Citation: Tengyue ZHANG, Jingjing FENG, Zili LIANG, Jia′nan DAI, Jing MA. Optimization of C-doped BiVO4 performance for tetracycline degradation using response surface methodology-assisted orthogonal experiments[J]. Chinese Journal of Inorganic Chemistry, 2025, 41(12): 2561-2574. doi: 10.11862/CJIC.20250104
响应面法辅助正交实验优化C掺杂BiVO4降解四环素的性能
-
关键词:
- 光催化剂
- / 响应面法辅助正交实验
- / 钒酸铋
- / C掺杂BiVO4
- / 四环素
English
Optimization of C-doped BiVO4 performance for tetracycline degradation using response surface methodology-assisted orthogonal experiments
-
0. 引言
四环素(TC)作为使用最广泛的抗生素之一,具有难降解性和潜在的生态毒性,传统污水处理工艺难以有效将其去除,因此开发高效、环保的TC降解技术至关重要[1-3]。半导体光催化技术因其环境友好性和高效氧化能力,在有机污染物降解领域展现出巨大的潜力[4-6]。该技术可以产生具有较强氧化性的活性物种,包括空穴(h+)、羟基自由基(·OH)和超氧自由基(·O2-),能有效分解难降解的有机污染物。在众多可见光响应的催化剂中,钒酸铋(BiVO4)因其适宜的带隙(2.4 eV)、良好的化学稳定性和无毒害等优点,成为了近年来的研究热点[7-10]。然而,纯BiVO4存在光生电子(e-)-h+对易复合、可见光响应范围有限等缺点,从而限制了其实际应用。
非金属元素掺杂是提升BiVO4光催化性能的有效策略。在不同掺杂剂中,碳作为一种丰富且环保的非金属元素,可有效调节光催化剂的电子结构,促进电荷分离效率[11-13]。Gustavsen等[14]使用密度泛函理论计算了碳掺杂对TiO2的影响,发现碳掺杂后TiO2的电子结构得到了有效改善。还有研究者[15]将碳原位掺杂到BiVO4中,实现了改性材料与助催化剂的复合,制备出的光阳极具有强电子转移能力。然而,目前关于碳掺杂BiVO4降解抗生素的系统研究仍然有限[16],特别是缺乏对影响其性能的关键因素的定量分析。
材料合成工艺的优化对提高光催化性能至关重要。正交实验和响应面法(RSM)作为优化多因素实验的有效工具,能够系统评估各因素对材料性能的影响程度。其中,正交实验能够在较少实验次数下快速筛选主要影响因素[17-19],而RSM则能精确描述因素间的交互作用并预测最佳工艺参数[20-22]。然而,在现有的研究中,这2种方法往往单独使用,各有局限性。Zhang等[23]利用正交实验成功优化了CoAl-LDH/PS体系对恩诺沙星的降解条件,显著提高了该体系的光催化性能。但该研究仅考虑了单一因素的主效应,忽略了各因素间的交互作用。Ma等[24]使用TC降解速率和光子通量作为响应变量,采用RSM优化了m-TiO2@CdS的制备工艺,确定了最佳的工艺参数。但这种方法需要大量前期实验确定关键因素,耗时费力且可能错过重要参数。此外,将这些优化方法应用于非金属元素掺杂BiVO4合成过程的研究仍鲜有报道[25],特别是缺乏对碳掺杂BiVO4(C-BiVO4)制备工艺的系统优化研究。
针对当前研究中存在的不足,我们创新性地提出了一种RSM辅助正交实验的优化策略,通过2种方法的优势互补,系统优化了C-BiVO4光催化剂的性能。我们重点考察了反应时间、反应温度、硝酸与水的体积比以及葡萄糖加入量等因素对材料降解TC性能的影响,揭示了各因素的作用机制及交互效应。同时,系统研究了碳掺杂量对BiVO4光催化性能的影响规律,并通过X射线衍射(XRD)、扫描电子显微镜(SEM)、紫外可见漫反射光谱(UV-Vis DRS)、光致发光(PL)光谱和电化学测试等表征技术,深入分析了材料的结构、形貌及光电化学特性。此外,结合X射线光电子能谱(XPS)和自由基捕获实验,进一步阐明了C-BiVO4光催化降解TC的反应机理。基于实验数据,我们建立了工艺参数与光催化性能之间的定量关联模型,不仅显著推进了C-BiVO4光催化剂的研究进展,也为其他光催化材料的设计与优化提供了新的理论依据和参考方法。
1. 实验部分
1.1 实验试剂
五水合硝酸铋(Bi(NO3)3·5H2O,AR)和偏钒酸铵(NH4VO3,AR)购自上海麦克林有限公司;葡萄糖(CH2OH(CHOH)4CHO,AR)购自天津市大茂化学试剂厂;氨水(NH3·H2O,25%~28%)购自天津富宇精细化工有限公司;硝酸(HNO3,65.0%~68.0%)购自西安三浦化学试剂有限公司;乙醇(C2H5OH,AR)购自上海化学丽晶有限公司。实验所用水为去离子水。所有化学试剂均为分析级,使用时无须进一步纯化。
1.2 C-BiVO4的制备
采用水热法制备C-BiVO4,具体步骤如下:称取0.72 g(1.5 mmol) Bi(NO3)3·5H2O溶解于2 mol·L-1的硝酸溶液中,通过磁力搅拌使其完全溶解,得到溶液A。同时,将0.17 g(1.5 mmol) NH4VO3溶于60 ℃去离子水中,充分搅拌至溶解均匀,得到溶液B。将B溶液逐滴加入A溶液中,混合均匀后,用氨水调节溶液的pH至7.0,加入预设量的葡萄糖(碳源),继续搅拌30 min形成前驱体溶液。将前驱体溶液转移至50 mL聚四氟乙烯内衬的不锈钢反应釜中,在预设温度下反应特定时间。反应完成后,自然冷却至室温,将所得沉淀物通过离心收集,并用去离子水和无水乙醇各洗涤3次,以去除残留离子和有机物。最后,将样品在60 ℃条件下干燥6 h,得到光催化剂xC-BiVO4-y(x为理论碳质量分数,即添加的葡萄糖中的碳元素质量与C-BiVO4样品质量之比,x=0.9%、2.7%、4.5%、7.2%;y为正交实验编号,y=1~16)。
1.3 RSM辅助正交实验设计
基于前期单因素实验结果和文献报道,选择反应时间(A)、反应温度(B)、硝酸与水的体积比(C)及葡萄糖加入量(D)作为关键影响因素,每个因素设置4个水平,其中A=6、12、18、24 h;B=100、120、150、180 ℃;C=0.5∶1、0.75∶1、1∶1、1.25∶1;D=0.01、0.03、0.05、0.08 g。采用L16(45)正交设计进行实验优化,表 1列出了各因素的水平设置,表 2则展示了具体的正交实验设计方案,其中E为误差列(由正交表结构专设,用以估计实验随机误差)。为进一步验证正交实验结果并探究各因素间的交互作用,采用Box-Behnken设计进行响应面分析,以TC降解效率为响应值,建立二次多项式回归模型。在探究各因素之间的交互作用时,其余因素均固定在Box-Behnken设计的中心点水平,即反应时间为15 h、反应温度为140 ℃、硝酸和水的体积比为0.875∶1、葡萄糖加入量为0.045 g,确保在分析各因素交互效应时消除其他变量的干扰。最后,通过验证实验确认模型的准确性,实现对C-BiVO4光催化性能的精准调控。
表 1
表 1 合成C-BiVO4的L16(45)正交实验因素与水平Table 1. Orthogonal experimental factors and levels for synthesizing C-BiVO4 based on L16(45)Level A / h B / ℃ C D / g 1 6 120 0.75∶1 0.05 2 18 100 1∶1 0.03 3 12 150 0.5∶1 0.01 4 24 180 1.25∶1 0.08 表 2
表 2 基于L16(45)正交表的C-BiVO4实验设计方案Table 2. Experimental design scheme of C-BiVO4 based on L16(45) orthogonal arrayy A / h B / ℃ C D / g E 1 6 120 0.75∶1 0.05 1 2 6 100 1∶1 0.03 2 3 6 150 0.5∶1 0.01 3 4 6 180 1.25∶1 0.08 4 5 18 120 1∶1 0.01 4 6 18 100 0.75∶1 0.08 3 7 18 150 1.25∶1 0.05 2 8 18 180 0.5∶1 0.03 1 9 12 120 0.5∶1 0.08 2 10 12 100 1.25∶1 0.01 1 11 12 150 0.75∶1 0.03 4 12 12 180 1∶1 0.05 3 13 24 120 1.25∶1 0.03 3 14 24 100 0.5∶1 0.05 4 15 24 150 1∶1 0.08 1 16 24 180 0.75∶1 0.01 2 1.4 材料表征
采用德国Bruker D8 X射线衍射仪(XRD)对催化剂进行结构表征,光源为Cu Kα辐射,波长为0.154 nm,电压为20 kV,电流为20 mA,扫描范围为10°~80°,扫描速率为10 (°)·min-1。拉曼光谱用于分析光催化剂的晶型和相变情况,采用LabRAM HR Evolution拉曼分光光度计在100~2 500 cm-1范围内对样品进行测量。使用场发射扫描电子显微镜(Gemini SEM500)观测样品的微观形貌,工作电压为5 kV。使用PHI VersaProbe 4型X射线光电子能谱仪测试样品表面化学状态,以Al Kα射线作为光源,测试时用C1s(284.6 eV)标准峰进行峰位校正。以BaSO4为参比,采用Lambda 850+紫外可见分光光度计记录UV-Vis DRS(检测波长范围为200~800 nm),以研究样品的光学吸收特性。PL由Fluorolog3光谱仪记录,使用氙灯,激发波长为247 nm。
利用上海辰华CHI660E电化学工作站对材料进行光电流(I-t)和电化学阻抗(EIS)测试,采用三电极工作系统,以自制电极为工作电极,对电极和参比电极分别为1 cm×1 cm Pt片和饱和甘汞电极,电解质溶液为0.5 mol·L-1 Na2SO4。工作电极制备方法:称取20 mg样品并超声分散于5 mL无水乙醇溶液中,将超声后的溶液用杜邦膜溶液(Nafion,5%)辅助涂覆于氧化锡玻璃(FTO,1 cm×1 cm)上,随后置于真空干燥箱中60 ℃下干燥1 h,制成工作电极。
1.5 材料性能测试
为了评价C-BiVO4的光催化性能,在模拟太阳光照射下研究了TC的降解。将50 mg光催化剂加入100 mL 20 mg·L-1的污染物水溶液中,在黑暗条件下搅拌30 min,使催化剂与TC达到吸附-脱附平衡。随后,利用300 W氙灯模拟太阳光对溶液进行分解。每隔20 min取4 mL样品,以9 000 r·min-1离心分离混合液,并使用722 N型紫外可见分光光度计,以去离子水为背景,测量样品在356 nm处的吸光度[26],之后由Lambert-Beer定律分析TC的质量浓度变化,TC的降解效率(Y)由式1计算:
$ Y=\frac{{\rho }_{0}-{\rho }_{t}}{{\rho }_{0}}\times 100\%=\frac{{A}_{0}-{A}_{t}}{{A}_{0}}\times 100\% $ (1) 其中,ρ0代表TC溶液的初始质量浓度,ρt为t时刻的TC溶液的质量浓度,A0为TC溶液的初始吸光度,At为t时刻TC溶液的吸光度。
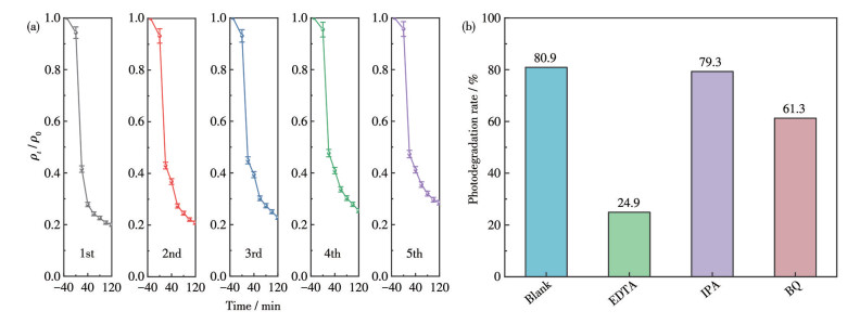
在循环实验中,每次降解反应结束后,降解溶液经高速离心、多次水洗和醇洗、烘干处理得到光催化剂,并重复使用4次,根据每次降解后抗生素污染物的浓度变化差异来评价催化剂的循环使用性能。自由基捕获实验中分别用乙二胺四乙酸(EDTA,2 mmol·L-1)、异丙醇(IPA,10 mmol·L-1)和对苯醌(BQ,0.1 mmol·L-1)作为h+、·OH和·O2-的捕获剂进行检测,探究复合材料的光催化机理。
2. 结果与讨论
2.1 RSM辅助正交实验结果分析
以TC的降解效率为评价指标,对正交实验数据进行分析,该参数极差分析结果如表 3所示。数据显示,因子D的极差(R=0.252),远大于误差列E,表明该因子对降解效率的影响最为显著,且其效应明显高于实验随机误差。各影响因素的权重顺序为D > C > A > B,最优工艺参数组合为A3B2C2D3,即因素A为水平3(12 h)、因素B为水平2(100 ℃)、因素C为水平2(1∶1)、因素D为水平3(0.01 g)。均值方差反映了数据集的离散化程度,直接显示了各因子水平波动对评价指标的影响程度,为了进一步确证各因素对TC降解的影响显著性,对实验数据进行方差分析(表 4)。其中,F用于衡量因素效应与随机误差的比率,P用于判断因素的显著性。基于显著性检验筛选出TC降解过程的关键影响因素[27],当P < 0.05时,因素被认为对TC降解效率具有统计学显著影响。结果表明,因子D的P=0.016 1(< 0.05),证实其对光催化性能有显著影响。相比之下,因子A、B以及C的P≥0.05,说明这3个因素对TC的降解效率无显著影响,此分析结果与极差分析所得结论一致,进一步验证了葡萄糖加入量在C-BiVO4合成过程中的关键作用。
表 3
表 3 基于L16(45)正交表的C-BiVO4极差分析结果Table 3. Range analysis results of C-BiVO4 based on L16(45) orthogonal array*Parameter A B C D E K1 2.248 2.256 2.642 2.321 2.358 K2 2.457 2.666 2.701 2.425 2.490 K3 2.669 2.419 2.074 2.926 2.612 K4 2.217 2.250 2.174 1.919 2.131 k1 0.562 0.564 0.661 0.580 0.590 k2 0.614 0.666 0.675 0.606 0.622 k3 0.667 0.605 0.519 0.732 0.653 k4 0.554 0.562 0.544 0.480 0.533 R 0.113 0.104 0.157 0.252 0.120 Optimal level A3 B2 C2 D3 *Km (m=1, 2, 3, 4) represents the sum of TC degradation efficiency for factors (A, B, C, D) at the m level; km is the average value of Km (km=Km/N, where N is the number of experimental repetitions at that level). 表 4
表 4 基于L16(45)正交表的C-BiVO4方差分析结果Table 4. Variance analysis results of C-BiVO4 based on L16(45) orthogonal arrayVariance source Sum of squared deviation Degree of freedom Mean square F P A 0.033 1 3 0.011 0 2.057 3 0.207 5 C 0.076 6 3 0.025 5 4.758 4 0.050 0 D 0.128 8 3 0.042 9 8.000 0 0.016 1 E 0.032 2 6 0.005 4 基于正交实验分析结果,确定了TC降解效率的最优工艺参数组合为A3B2C2D3。在此条件下制备的样品展现了79.30%的TC降解效率,与样品0.9%C-BiVO4-10的性能相当,证实了该工艺参数组合的有效性。为深入探究各因素间的交互作用并构建定量预测模型,我们引入RSM进行进一步优化分析。
通过RSM分析建立了降解效率与工艺参数间的二次多项式回归模型,如式2所示。
$ \begin{aligned} Y= & 79.04-2.41 A-1.23 B+146.36 C+843.86 D+ \\ & 42.87 A D+0.49 B C-8.17 B D-93.098 C D+ \\ & 0.0046 B^2-86.27 C^2 \end{aligned} $ (2) 其中,该模型不仅量化了各因素的主效应,还解析因素间的交互作用,为工艺参数的优化调控提供了可靠的理论依据。
通过多元回归模型拟合度指标与方差分析(ANOVA)(表 5)验证模型可靠性。模型决定系数(R2=0.967 1)表明该模型对变量间关系具有较强解释能力,调整决定系数(RAdj2)与预测决定系数(RPred2)差值为0.165 4(< 0.2),证实模型预测能力良好。变异系数(CV)为6.56%,低CV值(< 10%)表明数据离散程度可控,结果可靠性较高。因子A(P=0.026 1)、C(P=0.006 4)和D(P=0.000 1)对TC降解效率具有显著影响,其中因子D影响最为显著(F=59.41)。此外,多个交互项(AD、BC、BD、CD)及二次项(B2、C2)均呈现显著性影响(P < 0.05),表明工艺参数间存在复杂的非线性关系。图 1所示响应面和等值线图直观展现了这些交互作用,为工艺优化提供了可视化依据。
表 5
Factor Sum of squares Degree of freedom Mean square F P A 129.82 1 129.82 7.90 0.026 1 B 76.13 1 76.13 4.64 0.068 3 C 241.67 1 241.67 14.72 0.006 4 D 975.68 1 975.68 59.41 0.000 1 AD 480.48 1 480.48 29.26 0.001 0 BC 92.21 1 92.21 5.62 0.049 6 BD 269.84 1 269.84 16.43 0.004 8 CD 309.90 1 309.90 18.87 0.003 4 B2 150.20 1 150.20 9.15 0.019 3 C2 457.50 1 457.50 27.86 0.001 2 R2=0.967 1; RAdj2=0.920 1; RPred2=0.754 7; CV=6.56%. 图 1
图 1. TC降解效率的(a、c、e) 响应面和(b、d、f) 等值线图:(a、b) 葡萄糖加入量和温度的交互作用; (c、d) 时间和温度的交互作用; (e、f) 时间和葡萄糖加入量的交互作用Figure 1. (a, c, e) Response surface and (b, d, f) contour plots of TC degradation efficiency: (a, b) interaction between glucose dosage and temperature; (c, d) interaction between time and temperature; (e, f) interaction between time and glucose dosage图 1a和1b展示了在反应时间为15 h、硝酸与水体积比为0.875∶1的条件下,温度与葡萄糖加入量对TC降解效率的交互影响,响应面呈典型的“山脊型”,在约165 ℃和0.045 g葡萄糖加入量的条件下,降解效率达到最优,超过75%。值得关注的是,响应面在高温-高葡萄糖加入量区域(右上角)出现明显的降解效率下降,这表明过量的碳掺杂在高温条件下会导致BiVO4晶格结构扭曲,形成更多的缺陷态,反而成为e--h+复合中心。在硝酸与水体积比为0.875∶1、葡萄糖加入量为0.045 g的条件下,温度-时间响应面呈现不对称的椭圆形等高线分布(图 1c和1d),表明二者之间存在非线性耦合关系。在低温区域(100~130 ℃),延长反应时间可显著提升降解效率;而在高温区域(150~180 ℃),时间对降解效率的影响减弱,等高线间距增大。在反应温度为140 ℃、硝酸与水体积比为0.875∶1的条件下,图 1e和1f揭示了反应时间与葡萄糖加入量之间复杂的相互制约关系,该响应曲面呈现出不对称的斜坡状形态,暗示了反应过程中存在多重作用机制。在适中的葡萄糖量和10~20 min的反应时间范围内,可获得较高的降解效率。超出这些最佳范围,降解效率会出现下降。根据等高线可以看出,最佳葡萄糖加入量随反应时间的延长呈现先增后减的趋势,这可能是由于过量的葡萄糖与活性位点竞争或催化剂在延长反应时间下发生热失活所致。
综合RSM辅助正交实验分析结果显示,葡萄糖加入量是影响C-BiVO4光催化降解TC效率的决定性因素,其F(59.41)和P(0.000 1)均显示出极高的统计学显著性。此外,RSM辅助正交实验结果揭示了工艺参数间复杂的交互作用,特别是AD、BD以及CD的交互效应对催化性能具有显著影响。基于此,后续研究将聚焦碳掺杂量对BiVO4晶体结构、形貌及光电性能的调控机制,以阐明其对TC降解性能的影响机理。
2.2 材料物相结构分析
XRD分析(图 2)揭示了C-BiVO4晶体结构的变化。少量碳含量的增加使得24.41°处四方相BiVO4(PDF No.14-0133)特征峰逐渐消失,同时18.95°、28.86°、30.62°处单斜相BiVO4(PDF No.14-0688)衍射峰增强,表明碳掺杂促使了四方相向单斜相的转变,这种相变优化了晶格结构。特别是,0.9%C-BiVO4-10样品中(110)晶面衍射强度增强,这与响应面模型预测的结果一致,即在适宜温度下,低葡萄糖加入量同样有助于提升晶体的结晶度。此外,XRD图显示,当葡萄糖加入量超出最佳范围时,衍射峰宽化且强度下降,表明过量碳掺杂导致BiVO4晶格结构畸变和结晶度降低。这一结构演变趋势与RSM辅助正交实验中确定的葡萄糖加入量为最显著影响因素相吻合,从晶体结构角度揭示了碳掺杂量对BiVO4相结构和晶体完整性的调控作用。
图 2
图 3进一步探究了碳掺杂量对BiVO4晶体结构的调控作用。掺杂量为0.9%和2.7%时,826 cm-1处的BiVO4对称V—O拉伸峰和720 cm-1处的非对称V—O键拉伸峰强度增强。此外,随着碳掺杂量的增加,在1 588 cm-1处逐渐出现碳材料的G峰,证实了碳的成功引入。然而,过量碳掺杂导致323和366 cm-1处VO43-四面体振动峰强度减弱,表明晶体对称性被破坏[28]。这些拉曼光谱特征变化揭示了碳掺杂对BiVO4晶体结构的双重影响:适量掺杂能够增强特征峰强度,优化晶体结构;而过量掺杂则会干扰VO43-四面体的振动模式,降低晶体对称性。
图 3
图 4揭示了碳掺杂量对BiVO4形貌演变的决定性影响,为响应面模型中各因素交互作用提供了直观证据。纯BiVO4(图 4a)呈现不规则颗粒与立方体混合形貌,对应的XRD图中检测到了四方相和单斜相共存。随着葡萄糖含量的增加,BiVO4的形貌逐渐变为更加规则的大面积片状结构,且片状的边缘更加清晰。这种形貌变化主要归因于葡萄糖在反应过程中通过吸附作用选择性附着在BiVO4的(110)晶面上,减缓了该晶面的生长速率,促进其他晶面的横向扩展,使晶体在二维方向上的生长更加显著,最终形成规则的片状结构[29]。具体而言,0.9%C-BiVO4-10(图 4b)呈现出由颗粒态向片层结构过渡的中间形貌。2.7%C-BiVO4-11样品(图 4c、4d)展现出均匀的片状结构,低倍SEM图(图 4c)显示其表面由大量交织的片状单元构成三维网络,高倍图像(图 4d)进一步揭示片层间存在有序堆叠和交联。当碳掺杂量提高至4.5%(图 4e),片状结构明显增厚并且边缘逐渐模糊。掺杂量达7.2%(图 4f)时,发生结构碎片化并出现团聚现象,导致反应活性位点减少。图 4g为能量色散X射线谱(EDS)元素映射图,图中Bi、O、V、C元素分布均匀,表明碳成功掺杂。与未掺杂BiVO4相比,适量碳掺杂形成规则片状结构,有效增大了材料的比表面积,为光催化反应提供了更多活性位点;片层间构建的三维网络结构也有利于反应物传质,提升了光生载流子的分离效率。然而,过量碳掺杂所引起的片层结构畸变和团聚会引入无序区域,反而促进载流子复合。这一演变趋势映射了图 1a中的“山脊型”,进一步表明适宜的碳掺杂量有利于晶体的完整性和结晶程度,也证实了形貌调控是碳掺杂增强光催化活性的关键机制之一。
图 4
2.3 表面化学分析
通过XPS分析了BiVO4及掺杂后BiVO4的表面元素组成和化学价态,高分辨XPS谱图清晰地显示了各元素的典型自旋轨道峰(图 5)。从图 5a中可以看到,样品中存在Bi、V、O和C元素。根据图 5b,在BiVO4中Bi4f7/2和Bi4f5/2的结合能分别从158.5和164.3 eV偏移至158.8和164.6 eV,说明Bi原子周围电子云密度发生改变[30],并且结合能向更高的方向偏移,这表明在掺杂后的催化剂中,铋元素携带更强的正电荷,并倾向于过渡到稳定的氧化态。Bi—O键的存在由结合能为529.3和531.1 eV的2个峰证实(图 5c),分别对应于晶格氧(M—O)和表面吸附氧(—OH)[31]。然而,在531.8 eV处没有观察到属于O1s的峰,表明没有产生氧空位。图 5d中,V2p3/2和V2p1/2的结合能也发生了类似图 5b的偏移。图 5e为C1s的高分辨XPS谱图,0.9%C-BiVO4-10中284.8 eV处的特征峰对应于表面吸附的非极性碳(C—C键),286.6 eV处的峰归属于C—O键,在其余位置没有观察到碳元素的其他特征峰[32-33]。与纯BiVO4相比,0.9%C-BiVO4-10中Bi4f、V2p3/2和O1s的结合能均向更高的结合能方向偏移,表明原子周围的电子云密度降低,这很可能是由于电负性较高的碳原子以含氧官能团的形式掺杂进入BiVO4晶格间隙,C—O键吸引周围原子形成更强的共价键,从而改变了Bi、V和O的局域电子环境。这一电子结构变化与响应面分析揭示的温度和葡萄糖加入量交互作用密切相关,解释了为何在特定温度和葡萄糖加入量组合下,样品能获得最优的光催化性能。XPS结果还证实了碳掺杂引入的电子结构调控是正交实验中因子D显著影响的微观机制。
图 5
2.4 光电化学分析
光催化剂的UV-Vis DRS如图 6a所示。纯BiVO4的吸收边为514 nm,7.2%C-BiVO4-4的光吸收边为562 nm,增强的光吸收能力得益于碳的引入。随着碳含量的增加,C-BiVO4材料的光吸收边增大,吸收边缘向可见光区域红移,拓宽了光吸收范围。这归因于碳和BiVO4之间的协同效应降低了价带(VB)中电子跃迁所需的激发能[34]。图 6b展现了样品的带隙。结果表明,BiVO4的带隙约为2.48 eV,0.9%C-BiVO4-10、2.7%C-BiVO4-11、4.5%C-BiVO4-7和7.2%C-BiVO4-4的带隙分别为2.52、2.39、2.43和2.31 eV。结合带隙和XPS-VB谱图(图 6c),可以计算出导带(CB)的位置,从而可以进一步探讨可见光照射下TC在C-BiVO4上光降解的可能机理。e--h+对的分离和复合情况通过PL光谱得到(图 6d),随着碳含量的增大,材料的荧光发射强度先减小再增大。相较于BiVO4,掺杂少量碳的C-BiVO4的发光强度变低,表明电子的有效转移,从而降低e--h+对的复合速率。通过I-t曲线和EIS进一步研究了C-BiVO4催化剂光激发载流子的界面电荷分离和转移动力学。如图 6e所示,当可见光源打开时,光催化剂的光电流响应逐渐增加。将碳掺杂到BiVO4形成复合材料后,瞬态光电流响应增加,其中0.9%C-BiVO4-10表现出最高的光电流密度。EIS如图 6f所示,样品的半圆直径从小到大排列为0.9%C-BiVO4-10、7.2%C-BiVO4-4、BiVO4。C-BiVO4的半圆直径缩小,表明界面电荷转移阻抗降低,进一步验证了RSM辅助正交实验分析结果的可靠性。
图 6
图 6. BiVO4和xC-BiVO4-y的(a) UV-Vis DRS和(b) 外推能带谱; (c) BiVO4和0.9%C-BiVO4-10的XPS-VB光谱图; BiVO4和xC-BiVO4-y的(d) PL光谱、(e) EIS和(f) I-t曲线Figure 6. (a) UV-Vis DRS and (b) extrapolated band gap spectra of BiVO4 and xC-BiVO4-y; (c) XPS-VB spectra of BiVO4 and 0.9%C-BiVO4-10; (d) PL spectra, (e) EIS, and (f) I-t curves of BiVO4 and xC-BiVO4-y2.5 降解性能分析
通过模拟太阳光降解TC(催化剂用量:50 mg),对样品的光催化活性进行了评估。在没有光催化剂的情况下,TC在水溶液中稳定存在,几乎没有光降解出现。此外,在光照射之前,光催化剂会达到暗吸附平衡,可以观察到吸附对去除TC的影响很小。图 7a、7b描绘了纯BiVO4以及不同条件下制备的C-BiVO4复合光催化剂对初始质量浓度为20 mg·L-1的TC的降解曲线。与纯BiVO4相比,少量碳掺杂的BiVO4复合催化剂的光催化活性显著增强。当葡萄糖加入量为0.01 g时,降解效率达到最大值80.07%。为了研究光催化降解TC的反应动力学,采用拟一级反应动力学方程拟合降解数据。如图 7c、7d所示,0.9%C-BiVO4-10的最高一级反应速率常数(k)为0.017 min-1。可以得出结论,用最佳用量的碳修饰BiVO4可以显著提高光催化降解TC的性能。图 7e、7f则展示了0.9%C-BiVO4-10光催化剂对土霉素(OTC)、金霉素(CTC)、诺氟沙星(NOR)、亚甲蓝(MB)以及左氧氟沙星(LEV)的降解曲线以及一级反应动力学曲线。从图中可以看到,光催化剂对于这些污染物的降解效率分别为80.06%、79.00%、63.66%、59.83%和80.08%,说明该催化剂对于其他污染物具有同样优异的降解性能。此外,为考察0.9%C-BiVO4-10光催化剂的稳定性,对该材料进行了光催化降解TC的循环实验,结果如图 8a所示,经过5次循环后,TC的光催化降解效率仍维持在70%以上,表明该催化剂降解效率具有良好的稳定性。
图 7
图 7. BiVO4和xC-BiVO4-y的(a、b) 光降解曲线和(c、d) 拟一级反应动力学曲线; 0.9%C-BiVO4-10对不同污染物的(e) 光降解曲线和(f) 拟一级反应动力学曲线Figure 7. (a, b) Photodegradation curves and (c, d) pseudo-first-order reaction kinetic curves of BiVO4 and xC-BiVO4-y; (e) Photodegradation curves and (f) pseudo-first-order reaction kinetic curves for different pollutants of 0.9%C-BiVO4-10图 8
综上所述,少量碳的加入使得C-BiVO4的光降解效率高于BiVO4。碳掺杂增强光催化活性的机制通过前述XRD、拉曼、SEM和光电化学表征得到了验证:(1) 促进四方相向单斜相转变并增强(110)晶面暴露;(2) 形成规则片状结构增加活性位点;(3) 带隙减小并拓宽光吸收范围;(4) 降低载流子复合率和界面电荷转移阻抗。这些微观机制共同解释了正交实验确定的D因子是最显著的因子和响应面分析中观察到的各因素交互作用对光催化性能的显著影响。
2.6 光催化机理探讨
光催化降解污染物通常是通过h+、·OH和·O2-的氧化作用实现的。自由基捕获实验可以确定可见光下0.9%C-BiVO4-10降解TC中涉及的活性物种。将EDTA、IPA和BQ用作h+、·OH和·O2-的捕获剂,如图 8b所示,EDTA的加入显著抑制了TC的降解,而BQ的加入部分抑制了降解。此外,IPA的加入对降解过程的影响可以忽略不计。研究结果表明,0.9%C-BiVO4-10在TC上的降解主要受到h+的影响,·O2-发挥次要作用。
在上述分析的基础上,提出了可见光照射下TC在C-BiVO4上光降解的可能机理(图 9)。首先,H2O、O2和TC被吸附在C-BiVO4表面。当可见光照射到C-BiVO4表面时,VB中的电子被激发并转移到CB中。此时,e-和h+分别在CB和VB中产生。C-BiVO4的VB边的h+直接与TC反应生成CO2和H2O。同时,e-与吸附的O2反应生成·O2-。·O2-能将TC氧化成CO2和H2O[35]。根据C-BiVO4的电荷密度不同,碳掺杂位点是C-BiVO4的活性位点。与纯BiVO4相比,一方面碳原子掺杂与价带元素轨道杂化并提高价带能级,使带隙变窄,从而增加了可见光吸收,进一步增强了可见光下的光催化活性;另一方面,碳的掺杂促进了光生载流子的分离和电荷的转移,增强了光催化活性。具体机理如式3~6所示。
$ \mathrm{BiVO}_4+h \nu \rightarrow \mathrm{BiVO}_4\left(\mathrm{e}^{-}+\mathrm{h}^{+}\right) $ (3) $ \mathrm{TC}+\mathrm{h}^{+} \rightarrow \mathrm{CO}_2+\mathrm{H}_2 \mathrm{O} $ (4) $ \mathrm{O}_2+\mathrm{e}^{-} \longrightarrow \cdot \mathrm{O}_2^{-} $ (5) $ \mathrm{TC}+\cdot \mathrm{O}_2^{-} \longrightarrow \mathrm{CO}_2+\mathrm{H}_2 \mathrm{O} $ (6) 图 9
3. 结论
我们通过RSM辅助正交实验优化策略,成功构建了高效C-BiVO4光催化体系。通过方差分析确定葡萄糖加入量(碳掺杂量)是影响TC降解性能的决定性因素,响应面分析揭示了最佳工艺参数(反应时间、反应温度、硝酸与水的体积比、葡萄糖加入量)及各因素间的交互作用。多种表征技术与统计分析结果一致,XRD和拉曼光谱证实适量碳掺杂(0.9%~2.7%)促进了BiVO4四方相向单斜相转变并增强(110)晶面暴露;SEM测试证明了碳掺杂会对BiVO4的形貌有较大影响,随着掺杂比例增多,BiVO4的形貌逐渐变为更加规则的大面积片状结构。同时,葡萄糖发生脱水和碳化反应会生成碳基材料释放出CO2、H2O等气体,这一过程使样品表面变得粗糙,增加了材料的活性位点;XPS表明碳掺杂改变了BiVO4的电子结构;UV-Vis和PL验证了碳掺杂后样品带隙减小和载流子分离效率提高;I-t曲线和EIS表明样品电荷转移效率增强。以降解TC为目标实验,反应120 min后,0.9%C-BiVO4-10对TC的降解效率达到80.07%。催化活性的提高归因于碳的加入实现了e--h+对的有效分离,实现了TC的快速降解。最后,自由基捕获实验表明在0.9%C-BiVO4-10体系中降解TC主要受到h+的影响,·O2-发挥次要作用。本研究不仅优化了C-BiVO4的制备工艺,还通过多维表征与统计分析揭示了碳掺杂增强光催化性能的精确机制,为开发高效光催化材料提供了新思路。
-
-
[1]
GUO Z F, ZHANG T T, YANG H, ZHU X L, LU S Y, CHEN A J, FAN M Y, QU J. Unraveling tetracycline and its degradation product: Induction mechanisms of antibiotic resistance in escherichia coli[J]. Sci. Total Environ., 2025, 970: 178959 doi: 10.1016/j.scitotenv.2025.178959
-
[2]
LU P, PENG Y Q, WANG X X, CHEN S Y, SHANG J, QI S Y, YANG Y, HU X L, ZHAO Z L. Study on the degradation performance of tetracycline in water by chitin-based biochar-Bi2O3[J]. Chem. Phys. Lett., 2025, 866: 141967 doi: 10.1016/j.cplett.2025.141967
-
[3]
YUE T C, WANG L L, LI W, ZHANG J J, WANG D Z, BU X H. Efficient degradation of tetracycline hydrochloride via Fe-MO-initiated photo-self-fenton catalysis[J]. Sep. Purif. Technol., 2025, 363: 132127 doi: 10.1016/j.seppur.2025.132127
-
[4]
CHENG G, LIU X, XIONG J Y. Recent advances in coupling pollutants degradation with hydrogen production by semiconductor photocatalysis[J]. Chem. Eng. J., 2024, 501: 157491 doi: 10.1016/j.cej.2024.157491
-
[5]
WANG L N, CHEN T Y, CUI Y J, WU J W, ZHOU X Y, XU M F, LIU Z Q, MAO W, ZENG X M, SHEN W, LIU C, ZHU J, SONG J, PENG L M, ZHENG S T, SHI H W, TANG S. Rational design of environmentally friendly carbon nanotube embedded artificial vesicle‐structured photocatalysts for organic pollutants degradation[J]. Adv. Funct. Mater., 2024, 34(16): 2313653 doi: 10.1002/adfm.202313653
-
[6]
赵强, 郭智楠, 李淑英, 王俊丽, 李作鹏, 贾治芳, 王科伟, 郭永. Z型异质结Cu2O/Bi2MoO6的构建及光催化降解性能[J]. 无机化学学报, 2024, 40(5): 885-894. doi: 10.11862/CJIC.20230435ZHAO Q, GUO Z N, LI S Y, WANG J L, LI Z P, JIA Z F, WANG K W, GUO Y. Cu2O/Bi2MoO6 Z-type heterojunction: Construction and photocatalytic degradation properties[J]. Chinese J. Inorg. Chem., 2024, 40(5): 885-894 doi: 10.11862/CJIC.20230435
-
[7]
ALIJANI H Q, IRAVANI S, VARMA R S. Bismuth vanadate (BiVO4) nanostructures: Eco-friendly synthesis and their photocatalytic applications[J]. Catalysts, 2023, 13(1): 59
-
[8]
SALEM M, GHANNAM H, NASR S, ALMOHAMMEDI A, MASSOUDI I. Relative analysis explored the structural and optoelectronic properties of ZnO films doped with transition metals[J]. Inorg. Chem. Commun., 2024, 168: 112847 doi: 10.1016/j.inoche.2024.112847
-
[9]
KAUSAR S, MUNIR R M, IQBAL T, AFSHEEN S, MANSHA M S, ALI A M, SAYED M A. Comprehensive study on the synthesis and photocatalytic properties of pure bismuth vanadate: Characterization and theoretical analysis[J]. Inorg. Chem. Commun., 2025, 172: 113664 doi: 10.1016/j.inoche.2024.113664
-
[10]
李军, 李会鹏, 赵华, 刘钦龙. AgNi双金属改性多面体钒酸铋的制备及光催化性能[J]. 无机化学学报, 2024, 40(3): 601-612. doi: 10.11862/CJIC.20230401LI J, LI H P, ZHAO H, LIU Q L. Preparation and photocatalytic performance of AgNi bimetallic modified polyhedral bismuth vanadate [J]. Chinese J. Inorg. Chem., 2024, 40(3): 601-612 doi: 10.11862/CJIC.20230401
-
[11]
SALGADO-BLANCO D, LÓPEZ-URÍAS F. Boron and carbon in two-dimensional nitrogene structures: Heterodoping, doping, and chemical functionalization[J]. Surf. Interfaces, 2024, 48: 104254 doi: 10.1016/j.surfin.2024.104254
-
[12]
QIAN J N, ZHAO C Y, CHEN M H, AN L, WANG K W, PAN L K, WU W D, LIU D. Optimizing carbon doping and black phosphorus heterojunctions in three dimensional carbon nitride for exceptional photocatalytic activity[J]. Sep. Purif. Technol., 2025, 361: 131657 doi: 10.1016/j.seppur.2025.131657
-
[13]
ZHANG N, WANG Y C, XING Z P, LI Z Z, ZHOU W. Carbon doping and oxygen vacancy-tungsten trioxide/Cu3SnS4 S-scheme heterojunctions for boosting visible-light-driven photocatalytic performance[J]. ACS Appl. Mater. Interfaces, 2025, 17: 18296-18306 doi: 10.1021/acsami.4c22048
-
[14]
GUSTAVSEN K R, FENG T, HUANG H, LI G, NARKIEWICZ U, WANG K Y. DFT calculation of carbon-doped TiO2 nanocomposites[J]. Materials, 2023, 16(18): 6117 doi: 10.3390/ma16186117
-
[15]
WANG Y X, CHEN D M, ZHANG J N, BALOGUN M S, WANG P S, TONG Y X, HUANG Y C. Charge relays via dual carbon-actions on nanostructured BiVO4 for high performance photoelectrochemical water splitting[J]. Adv. Funct. Mater., 2022, 32(13): 2112738 doi: 10.1002/adfm.202112738
-
[16]
YAO M M, GAN L H, LIU M X, TRIPATHI P K, LIU Y F, HU Z H. Template-engaged in situ synthesis of carbon-doped monoclinic mesoporous BiVO4: Photocatalytic treatment of rhodamine b[J]. J. Mater. Eng. Perform., 2015, 24(6): 2359-2367 doi: 10.1007/s11665-014-1370-4
-
[17]
ZHANG S Y, MAO Y J, LIU F, XU H T, QU Z G, LIAO X W. Multi-objective optimization and evaluation of PEMFC performance based on orthogonal experiment and entropy weight method[J]. Energy Convers. Manag., 2023, 291: 117310 doi: 10.1016/j.enconman.2023.117310
-
[18]
XU G, GONG X J, YU Y H, CHEN X H. A Rapid method for the determination of SBS content based on the principle of orthogonal testing[J]. Appl. Sci., 2021, 11(22): 10911 doi: 10.3390/app112210911
-
[19]
LIU X L, TANG L G, ZHOU G S, WANG J Q, SONG M S, HANG Y, MA C C, HAN S, YAN M, LU Z Y. In situ formation of BiVO4/MoS2 heterojunction: Enhanced photogenerated carrier transfer rate through electron transport channels constructed by graphene oxide[J]. Mater. Res. Bull., 2023, 157: 112040 doi: 10.1016/j.materresbull.2022.112040
-
[20]
BELLO I, ADENIYI A, MUKAILA T, HAMMED A. Optimization of soybean protein extraction with ammonium hydroxide (NH4OH) using response surface methodology[J]. Foods, 2023, 12(7): 1515 doi: 10.3390/foods12071515
-
[21]
HOSSAIN S K S, RAHMAN A F A, ARSAD A, BASU A, PANG A L, HARUN Z, ALWI M M A, ALI S S. Effect of ultrasonication parameters on the structural, morphological, and electrical properties of polypyrrole nanoparticles and optimization by response surface methodology[J]. Polymers, 2023, 15(6): 1528 doi: 10.3390/polym15061528
-
[22]
LEE E Y, WONG S Y, PHANG S J, WONG V L, CHEAH K H. Additively manufactured photoreactor with immobilized thermoset acrylic-graphitic carbon nitride nanosheets for water remediation: Response surface methods and adsorption modelling studies[J]. Chem. Eng. J., 2023, 455: 140633 doi: 10.1016/j.cej.2022.140633
-
[23]
ZHANG Y X, HE K, CHEN L, LIU W, YUAN J L, GAO Y T, QI Y F, LIU B J. Photocatalytic degradation of enrofloxacin with CoAl-LDH mediated persulfate system: Efficiency evaluations and reaction pathways[J]. Emerg. Contam., 2024, 10(3): 100328 doi: 10.1016/j.emcon.2024.100328
-
[24]
MA L Z, ZHANG Z H, DUAN J L, LI J, LIN Q Y, JIANG Y L, ZHU K F, FANG Z Y, JI B, YANG Z. Optimize the preparation process of m-TiO2@CdS by response surface methodology to enhance the light intensity adaptability of photocatalytic degradation of tetracycline[J]. J. Alloy. Compd., 2025, 1010: 177979 doi: 10.1016/j.jallcom.2024.177979
-
[25]
ZHAO D Q, ZONG W J, FAN Z H, FANG Y W, XIONG S M, DU M, WU T H, JI F Y, XU X. Synthesis of carbon-doped nanosheets m-BiVO4 with three-dimensional (3D) hierarchical structure by one-step hydrothermal method and evaluation of their high visible-light photocatalytic property[J]. J. Nanopart. Res., 2017, 19(4): 124 doi: 10.1007/s11051-017-3818-6
-
[26]
BAI J W, LI Y, JIN P, WANG J F, LIU L. Facile preparation 3D ZnS nanospheres-reduced graphene oxide composites for enhanced photodegradation of norfloxacin[J]. J. Alloy. Compd., 2017, 729: 809-815 doi: 10.1016/j.jallcom.2017.07.057
-
[27]
HAIDER S, KHAN S U, NAJEEB J, NAEEM S, RAFIQUE H, MUNIR H, AL-MASRY W A, NAZAR M F. Synthesis of cadmium oxide nanostructures by using for response surface methodology based photocatalytic degradation of methylene blue[J]. J. Clean Prod., 2022, 365: 132822 doi: 10.1016/j.jclepro.2022.132822
-
[28]
PAN J H, ZHANG Z M, YAO Z F, FAN S Y, ZHU T T, XING C C, LIU Y J, CHEN J H, ZHU H X, HOU Y P, WANG S F. Potential modulation strategy on bismuth vanadate-based semiconductor to enhance antibiotic degradation in heterogeneous electro-fenton system[J]. Chem. Eng. J., 2024, 493: 152617 doi: 10.1016/j.cej.2024.152617
-
[29]
YANG J P, JIANG L W, LIU Z H, TANG Z, WU A H. Multifunctional interstitial-carbon-doped FeCoNiCu high entropy alloys with excellent electromagnetic-wave absorption performance[J]. J. Mater. Sci. Technol., 2022, 113: 61-70 doi: 10.1016/j.jmst.2021.09.025
-
[30]
ZHANG Q, WANG Y L, JIN X T, LIU X. Selective and controlled H generation upon additive-free HCOOH dehydrogenation over a Pd/NCS nanocatalyst[J]. Nanoscale, 2023, 15(39): 15975-15981 doi: 10.1039/D3NR03797E
-
[31]
WANG X Y, YOU J H, XUE Y J, REN J L, ZHANG K D, FU B, XUE Q Z, TIAN J, ZHANG H Z. Structural regulation of three-dimensional bismuth vanadate nanochannels for excellent visible light photocatalytic nitrogen fixation[J]. Appl. Catal. B ‒ Environ. Energy, 2025, 363: 124817 doi: 10.1016/j.apcatb.2024.124817
-
[32]
WANG Y Q, GUAN J N, LI L, WANG Z R, YUAN X, YAN Y, LI X D, LU N. Graphite-bridged indirect Z-scheme system TiO2-C-BiVO4 film with enhanced photoelectrocatalytic activity towards serial bisphenols[J]. Environ. Res., 2020, 191: 110221 doi: 10.1016/j.envres.2020.110221
-
[33]
YE S J, ZHOU X, XU Y B, LAI W K, YAN K, HUANG L, LING J Y, ZHENG L. Photocatalytic performance of multi-walled carbon nanotube/BiVO4 synthesized by electro-spinning process and its degradation mechanisms on oxytetracycline[J]. Chem. Eng. J., 2019, 373: 880-890 doi: 10.1016/j.cej.2019.05.109
-
[34]
CRUZ J C, HIRATA S. Monte carlo explicitly correlated second-order many-body green′s function calculations of semiconductor band gaps[J]. J. Phys. Chem. C, 2024, 128(40): 17098-17111 doi: 10.1021/acs.jpcc.4c03848
-
[35]
赵莹鑫, 胡豪, 周鑫, 杨水金, 杨赟. MOF-808/BiOCl复合材料的制备及其光催化性能[J]. 无机化学学报, 2023, 39(8): 1553-1563.ZHAO Y X, HU H, ZHOU X, YANG S J, YANG Y. Preparation and photocatalytic degradation performance of MOF-808/BiOCl composites[J]. Chinese J. Inorg. Chem., 2023, 39(8): 1553-1563
-
[1]
-
图 1 TC降解效率的(a、c、e) 响应面和(b、d、f) 等值线图:(a、b) 葡萄糖加入量和温度的交互作用; (c、d) 时间和温度的交互作用; (e、f) 时间和葡萄糖加入量的交互作用
Figure 1 (a, c, e) Response surface and (b, d, f) contour plots of TC degradation efficiency: (a, b) interaction between glucose dosage and temperature; (c, d) interaction between time and temperature; (e, f) interaction between time and glucose dosage
图 6 BiVO4和xC-BiVO4-y的(a) UV-Vis DRS和(b) 外推能带谱; (c) BiVO4和0.9%C-BiVO4-10的XPS-VB光谱图; BiVO4和xC-BiVO4-y的(d) PL光谱、(e) EIS和(f) I-t曲线
Figure 6 (a) UV-Vis DRS and (b) extrapolated band gap spectra of BiVO4 and xC-BiVO4-y; (c) XPS-VB spectra of BiVO4 and 0.9%C-BiVO4-10; (d) PL spectra, (e) EIS, and (f) I-t curves of BiVO4 and xC-BiVO4-y
图 7 BiVO4和xC-BiVO4-y的(a、b) 光降解曲线和(c、d) 拟一级反应动力学曲线; 0.9%C-BiVO4-10对不同污染物的(e) 光降解曲线和(f) 拟一级反应动力学曲线
Figure 7 (a, b) Photodegradation curves and (c, d) pseudo-first-order reaction kinetic curves of BiVO4 and xC-BiVO4-y; (e) Photodegradation curves and (f) pseudo-first-order reaction kinetic curves for different pollutants of 0.9%C-BiVO4-10
表 1 合成C-BiVO4的L16(45)正交实验因素与水平
Table 1. Orthogonal experimental factors and levels for synthesizing C-BiVO4 based on L16(45)
Level A / h B / ℃ C D / g 1 6 120 0.75∶1 0.05 2 18 100 1∶1 0.03 3 12 150 0.5∶1 0.01 4 24 180 1.25∶1 0.08 表 2 基于L16(45)正交表的C-BiVO4实验设计方案
Table 2. Experimental design scheme of C-BiVO4 based on L16(45) orthogonal array
y A / h B / ℃ C D / g E 1 6 120 0.75∶1 0.05 1 2 6 100 1∶1 0.03 2 3 6 150 0.5∶1 0.01 3 4 6 180 1.25∶1 0.08 4 5 18 120 1∶1 0.01 4 6 18 100 0.75∶1 0.08 3 7 18 150 1.25∶1 0.05 2 8 18 180 0.5∶1 0.03 1 9 12 120 0.5∶1 0.08 2 10 12 100 1.25∶1 0.01 1 11 12 150 0.75∶1 0.03 4 12 12 180 1∶1 0.05 3 13 24 120 1.25∶1 0.03 3 14 24 100 0.5∶1 0.05 4 15 24 150 1∶1 0.08 1 16 24 180 0.75∶1 0.01 2 表 3 基于L16(45)正交表的C-BiVO4极差分析结果
Table 3. Range analysis results of C-BiVO4 based on L16(45) orthogonal array*
Parameter A B C D E K1 2.248 2.256 2.642 2.321 2.358 K2 2.457 2.666 2.701 2.425 2.490 K3 2.669 2.419 2.074 2.926 2.612 K4 2.217 2.250 2.174 1.919 2.131 k1 0.562 0.564 0.661 0.580 0.590 k2 0.614 0.666 0.675 0.606 0.622 k3 0.667 0.605 0.519 0.732 0.653 k4 0.554 0.562 0.544 0.480 0.533 R 0.113 0.104 0.157 0.252 0.120 Optimal level A3 B2 C2 D3 *Km (m=1, 2, 3, 4) represents the sum of TC degradation efficiency for factors (A, B, C, D) at the m level; km is the average value of Km (km=Km/N, where N is the number of experimental repetitions at that level). 表 4 基于L16(45)正交表的C-BiVO4方差分析结果
Table 4. Variance analysis results of C-BiVO4 based on L16(45) orthogonal array
Variance source Sum of squared deviation Degree of freedom Mean square F P A 0.033 1 3 0.011 0 2.057 3 0.207 5 C 0.076 6 3 0.025 5 4.758 4 0.050 0 D 0.128 8 3 0.042 9 8.000 0 0.016 1 E 0.032 2 6 0.005 4 表 5 响应面回归方程显著性检验
Table 5. Significance test for the response surface regression equation
Factor Sum of squares Degree of freedom Mean square F P A 129.82 1 129.82 7.90 0.026 1 B 76.13 1 76.13 4.64 0.068 3 C 241.67 1 241.67 14.72 0.006 4 D 975.68 1 975.68 59.41 0.000 1 AD 480.48 1 480.48 29.26 0.001 0 BC 92.21 1 92.21 5.62 0.049 6 BD 269.84 1 269.84 16.43 0.004 8 CD 309.90 1 309.90 18.87 0.003 4 B2 150.20 1 150.20 9.15 0.019 3 C2 457.50 1 457.50 27.86 0.001 2 R2=0.967 1; RAdj2=0.920 1; RPred2=0.754 7; CV=6.56%. -
扫一扫看文章
计量
- PDF下载量: 3
- 文章访问数: 2069
- HTML全文浏览量: 199

下载:
下载:
下载: