两例Sm4配合物的合成、结构及与DNA的相互作用

陈雨鑫 凌妍妮 姚宇晴 王可怡 李琳哪 张欣 王勤 李弘道 王文敏

引用本文: 陈雨鑫, 凌妍妮, 姚宇晴, 王可怡, 李琳哪, 张欣, 王勤, 李弘道, 王文敏. 两例Sm4配合物的合成、结构及与DNA的相互作用[J]. 无机化学学报, 2025, 41(6): 1141-1150. doi: 10.11862/CJIC.20240258 shu
Citation:  Yuxin CHEN, Yanni LING, Yuqing YAO, Keyi WANG, Linna LI, Xin ZHANG, Qin WANG, Hongdao LI, Wenmin WANG. Construction, structures, and interaction with DNA of two Sm4 complexes[J]. Chinese Journal of Inorganic Chemistry, 2025, 41(6): 1141-1150. doi: 10.11862/CJIC.20240258 shu

两例Sm4配合物的合成、结构及与DNA的相互作用

摘要: 以双齿席夫碱5-[(4-ethylbenzylidene)amino]quinolin-8-ol(HL1)、5-{[(1,1′-biphenyl)-4-ylmethylene]amino}quinolin-8-ol(HL2)为配体,与Sm(acac)3·2H2O反应,通过溶剂热法,设计与构筑了2例结构新颖的Sm4配合物[Sm4(L1)6(acac)4(μ3-OH)2]·CH3CN (1)和[Sm4(L2)6(acac)4(μ3-OH)2]·CH3CN (2),其中Hacac=乙酰丙酮。单晶X射线衍射分析表明:配合物12结构相似,其结构主要由4个Sm(Ⅲ)离子、4个acac-、6个L1-或L2-以及2个μ3-OH-组成。中心的4个Sm(Ⅲ)离子通过6个μ2-O和2个μ3-OH-相互连接,形成一个菱形的Sm4核心。采用紫外光谱法、循环伏安法和荧光光谱法研究了配合物 12与小牛胸腺DNA(CTDNA)之间的相互作用。研究表明,配合物12与CTDNA的相互作用是插入结合。

English

  • 近年来,多核Ln(Ⅲ)基配合物因其独特的电子结构和成键特征引起了人们极大的兴趣,在发光[1]、磁性[2-4]、催化[5-7]和生物活性[8-10]等领域被广泛应用。值得注意的是,在生物活性领域,Ln(Ⅲ)基配合物的抑菌活性相对于单一抗菌具有抑菌活性高、毒性低、抗菌广谱等优点[11],通常将其作为抑菌药物的首选。席夫碱是一类由胺和醛或酮缩合而成的具有亚胺(HN=C)或甲亚胺(RC=N)基团的化合物,因缩合的原料(胺、醛、酮)种类多样,其具有结构多样性[12]。生物活性研究表明,由席夫碱及其构筑的多核稀土配合物在抗菌、抗癌和抗肿瘤等方面具有较好的生物活性。

    DNA是生物细胞内含有的生物大分子,是染色体的主要化学成分和遗传信息的载体。临床上许多抗癌、抗肿瘤、抗病毒药物是以DNA为作用靶点,研究能与DNA结合的小分子化合物是筛选抗癌药物的重要手段[13-14]。研究小分子与DNA的相互作用,有助于从分子水平解释药物的作用机理,进而帮助人们寻找新的抗癌药物。通常,金属配合物与DNA相互作用的方式有3种,即共价键合、非共价键合和切割作用。非共价键合作用较弱,但在研究小分子和DNA作用的方面有着重要的意义,其包括静电作用、沟面结合和插入作用。由于DNA与金属配合物作用后,其加合物性质发生改变,与人工核酸酶、分子荧光探针和金属抗癌药物等作用原理联系紧密,因此以稀土配合物与生物活性基团结合设计合成新型的抗癌药物成为研究热点[15-16]。2010年,王丽娟课题组[17]合成了Eu(Ⅲ)配合物,研究表明其与小牛胸腺DNA(CT-DNA)以插入方式结合。2016年,宋盼课题组[18]合成含磷三足配体N-2(4-乙基苯-二氨基甲酰基)甲基磷酸及其稀土Eu(Ⅲ)配合物,研究表明该稀土Eu(Ⅲ)配合物与DNA的相互作用是以嵌插形式结合的。2022年,李晓红课题组[19]基于喹啉-2- 甲醛缩4-氟苯基氨基硫脲合成的稀土配合物与CT- DNA以沟面结合的方式相互作用。

    鉴于此,为了深入探索稀土配合物与DNA的相互作用,我们选用8-羟基喹啉席夫碱配体HL1及HL2 (图 1)与Sm(acac)3·2H2O反应(Hacac=乙酰丙酮),通过溶剂热法,成功设计并构筑了2例结构新颖的Sm4配合物[Sm4(L1)6(acac)4(μ3-OH)2]·CH3CN (1)和[Sm4(L2)6 (acac)4μ3-OH)2]·CH3CN (2)。单晶X射线衍射结构表明:配合物12结构相似,中心4个Sm(Ⅲ)离子通过6个μ2-O和2个μ3-OH-相互连接,形成一个近似菱形的Sm4核心。采用紫外光谱法、循环伏安法(CV)和荧光光谱法研究了配合物12与小牛胸腺DNA (CTDNA)的相互作用机理,研究表明,配合物12与CTDNA的相互作用是插入结合。

    图 1

    图 1.  (a) HL1和(b) HL2的结构
    Figure 1.  Molecule structures of (a) HL1 and (b) HL2

    试剂与仪器详见Supporting information。

    根据已报道的文献[21]中的方法合成了双齿席夫碱配体HL1和HL2。配体HL1和HL2的合成方法相似,以下以配体HL1的合成为例进行叙述。将5-氨基-8-羟基喹啉(20 mmol)和对乙基苯甲醛(20 mmol) 溶于50 mL甲醇中, 在70 ℃油浴锅中加热回流6 h后降至室温,抽滤,并用甲醇洗涤,将粗品在真空下干燥12 h,最终得到黄绿色的席夫碱配体HL1,具体的合成路线如图 2和S1所示。

    图 2

    图 2.  HL1的合成路线
    Figure 2.  Synthetic route of HL1

    配体HL1的元素分析按C18H16ON2的计算值(%):C,78.26;H,5.80;N,10.14。实验值(%):C,78.31;H,5.85;N,10.10。IR(cm-1):3 305(s),3 034(w),2 967 (m),2 922(w), 2 865(m), 2 409(w),2 183(w),1 986(w),1 823(w),1 625(s),1 574(s),1 568(s),1 495(s),1 468 (s),1 411(s),1 371(m),1 276(s),1 242(s),1 186(s),1 152(m),1 371(w),1 270(s),1 231(s),1 191(s),1 157 (s),1 050(m),1 000(m),982(w),910(w),876(w),824(s),785(m),695(m),656(w),611(w),521(w),492(w),430(w) (图 S2)。

    配体HL2的元素分析按C22H16ON2的计算值(%):C,81.48;H,4.94;N,8.64。实验值(%):C,81.52;H,4.99;N,8.59。IR(cm-1):3 310(s),3 034(m),2 888(m),2 126(w),1 941(w),1 907(w),1 834(w),1 654(w),1 620 (s),1 568(s),1 502(s),1 400(s),1 310(m),1 242(m),1 186(s),1 152(s),1 056(m),1 000(m),966(w),921(w),881(m),824(s),785(s),763(s),706(s),622(s),548(m),424(w)(图 S2)。

    配合物12的合成方法相似,以下以配合物1的合成为例进行叙述。称取Sm(acac)3·2H2O(0.025 mmol)于20 mL的玻璃小瓶中,加入CH3CN(8 mL)和CH2Cl2(3 mL),再将制备的席夫碱配体HL1(0.025 mmol)加入上述混合溶液中,将玻璃小瓶密封,将混合溶液在超声下振荡30 min后,放置烘箱中,在70 ℃下反应48 h,待冷却至室温后,得到适合单晶衍射的淡黄色条状晶体。具体的合成路线如图 3和S3所示。

    图 3

    图 3.  配合物1的合成路线
    Figure 3.  Synthetic route of complex 1

    配合物 1的产率为56%(基于Sm(acac)3·2H2O)。元素分析按C136H130N16O16Sm4的计算值(%):C,57.34;H,4.57;N,7.87。实验值(%):C,57.39;H,4.60;N,7.81。IR(cm-1):3 620(w),3 023(m), 1 603(s), 1 546(s),1 512(s),1 460(s),1 379(s),1 300(s),1 242(w),1 179 (m),1 127(w),1 086(s),1 024(m),989(w),931(w),880 (m),834(s),776(s),685(s),604(s),552(m),512(m) (图 S2)。

    配合物 2的产率为53%(基于Sm(acac)3·2H2O)。元素分析按C152H118N12O16Sm4的计算值(%):C,61.41;H,3.97;N,5.66。实验值(%):C,61.37;H,3.92;N,5.71。IR(cm-1):3 641(w), 2 958(w),2 928(w),2 869(s),2 367(w), 1 569(s), 1 520(s),1 494(s),1 457(s),1 384(s),1 348(m),1 309(s),1 265(m),1 238(m),1 168(w),1 124 (w),1 089(s),1 053(m),1 005(m),969(w),917(m),882 (m),824(s),789(s),723(s), 661(m), 608(s), 529(s)(图 S2)。

    配合物12的晶体结构使用Bruker APEX-Ⅱ CCD型单晶衍射仪进行测试,以Cu 射线为辐射源(λ=0.154 178 nm),在150.0 K下以ω-φ的扫描方式收集衍射数据。通过SHELXTL和Olex2程序对配合物12的晶体结构进行解析。非氢原子坐标用直接法解出,并基于F 2对所有非氢原子坐标和各向异性参数进行全矩阵最小二乘法精修;氢原子由理论加氢确定,并按跨式模型(Riding model)进行结构精修。配合物12的主要晶体学数据列于表 1,其重要的键长和键角如表 S1和S2所示。

    表 1

    表 1  配合物1和2的晶体学数据和精修参数
    Table 1.  Crystallographic data and structure refinements for complexes 1 and 2
    下载: 导出CSV
    Parameter 1 2
    Formula C136H130N16O16Sm4 C152H118N12O16Sm4
    Formula weight 2 845.95 2 969.98
    Crystal system Triclinic Monoclinic
    Space group P1 P21/c
    a / nm 1.307 93(3) 1.808 34(14)
    b / nm 1.568 53(4) 2.172 08(13)
    c / nm 1.582 80(4) 1.838 89(15)
    α/(°) 82.918(2)
    β/(°) 76.347(2) 110.836(3)
    γ/(°) 89.026(2)
    V / nm3 3.131 1(2) 6.750 5(9)
    Z 2 4
    Dc / (g·cm-3) 1.509 1.461
    μ / mm-1 14.434 1.783
    Limiting indices -16 ≤ h ≤ 16, -18 ≤ k ≤ 19, -19 ≤ l ≤ 19 -22 ≤ h ≤ 22, -27 ≤ k ≤ 27, -23 ≤ l ≤ 23
    Reflection collected 44 051 255 712
    Number of parameters 784 864
    Rint 0.082 7 0.097 8
    GOF on F 2 0.963 1.130
    R1, wR2 [I > 2σ(I)] 0.076 6, 0.202 6 0.050 4, 0.114
    R1, wR2 (all data) 0.089 4, 0.220 2 0.062 0, 0.121 5

    通过紫外可见吸收光谱法、CV、荧光光谱法研究了配合物12与DNA的作用模式,具体方法见Supporting information。

    单晶X射线衍射数据表明,配合物12结构相似,其分子结构如图 45所示。配合物1属于三斜晶系P1空间群;配合物 2属于单斜晶系P21/c空间群。在此,我们选择配合物 1的分子结构进行详细描述。配合物 1的分子结构主要是由4个Sm(Ⅲ)离子、4个乙酰丙酮离子(acac-)、6个脱质子的席夫碱配体(L1-)以及2个μ3-OH-组成。4个Sm(Ⅲ)离子通过6个μ2-O和2个μ3-OH-相互连接,形成一个菱形的Sm4核心。如图 6a所示,中心的Sm1(Ⅲ)和Sm2(Ⅲ)离子都是八配位,与Sm1(Ⅲ)离子配位的6个氧原子,分别来自3个L1-配体(O1、O4和O5)、1个acac-(O3和O6)及1个μ3-OH-(O7),2个N原子来自2个L1-的2个吡啶N原子(N4和N6);与Sm2(Ⅲ)离子配位的7个氧原子,分别来自3个L-(O5、O1a和O4a)、1个acac-(O8和O9)和2个μ3-OH-(O7和O7a),1个氮原子来自1个L1-(N3)。如图 6b所示,八配位的Sm1(Ⅲ)及Sm2(Ⅲ)离子均呈三角形十二面体配位构型(通过SHAPE2.0软件计算得出,如表S3所示)。8-羟基喹啉席夫碱配体L1-和acac-的配位模式如图 7所示,两者均以双齿螯合的模式与中心Sm(Ⅲ)离子配位。在配合物1中,相邻的稀土离子间的距离Sm1 (Ⅲ) …Sm2 (Ⅲ)为0.393 00(6) nm,Sm1(Ⅲ)…Sm2a(Ⅲ)为0.365 21(6) nm,对角的稀土离子间的距离Sm1(Ⅲ)…Sm1a(Ⅲ)为0.650 25(7) nm,Sm2(Ⅲ)…Sm2a(Ⅲ)为0.390 96(8) nm。Sm2—O5—Sm1、O3—Sm1—O4、Sm1—O4—Sm2a和O7—Sm2— O8之间的夹角分别为104.84(18)°、782.67(19)°、97.11(18)°和73.34(18)°,Sm—O的键长范围为0.233 3(7)~0.250 4(6) nm,Sm—N的键长范围为0.258 3(8)~0.261 6(8) nm,O—Sm—O键角在65.93(18)°~148.04(18)°范围内。与文献报道的多核稀土配合物相比较,其重要的键长及键角值均在合理范围内[20-24]

    图 4

    图 4.  配合物1的分子结构(50%的椭球概率水平)
    Figure 4.  Molecular structure of complex 1 shown with 50% probability displacement ellipsoids

    All hydrogen atoms are omitted for clarity; Symmetry code: a: 1-x, 1-y, 1-z.

    图 5

    图 5.  配合物2的分子结构(50%的椭球概率水平)
    Figure 5.  Molecular structure of complex 2 shown with 50% probability displacement ellipsoids

    All hydrogen atoms are omitted for clarity; Symmetry code: a: 1-x, 1-y, 1-z.

    图 6

    图 6.  Sm(Ⅲ)的(a) 配位环境和(b) 配位构型
    Figure 6.  (a) Coordination environment and (b) coordination configuration of Sm(Ⅲ)

    Symmetry code: a: 1-x, 1-y, 1-z.

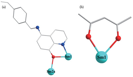
    图 7

    图 7.  (a) L1-和(b) acac-的配位模式
    Figure 7.  Coordination modes of (a) L1- and (b) acac-

    Symmetry code: a: 1-x, 1-y, 1-z.

    为了检验配合物12的相纯度,在室温下对2个配合物的晶体粉末分别进行了粉末X射线衍射(PXRD)测试。将测试得到的PXRD数据与通过单晶结构模拟计算的理论值进行了对比。如图 S4所示,实验数据图与拟合的PXRD图主要峰的位置和形状基本吻合,表明收集的配合物12的晶体样品具有较高的相纯度。为了进一步探究配合物 12的热稳定性,在N2保护下,对它们的晶体粉末进行热重(TG)测试(温度范围25~800 ℃,升温速率10 ℃· min-1),其TG曲线如图S5所示。结果表明,配合物12随着温度的升高,失重过程基本相似,且表现出较高的热稳定性。以配合物 1为例进行详细分析:在温度区间30~150 ℃,TG曲线基本不变;150~ 600 ℃之间失重率约为38.29%,对应失去4个辅助配体acac-以及6个席夫碱配体L1- (理论值为35.19%),600 ℃后配合物1逐渐分解。

    为了研究配合物12的化学组成及价态,对其进行XPS测试(图 8)。对于配合物12,在283.2/ 279.2 eV、396.8/397.4 eV和530.0/528.2 eV的峰分别归属于C1s、N1s和O1s。同时,在1108/1107 eV和1081 eV处观察到了Sm3d3/2和Sm3d5/2信号峰,证实了配合物12中存在Sm(Ⅲ)离子(图 S6)。

    图 8

    图 8.  配合物12的XPS全谱图
    Figure 8.  XPS survey spectra of complexes 1 and 2

    在室温下,在甲醇溶液中测试了8-羟基喹啉席夫碱配体HL1和HL2、Sm(acac)3·2H2O和配合物12的紫外可见吸收光谱(图S7)。可以清楚地观察到HL1和HL2均在297和350 nm处有2个吸收带,归属于芳香环和C=N的nπ* 和ππ* 跃迁。Sm(acac)3·2H2O在206、240和295 nm处出现3个吸收带,这是acac-中羰基(C=O)的ππ*跃迁引起的。在配合物12的光谱中,205和250 nm处的吸收带主要源于双齿席夫碱阴离子配体和acac-配体的分子内ππ*跃迁,配合物中365 nm左右处的吸收峰主要来源于acac-配体的nπ*跃迁。对比配合物 12与配体HL1和HL2的紫外可见光谱图,225~450 nm范围内配合物1的吸收峰发生显著的红移现象;对比配合物12与Sm(acac)3·2H2O的吸收峰,在200~250 nm观察到了蓝移现象,这可能是由于配体HL1和HL2与稀土离子之间存在螯合效应[25]

    2.4.1   紫外光谱法分析

    紫外可见吸收光谱法是研究小分子与核酸相互作用机制的一种简单而常用的方法[26-28]。通常认为,小分子与DNA的作用方式主要有静电作用、沟面键合作用和插入作用[29]。DNA分子中的嘌呤碱和嘧啶碱具有共轭双键,使得DNA分子在240~290 nm处会有较强的紫外吸收带,最大吸收峰在260 nm左右,而金属配合物也有吸收带,因此,可以根据配合物与DNA分子相互作用前后谱带的变化来判断配合物的作用方式。从图S8可以看出,配合物 12与CTDNA相互作用后,配合物-CTDNA复合物体系的紫外可见吸收光谱比单独的CTDNA有明显的红移,随着浓度的增大,红移幅度也增大。由这种现象可以推断配合物12与DNA发生插入结合。

    2.4.2   CV分析

    根据加入DNA前后配合物电化学性质的变化,可以判断配合物与DNA的相互作用模式。当配合物分子与DNA发生插入结合时,配合物的扩散系数减小,导致其还原峰电流减小,配合物分子的CV曲线式量电位会正移;当配合物与DNA中带负电的磷酸基团静电结合时,配合物分子的CV曲线式量电位会发生负移[30-31]。如图 9所示,配合物12的CV曲线式量电位正移,这表明配合物12与CTDNA可能发生了插入结合[32]

    图 9

    图 9.  配合物1~2与CTDNA相互作用的CV曲线
    Figure 9.  CV curves for the interaction between complexes 1-2 and CTDNA
    2.4.3   荧光光谱法分析

    利用EB与DNA结合可以发射荧光这一特性,可用荧光光谱法研究Sm4配合物与DNA之间的作用方式。核酸染料EB本身发射的荧光强度弱,但与DNA的结合能力较强,Sm4配合物与DNA发生特异性结合可引起荧光的部分猝灭现象[33]。如图 10所示,GelRed-DNA复合体系在623 nm处发出强烈荧光,且随着配体以及配合物12浓度的增加,GelRed-DNA复合体系的荧光发生不同程度猝灭,由此推测配体、配合物12分别与CTDNA分子发生了插入作用。根据Stern-Volmer方程[34]I0/I=1+Ksqr(其中I0I分别为加入配体或配合物12前后体系在623 nm处的荧光强度,Ksq为猝灭常数,r= ccompound/cDNA),以I0/Ir作图,由拟合直线斜率可得配体HL1和HL2与配合物 12与DNA作用的Ksq分别为0.33、0.39、0.41和0.54,拟合结果表明配合物分子与DNA的插入作用强于配体。

    图 10

    图 10.  配体HL1和HL2以及配合物12对GelRed-DNA体系的荧光猝灭
    Figure 10.  Fluorescence quenching of GelRed-DNA system by ligand HL1 and HL2 and complexes 1 and 2

    From a to i: r=0, 0.013, 0.27, 0.40, 0.54, 0.67, 0.81, 0.94, 1.08, respectively; Inset: plot of I0/I vs r.

    通过溶剂热法,以席夫碱配体(HL1和HL2)与Sm(acac)3·2H2O反应,设计并合成了2例结构新颖的四核Sm(Ⅲ)基配合物,并系统地研究了配合物12的晶体结构及其与DNA的相互作用机理。单晶X射线衍射表明:配合物 12结构相似,4个Sm(Ⅲ)离子通过6个μ2-O和2个μ3-OH-相互连接,形成一个菱形的Sm4核心。采用紫外可见光谱法、循环伏安法和荧光光谱法研究了配合物12与DNA的相互作用机理,研究表明Sm4配合物与CTDNA相互作用的方式为插入结合。本研究为设计与构筑新颖结构的多核稀土配合物提供了一种有效的方法,且对探寻稀土配合物在生物活性方面的应用具有重要的意义。


    Supporting information is available at http://www.wjhxxb.cn
    1. [1]

      WANG L, HE Q Q, GAO Q, XU H, ZHENG T F, ZHU Z H, PENG Y, CHEN J L, LIU S J, WEN H R. Controllable synthesis of TbⅢ metal-organic frameworks with reversible luminescence sensing for benzal-dehyde vapor[J]. Inorg. Chem., 2023, 62:  3799-3807. doi: 10.1021/acs.inorgchem.2c04053

    2. [2]

      WANG W M, WANG S. Y, Zhang H, X, Shen H. Y, Zou J Y, Gao H L, Cui J Z, Zhao B. Modulating single-molecule magnet behaviour of phenoxo-O bridged lanthanide(Ⅲ) dinuclear complexes by using different β-diketonate coligands[J]. Inorg. Chem. Front., 2016, 3:  133-141.

    3. [3]

      WANG W M, KANG X M, SHEN H Y, WU Z L, GAO H L, CUI J Z. Modulating single-molecule magnet behavior towards multiple magnetic relaxation processes through structural variation in Dy4 clusters[J]. Inorg. Chem. Front., 2018, 5:  1876-1885. doi: 10.1039/C8QI00214B

    4. [4]

      WANG W M, ZHANG H X, WANG S Y, SHEN H Y, GAO H L, CUI J Z, ZHAO B. Ligand field affected single-molecule magnet behavior of lanthanide (Ⅲ) dinuclear complexes with an 8-hydroxyquinoline Schiff base derivative as bridging ligand[J]. Inorg. Chem., 2015, 54:  10610-10622. doi: 10.1021/acs.inorgchem.5b01404

    5. [5]

      WANG W M, XIN X Y, QIAO N, WU Z L, LI L, ZOU J Y. Self-assembly of octanuclear Ln(Ⅲ)-based clusters: Their large magnetocaloric effects and highly efficient conversion of CO2[J]. Dalton Trans., 2022, 51:  13957-13969. doi: 10.1039/D2DT01892F

    6. [6]

      SHI Y, TANG B, JIANG X L. Highly effective CS2 conversion with aziridines catalyzed by novel [Dy24] nano-cages in MOFs under mild conditions[J]. J. Mater. Chem A, 2022, 10:  4889-4894. doi: 10.1039/D1TA10522A

    7. [7]

      WANG W M, QIAO N, XIN X Y, WU Z L, CUI J Z. Octanuclear Ln(Ⅲ)-based clusters assembled by a polydentate Schiff base ligand and a β-diketone co-ligand: Efficient conversion of CO2 to cyclic carbonates and large magnetocaloric effect[J]. Cryst. Growth Des., 2023, 23:  87-95. doi: 10.1021/acs.cgd.2c00746

    8. [8]

      WANG K, ZHU Y L, ZHENG T F, XIE X, CHEN J L, WU Y Q, LIU S J, WEN H R. Highly pH-responsive sensor based on a EuⅢ metal-organic framework with efficient recognition of arginine and lysine in living cells[J]. Anal. Chem., 2023, 95:  4992-4999. doi: 10.1021/acs.analchem.2c05224

    9. [9]

      FESATIDOU M, PETROU A, ATHINA G. Heterocycle compounds with anti-microbial activity[J]. Curr. Pharm. Des., 2020, 26:  867-904. doi: 10.2174/1381612826666200206093815

    10. [10]

      KASHYAP A, ADHIKARI N, DAS A, SHAKYA A, GHOSH S K, SINGH U P, BHAT H R. Review on synthetic chemistry and antibacterial importance of thiazole derivatives[J]. Curr. Drug Discovery Technol., 2018, 15:  214-228. doi: 10.2174/1570163814666170911144036

    11. [11]

      LIAN W J, WANG X T, XIE C Z, TIAN H, SONG X Q, PAN H T, QIAO X, XU J Y. Mixed-ligand copper (Ⅱ) Schiff base complexes: The role of the co-ligand in DNA binding, DNA cleavage, protein binding and cytotoxicity[J]. Dalton Trans., 2016, 45:  9073-9087. doi: 10.1039/C6DT00461J

    12. [12]

      KING A P, GELLINEAU H A, MACMILLAN S N, WILSON J J. Physical properties, ligand substitution reactions, and biological activity of Co(Ⅲ)-Schiff base complexes[J]. Dalton Trans., 2019, 48:  5987-6002. doi: 10.1039/C8DT04606A

    13. [13]

      MORGANE M, THANOS T H. DNA replication stress as a hallmark of cancer[J]. Annu. Rev. Pathol, 2015, 10:  425-228. doi: 10.1146/annurev-pathol-012414-040424

    14. [14]

      ALEXANDROV L B, NIK-ZAINAL S, WEDGE D C. Signatures of mutational processes in human cancer[J]. Nature, 2013, 500:  415-421. doi: 10.1038/nature12477

    15. [15]

      PASCUA J A A, PRADO A J A, SOLIS B R B. Trends in fabrication, data gathering, validation, and application of molecular fluorometer and spectrofluorometer[J]. Spectroc. Acta Pt. A -Molec. Biomolec. Spectr., 2019, 220:  1376-1379.

    16. [16]

      WU F Y, XIE F Y, WU Y M. Interaction of a new fluorescent probe with DNA and its use in determination of DNA[J]. J. Fluoresc., 2008, 18:  175-181. doi: 10.1007/s10895-007-0261-6

    17. [17]

      王丽娟, 杨天林, 杨欢春. 稀土配合物Eu(pic)3·2H2O的合成、荧光性质及与DNA作用方式研究[J]. 稀有金属, 2010,34,(2): 257-263. WANG L J, YANG T L, YANG H C. Synthesis, fluorescence and DNA-binding of rare earth complex Eu(pic)3·2H2O[J]. Chinese Journal of Rare Metals, 2010, 34(2):  257-263.

    18. [18]

      宋盼, 周通, 杨水兰, 杨天林, 纳鹏军, 倪刚. N-二(4-乙基苯-二氨基甲酰基)甲基磷酸与稀土配合物的合成及其与DNA作用的电化学研究[J]. 化学试剂, 2016,38,(12): 1141-1148. SONG P, ZHOU T, YANG S L, YANG T L, NA P J, NI G. Synthesis and interaction of N-bis(4-ethylbenzene-diamidoformyl) methyl phosphonic acid and Eu (Ⅲ) complex with DNA[J]. Chemical Reagents, 2016, 38(12):  1141-1148.

    19. [19]

      毛盼东, 赵晓雷, 邵志鹏, 李敏, 吴伟娜, 王元. 含吡嗪的缩氨基脲配体Ni(Ⅱ)/Cd(Ⅱ)配合物的晶体结构及与DNA的相互作用[J]. 无机化学学报, 2017,33,890-896. MAO P D, ZHAO X L, SHAO Z P, LI M, WU W N, WANG Y. Crystal structures and DNA interaction properties of Ni(Ⅱ) and Cd(Ⅱ) complexes with a semicarbazone ligand bearing pyrazine unit[J]. Chinese J. Inorg. Chem., 2017, 33:  890-896.

    20. [20]

      李晓红, 吴现为, 王元, 吴伟娜. 喹啉-2-甲醛缩4-氟苯基氨基硫脲Cd(Ⅱ)/Fe(Ⅲ)配合物的合成、晶体结构和DNA结合性质[J]. 无机化学学报, 2022,38,1790-1798. LI X H, WU X W, WANG Y, WU W N. Synthesis, crystal structures, and DNA-binding properties of Cd(Ⅱ)/Fe(Ⅲ) complexes with 4-fluorophenyl-N-(quinolin-2-ylmethylene) thiosemicarbazide[J]. Chinese J. Inorg. Chem., 2022, 38:  1790-1798.

    21. [21]

      LI X Z, TIAN C B, SUN Q F. Coordination-directed self-assembly of functional polynuclear lanthanide supramolecular architectures[J]. Chem. Rev., 2022, 122:  6374-6458.

    22. [22]

      ANWAR M U, DAWE L N, TANDON S S, BUNGE S D, THOMPSON L K. Polynuclear lanthanide (Ln) complexes of a tri-functional hydrazone ligand-mononuclear (Dy), dinuclear (Yb, Tm), tetranuclear (Gd), and hexanuclear (Gd, Dy, Tb) examples[J]. Dalton Trans., 2013, 42:  7781-7794.

    23. [23]

      YU H, YANG J X, HAN J Q, LI P F, HOU Y L, WANG W M, FANG M. Tetranuclear lanthanide complexes showing magnetic refrigeration and single molecule magnet behavior[J]. New J. Chem., 2019, 436:  8067-8074.

    24. [24]

      CANAJ A B, TSIKALAS G K, PHILIPPIDIS A, MILIOS A, SPYROS C J. Heptanuclear lanthanide [Ln7] compounds: From blue-emitting solution stable complexes to hybrid compounds[J]. Dalton Trans., 2014, 43:  12486-12494.

    25. [25]

      LING Y N, CHEN F J, ZHAO G H, DU S W, LIANG Y J, NIU Y T, MA X Q, CHEN Y X, ZHAO J Y, FANG M. Multifunctional Ln2 compounds with butterfly-shaped structures: Remarkable single-molecule magnet behaviors, and biological activities[J]. Mol. Struct., 2024, 1318:  139148.

    26. [26]

      WANG J L, LI W Y, WEI S J, LI X G, LIU Y J, WANG J, YAO Y, WANG Q, WANG W M. Manipulation of two β-diketone co-ligand to form Yb2 and Yb4 compounds: Structures, near-infrared luminescence properties, and biological activities[J]. Inorg. Chim. Acta, 2025, 579:  122563.

    27. [27]

      XIN X Y, QIAO N, CAO C S, CHEN F J, LI W Y, LING Y N, SHI X H, SHI Y, LI M, WU Z L, WANG W M. Crystal structure, fluorescence properties and biological activity of three μ2-O bridged Ln2 (Ln=Sm, Eu and Tb) compounds[J]. Inorg. Chim. Acta, 2022, 541:  121092.

    28. [28]

      SHI X H, XIN X Y, CHEN F J, LI W Y, WEI S J, LIU J C, HAN H, WU W H Y, WANG J N, WANG J Y, WANG J, SHI Y. Crystal structure, fluorescence properties, and biological activity of three butterfly-shaped Ln4 compounds[J]. Polyhedron, 2023, 234:  116321.

    29. [29]

      卢继新, 项振玲, 赵龙, 徐靖源, 李娟. 多柔比星稀土金属离子配合物与DNA相互作用的研究[J]. 分析科学学报, 2012,28,(3): 381-384. LU J X, XIANG Z L, ZHAO L, XU J Y, LI J. Study on the interaction of adriamycin rare earth metal complexes with DNA[J]. Journal of Analytical Science, 2012, 28(3):  381-384.

    30. [30]

      许东芳, 沈智慧, 何其庄, 夏庆春, 杨自芳, 邵超英. 稀土钼酸2-氨基-4, 6-二甲氧基嘧啶三元配合物的合成、表征及其生物活性研究[J]. 中国稀土学报, 2008,37,499-503. XU D F, SHEN Z H, HE Q Z, XIA Q C, YANG Z F, SHAO C Y. Synthesis, characterization and biological activity of rare earth complexes with 2-amino-4, 6-dimethoxypyrim idine[J]. Journal of the Chinese Rare Earth Society, 2008, 37:  499-503.

    31. [31]

      李红, 计亮年, 李伟善, 徐政和. 脱氧核糖核酸电化学研究进展[J]. 无机化学学报, 2003,19,(3): 225-232. LI H, JI L N, LI W S, XU Z H. Progress in electrochemical studies of deoxyribonucleic acid[J]. Chinese J. Inorg. Chem., 2003, 19(3):  225-232.

    32. [32]

      李红, 蒋雄, 巢晖, 叶保辉, 计亮年. 单核、对称双核钌配合物在铂电极上的电化学行为[J]. 化学学报, 2000,58,(7): 825-830. LI H, JIANG X, CHAO H, YE B H, JI L N. Electrochemical behavior of mononuclear and symmetrical binuclear ruthenium complexes on a platinum electrode[J]. Acta Chim. Sinica, 2000, 58(7):  825-830.

    33. [33]

      LIAO C, ZHU X, SUN X G, DAI S. Investigation of carbon-2 substituted imidazoles and their corresponding ionic liquids[J]. Tetrahedron Lett., 2011, 52:  5308-5310.

    34. [34]

      LAKOWICZ J R, WEBER G. Quenching of fluorescence by oxygen. A probe for structural fluctuations in macromolecules[J]. Biochemistry, 1973, 12:  4161-4170.

  • 图 1  (a) HL1和(b) HL2的结构

    Figure 1  Molecule structures of (a) HL1 and (b) HL2

    图 2  HL1的合成路线

    Figure 2  Synthetic route of HL1

    图 3  配合物1的合成路线

    Figure 3  Synthetic route of complex 1

    图 4  配合物1的分子结构(50%的椭球概率水平)

    Figure 4  Molecular structure of complex 1 shown with 50% probability displacement ellipsoids

    All hydrogen atoms are omitted for clarity; Symmetry code: a: 1-x, 1-y, 1-z.

    图 5  配合物2的分子结构(50%的椭球概率水平)

    Figure 5  Molecular structure of complex 2 shown with 50% probability displacement ellipsoids

    All hydrogen atoms are omitted for clarity; Symmetry code: a: 1-x, 1-y, 1-z.

    图 6  Sm(Ⅲ)的(a) 配位环境和(b) 配位构型

    Figure 6  (a) Coordination environment and (b) coordination configuration of Sm(Ⅲ)

    Symmetry code: a: 1-x, 1-y, 1-z.

    图 7  (a) L1-和(b) acac-的配位模式

    Figure 7  Coordination modes of (a) L1- and (b) acac-

    Symmetry code: a: 1-x, 1-y, 1-z.

    图 8  配合物12的XPS全谱图

    Figure 8  XPS survey spectra of complexes 1 and 2

    图 9  配合物1~2与CTDNA相互作用的CV曲线

    Figure 9  CV curves for the interaction between complexes 1-2 and CTDNA

    图 10  配体HL1和HL2以及配合物12对GelRed-DNA体系的荧光猝灭

    Figure 10  Fluorescence quenching of GelRed-DNA system by ligand HL1 and HL2 and complexes 1 and 2

    From a to i: r=0, 0.013, 0.27, 0.40, 0.54, 0.67, 0.81, 0.94, 1.08, respectively; Inset: plot of I0/I vs r.

    表 1  配合物1和2的晶体学数据和精修参数

    Table 1.  Crystallographic data and structure refinements for complexes 1 and 2

    Parameter 1 2
    Formula C136H130N16O16Sm4 C152H118N12O16Sm4
    Formula weight 2 845.95 2 969.98
    Crystal system Triclinic Monoclinic
    Space group P1 P21/c
    a / nm 1.307 93(3) 1.808 34(14)
    b / nm 1.568 53(4) 2.172 08(13)
    c / nm 1.582 80(4) 1.838 89(15)
    α/(°) 82.918(2)
    β/(°) 76.347(2) 110.836(3)
    γ/(°) 89.026(2)
    V / nm3 3.131 1(2) 6.750 5(9)
    Z 2 4
    Dc / (g·cm-3) 1.509 1.461
    μ / mm-1 14.434 1.783
    Limiting indices -16 ≤ h ≤ 16, -18 ≤ k ≤ 19, -19 ≤ l ≤ 19 -22 ≤ h ≤ 22, -27 ≤ k ≤ 27, -23 ≤ l ≤ 23
    Reflection collected 44 051 255 712
    Number of parameters 784 864
    Rint 0.082 7 0.097 8
    GOF on F 2 0.963 1.130
    R1, wR2 [I > 2σ(I)] 0.076 6, 0.202 6 0.050 4, 0.114
    R1, wR2 (all data) 0.089 4, 0.220 2 0.062 0, 0.121 5
    下载: 导出CSV
  • 加载中
计量
  • PDF下载量:  0
  • 文章访问数:  2571
  • HTML全文浏览量:  666
文章相关
  • 发布日期:  2025-06-10
  • 收稿日期:  2024-07-07
  • 修回日期:  2025-03-15
通讯作者: 陈斌, bchen63@163.com
  • 1. 

    沈阳化工大学材料科学与工程学院 沈阳 110142

  1. 本站搜索
  2. 百度学术搜索
  3. 万方数据库搜索
  4. CNKI搜索

/

返回文章