FENG J. A tight-connection g-C3N4/BiOBr (001) S-scheme heterojunction photocatalyst for boosting photocatalytic degradation of organic pollutants[J]. Nanomaterials, 2024, 14(13): 1071. doi: 10.3390/nano14131071
-
[26]
WANG J Y, REN P G, ZHANG Y, CAI Z H, CHEN Z Y, JIN Y L, GUO Z Z. Construction of 2D/3D BiOI/g-C3N4 S-scheme heterojunction photocatalysts for photocatalytic degradation of organic pollutants[J]. J. Environ. Manage., 2025, 386: 125789. doi: 10.1016/j.jenvman.2025.125789
-
[27]
LI X W, ZHANG W D, CUI W, SUN Y J, JIANG G M, ZHANG Y X, HUANG H W, DONG F. Bismuth spheres assembled on graphene oxide: Directional charge transfer enhances plasmonic photocatalysis and in situ DRIFTS studies[J]. Appl. Catal. B-Environ., 2018, 221: 482-489. doi: 10.1016/j.apcatb.2017.09.046
-
[28]
HE R, WANG Z Z, DENG F, LI X B, PENG Y Z, DENG Y, ZOU J P, LUO X B, LIU X G. Tunable Bi-bridge S-scheme Bi2S3/BiOBr heterojunction with oxygen vacancy and SPR effect for efficient photocatalytic reduction of Cr(Ⅵ) and industrial electroplating wastewater treatment[J]. Sep. Purif. Technol., 2023, 311: 123176. doi: 10.1016/j.seppur.2023.123176
-
[29]
ZHANG D, TAN G Q, WANG M, LI B, DANG M Y, REN H J, XIA A. The modulation of g-C3N4 energy band structure by excitons capture and dissociation[J]. Mater. Res. Bull., 2020, 122: 110685. doi: 10.1016/j.materresbull.2019.110685
-
[30]
王敏, 辛德华, 罗丹, 章薇. g-C3N4/Bi/BiOI异质结全光谱催化活性的增强机理研究[J]. 陕西科技大学学报, 2023,6,(41): 111-120. WANG M, XIN D H, LUO D, ZHANG W. Study on the enhancement mechanism of full-spectrum driven photocatalytic activity of g-C3N4/Bi/BiOI heterojunction[J]. Journal of Shaanxi University of Science & Technology, 2023, 6(41): 111-120.
-
[31]
HUSSAIN S A, HU J, LIU H Y, ASLAM F, KHAN S, KHAN L, JIAO F P. Preparation of C-doped g-C3N4 by Co-polycondensation of melamine and sucrose for improved photocatalytic H2 evolution[J]. Int. J. Hydrog. Energy, 2024, 87: 705-712. doi: 10.1016/j.ijhydene.2024.09.091
-
[32]
LI Y F, WANG D, LIU J Y, WANG L, WANG H, WANG S Y, WU B, LIU M Y. γ-PGA-dependent growth of BiOBr nanosheets with exposed {010} facets for enhanced photocatalytic RhB degradation[J]. Appl. Surf. Sci., 2025, 688: 162446. doi: 10.1016/j.apsusc.2025.162446
-
[33]
FU H Y, XIAO Y X, ABULIZI A, OKITSU K, REN T Z. Diethanolamine-functionalized BiOI hollow microspheres with negative conduction bands maximize the visible light photocatalytic performance for CO 2 reduction[J]. J. Alloy. Compd., 2024, 984: 173882. doi: 10.1016/j.jallcom.2024.173882
-
[34]
KUATE L J N, CHEN Z Z, YAN Y J, LU J L, GUO F, WEN H B, SHI W L. Construction of 2D/3D black g-C3N4/BiOI S-scheme het-erojunction for boosted photothermal-assisted photocatalytic tetracycline degradation in seawater[J]. Mater. Res. Bull., 2024, 175: 112776. doi: 10.1016/j.materresbull.2024.112776
-
[35]
CHEN F, MA Z Y, YE L Q, MA T Y, ZHANG T R, ZHANG Y H, HUANG H W. Macroscopic spontaneous polarization and surface oxygen vacancies collaboratively boosting CO2 photoreduction on BiOIO 3 single crystals[J]. Adv. Mater., 2020, 32(11): 1908350. doi: 10.1002/adma.201908350
-
[36]
林立, 黄满红, 龙立平, 陈东辉. 分级微球BiOBr和BiOI的制备及光催化活性比较[J]. 应用化工, 2014,43,(08): 1377-1380. LIN L, HUANG M J, LONG L P, CHEN D H. Preparation and photo-catalytic activity comparison of BiOBr and BiOI hierarchical micro-spheres photocatalyst[J]. Appl. Chem. Ind., 2014, 43(08): 1377-1380.
-
[37]
WANG M, TAN G Q, REN H J, LV L, XIA A. Enhancement mechanism of full-solar-spectrum catalytic activity of g-C3N4-x/Bi/Bi2O2(CO3)1-x(Br, I)x heterojunction: The roles of plasma Bi and oxygen vacancies[J]. Chem. Eng. J., 2022, 430: 132740. doi: 10.1016/j.cej.2021.132740
-
[38]
WANG M, XIN D H, ZHANG W, LUO D, TAN G Q. Defects and plasma Ag co-modified S-scheme Ag/NVs-CN/Bi2O2-δCO3 hetero-junction with multilevel charge transfer channels for boosting full-spectrum-driven degradation of antibiotics[J]. J. Alloy. Compd., 2024, 970: 172672. doi: 10.1016/j.jallcom.2023.172672
-
[39]
ZHANG X P, ZHONG Y Y, XIAO T, ZHU X D, JIAO Y, YU Q, QI Z Y. Construction of flower -like BiOI/Bi2O2CO3 p-n heterojunction for photocatalytic degradation of Congo red dye[J]. J. Mol. Struct., 2025, 1336: 142076. doi: 10.1016/j.molstruc.2025.142076
-
[40]
BHARATHI K, BAKIYARAJ G, ARCHANA J, NAVANEETHAN M. p-n ZnCr2O4/Bi2O3 heterojunction as an effective photocatalytic degradation of MB and CIP[J]. Opt. Mater., 2025, 162: 116862. doi: 10.1016/j.optmat.2025.116862
-
[41]
YAN J Y, ZHANG J W, WANG Y, LV J L, ZHANG H B, TONG Z F, YU Y Q, LIU K. Visible light-driven selective oxidation of multiple organic matters by photocatalysis of BiOX (X=I, Br): New insights into the role of oxygen vacancy generation and electron gain/ loss properties of matter[J]. Sep. Purif. Technol., 2025, 361: 131486. doi: 10.1016/j.seppur.2025.131486
-
[42]
WEN C H, LI D G, ZHONG J P, WANG Z Q, HUANG S B, LIU H J, WU J Q, CHEN P, LV W Y, LIU G G. In situ synthesis of S-scheme AgBr/BiOBr for efficient degradation of sulfonamide antibiotics: Synergistic effects of oxygen vacancies and heterojunctions promote exciton dissociation[J]. Chem. Eng. J., 2022, 450: 138075. doi: 10.1016/j.cej.2022.138075
-
[43]
TIAN Y, ZHANG K F, ZHAO H R, PENG B, LIANG J X, CHEN H X, HUANG R F, WEI Y Y, CHEN H Y. Synergetic promotional effect of dual oxygen vacancies and 2D/2D TiO2/BiOBr S-scheme heterostructure for boosted photocatalytic oxytetracycline removal[J]. Colloids Surf. A-Physicochem. Eng. Asp., 2025, 715: 136636. doi: 10.1016/j.colsurfa.2025.136636
-
[44]
GU D, HE J N, BAI Y, CHEN Z X, LI X R, BADR S A, LI D X, LI C S. Boosting photocatalytic rate via internal electric field on g -C3N4/ CNT/ZnIn2S4-x S-scheme heterojunction nanocomposites[J]. Colloids Surf. A-Physicochem. Eng. Asp., 2025, 713: 136533. doi: 10.1016/j.colsurfa.2025.136533
-
[45]
QIAN Z R, ZHANG L, ZHANG Y F, CUI H. Synergistically boosting of CO 2 photoreduction over Bi/BiOBr nanostructure via in-situ formation of oxygen vacancy and metallic Bi[J]. Sep. Purif. Technol., 2023, 324: 124581. doi: 10.1016/j.seppur.2023.124581
-
[46]
FU T, HUANG G F, LIU K, LU C M, WANG L X, XU W C, JIANG X D, TONG Z F, HAN B, ZHANG H B. Multifunctional magnetic bentonite induced hierarchical BiOBr coupling Bi nanoparticles and oxygen vacancies for enhanced photocatalytic performance[J]. Sep. Purif. Technol., 2023, 306: 122555. doi: 10.1016/j.seppur.2022.122555
-
[47]
王敏, 辛德华, 邱云, 章薇, 王玉春, 刘赵荣, 史蒙, 石乐, 谈国强. Ag/Bi2O2CO3肖特基结光催化降解环丙沙星的性能研究[J]. 陕西科技大学学报, 2025,43,(4): 142-160. WANG M, XIN D H, QIU Y, ZHANG W, WANG Y C, LIU Z R, SHI M, SHI L, TAN G Q. Study on photocatalytic degradation performance of ciprofloxacin by Ag/Bi2O2CO3 Schottky junction[J]. Journal of Shaanxi University of Technology, 2025, 43(4): 142-160.
-
[48]
SHEN M Z, CAI X L, CAO B W, CAO J B, ZHAO P, XU Y H. Construction of an S-scheme AgBr/BiOBr heterojunction by in situ hydrolysis for highly efficient photocatalytic reduction of CO2 into CO[J]. J. Alloy. Compd., 2024, 1009: 176905. doi: 10.1016/j.jallcom.2024.176905
-
[49]
WANG M, TAN G Q, FENG S J, DANG M Y, WANG Y, ZHANG B X, REN H J, LV L, XIA A, LIU W L, LIU Y. Defects and internal electric fields synergistically optimized g-C3N4-x/BiOCl/WO2.92 heterojunction for photocatalytic NO deep oxidation[J]. J. Hazard. Mater., 2021, 408: 124897. doi: 10.1016/j.jhazmat.2020.124897
-
[50]
黄信哲, 徐丽惠, 杨悦, 王黎明, 刘章勇, 王忠坚. BiSbO4/BiOBr的制备及其可见光响应光催化性能[J]. 无机化学学报, 2025,41,(2): 284-292. doi: 10.11862/CJIC.20240212HUANG X Z, XU L H, YANG Y, WANG L M, LIU Z Y, WANG Z J. Preparation and visible light responsive photocatalytic properties of BiSbO 4/BiOBr[J]. Chinese J. Inorg. Chem., 2025, 41(2): 284-292. doi: 10.11862/CJIC.20240212
-
[51]
CHANKHANITTHA T, JOHNSON B, BUSHBY R J, BUTBUREE T, KHEMTHONG P, NANAN S. One-pot hydrothermal synthesis of g-C3N4/BiOBr/Bi2MoO6 as a Z-scheme heterojunction for efficient photocatalytic degradation of ciprofloxacin (CIP) antibiotic and rhodamine B (RhB) dye[J]. J. Alloy. Compd., 2024, 1008: 176764. doi: 10.1016/j.jallcom.2024.176764
-
[52]
WANG R, WU J, MAO X, WANG J M, LIU Q Z, QI Y F, HE P, QI X M, LIU G L, GUAN Y. Bi spheres decorated g-C3N4/BiOI Z-scheme heterojunction with SPR effect for efficient photocatalytic removal elemental mercury[J]. Appl. Surf. Sci., 2021, 556: 149804. doi: 10.1016/j.apsusc.2021.149804
-
[53]
DU H Y, MA Y H, DU X Q, ZHANG W T, CHEN X F. 3D/2D CuBi2O4@Bi2O2CO3 Z-scheme heterojunction: The construction of adsorption-photocatalytic synergistic effect for tetracycline hydro-chloride removal[J]. J. Environ. Chem. Eng., 2023, 11(5): 110501. doi: 10.1016/j.jece.2023.110501
-
[54]
QI Y, ZHANG J J, LI W Y, ZHANG X C, GUO T Y, ZHANG C. Facile construction of SPR effect assisted Bi2O2CO3/Bi/BiOCl Z-scheme heterostructure for robust photocatalytic decontamination of RhB[J]. Appl. Surf. Sci., 2024, 669: 160543. doi: 10.1016/j.apsusc.2024.160543
-
[55]
WANG M, XIN D H, TAN G Q, QIU Y, ZHANG W, SHI M, SHI L. Defects and polarization charge cooperatively optimized Z-scheme NVs-g-C3N4/Bi/BiO1-xI heterojunction for full-spectrum catalytic organic pollutants mineralization and NO deep oxidation[J]. J. Alloy. Compd., 2025, 1027: 180651. doi: 10.1016/j.jallcom.2025.180651
-
[56]
MA X Y, CHEN Q F, CHEN J X, LIAO Y J, CAI L T, CHEN L S, WANG N N, ZHU Y Q, HUANG Z Y. Construction and in-situ thermodynamics/kinetics studies on Ag-bridged g-C3N4-{002}/BiOBr -{001} facet Z-scheme heterojunction with crystal plane synergistic effect based on photocalorimetry-spectroscopy technology[J]. J. Catal., 2022, 413: 891-906. doi: 10.1016/j.jcat.2022.07.040
-
[57]
HE J, WANG X D, JIN S B, LIU Z Q, ZHU M S. 2D metal-free heterostructure of covalent triazine framework/g-C3N4 for enhanced photo-catalytic CO2 reduction with high selectivity[J]. Chin. J. Catal., 2022, 43(5): 1306-1315. doi: 10.1016/S1872-2067(21)63936-0
-
[58]
PENG X Y, TIAN J Y, ZHANG S, XIAO W, TIAN X Z, WANG Y B, XUE J Q, LEI D S. Z-scheme transfer pathway assisted photoelectro-catalyst Zn2SnO4/rGO/Ag/AgBr for organic pollutants treatment[J]. Colloids Surf. A-Physicochem. Eng. Asp., 2023, 657: 130552. doi: 10.1016/j.colsurfa.2022.130552
-
[59]
GE W, LIU K, DENG S K, SHEN L X, YANG P Z. Z-scheme g-C3N4/Bi6Fe1.5Co0.5Ti3O18 heterojunctions with enhanced visible-light photo-catalytic activity towards organics degradation[J]. Appl. Surf. Sci., 2022, 572: 151289. doi: 10.1016/j.apsusc.2021.151289
-
[60]
WANG H, SUN X S, LI D D, ZHANG X D, CHEN S C, SHAO W, TIAN Y P, XIE Y. Boosting hot-electron generation: Exciton dissociation at the order-disorder interfaces in polymeric photocatalysts[J]. J. Am. Chem. Soc., 2017, 139(6): 2468-2473. doi: 10.1021/jacs.6b12878
-
[61]
XUE W H, LIU Y X, MA X Y, YE J, BAI X, ZHAO J, LIU B. Tuning the equilibrium of excitons and carriers in the (001) plane-exposed bismuth oxyhalide enables efficient selective photocatalytic oxidation of 5-hydroxymethylfurfural[J]. ACS Catal., 2025, 15(11): 9621-9632. doi: 10.1021/acscatal.5c01486
-
[62]
赵强, 郭智楠, 李淑英, 王俊丽, 李作鹏, 贾治芳, 王科伟, 郭永. Z型异质结Cu2O/Bi2MoO6的构建及光催化降解性能[J]. 无机化学学报, 2024,40,(5): 885-894. doi: 10.11862/CJIC.20230435ZHAO Q, GUO Z N, LI S Y, WANG J L, LI Z P, JIA Z F, WANG K W, GUO Y. Cu2O/Bi2MoO6 Z-type heterojunction: Construction and photocatalytic degradation properties[J]. Chinese J. Inorg. Chem., 2024, 40(5): 885-894. doi: 10.11862/CJIC.20230435
-
[63]
ASADPOOR R, HABIBI D, AGHABABAEI N. Integrated dual Z-scheme n-n-p/Schottky junctions upon Ni-ZnO/Bi2WO6/PANI for increased photocatalytic ciprofloxacin degradation under visible light[J]. Sep. Purif. Technol., 2025, 363: 132060. doi: 10.1016/j.seppur.2025.132060
-
[64]
RUAN X W, MENG D P, HUANG C X, XU M H, JIAO D X, CHENG H, CUI Y, LI Z Y, BA K K, XIE T F, ZHANG L, ZHANG W, LENG J, JIN S Y, RAVI S K, JIANG Z F, ZHENG W T, CUI X Q, YU J G. Artificial photosynthetic system with spatial dual reduction site enabling enhanced solar hydrogen production[J]. Adv. Mater., 2024, 36(9): 2309199. doi: 10.1002/adma.202309199
-
[65]
CHEN X, GUO R T, PAN W G, YUAN Y, HU X, BI Z X, WANG J. A novel double S-scheme photocatalyst Bi7O9I3/Cd0.5Zn0.5S QDs/ WO3-x with efficient full-spectrum-induced phenol photodegradation[J]. Appl. Catal. B-Environ., 2022, 318: 121839. doi: 10.1016/j.apcatb.2022.121839
-
[66]
XIN D H, WANG M, YANG Y, ZHANG W. Preparation of double S-scheme NaBiO3/BiO2-x/Bi2O2CO3 heterojunction and the enhancement mechanism of full-spectrum driven degradation activity toward antibiotics[J]. Opt. Mater., 2024, 154: 115756. doi: 10.1016/j.optmat.2024.115756
-
[67]
SONG Y Y, SUN X B, NGHIEM L D, DUAN J, LIU W, LIU Y D, CAI Z Q. Novel ultrathin Bi@Fe-based metal-organic frameworks nanosheets for efficient solar-driven photocatalytic water purification: Synergistic effect of localized surface plasmon resonance and high-density exposed metal active centers[J]. J. Colloid Interface Sci., 2025, 689: 137250. doi: 10.1016/j.jcis.2025.137250
-
[68]
YANG J J, LI L, XIAO C, XIE Y. Dual-plasmon resonance coupling promoting directional photosynthesis of nitrate from air[J]. Angew. Chem.-Int. Edit., 2023, 62(47): e202311911. doi: 10.1002/anie.202311911
-
[1]
-
图 7 (a) NVCN、BiOBr和BiOI的UV-Vis DRS; (b) BBOB、BBOI、BBOBI、CN/BBOB、CN/BBOI和CN/BBOBI的UV-Vis-NIR DRS; NVCN、BiOBr和BiOI的(c) Kubelka-Munk转换曲线和(d) XPS-VB谱图
Figure 7 (a) UV-Vis DRS of NVCN, BiOBr, andBiOI; (b) UV-Vis-NIR DRS of BBOB, BBOI, BBOBI, CN/BBOB, CN/BBOI, and CN/BBOBI; (c) Kubelka-Munk transformation curves and (d) XPS-VB spectra of NVCN, BiOBr, and BiOI
图 8 所制备样品在(a) 可见光和(b) 近红外光照射下对CIP的降解曲线及(c) 相应的TOC去除率; CN/BBOBI在(d) 可见光和(e) 近红外光照射下降解CIP的循环实验结果; (f) CN/BBOBI循环前后的XRD图
Figure 8 Degradation curves of CIP by the prepared samples under (a) visible light and (b) NIR light irradiation, and (c) the corresponding TOC removal rates; Results of cyclic experiments on the degradation of CIP by CN/BBOBI under (d) visible light and (e) NIR light irradiation; (f) XRD patterns of CN/BBOBI before and after cycling
图 9 (a) 所制备样品的PL谱图; (b) NVCN和(c) CN/BBOBI的TRPL谱图; NVCN、BBOBI和CN/BBOBI在可见光照射下的(d) EIS和(e) 瞬态光电流响应曲线
Figure 9 (a) PL spectra of the prepared samples; TRPL spectra of (b) NVCN and (c) CN/BBOBI; (d) EIS and (e) transient photocurrent response curves of NVCN, BBOBI, and CN/BBOBI under visible light irradiation
图 10 CN/BBOBI在(a) 可见光和(b) 近红外光照射下的自由基捕获实验结果; CN/BBOBI在(c) 可见光和(d) 近红外光照射下所产生的DMPO-·O2-和DMPO-·OH的EPR谱图
Figure 10 Results of free radical capture experiments by CN/BBOBI under (a) visible light and (b) NIR light irradiation; EPR spectra of DMPO-·O2- and DMPO-·OH produced by CN/BBOBI under (c) visible light and (d) NIR light irradiation
表 1 所制备样品的BET比表面积和孔结构参数
Table 1. BET specific surface areas and pore structure parameters of the prepared samples
Sample Specific surface area / (m2·g-1) Average pore diameter / nm Total pore volume / (cm3·g-1) NVCN 72 16.71 0.41 BBOB 11 19.19 0.05 BBOI 24 19.34 0.11 BBOBI 27 19.42 0.12 CN/BBOB 37 19.11 0.19 CN/BBOI 42 19.39 0.21 CN/BBOBI 45 19.50 0.29 表 2 EIS的拟合数据
Table 2. Fitting data of EIS
Sample Rs / Ω C / mF Rct / kΩ Error / % NVCN 22.07 0.131 3 10.45 ≤5.39 BBOBI 23.33 0.142 0 8.081 ≤5.38 CN/BBOBI 24.02 0.154 1 5.461 ≤5.33 -
扫一扫看文章
计量
- PDF下载量: 2
- 文章访问数: 2862
- HTML全文浏览量: 308

下载:
下载:
下载: