Con/SiO2金属-载体相互作用对CO活化性能的影响

罗丹 刘星辰 李栋 畅通

引用本文: 罗丹, 刘星辰, 李栋, 畅通. Con/SiO2金属-载体相互作用对CO活化性能的影响[J]. 无机化学学报, 2025, 41(11): 2337-2344. doi: 10.11862/CJIC.20250003 shu
Citation:  Dan LUO, Xingcheng LIU, Dong LI, Tong CHANG. Metal-support interaction effects on CO activation over Con/SiO2 catalysts[J]. Chinese Journal of Inorganic Chemistry, 2025, 41(11): 2337-2344. doi: 10.11862/CJIC.20250003 shu

Con/SiO2金属-载体相互作用对CO活化性能的影响

    通讯作者: 畅通, E-mail:luodan@ycu.edu.cn
  • 基金项目:

    山西省应用基础研究项目 202403021212036

    山西省应用基础研究项目 202303021211188

    运城市基础研究项目 YCKJ-2023049

    来晋奖励项目 QZX-2023012

    运城学院博士科研启动项目 YQ2023025

摘要: 基于第一性原理的密度泛函理论(DFT),研究了羟基化SiO2(001)晶面负载Con(n是钴原子的数目,n=1~6)材料[Con/SiO2(001)]的结构、电子性质和CO反应活性,其中n=1时代表Co单原子,n=2~6时代表n个Co原子组成的Con团簇。结果显示,Co5/SiO2(001)的结合能(Eb-Co5/SiO2(001))最高为1.88 eV,表明Co5团簇负载在SiO2(001)晶面上最稳定。在Con/SiO2(001)结构中,Eb-Con/SiO2(001)与平均Bader电荷(Qave-Bader)之间呈现出线性关系(y=0.11x-0.23),随着Con团簇向SiO2载体转移的Qave-Bader值增大,Eb-Con/SiO2(001)增强,结构稳定性提高。随着Con团簇的增大,d带中心能量逐渐远离费米能级,其中Co5/SiO2(001)的d带中心能量最低为-0.96 eV。在Co3/SiO2(001)催化剂上,CO活化的最佳路径为CO*+H*→CHO*→CH*+O*,有效能垒为2.39 eV;Co5/SiO2(001)的最佳路径为CO*→C*+O*,有效能垒为1.19 eV;Co5团簇的最佳路径为CO*+H*→CHO*→CH*+O*,有效能垒为2.72 eV。这说明Co5团簇负载在SiO2(001)晶面上更有利于CO活化。通过差分电荷和晶体轨道哈密顿布居(COHP)分析可得,在Co3/SiO2(001)-CO、Co5/SiO2(001)-CO和Co5-CO结构中,Co向C转移的电子数分别为0.20、0.15和0.24,Co—C键的集成COHP(ICOHP)值分别为-1.46、-0.91和-1.70 eV。在Co5-CO和Co3/SiO2(001)-CO中,C与Co的相互作用强于Co5/SiO2(001)-CO,这种强相互作用不利于CO的活化。

English

  • 目前,环境污染日益严重,石油资源日渐枯竭,利用其他原料生成不含硫、氮和其他杂质的化工产品以及清洁燃料迫在眉睫。费-托合成作为一种能够将煤、天然气和生物质转化得到的合成气进一步转化成高效、洁净燃料的技术而备受重视[1-3]。钴基催化剂由于高活性、高直链烷烃选择性、低水煤气副反应等优良性能被广泛应用于低温费-托合成反应[4-6]

    金属钴通常负载在氧化物载体上(如SiO2、Al2O3、ZrO2和TiO2等),这些具有高孔隙体积和表面积的载体,能够有效地分散活性成分,增强催化剂的结构稳定性,同时也能提升其机械强度。此外,使用这类载体还有助于减少活性组分的用量,并通过修饰活性相的电子性质进一步优化催化剂的性能[7-9]。在众多的氧化物载体中,SiO2因其良好的活性、优异的选择性以及出色的经济性而被视为合适载体之一。通常情况下,SiO2被认为是惰性的,与金属纳米颗粒和可还原金属氧化物载体界面相比不具有明显的催化活性。然而,SiO2与活性金属的相互作用机理颇为复杂。例如,SiO2通过提升颗粒分散度来缩小金属颗粒的尺寸,同时,还可形成独特的界面结构,进而调控催化剂的活性和选择性[10]。在Co/SiO2催化剂中,钴的少量存在能显著提高甲烷氧化生成甲醛的选择性。然而,当钴的含量增加到一定程度时,其倾向于被氧化成Co3O4,从而降低了产物选择性[11]。10 nm孔径的SiO2负载的催化剂具有最高的反应活性和C5+选择性[12]。Roberts等[13]通过对比不同比表面积的Co/SiO2催化剂,发现催化剂的活性和选择性与表面特性相关,而这种表面特性会对费-托合成中合成气和CO的转化率产生影响。由于实验技术的局限性以及活性金属与载体界面的复杂性,要考察金属纳米颗粒与载体间的界面结构,以及金属-载体之间的相互作用较为困难。计算化学可以通过构建模型催化剂来模拟特定的催化剂结构和活性位点,帮助理解催化剂结构和活性间的构效关系。

    我们采用基于第一性原理的密度泛函理论(DFT)研究了羟基化SiO2(001)晶面负载Con(n是钴原子的数目,n=1~6)材料[Con/SiO2(001)]的结构、电子性质和CO反应活性,其中n=1时代表Co单原子,n=2~6时代表n个Co原子组成的Con团簇。同时,系统考察了金属与载体间的结构、电子性质与催化性能间的构效关系,为高性能催化剂的设计提供理论指导。

    我们以DFT为理论基础,催化剂的结构和性能等计算过程都使用Vienna ab initio simulation package(VASP)软件完成[14-15]。电子交换相关能用广义密度近似(GGA)中的Perdew-Burke-Ernzerhof(PBE)方法进行描述。离子与价电子之间的势能采用缀加投影波赝势(PAW)进行计算[16-18]。平面波截断能设为450 eV,离子弛豫计算所受的力为0.2 eV·nm-1,电子自洽迭代循环精度为10-4 eV。由于金属钴是磁性材料,采用自旋极化方法来计算。选择CI-NEB方法搜索过渡态[19],并通过振动频率分析来验证过渡态与单个虚频的相关性。

    采用1×1×1的k-point计算不同结构的Co单原子和Con(n=2~6)团簇,优化后Con(n=3~6)团簇的结构和结合能(Eb)如图 1所示。对比结合能可得,Co3团簇的稳定结构为三角形,Co4团簇的稳定结构为变形四面体,Co5团簇的稳定结构为三角双锥,Co6团簇的稳定结构为八面体。

    图 1

    图 1.  Con (n=3~6)团簇的结构和结合能
    Figure 1.  Structures and binding energies of Con (n=3-6) clusters

    ConEb计算公式为:

    $ E_{\mathrm{b}}=n E_{\mathrm{Co}}-E_{\mathrm{Co}_n} $

    (1)

    其中,n是钴原子的数目,ECo是钴原子的能量,ECon是Con的能量。

    对于体相α-SiO2,采用11×11×11的k-point对晶胞结构进行计算。优化的晶胞参数为a=b=0.502 nm,c=0.551 nm,α=β=90°,γ=120°,与文献报道一致[20]。用作催化剂载体的SiO2是无定型结构,具有亲水性,会使SiO2羟基化[21-22]。Murashov等[23]研究发现水解的SiO2表面能排序为(001) < (110) < (102) < (111) < (100) < (112) < (101),其中(001)晶面最稳定。因此,采用3×3×1的k-point计算SiO2(001)的羟基化结构。如图 2所示,其结构中底部4层Si和O原子固定不动,顶部3层Si和O原子弛豫,垂直方向添加1.5 nm的真空。

    图 2

    图 2.  SiO2(001)的羟基化结构
    Figure 2.  Hydroxylation structure of SiO2(001)

    Con/SiO2(001)的结合能($ E_{{\mathrm{b}-\mathrm{Co}_n} / \mathrm{SiO}_2(001)}$)计算公式为:

    $ E_{{\mathrm{b}-\mathrm{Co}_n}{/ \mathrm{SiO}_2(001)}}=E_{\mathrm{Co}_n}+E_{\mathrm{SiO}_2}-E_{\text {total }} $

    (2)

    其中,ESiO2是SiO2(001)晶面的能量,Etotal是Con团簇负载在SiO2(001)晶面的能量。

    Con/SiO2(001)的结构如图 3、S1~S6(Supporting information)所示。以Co1/SiO2(001)的稳定结构为例,Co单原子负载在SiO2(001)上,有3种不同位点(图S1),分别为Co1/SiO2(001)-1、Co1/SiO2(001)-2和Co1/SiO2(001)-3,其中Co1/SiO2(001)-1的相对能量最低(0 eV),因此,Co1/SiO2(001)-1的结构最稳定。同样地,测试Co2、Co3、Co4、Co5、Co6团簇在SiO2(001)的不同结合位点(图S2~S6),对比不同结合方式下的相对能量。结果显示,在不同Con/SiO2(001)体系中,Co2/SiO2(001)-2、Co3/SiO2(001)-2、Co4/SiO2(001)-2、Co5/SiO2(001)-2、Co6/SiO2(001)-1在各自对应的体系中呈现出相对较高的稳定性。

    图 3

    图 3.  Con/SiO2(001)的结构
    Figure 3.  Structures of Con/SiO2(001)

    根据公式2计算$E_{\mathrm{b}-\mathrm{Co}_n / \mathrm{SiO}_2(001)} $可得,负载结构的排序(表 1图 4a)为Co5/SiO2(001) > Co6/SiO2(001) > Co3/SiO2(001) > Co4/SiO2(001) > Co2/SiO2(001) > Co1/SiO2(001)。其中Co1/SiO2(001)的结合能最低($ E_{\mathrm{b}-\mathrm{Co}_n / \mathrm{SiO}_2(001)}$=1.02 eV),Co5/SiO2(001)的结合能最高($E_{\mathrm{b}-\mathrm{Co}_n / \mathrm{SiO}_2(001)} $=1.88 eV),说明Co5/SiO2(001)的结构最稳定。

    表 1

    表 1  Con/SiO2(001)结构的Eb-Con/SiO2 (001)、Qave-Baderd带中心能量
    Table 1.  Eb-Con/SiO2 (001), Qave-Bader, and d band center energy on Con/SiO2(001) structures
    下载: 导出CSV
    Sample Eb-Con/SiO2(001)/eV Qave-Bader d band center energy/eV
    Co1/SiO2(001) 1.02 -0.13e -0.72
    Co2/SiO2(001) 1.23 -0.07e -0.91
    Co3/SiO2(001) 1.60 -0.04e -0.90
    Co4/SiO2(001) 1.44 -0.05e -0.91
    Co5/SiO2(001) 1.88 -0.03e -0.96
    Co6/SiO2(001) 1.73 -0.02e -0.88

    图 4

    图 4.  (a) Con/SiO2(001)的Eb-Con/SiO2(001)及(b) 其与Qave-Bader的关系
    Figure 4.  (a) Eb-Con/SiO2(001) of Con/SiO2(001) and (b) its relationship with Qave-Bader

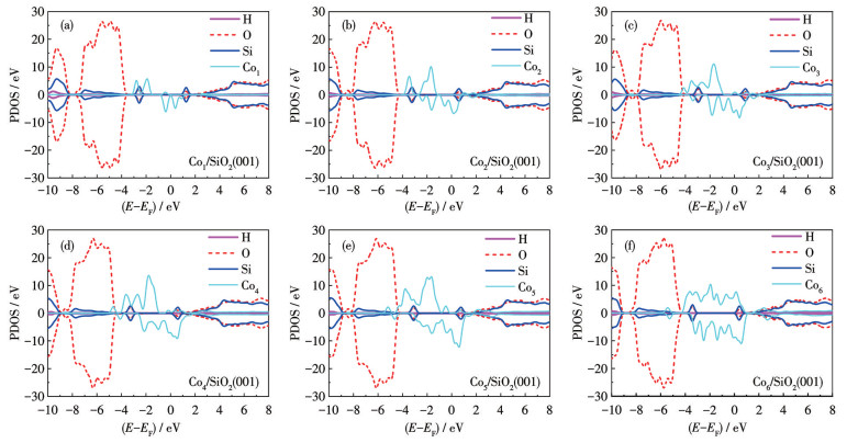
    在Con/SiO2(001)稳定结构的基础上,计算其电子性质:平均Bader电荷(Qave-Bader)、d带中心能量(d band center energy)和分波电子态密度(PDOS),结果如表 1图 45所示。

    图 5

    图 5.  Con/SiO2(001)的PDOS
    Figure 5.  PDOS for Con/SiO2(001)

    E-EF represents the energy difference between the electron energy E and the Fermi level EF.

    Con负载在SiO2(001)表面时,其活性中心与载体间会进行电子转移。通过计算Qave-Bader(表S1和1)可得,在Con/SiO2(001)中,Con的电子转移给SiO2载体,随着Co原子数量的增大,Qave-Bader呈现增加的趋势。

    Con/SiO2(001)的Eb-Con/SiO2(001)Qave-Bader存在线性关系(y=0.11x-0.23,如图 4b所示。线性相关系数(R2)为0.85,随着Eb-Con/SiO2(001)的增加,Qave-Bader增加。根据线性关系可以预测,Con与SiO2载体转移的Qave-Bader越大,结合越强,结构越稳定。这表明,金属与载体间转移的Qave-Bader对负载结构的稳定性可能起到一定的调控作用。

    Con/SiO2(001)的PDOS和d带中心能量如图 5、S7、S8和表 1所示。图S7是没有负载Con的SiO2(001),其带隙为2.98 eV左右,图 5是Con/SiO2(001)的PDOS,其带隙为0 eV。可见,随着Con的负载,带隙变窄,导电性能发生变化,负载材料由绝缘体变为导体。H、O、Si原子的电子态密度自旋向上和向下对称,说明H、O、Si原子磁矩为0,而Con的电子态密度上下不对称,钴原子的磁矩不为0。随着Co原子数量的增大,d带中心能量逐渐远离费米能级(表 1),d带中心能量由Co1/SiO2(001)的-0.72 eV降到Co5/SiO2(001)的-0.96 eV。Co5/SiO2(001)的d带中心能量达到了最低值。己有研究表明,当d带中心能量远离费米能级时,催化剂活性中心吸附反应物的能力降低,这有可能提高催化剂的反应活性[24-25]。但是,当n=6时,Co6团簇的d带中心能量显著上升,这是由于Co6团簇尺寸增大,且Co6/SiO2(001)的d轨道电子密度部分集中在费米能级以上(图S8)。

    在费-托合成反应过程中,CO活化是众多基元反应中的决速步[26-27],因此,CO活化是重要的费-托合成基元反应。CO活化反应分为2种:直接解离和H助解离。CO直接解离反应:CO*→C*+O*;CO的H助解离反应:CO*+H*→CHO*→CH*+O*或CO*+H*→COH*→C*+OH*。选择Con/SiO2(001)中不同颗粒尺寸的Co3/SiO2(001)和Co5/SiO2(001)来研究CO活化反应,同时考察Co5团簇的CO活化性能。

    在Co3/SiO2(001)中,CO活化反应的能垒、反应热和结构如图 6a、S9和表S2所示。CO活化反应中,直接解离的能垒(3.05 eV)高于H助解离生成CHO*中间体的能垒,低于生成COH*中间体的能垒。在H助解离反应中,相较于生成COH*中间体这一路径,CO*与H*发生耦合反应生成CHO*中间体的过程具有更低的反应能垒(1.47 eV),因此该耦合反应更容易进行。COH*解离生成C*和OH*的能垒(1.73 eV)高于CHO*解离生成CH*和O*的能垒(1.19 eV)。通过对比CO活化反应的有效能垒可知,在Co3/SiO2(001)上,CO*+H*→CHO*→CH*+O*的有效能垒最低为2.39 eV。因此,在Co3/SiO2(001)催化剂上,活化过程为CO*与H*耦合生成CHO*中间物质后,解离为CH*和O*。

    图 6

    图 6.  (a) Co3/SiO2(001)、(b) Co5/SiO2(001)和(c) Co5团簇的CO直接和H助解离能垒图
    Figure 6.  Diagrams of CO direct and H assisted dissociation barriers on (a) Co3/SiO2(001), (b) Co5/SiO2(001), and (c) Co5 cluster

    图 6b、S10和表S2分别呈现了在Co5/SiO2(001)体系中CO活化反应所对应的能垒、反应热和结构图。CO活化反应中,H助解离生成CHO*中间体能垒高于直接解离的能垒,H助解离生成COH*中间体能垒低于直接解离的能垒。在H助解离反应中,与生成CHO*中间体相比,CO*与H*生成COH*中间体有更低的反应能垒(0.84 eV),该耦合反应更容易进行。然而,COH*解离生成C*和OH*的能垒(2.09 eV)高于CHO*解离生成CH*和O*的能垒(1.59 eV)。通过对比CO活化反应的有效能垒可得,在Co5/SiO2(001)催化剂上,CO直接解离的有效能垒为1.19 eV,2种H助解离的有效能垒分别为2.27和2.73 eV。因此,在Co5/SiO2(001)催化剂上,CO活化的最佳路径是CO*→C*+O*。

    在Co5团簇中,CO活化反应的能垒、反应热和结构展示在图 6c、S11和表S2中。CO活化反应中,直接解离的能垒(4.63 eV)高于H助解离能垒。在H助解离反应中,与生成COH*中间体相比,CO*与H*耦合具有更低的反应能垒(1.80 eV),更容易生成CHO*中间体。然而,COH*解离生成C*和OH*的能垒(1.92 eV)高于CHO*解离生成CH*和O*的能垒(1.38 eV)。通过对比CO活化反应的有效能垒可得,在Co5团簇上,CO*+H*→CHO*→CH*+O*的有效能垒最低(2.72 eV)。因此,在Co5团簇上,活化过程为CO*与H*耦合生成CHO*中间物质后,解离为CH*和O*。

    综上所述,CO在Co3/SiO2(001)的最佳反应路径为CO*+H*→CHO*→CH*+O*,有效能垒为2.39 eV;在Co5/SiO2(001)的最佳反应路径为CO*→C*+O*,有效能垒为1.19 eV;在Co5团簇的最佳反应路径为CO*+H*→CHO*→CH*+O*,有效能垒为2.72 eV。因此,随着Con颗粒尺寸的增大,CO更容易活化,同时将Con负载在SiO2(001)表面,更有利于CO活化。Salmeron等[28-29]利用原位X射线吸收光谱(XAS)技术证实CO分子在较大Co纳米颗粒上的解离速率比在小纳米粒子上要高得多。De Jong等[30]研究发现,在一定范围内,Co颗粒尺寸增加时,催化剂的转化频率(TOF)增加,产物C5+选择性提高。将Co纳米颗粒包覆在氧化物中,可有效提高Co纳米颗粒的催化性能[31]。Li等[32]制备的Co@C-SiO2催化剂,增强了金属-载体的相互作用,进而提高了CO转化率。同时,SiO2壳层限域效应有效抑制了Co纳米颗粒团聚现象的发生。

    反应物CO吸附在Con上,Con与CO之间存在电子转移。因此我们分析了Co3/SiO2(001)-CO、Co5/SiO2(001)-CO和Co5-CO的差分电荷(图 7),黄色代表电子积累,青色代表电子失去。在Co5-CO结构中,Co向C转移的电子数为0.24;在Co3/SiO2(001)-CO结构中,Co向C转移的电子数为0.20;在Co5/SiO2(001)-CO结构中,Co向C转移的电子数为0.15。由此可见,在这3种结构中,Co5-CO结构的电子转移数最多,Co3/SiO2(001)-CO次之,Co5/SiO2(001)-CO结构的电子转移数最少。金属钴因失去电子而被氧化,转移电子数越多,表明金属与C原子之间的静电吸引相互作用增强。Con与CO的相互作用力从大到小依次为Co5-CO、Co3/SiO2(001)-CO、Co5/SiO2(001)-CO,而CO的活化性能从大到小依次为Co5/SiO2(001)、Co3/SiO2(001)、Co5团簇。因此,CO与Co5团簇和Co5/SiO2(001)的强相互作用不利于其活化。

    图 7

    图 7.  Co3/SiO2(001)-CO、Co5/SiO2(001)-CO和Co5-CO的差分电荷
    Figure 7.  Charge density difference of Co3/SiO2(001)-CO, Co5/SiO2(001)-CO and Co5-CO

    通过COHP分析CO在Co5、Co3/SiO2(001)和Co5/SiO2(001)的成键性质。如图 8所示,Co5/SiO2(001)-CO结构中Co—C反键成分多于Co3/SiO2(001)-CO和Co5-CO。将能量从最低能级积分到费米能级来计算集成晶体轨道哈密顿布居(ICOHP),Co5-CO结构中Co—C键的ICOHP值为-1.70 eV,Co3/SiO2(001)-CO的为-1.46 eV,Co5/SiO2(001)-CO的为-0.91 eV。结果显示,Co—C键的成键强度为Co5-CO > Co3/SiO2(001)-CO > Co5/SiO2(001)-CO,然而,CO的活化能力为Co5-CO < Co3/SiO2(001)-CO < Co5/SiO2(001)-CO。因此,Co—C键增强时,CO分子变得更为稳定,难以进行后续的活化过程。

    图 8

    图 8.  (a) Co3/SiO2(001)-CO、(b) Co5/SiO2(001)-CO和(c) Co5-CO的COHP图
    Figure 8.  COHP of (a) Co3/SiO2(001)-CO, (b) Co5/SiO2(001)-CO and (c) Co5-CO

    我们采用DFT研究了Con负载在SiO2(001)的结构稳定性、电子性质、CO活化性能。结果显示,Co5团簇负载在SiO2(001)上最稳定。Con/SiO2(001)结构的Eb-Con/SiO2(001)Qave-Bader存在线性关系,Con与SiO2载体转移的Qave-Bader越大,表明Con团簇与SiO2载体之间的结合越强,结构越稳定。随着Co原子数量的增大,d带中心能量逐渐远离费米能级。与Co5团簇和Co3/SiO2(001)的CO活化性能相比,Co5/SiO2(001)的CO活化性能最高。通过差分电荷和COHP分析可知,CO与Co相互作用越强,结构越稳定,越不利于CO的活化。


    Supporting information is available at http://www.wjhxxb.cn
    1. [1]

      SCHULZ H. Short history and present trends of Fischer-Tropsch synthesis[J]. Appl. Catal. A‒Gen., 1999, 186:  3-12. doi: 10.1016/S0926-860X(99)00160-X

    2. [2]

      DE KLERK A. Thermal upgrading of Fischer-Tropsch olefins[J]. Energy Fuels, 2005, 19:  1462-1467. doi: 10.1021/ef050049w

    3. [3]

      BRADY R C, PETTIT R. Mechanism of the Fischer-Tropsch reaction. The chain propagation step[J]. J. Am. Chem. Soc., 1981, 103:  1287-1289. doi: 10.1021/ja00395a081

    4. [4]

      IGLESIA E. Design, synthesis, and use of cobalt-based Fischer-Tropsch synthesis catalysts[J]. Appl. Catal. A‒Gen., 1997, 161:  59-78. doi: 10.1016/S0926-860X(97)00186-5

    5. [5]

      DEN OTTER J H, NIJVELD S R, DE JONG K P. Synergistic promotion of Co/SiO2 Fischer-Tropsch catalysts by niobia and platinum[J]. ACS Catal., 2016, 6:  1616-1623. doi: 10.1021/acscatal.5b02418

    6. [6]

      SUBRAMANIAN V, CHENG K, LANCELOT C, SVETLANA H, SéBASTIEN P, SIMONA M, OVIDIU E, MAYA M, VITALY V O, ANDREI Y K. Nanoreactors: An efficient tool to control the chain-length distribution in Fischer-Tropsch synthesis[J]. ACS Catal., 2016, 6:  1785-1792. doi: 10.1021/acscatal.5b01596

    7. [7]

      DONG C, LI R T, QU Z P, FAN Y M, WANG J Y, DU X Z, LIU C X, FENG X H, NING Y X, MU R T, FU Q, BAO X H. Oxide support inert in its interaction with metal but active in its interaction with oxide and vice versa[J]. J. Am. Chem. Soc., 2025, 147(16):  13210-13219. doi: 10.1021/jacs.4c17075

    8. [8]

      RENATA S, KAROLINA A C, PAWEL M, JACEK R, YANNICK M, LAETITIA V, SANDRA C, STANISLAW D. Fischer-Tropsch reaction on Co-containing microporous and mesoporous beta zeolite catalysts: The effect of porous size and acidity[J]. Catal. Today, 2020, 354:  109-122. doi: 10.1016/j.cattod.2019.05.004

    9. [9]

      ØYVIND B, SIGRID E, EDD A B, SøLVI S, HANNE W, ERLING R, ANDERS H. Fischer-Tropsch synthesis over γ-alumina-supported cobalt catalysts: Effect of support variables[J]. J. Catal., 2007,248,(1): 89-100.

    10. [10]

      BEPARI S, LI X, ABROKWAH R, MOHAMMAD N, ARSLAN M, KUILA D. Co-Ru catalysts with different composite oxide supports for fischer-tropsch studies in 3D-printed stainless steel microreactors[J]. Appl. Catal. A‒Gen., 2020, 608:  117838. doi: 10.1016/j.apcata.2020.117838

    11. [11]

      OHYAMA J, ABE D, HIRAYAMA A, IWAI H, TSUCHIMURA Y, SAKAMOTO K, IRIKURA M, NAKAMURA Y, YOSHIDA H, MACHIDA M, NISHIMURA S, YAMAMOTO T, MATSUMURA S, TAKAHASHI K. Selective oxidation of methane to formaldehyde over a silica-supported cobalt single-atom catalyst[J]. J. Phys. Chem. C, 2022, 126:  1785-1792. doi: 10.1021/acs.jpcc.1c08739

    12. [12]

      SAIB A M, CLAEYS M, VAN STEEN E. Silica supported cobalt Fischer-Tropsch catalysts: Effect of pore diameter of support[J]. Catal. Today, 2002, 71(3/4):  395-402.

    13. [13]

      ELBASHIR N O, DUTTA P, MANIVANNAN A, SEEHRA M S, ROBERTS C B. Impact of cobalt-based catalyst characteristics on the performance of conventional gas-phase and supercritical-phase Fischer-Tropsch synthesis[J]. Appl. Catal. A‒Gen., 2005, 285:  169-180. doi: 10.1016/j.apcata.2005.02.023

    14. [14]

      KRESSE G, FURTHMüLLER J. Efficiency of ab-initio total energy calculations for metals and semiconductors using a plane-wave basis set[J]. Comp. Mater. Sci., 1996, 6:  15-50. doi: 10.1016/0927-0256(96)00008-0

    15. [15]

      KRESSE G, FURTHMüLLER J. Efficient iterative schemes for ab initio total-energy calculations using a plane-wave basis set[J]. Phys. Rev. B, 1996, 54:  11169-11186. doi: 10.1103/PhysRevB.54.11169

    16. [16]

      BLOCH P E. Projector augmented-wave method[J]. Phys. Rev. B, 1994, 50:  17953-17979. doi: 10.1103/PhysRevB.50.17953

    17. [17]

      KRESSE G. From ultrasoft pseudopotentials to the projector augmented-wave method[J]. Phys. Rev. B, 1999, 59:  1758-1775.

    18. [18]

      PERDEW J P, BURKE K, ERNZERHOF M. Generalized gradient approximation made simple[J]. Phys. Rev. Lett., 1996, 77:  3865-3868. doi: 10.1103/PhysRevLett.77.3865

    19. [19]

      HENKELMAN G, JóNSSON H. Improved tangent estimate in the nudged elastic band method for finding minimum energy paths and saddle points[J]. J. Chem. Phys., 2000, 113:  9978-9985. doi: 10.1063/1.1323224

    20. [20]

      MAO F, GAO C, WANG F, ZHANG C, ZHANG F S. Ab initio study of ferromagnetism induced by electronic hole localization in Al-doped α-SiO2[J]. J. Phys. Chem. C, 2017, 121:  23055-23061. doi: 10.1021/acs.jpcc.7b06680

    21. [21]

      WANG H, CHAI Z F, WANG D Q. Adsorption of uranyl on hydroxylated α-SiO2(001): A first-principle study[J]. Dalton. Trans., 2015, 44:  1646-1654. doi: 10.1039/C4DT02872D

    22. [22]

      LIU P, WANG Q S, LI X, ZHANG C C. Investigation of the states of water and OH groups on the surface of silica[J]. Colloid. Surf. Physicochem. Eng. Asp., 2009, 334:  112-115. doi: 10.1016/j.colsurfa.2008.10.028

    23. [23]

      MURASHOV V V. Reconstruction of pristine and hydrolyzed quartz surfaces[J]. J. Phys. Chem. B, 2005, 109:  4144-4151. doi: 10.1021/jp0402075

    24. [24]

      RUBAN A, HAMMER B, STOLTZE P, SKRIVER H L, NóRSKOV J K. Surface electronic structure and reactivity of transition and noble metals[J]. J. Mol. Catal. A‒Chem, 1997, 115(3):  421-429. doi: 10.1016/S1381-1169(96)00348-2

    25. [25]

      HAMMER B, NORSKOV J K. Why gold is the noblest of all the metals[J]. Nature, 1995, 376(6537):  238-240. doi: 10.1038/376238a0

    26. [26]

      HUO C F, LI Y W, WANG J G, JIAO H J. Formation of CHx species from CO dissociation on double-stepped Co(0001): Exploring fischer-tropsch mechanism[J]. J. Phys. Chem. C, 2008, 112:  14108-14116.

    27. [27]

      ZHANG R, LIU F, WANG Q, WANG B J, LI D B. Insight into CHx formation in Fischer-Tropsch synthesis on the hexahedron Co catalyst: Effect of surface structure on the preferential mechanism and existence form[J]. Appl. Catal. A‒Gen., 2016, 525:  76-84. doi: 10.1016/j.apcata.2016.07.007

    28. [28]

      HERRANZ T, DENG X Y, CABOT A, GUO J G, SALMERON M. Influence of the cobalt particle size in the CO hydrogenation reaction studied by in situ X-ray absorption spectroscopy[J]. J. Phys. Chem. B, 2009, 113(31):  10721-10727. doi: 10.1021/jp901602s

    29. [29]

      TUXEN A, CARENCO S, CHINTAPALLI M, CHUANG C H, ESCUDERO C, PACH E, JIANG P, BORONDICS F, BEBERWYCK B, ALIVISATOS A P, THORNTON G, PONG W F, GUO J H, PEREZ R, BESENBACHER F, SALMERON M. Size-dependent dissociation of carbon monoxide on cobalt nanoparticles[J]. J. Am. Chem. Soc., 2013, 135(6):  2273-2278. doi: 10.1021/ja3105889

    30. [30]

      BEZEMER G L, BITTER J H, KUIPERS H P C E, OOSTERBEEK H, HOLEWIjN J E, XU X D, KAPTEIjN F, DILLEN A J, DE JONG K P. Cobalt particle size effects in the Fischer-Tropsch reaction studied with carbon nanofiber supported catalysts[J]. J. Am. Chem. Soc., 2006, 128(12):  3956-3964. doi: 10.1021/ja058282w

    31. [31]

      ZHAO J J, QUAN X, CHEN S, LIU Y M, YU H T. Cobalt nanoparticles encapsulated in porous carbons derived from core‐shell ZIF67@ZIF8 as efficient electrocatalysts for oxygen evolution reaction[J]. ACS Appl. Mater. Interfaces, 2017, 9(34):  28685-28694. doi: 10.1021/acsami.7b10138

    32. [32]

      QIN C, HOU B, WANG J G, WANG G, MA Z Y, JIA L T, LI D B. Stabilizing optimal crystalline facet of cobalt catalysts for Fischer-Tropsch synthesis[J]. ACS Appl. Mater. Interfaces, 2019, 11(37):  33886-33893. doi: 10.1021/acsami.9b10174

  • 图 1  Con (n=3~6)团簇的结构和结合能

    Figure 1  Structures and binding energies of Con (n=3-6) clusters

    图 2  SiO2(001)的羟基化结构

    Figure 2  Hydroxylation structure of SiO2(001)

    图 3  Con/SiO2(001)的结构

    Figure 3  Structures of Con/SiO2(001)

    图 4  (a) Con/SiO2(001)的Eb-Con/SiO2(001)及(b) 其与Qave-Bader的关系

    Figure 4  (a) Eb-Con/SiO2(001) of Con/SiO2(001) and (b) its relationship with Qave-Bader

    图 5  Con/SiO2(001)的PDOS

    Figure 5  PDOS for Con/SiO2(001)

    E-EF represents the energy difference between the electron energy E and the Fermi level EF.

    图 6  (a) Co3/SiO2(001)、(b) Co5/SiO2(001)和(c) Co5团簇的CO直接和H助解离能垒图

    Figure 6  Diagrams of CO direct and H assisted dissociation barriers on (a) Co3/SiO2(001), (b) Co5/SiO2(001), and (c) Co5 cluster

    图 7  Co3/SiO2(001)-CO、Co5/SiO2(001)-CO和Co5-CO的差分电荷

    Figure 7  Charge density difference of Co3/SiO2(001)-CO, Co5/SiO2(001)-CO and Co5-CO

    图 8  (a) Co3/SiO2(001)-CO、(b) Co5/SiO2(001)-CO和(c) Co5-CO的COHP图

    Figure 8  COHP of (a) Co3/SiO2(001)-CO, (b) Co5/SiO2(001)-CO and (c) Co5-CO

    表 1  Con/SiO2(001)结构的Eb-Con/SiO2 (001)、Qave-Baderd带中心能量

    Table 1.  Eb-Con/SiO2 (001), Qave-Bader, and d band center energy on Con/SiO2(001) structures

    Sample Eb-Con/SiO2(001)/eV Qave-Bader d band center energy/eV
    Co1/SiO2(001) 1.02 -0.13e -0.72
    Co2/SiO2(001) 1.23 -0.07e -0.91
    Co3/SiO2(001) 1.60 -0.04e -0.90
    Co4/SiO2(001) 1.44 -0.05e -0.91
    Co5/SiO2(001) 1.88 -0.03e -0.96
    Co6/SiO2(001) 1.73 -0.02e -0.88
    下载: 导出CSV
  • 加载中
计量
  • PDF下载量:  0
  • 文章访问数:  730
  • HTML全文浏览量:  33
文章相关
  • 发布日期:  2025-11-10
  • 收稿日期:  2025-02-17
  • 修回日期:  2025-09-18
通讯作者: 陈斌, bchen63@163.com
  • 1. 

    沈阳化工大学材料科学与工程学院 沈阳 110142

  1. 本站搜索
  2. 百度学术搜索
  3. 万方数据库搜索
  4. CNKI搜索

/

返回文章