Citation: Xia ZHANG, Yushi BAI, Xi CHANG, Han ZHANG, Haoyu ZHANG, Liman PENG, Shushu HUANG. Preparation and photocatalytic degradation performance of rhodamine B of BiOCl/polyaniline[J]. Chinese Journal of Inorganic Chemistry, 2025, 41(5): 913-922. doi: 10.11862/CJIC.20240255
BiOCl/聚苯胺的制备及其光催化降解罗丹明B性能
-
关键词:
- 光催化
- / Ⅱ型异质结
- / BiOCl/polyaniline
- / 罗丹明B
English
Preparation and photocatalytic degradation performance of rhodamine B of BiOCl/polyaniline
-
Key words:
- photocatalysis
- / Ⅱ-type heterojunction
- / BiOCl/polyaniline
- / rhodamine B
-
印染废水是典型的工业废水,其排放量占全球工业废水排放总量的20%[1]。印染废水中含有高浓度的有机污染物,其成分复杂且色泽深重,同时带有有毒有害物质。若此类废水未经妥善处理或处理不当,其排放将对生态环境造成严重破坏,并威胁到人类的健康[2]。在各种废水处理技术中,半导体光催化技术具有许多突出的优势,如利用太阳光作为光源能够将有机染料分解成小分子物质。在太阳光的照射下,半导体光催化剂的导带(CB)产生电子(e-),而价带(VB)产生空穴(h+),这些光激发的载流子(电子和空穴)是染料光降解过程中的原始活性物质。为了使更多的载流子可用于光催化反应,并提高半导体的光催化性能,必须有效地将光激发电子和空穴对分离。氯化铋(BiOCl)作为一种层状三元氧化物半导体,其在污染物控制、水分解、二氧化碳光还原和氮气固定等方面的应用潜力受到了广泛的关注[3]。BiOCl具有四方层状结构,空间群为P4/nmm。层状结构以[Bi2O2]2+层与2层Cl-层交错为特征,通过范德瓦耳斯相互作用堆叠,使其容易结晶为单晶纳米片[4]。由于BiOCl的带隙达到3.4 eV,占太阳光5%的紫外光才能激发BiOCl,这不仅浪费了太阳光中其他波长的光,而且限制了其实际降解率[5]。因此,提高可见光吸收能力、光生载流子分离和传输效率及光催化性能是有必要的。聚苯胺(PANI)由于其独特的电子和空穴传输特性、简便的合成过程、良好的化学稳定性和灵活的掺杂化学特性,是目前研究最深入的导电聚合物之一[6]。由于2种半导体之间的电荷转移所产生的电子-空穴对的有效分离,使异质结复合光催化剂通常表现出优于单一半导体光催化剂的光催化性能。
我们采用原位聚合法制备了Ⅱ型异质结光催化剂BiOCl/PANI,该方法操作过程简单、安全和无毒。采用X射线衍射(XRD)、傅里叶变换红外光谱(FTIR)、透射电子显微镜(TEM)、X射线光电子能谱(XPS)和紫外可见漫反射光谱(UV-Vis DRS)等测试技术对制备的BiOCl/PANI复合材料进行表征。通过光催化降解实验得到了光催化剂降解罗丹明B(RhB)的最佳比例,并考察了其降解性能。
1. 实验部分
1.1 原料与试剂
五水合硝酸铋(Bi(NO3)3·5H2O,AR)购自西陇科学制药有限公司;氯化钾(KCl,AR)购自天津市百世化工公司;PANI((—C6H4—NH—)n,AR)购自广州昊丰化工有限公司;氢氧化钠(NaOH,AR)购自天津市风船化学试剂科技有限公司;罗丹明B(C28H31ClN2O3,AR)和叔丁醇(TBA,(CH3)3COH)购自天津科密欧化学试剂有限公司;硝酸银(AgNO3,AR)、对苯醌(BQ,C6H4O2,AR)和草酸铵(AO,(NH4)2C2O4)购自北京海岸鸿蒙标准物质科技公司;去离子水(H2O)为自制。
1.2 材料制备
将1.455 g的Bi(NO3)3·5H2O(99%)溶解到20 mL超纯水中,在室温下,用超声仪振荡10 min。将0.223 g的KCl溶解到10 mL去离子水中。把Bi(NO3)3溶液放在磁力搅拌器上搅拌,然后缓缓加入KCl溶液,再加入0.218 g的PANI粉末,用1 mol·L-1的NaOH溶液调节pH值至中性后,将混合物转移到25 mL的高压釜中,然后在烘箱中以160 ℃加热12 h。反应结束后,将高压釜自然冷却至室温,将制备的样品进行离心,用去离子水洗涤。最后,将沉淀物在烘箱中70 ℃干燥6 h,得到BiOCl/PANI样品,命名为BiOClP-0.02(PANI与BiOCl的物质的量之比为0.02∶1)。为了便于比较,在没有PANI的类似条件下制备了纯BiOCl。按照相同的实验步骤,根据PANI和BiOCl的不同物质的量之比(0.05∶1、0.1∶1、0.2∶1、0.5∶1)制备了另外4种样品,分别命名为BiOClP-0.05、BiOClP-0.1、BiOClP-0.2、BiOClP-0.5。
1.3 光催化实验
光催化降解RhB的实验在1个80 mL的石英玻璃反应容器中进行。选用300 W Xe灯作为可见光光源,采用截止滤光片(λ > 400 nm)。首先,将15 mg的光催化剂加入到30 mL 50 mg·L-1的RhB水溶液中。然后,将混合物以200 r·min-1的速度在黑暗条件下搅拌60 min作为预吸附过程,以实现污染物与催化剂之间的吸附-脱附平衡。最后,打开光,每隔30 min在石英玻璃反应容器中吸取4 mL悬浮液,重复5次后,将6个试管放入离心机中进行离心处理,取上清液用紫外可见分光光度计测定RhB的质量浓度。
1.4 催化剂表征测试
采用荷兰帕纳科Empyrean公司的X射线衍射仪对催化剂进行结构XRD表征,光源为Cu Kα辐射(λ=0.154 056 nm),Ni滤波,管电压为40 kV,管电流为40 mA,扫描速率为2 (°)·min-1,扫描范围为5°~80°。使用美国PerkinElmer公司生产的型号为Spectrum One红外光谱仪对半导体样品的表面基团进行了表征,以KBr作为背景,并利用KBr与催化剂的混合固体粉末(质量比为1∶100)进行压片,扫描波长范围为4 000~400 cm-1。利用FEI电镜公司生产的型号为Tecnai G2 20透射电子显微镜对样品形貌、尺寸大小、元素分布及晶格条纹等进行了测试,将均匀分散在无水乙醇中的样品滴在铜网上,测试的加速电压为200 kV。采用Thermo公司生产的型号为ESCALAB 250 X射线光电子能谱仪对材料的表面组成以及表面化学态进行了一系列表征(Al Kα,1 486.6 eV,150 W),以C1s峰(284.6 eV)进行校正。采用PerkinElmer公司生产的UV/VS/NIR Lambda750s测定了样品在不同波长下的光吸收能力,以硫酸钡为背景基线,扫描范围为200~800 nm。采用美国麦克公司ASAP 2020型全自动比表面及孔隙度分析仪,在150 ℃下持续6 h脱气处理后,对催化剂进行N2吸附-脱附测试。
2. 结果与讨论
2.1 XRD和FTIR分析
不同光催化剂的XRD图如图 1a所示。BiOCl/PANI光催化剂的XRD图中明显包含BiOCl(PDF No.01-0861)晶相的特征衍射峰,表明制备的复合材料中含有BiOCl[7]。随着PANI加入量的增加,其特征峰强度增强,而BiOCl特征峰强度减弱,这可能是由晶体的尺寸效应造成的,随着PANI加入量的增加,BiOCl晶体的尺寸可能变小,从而导致晶格缺陷和表面效应等因素对晶体的结构和性质产生影响[8]。不同光催化剂的FTIR谱图如图 1b所示,在BiOClP-0.02的FTIR谱图中,534 cm-1左右的特征峰归属于Bi—O的伸缩振动,1 629 cm-1左右的特征峰归属于O—H键弯曲引起的PANI的吸收峰[9]。BiOClP-0.02的特征峰与BiOCl相比,发生了一定程度的偏移,这表明PANI和BiOCl纳米颗粒之间存在一些相互作用。换句话说,这种相互作用可能是由于BiOCl纳米颗粒表面与PANI的NH基团之间形成了氢键[10-11]。此外,BiOCl/PANI复合材料的吸收峰表现出BiOCl和PANI的特征峰,表明BiOCl/PANI复合材料成功合成。
图 1
2.2 TEM分析
在催化剂表面,具备适当的形貌和组成的均匀分布是获得优异催化性能的基本要素[12]。通过TEM分析,确定了所得到的催化剂的内部微观结构和纳米颗粒尺寸。图 2a插图是BiOCl的高分辨透射电镜(HRTEM)图,图中可以清晰地观察到晶格间距为0.268 7 nm的晶格条纹,其对应BiOCl的(102)晶面。在图 2b中,PANI显示为深色纳米片状结构。此外,如图 2c、2d所示,纳米复合材料的TEM图像显示了在BiOCl的表面沉积了PANI的片状结构,薄片中心部分较暗的区域显示PANI含量较高。这些结果表明了复合材料BiOClP-0.02的成功制备。
图 2
2.3 XPS表征
样品的XPS全谱图如图 3所示,制备的BiOClP-0.02和BiOCl纳米复合材料含有Bi、O、Cl、C和N元素。此外,我们还对纳米复合材料中元素的化学状态进行了研究。在图 4a中,BiOClP-0.02的Bi4f谱图在164.5和159.1 eV处有2个峰,分别对应Bi4f5/2和Bi4f7/2,代表Bi3+的存在[13]。在图 4b中,可以观察到O1s的特征峰。其中,位于532.1 eV的峰是BiOClP-0.02表面吸附水分子的—OH键;530.5 eV的峰是BiOClP-0.02的表面吸附氧(Os);而位于529.9 eV处的峰对应于[Bi2O2]2+结构中的Bi—O键[14-15]。在图 4c中,BiOClP-0.02位于199.5和197.8 eV的特征峰分别对应于Cl2p1/2和Cl2p3/2能级[16]。在图 4d中,BiOClP-0.02处的N1s核心光谱显示404.0 eV的峰对应的是亚胺(—NH+),399.1 eV的峰对应的是苯胺(—NH—),397.3 eV的峰对应的是醌亚胺(—N—)[17]。因此,XPS分析也证实了在纳米复合材料中存在BiOCl和PANI。同时,与BiOCl中的相应轨道相比,BiOClP-0.02样品中的Bi4f、O2p和Cl2p轨道结合能向高结合能方向移动,说明了BiOCl和PANI之间存在一定的电子转移。
图 3
图 4
2.4 光催化性能分析
图 5a是BiOClP-0.02光降解过程中RhB随时间变化的吸收光谱。由图可知,随着时间的增加,554 nm处的特征峰强度显著降低,特征峰发生蓝移,这归因于RhB的去乙基化作用[18]。图 5b显示了PANI、BiOCl和BiOCl/PANI复合材料对RhB的降解率。添加不同的光催化剂时,光催化降解曲线都得到了不同程度的降低,说明在相同的条件下,催化剂对RhB有一定的降解作用。BiOClP-0.02在光反应150 min后,RhB降解率达到最高值98.8%。随着PANI掺杂比例的进一步增加,降解率降低。这可能是由于PANI团聚,使得其活性位点减少,界面作用减弱,从而导致降解率降低。如图 5c所示,通过准一级动力学反应方程对光催化过程进行拟合[19]:
ln(ρ0′/ρ) = kt
图 5
图 5. (a) BiOClP-0.02降解过程中,RhB染料溶液的UV-Vis吸收光谱; (b) 不同样品对RhB的光降解曲线和(c)相应的动力学曲线; (d) BiOClP-0.02降解RhB的TOC分析Figure 5. (a) UV-Vis absorption spectra of RhB dye solutions during the photodegradation process using BiOClP-0.02; (b) Photodegradation curves of RhB for different samples and (c) corresponding kinetic curves; (d) TOC analysis of RhB degradation over BiOClP-0.02其中ρ0′为暗反应吸附后RhB溶液的初始质量浓度,ρ为光催化反应后RhB溶液的质量浓度,t为反应时间。以ln(ρ0′/ρ)对t作图,通过线性拟合所得斜率即为反应速率常数k。BiOClP-0.02光催化剂速率常数为0.031 min-1,R2为0.954。如图 5d所示,经过光催化降解过程后,总有机碳(TOC)值下降到87%,这表明,在光催化降解过程中发生了一定的矿化。TOC值的下降和有机物含量的降低意味着其环境危害性减小。同时,使用物理混合方法合成的BiOClP-0.02-mix(将物质的量之比为0.02∶1的PANI与BiOCl混合后,放入研磨器中均匀研磨的样品)光催化降解RhB的效率为60%,这表明PANI和BiOCl之间存在一定的化学相互作用,而不是物理接触。此外,如表 1所示,与以前报道的工作[20-26]相比,BiOCl/PANI光催化剂表现出较优秀的RhB降解率。
表 1
表 1 光催化降解有机污染物的效率比较Table 1. Comparision of the efficiency in photocatalytic degradation of organic pollutantsSample Pollutant t / min Degradation rate / % Cycle number Post-cycle efficiency / % Ref. BiOCl/PANI RhB 150 98.8 4 98.4 This work BOC-EG∶2EAa RhB 10 99 3 48.6 [20] Bi/BiOCl/Bi2O2CO3 RhB 12 99 8 75.81 [21] Carbon nanosheets/MnO2/BiOCl RhB 25 97 3 90 [22] BiOCl/Bi5O7I RhB 70 97.7 4 81 [23] Cu-BiOCl RhB 120 99.1 5 85 [24] PANI/BiOCl Methyl orange 210 67 3 60 [25] a BOC: BiOCl; EG: ethylene glycol; EA: absolute ethyl alcohol. 2.5 光电化学性质分析
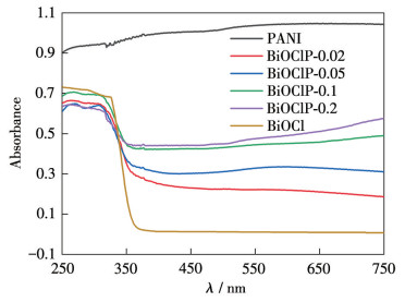
图 6为BiOCl和BiOCl/PANI光催化剂的UV-Vis DRS。由于PANI分子的π-π*转变,在整个紫外和可见区域具有很强的吸收性能。加入PANI后,BiOCl在可见区的吸收能力随着PANI含量的增加而增加。如图 7a所示,通过截取x轴切线可知,纯BiOCl材料的光学带隙值Eg为3.33 eV。图 7b为莫特-肖特基(M-S)曲线,BiOCl的CB能量(ECB)为-0.87 eV。根据公式EVB=Eg+ECB计算可知,BiOCl的VB能量(EVB)为2.46 eV。
图 6
图 7
如图 8a所示,BiOClP-0.02复合材料的光电流强度比BiOCl要高得多,与光催化性能一致。结果表明,BiOClP-0.02复合材料中大接触面的形成更有利于光诱导电子的转移和分离。但是,在进行10次光开关测试时,随着辐照时间的增加,样品的光电流强度逐渐降低,进一步证实了所获得的光催化剂的稳定性有待提高[26]。根据图 8b的电化学阻抗测试结果,BiOClP-0.02异质结的圆弧的半径比纯相BiOCl的小,这说明它的结构可以有效地减少界面电荷的迁移阻力,从而更好地抑制电路中的电流,提高了界面电荷的转移效率。
图 8
光催化反应过程中,半导体表面的反应活性位点起着决定性作用,影响其光催化性能。较大的比表面积由于其较多的活性位点,使得催化剂具有较优异的光催化活性[27]。图 9是样品的N2吸附-脱附曲线,其中BiOCl和BiOClP-0.02比表面积分别为3和15 m2·g-1。因此,BiOClP-0.02光催化剂优异的光催化性能来源于其较大的比表面积、较高的光生载流子分离效率和电荷转移速率。
图 9
2.6 光催化剂的稳定性和光降解机理
光催化剂的稳定性对其实际应用至关重要。如图 10a所示,采用BiOClP-0.02样品对RhB进行了4次循环利用实验以评估光催化剂的稳定性。BiOClP-0.02在连续开展4次循环实验后对RhB的降解率仍然达到98.4%。实验结果证明了BiOClP-0.02光催化剂具有较高的光催化活性、良好的稳定性和可重复使用性。在实验过程中为了研究光催化反应过程中的主要活性物质,选用对RhB处理效果最好的BiOClP-0.02复合光催化剂进行机理检测。实验中加入0.01 g BQ、0.1 g AO、0.1 g AgNO3和2.5 mL TBA分别作为超氧自由基(·O2-)、h+、e-及羟基自由基(·OH)的捕获剂。图 10b表明,当加入TBA、BQ和AO时,BiOClP-0.02降解RhB的效率明显降低,说明·OH、·O2-和h+在光催化降解RhB过程中起到关键性作用。而加入AgNO3后催化活性有了一定的提高,这是由于AgNO3捕获电子,提高了光生电子-空穴对的分离效率,从而使更多的h+参与到光催化反应中,最终提升了材料的光催化活性。实验表明·OH、·O2-和h+在光催化降解RhB过程中是主要的活性物质。
图 10
图 11a、11b是在不同光照时间下·O2-和·OH的电子自旋顺磁共振(ESR)谱,随着光照时间的延长,·O2-和·OH信号不断增强,这说明在光催化反应过程中,半导体表面有·O2-和·OH活性物质的产生。
图 11
据文献报道,PANI的最低未占据分子轨道(LUMO)能量为-2.14 eV,PANI的最高占据分子轨道(HOMO)能量为0.61 eV[28-29]。因此,BiOCl和PANI能带结构如图 12所示。当光催化剂受到光源(hν)照射时,PANI的LUMO中产生的电子将转移至BiOCl的导带CB上,而BiOCl的VB产生的h+将转移到PANI的LUMO上。最终,BiOCl CB上的电子将O2还原为·O2-。PANI的LUMO上的h+将与催化剂表面H2O反应形成具有较强氧化性的·OH。随后,BiOCl/PANI催化剂表面形成的h+、·O2-和·OH与RhB发生相互反应,生成小分子物质,达到催化分解RhB的目的。
图 12
3. 结论
通过原位聚合工艺合成了BiOCl/PANI复合光催化剂。结果表明,在模拟太阳光照射下,BiOClP-0.02对RhB的降解效率明显高于纯BiOCl。PANI高度分散在BiOCl上并与其形成强界面接触,建立有效的电荷传输途径,加速光生电子-空穴对的分离和迁移,使得RhB降解率高达98.8%,4次循环实验后对RhB的降解率仍然达到98.4%。循环实验表明复合材料具有优异的稳定性和循环利用性能。最重要的是,ESR和活性物质捕获实验的结果表明,h+、·O2-和·OH是降解RhB的重要活性物质。同时简单的制备方法以及绿色安全的优点,将为后续的纺织污水治理工作应用提供更多帮助。
-
-
[1]
LI Y Y, CAO P, WANG S A, XU X L. Research on the treatment mechanism of anthraquinone dye wastewater by algal-bacterial symbi-otic system[J]. Bioresour. Technol., 2022, 347: 126691. doi: 10.1016/j.biortech.2022.126691
-
[2]
SONG Y L, WANG L J, QIANG X, GU W H, MA Z L, WANG G C. An overview of biological mechanisms and strategies for treating wastewater from printing and dyeing processes[J]. J. Water Process Eng., 2023, 55: 104242. doi: 10.1016/j.jwpe.2023.104242
-
[3]
YANG Q, LI R J, WEI S Q, YANG R. Schottky functionalized Z-scheme heterojunction photocatalyst Ti2C3/g-C3N4/BiOCl: Efficient photocatalytic H2O2 production via two-channel pathway[J]. Appl. Surf. Sci., 2022, 572: 151525. doi: 10.1016/j.apsusc.2021.151525
-
[4]
LI K, TANG Y P, XU Y L, WANG Y L, HUO Y N, LI H X, JIA J P. A BiOCl film synthesis from Bi2O3 film and its UV and visible light pho-tocatalytic activity[J]. Appl. Catal B-Environ., 2013, 140/141: 179-188. doi: 10.1016/j.apcatb.2013.04.005
-
[5]
YAN Y X, YANG H, Yi Z, XIAN T. NaBH4-reduction induced evolu-tion of Bi nanoparticles from BiOCl nanoplates and construction of promising Bi@BiOCl hybrid photocatalysts[J]. Catalysts, 2019, 9(10): 795. doi: 10.3390/catal9100795
-
[6]
XU Z, ZHANG C, ZHANG Y, GU Y Y, AN Y R. BiOCl-based photo-catalysts: Synthesis methods, structure, property, application, and per-spective[J]. Inorg. Chem. Commun., 2022, 138: 109277. doi: 10.1016/j.inoche.2022.109277
-
[7]
XIONG D Z, ZHAO W, Guo J J, LI S B, YE Y, LEI E, YANG X F. Highly efficient and reusable BiOCl photocatalyst modulating by hydrogel immobilization and oxygen vacancies engineering[J]. Sep. Purif. Technol., 2021, 277: 119628. doi: 10.1016/j.seppur.2021.119628
-
[8]
SANCHEZ-RODRIGUEZ D, MENDEZ MEDRANO M G, REMITA H, ESCOBAR-BARRIOS V. Photocatalytic properties of BiOCl-TiO2 composites for phenol photodegradation[J]. J. Environ., 2018, 6(2): 1601-1612.
-
[9]
JIA Z H, Lv R, GUO L J, ZHANG J D, LI R, LIU J X, FAN C M. Rap-id degradation of ciprofloxacin over BiOCl: Insight into the molecular structure transformation and antibacterial activity elimination[J]. Sep. Purif. Technol., 2021, 257: 117872. doi: 10.1016/j.seppur.2020.117872
-
[10]
MOOSAVIAN M A, MOAZEZI N. Removal of cadmium and zinc ions from industrial wastewater using nanocomposites of PANI/ZnO and PANI/CoHCF: A comparative study[J]. Desalin. Water Treat., 2016, 57(44): 20817-20836. doi: 10.1080/19443994.2015.1110717
-
[11]
TURKTEN N, KARATAS Y, BEKBOLET M. Preparation of PANI modified ZnO composites via different methods: Structural, morpho-logical and photocatalytic properties[J]. Water, 2021, 13(8): 1025. doi: 10.3390/w13081025
-
[12]
DENG Y C, XU M Y, JIANG X Y, WANG J T, TREMBLAY P L, ZHANG T A. Versatile iodine-doped BiOCl with abundant oxygen vacancies and (110) crystal planes for enhanced pollutant photodeg-radation[J]. Environ. Res., 2023, 216: 114808. doi: 10.1016/j.envres.2022.114808
-
[13]
CUI J, TAO S S, YANG X L, YU X J, SUN S D, YANG Q, WEI W, LIANG S H. Facile construction of nickel-doped hierarchical BiOCl architectures for enhanced visible-light-driven photocatalytic activi-ties[J]. Mater. Res. Bull., 2021, 138: 111208. doi: 10.1016/j.materresbull.2021.111208
-
[14]
BAO S, LIANG H, Li C P, BAI J. The synthesis and enhanced photo-catalytic activity of heterostructure BiOCl/TiO2 nanofibers composite for tetracycline degradation in visible light[J]. J. Dispersion Sci. Technol., 2021, 42(13): 2000-2013. doi: 10.1080/01932691.2020.1795669
-
[15]
ADENUGA D O, TICHAPONDWA S M, CHIRWA E M N. Facile synthesis of a Ag/AgCl/BiOCl composite photocatalyst for visible light driven pollutant removal[J]. J. Photochem. Photobiol. A-Chem., 2020, 401: 112747. doi: 10.1016/j.jphotochem.2020.112747
-
[16]
张灏昱, 郭纪伟, 宫建仁, 辛昕, 李华伟, 杨佳敏, 黄姝姝. 氯氧化铋催化剂的电子结构调控及其光催化性能研究[J]. 分子催化, 2022,36,(5): 433-445. ZHANG H Y, GUO J W, GONG J R, XIN X, LI H W, YANG J M, HUANG S S. Study on the electronic structure modulation and photo-catalytic performance of bismuth oxychloride photocatalysts[J]. Journal of Molecular Catalysis (China), 2022, 36(5): 433-445.
-
[17]
QU X F, ZHAO X H, LIU M H, GAO Z Q, YANG D L, SHI L, TANG Y B, SONG H B. BiOCl/TiO2 composite photocatalysts syn-thesized by the solgel method for enhanced visible-light catalytic activity toward methyl orange[J]. J. Mater., 2020, 35(22): 3067-3078.
-
[18]
HAO X Y, GONG J Y, REN L Z, ZHANG D G, XIAO X, JIANG Y X, ZHANG F, TONG Z W. Preparation of polyaniline modified BiOBr with enhanced photocatalytic activities[J]. Funct. Mater. Lett., 2017, 10(4): 1750040. doi: 10.1142/S1793604717500400
-
[19]
HUANG S S, ZHANG J, QIN Y X, SONG F Y, DU C F, SU Y G. Direct Z-scheme SnO 2/Bi2Sn2O7 photocatalyst for antibiotics removal: Insight on the enhanced photocatalytic performance and promoted charge separation mechanism[J]. J. Photochem. Photobiol. A-Chem., 2021, 404: 112947. doi: 10.1016/j.jphotochem.2020.112947
-
[20]
WANG H T, JIANG X Y, Qi Y, DU J P, GUO T Y. Engineering bandgap structure of BiOCl nanoplates with oxygen vacancies for accelerated photocatalytic degradation of rhodamine B[J]. J. Alloy. Compd., 2022, 910: 164860. doi: 10.1016/j.jallcom.2022.164860
-
[21]
WANG L S, YIN H S, WANG S, WANG J. Ni2+-assisted catalytic one-step synthesis of Bi/BiOCl/Bi2O2CO3 heterojunction with enhanced photocatalytic activity under visible light[J]. Appl. Catal. B-Environ., 2022, 305: 121039. doi: 10.1016/j.apcatb.2021.121039
-
[22]
HONG X D, LI Y, WANG X, LONG J P, LIANG B. Carbon nanosheet/MnO 2/BiOCl ternary composite for degradation of organic pollutants[J]. J. Alloy. Compd., 2021, 891: 162090.
-
[23]
HUANG W D, XIAO X Y, LU M L, XIAO Y. In-situ fabrication of novel BiOCl/Bi 5O7I 2D/3D heterostructures with enhanced photocat-alytic activity[J]. J. Alloy. Compd., 2022, 895: 162669. doi: 10.1016/j.jallcom.2021.162669
-
[24]
LONG Z Q, WANG H L, HUANG K W, ZHANG G M, XIE H J. Di-functional Cu2+-doped BiOCl photocatalyst for degradation of organic pollutant and inhibition of cyanobacterial growth[J]. J. Hazard. Mater., 2022, 424: 127554. doi: 10.1016/j.jhazmat.2021.127554
-
[25]
WANG Q Z, HUI J, Li J J, CAI Y X, YIN S Q, WANG F P, SU B T. Photodegradation of methyl orange with PANI-modified BiOCl photo-catalyst under visible light irradiation[J]. Appl. Surf. Sci., 2013, 283: 577-583. doi: 10.1016/j.apsusc.2013.06.149
-
[26]
DING L Y, WEI R J, CHEN H, HU J C, LI J L. Controllable synthe-sis of highly active BiOCl hierarchical microsphere self-assembled by nanosheets with tunable thickness[J]. Appl. Catal. B-Environ., 2015, 172(172/173): 91-99.
-
[27]
LI J J, LU T Y, ZHAO Z W, XU R, LI Y, HUANG Y, YANG C Y, ZHANG S, TANG Y P. Preparation of heterostructured ternary Cd/CdS/BiOCl photocatalysts for enhanced visible-light photocatalytic degradation of organic pollutants in wastewater[J]. Inorg. Chem. Commun., 2020, 121: 108236. doi: 10.1016/j.inoche.2020.108236
-
[28]
HARIT A K, GUPTA S, WOO H Y, CHANDRA V. Enhanced photo-catalytic degradation of rhodamine B over Ag3PO4/polyaniline/NiFe 2O4 nanocomposite under solar light irradiation[J]. Inorg. Chem. Commun., 2021, 134: 109010. doi: 10.1016/j.inoche.2021.109010
-
[29]
蒋辽川, 李文轩, 高泽香, 卢宇航, 罗润桐, 柳晓俊, 关高明. PANI/BiOI/g-C3N4复合材料的制备及其可见光催化性能的研究[J]. 合成材料老化与应用, 2019,49,(6): 84-87. JIANG L C, LI W X, GAO Z X, LU Y H, LUO R T, LIU X J, GUAN G M. Preparation of PANI/BiOI/g-C3N4 composites and their visible light catalytic properties[J]. Synthetic Materials Aging and Applica-tion, 2019, 49(6): 84-87.
-
[1]
-
图 5 (a) BiOClP-0.02降解过程中,RhB染料溶液的UV-Vis吸收光谱; (b) 不同样品对RhB的光降解曲线和(c)相应的动力学曲线; (d) BiOClP-0.02降解RhB的TOC分析
Figure 5 (a) UV-Vis absorption spectra of RhB dye solutions during the photodegradation process using BiOClP-0.02; (b) Photodegradation curves of RhB for different samples and (c) corresponding kinetic curves; (d) TOC analysis of RhB degradation over BiOClP-0.02
表 1 光催化降解有机污染物的效率比较
Table 1. Comparision of the efficiency in photocatalytic degradation of organic pollutants
Sample Pollutant t / min Degradation rate / % Cycle number Post-cycle efficiency / % Ref. BiOCl/PANI RhB 150 98.8 4 98.4 This work BOC-EG∶2EAa RhB 10 99 3 48.6 [20] Bi/BiOCl/Bi2O2CO3 RhB 12 99 8 75.81 [21] Carbon nanosheets/MnO2/BiOCl RhB 25 97 3 90 [22] BiOCl/Bi5O7I RhB 70 97.7 4 81 [23] Cu-BiOCl RhB 120 99.1 5 85 [24] PANI/BiOCl Methyl orange 210 67 3 60 [25] a BOC: BiOCl; EG: ethylene glycol; EA: absolute ethyl alcohol. -
扫一扫看文章
计量
- PDF下载量: 4
- 文章访问数: 2176
- HTML全文浏览量: 339

下载:
下载:
下载: