Linear paired electrolysis enables redox-neutral benzylation of N-heteroarenes with benzyl halides using ion resin as the recyclable electrolyte

Yan-Cui Wen Jia-Cheng Hou Qian Zhou Sheng-Hua Wang Jun Jiang Zi Yang Hai-Tao Zhu Zu-Li Wang Wei-Min He

Citation:  Yan-Cui Wen, Jia-Cheng Hou, Qian Zhou, Sheng-Hua Wang, Jun Jiang, Zi Yang, Hai-Tao Zhu, Zu-Li Wang, Wei-Min He. Linear paired electrolysis enables redox-neutral benzylation of N-heteroarenes with benzyl halides using ion resin as the recyclable electrolyte[J]. Chinese Chemical Letters, 2025, 36(12): 111795. doi: 10.1016/j.cclet.2025.111795 shu

Linear paired electrolysis enables redox-neutral benzylation of N-heteroarenes with benzyl halides using ion resin as the recyclable electrolyte

English

  • Organic electrosynthesis has emerged as an indispensable powerful tool in synthetic chemistry, which utilizes clean and renewable electrons to drive bond formation under mild and safe conditions [14]. This strategy avoids the use of stoichiometric chemical redox reagents, improving atom-economy and aligning with the 12 Principles of Green Chemistry. Paired electrosynthesis is an attractive electrochemical methodology [57], in which both anodic oxidation and cathodic reduction contribute simultaneously to produce the target product, thus improving atom- and step-economy as well as energy efficiency of this process [812]. Both convergent paired electrolysis and linear paired electrolysis can realize redox-neutral reaction under electrochemical conditions. In convergent paired electrolysis [1315], the reactive intermediates produced separately by anodic oxidation and cathodic reduction react with each other to complete this transformation, which generally requires the activation of both substrates and the exact regulation of reaction rates at the electrodes. In contrast, linear paired electrolysis entails a sequential process where one reactant is activated at the electrode, triggering the entire transformation, thereby simplifying control over the reaction. However, compared to parallel paired electrolysis, the linear paired electrolysis enables redox-neutral reaction has been relatively rare. On the other hand, most of the electrochemical reactions require the use of stoichiometric non-recyclable inorganic salts as the supporting electrolytes to ensure sufficient ionic conductivity [1623], thus increasing the environmental and economic cost. To address this limitation, Vaccaro and Ferlin have recently reported the use of recyclable Amberlyst IRA-400-Cl anion resin as the electrolyte for coupling reactions [24]. Despite such great achievement, linear paired electrolysis enables redox-neutral reaction with recyclable electrolyte has scarcely been reported.

    Benzylated N-heteroarenes, such as 3-benzylquinoxalin-2(1H)‑one and its analogues, are important N-heteroarene derivatives [2533] encountered in a broad range of natural products, biologically active compounds and pharmaceuticals [3435]. In recent years, the direct C—H benzylation of N-heteroarenes with various benzylation reagents has emerged as a powerful tool for constructing benzylated N-heteroarenes [3644]. As inexpensive, commercially available and easily handled benzylation reagents, benzyl halides have been applied for benzylation reactions. In 2022, Yu's group developed the visible-light induced potassium 5‑bromo-1H-indole-1-carbodithioate (IC-K)-catalyzed C—H benzylation of quinoxalin-2(1H)-ones with benzyl halides (Scheme 1a) [45]. Yang and colleagues reported the visible-light induced Riboflavin-catalyzed C—H benzylation of quinoxalin-2(1H)-ones and benzyl bromides (Scheme 1b) [46]. However, both the afore-mentioned reactions require large excesses of inorganic base additives, non-recyclable photocatalysts, inert atmosphere and long light irradiation time, thus hindering their practical application. Therefore, it is highly desirable to develop a practical and sustainable synthetic protocol for benzylated N-heteroarenes.

    Scheme 1

    Scheme 1.  Benzylation of N-heteroarenes with benzyl halides.

    As a continuation of our study on green chemistry [4754], herein we present the linear paired electrolysis enables redox-neutral benzylation of N-heteroarenes with benzyl halides using solid ion resin as the recyclable electrolyte, affording the corresponding benzylated products in moderate to excellent yields under sacrifice reagent-, metal- and base-free and mild conditions, which featured broadly functional group tolerance, easily accessible reactants and electrolyte. To the best of our knowledge, this is the first example for the linear paired electrolysis enables redox-neutral C—H functionalization of N-heteroarenes with recyclable electrolyte (Scheme 1c).

    We began with the electrochemical benzylation of 1-methylquinoxalin-2(1H)-one (1a) with benzyl bromide (2a) as the model reaction to optimize the reaction conditions (Table 1). After extensive evaluation of the reaction parameters, the target product 3aa was formed in 86% GC yield using graphite (C+) as the anode, platinum (Pt-) as the cathode, D335 weak alkali gel type anionic resin FB-form (D335 WAR-FB) as the reusable electrolyte and biphenyl as the redox mediator in DMF under 12 mA constant current electrolysis at room temperature for 2 h in an undivided cell (entry 1). Replacing the C(+)/Pt(-) electrode pair with other electrode pairs resulted in inferior yields of 3aa (entries 2–4). Unsurprisingly, no reaction was observed in the absence of electricity (entry 5). Changing D335 WAR-FB with other anion resins led to a decrease in the yield of 3aa (entries 6–11). The cationic resin Amberlite IR120-Na showed no reactivity in the reaction (entry 11). Without resin, no reaction occurred (entry 12). Ferrocene, Ph2O and fluorene delivered similar yields (entry 13), likely because the reduction potentials between them are close (Table S1 in Supporting information). Performing the reaction in the absence of redox mediator also afforded 3aa in 73% GC yield (entry 14). Only a trace amount of 3aa was observed with MeCN, EtOH, DCM or THF as the solvent (entry 15). Further efforts in varying the reaction temperature did not improve the yield of 3aa (entry 16).

    Table 1

    Table 1.  Optimization of reaction conditions.a,b
    DownLoad: CSV
    Entry Deviation from the above conditions Yield (%)b
    1 None 86
    2 C (+)│C (-) was used 23
    3 Pt (+)│C (-) was used 41
    4 Pt (+)│Pt (-) was used 58
    5 Without electricity N.R.
    6 Amberlite IRA410-Cl was used 78
    7 Amberlite FPA91-Cl was used 66
    8 Amberlite 717-Cl was used 57
    9 D301 WAR-FB was used 42
    10 Amberlite IRA402-Cl was used 18
    11 Amberlite IR120-Na was used N.R.
    12 Without resin Trace
    13 Ferrocene, Ph2O, fluorene was used 74, 80, 83
    14 Without biphenyl 73
    15 MeCN, EtOH, DCM or THF was used All trace
    16 10 ℃ or 60 ℃ was used 21, 54
    a Conditions: C (50 mm × 5 mm × 2 mm) as the anode, Pt (50 mm × 5 mm × 0.1 mm) as the cathode, constant current = 12 mA, 1a (0.2 mmol), 2a (0.4 mmol), biphenyl (10 mol%), D335 WAR-FB (200 mg), DMF (3 mL), r.t., 2 h.
    b Estimated by GC using dodecane as an internal reference.

    Having established the optimal reaction conditions, we proceeded to explore the substrate scope of this redox-neutral benzylation reaction (Scheme 2). Quinoxalin-2(1H)-ones 1 bearing an electro-neutral hydrogen atom, an electron-donating group or an electron-deficient group on phenyl ring were reactive, delivering the benzylated products (3aa-3ga) in 76%−83% yields. A range of N-substituted quinoxalin-2(1H)-ones including ethyl, n-armyl, pentyl, cyclopropylmethyl, benzyl, 4-methylbenzyl, ester, cyano and hydroxyl group underwent smooth benzylation furnishing the desired products (3ha-3oa) in good yields. Double and triple bond-bearing quinoxalin-2(1H)-ones also afforded the corresponding products 3pa and 3qa in good yields, highlighting the mildness of this reaction. Both disubstituted quinoxalin-2(1H)-ones and benzo[g]quinoxalin-2(1H)-one were compatible with the reaction conditions, delivering the desired product 3ra and 3sa in 78% and 74% yields, respectively. Other N-heteroarenes including quinoxaline, benzoxazin-2-one and dihydroisoquinoline reacted successfully with 2a, also giving the corresponding products (3ta-3va) in moderate to good yields. Subsequently, the scope of this transformation with respect to the benzyl halides was evaluated. No matter whether the phenyl ring of benzyl bromide was substituted with either sterically hindered, electron-donating or electron-withdrawing group, all of them gave the target products (3ab-3am) in good yields. Remarkably, the oxidant-sensitive functional group thioether did not work in the previous works, while our redox-neutral benzylation well tolerates this group (3ag). Secondary benzyl bromides including (1-bromoethyl)benzene and bromodiphenylmethane also suitable, giving the desired products 3an and 3ao in 76% and 73% yields, respectively. Furthermore, benzyl chloride was also compatible with the standard conditions, producing the desired product 3ap in 75% yield. When bromobenzene and bromocyclohexane were used as substrates, only trace amounts of product were obtained.

    Scheme 2

    Scheme 2.  Reaction scope. Conditions: C (50 mm × 5 mm × 2 mm) as the anode, Pt (50 mm × 5 mm × 0.1 mm) as the cathode, constant current = 12 mA, 1 (0.2 mmol), 2 (0.4 mmol), biphenyl (10 mol%), D335 WAR-FB (200 mg), DMF (3 mL), r.t. a Benzyl chloride instead of benzyl bromide.

    To verify the practicability of this electrochemical redox-neutral benzylation reaction, both the scale-up reaction and the solid resin electrolyte cycling experiments were conducted. Carrying out the scaled-up model reaction (6 mmol) produced 3aa in 71% isolated yield (1.06 g) (Scheme 3). The recyclability of resin electrolyte was subsequently investigated by the model reaction of 1a. As shown in Fig. 1a, the D335 WAR-FB resin was recovered from the reaction mixture via filtration and reused for up to five cycles without significant loss of catalytic activity. This performance stability was supported by quality analysis, which showed no detectable decrease in the resin's mass before and after the reaction. The power on/off experimental results ruled out an electricity-initiated chain process and clearly indicated that continuous electric current was indispensable for this transformation (Fig. 1b).

    Scheme 3

    Scheme 3.  Large-scale synthesis of 3aa.

    Figure 1

    Figure 1.  Reusability of D335 WAR-FB. (b) Power On/Off experiment.

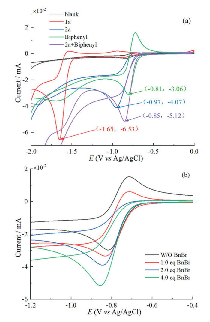
    To gain further insight into this electrochemical benzylation reaction, we carried out several mechanistic studies. The present reaction was completely inhibited by TEMPO and BHT, and the formation of TEMPO-benzyl adduct 4aa was detected by mass spectroscopy (Schemes 4a and b). These results suggested that a radical pathway and benzyl radical might be involved in this transformation. In a divided cell using D335 WAR-FB resin as the electrolyte and an input voltage of 30 V, the current reached only 0.7 mA. No reaction occurred, and the starting materials (1a and 2a) were completely recovered. It was speculated that the ionic conductivity of the reaction system was very low. When 2 equiv. of nBu4NBF4 was used as the electrolyte with an input voltage of 9.6 V, the current could easily reach 12 mA. While no 3aa was formed in the anode compartment, 3aa was obtained from the cathode compartment with a 28% GC yield (Scheme 4c). In addition, conducting the reaction with nBu4NBF4 as the sole supporting electrolytes in undivided cell gave 3aa in 51% yield (Scheme 4d). These results demonstrated that this benzylation process is paired electrolysis, and both the anode and cathode contribute to the formation of the benzylation product. Subsequently, the cyclic voltammetry experiments were then explored. Quinoxaline 1a exhibited a reductive peak at −1.65 V vs. Ag/AgCl (Fig. 2a, red curve). These peaks correspond to the reduction of quinoxaline to form the quinoxaline radical anion and the subsequent reduction of the radical anion to form the quinoxaline dianion, respectively. Benzyl bromide 2a showed an irreversible reductive peak at −0.97 V vs. Ag/AgCl (Fig. 2a, blue curve), while biphenyl exhibited a reversible reductive peak at −0.81 V vs. Ag/AgCl (Fig. 2a, green curve). These results indicated that the cathodic reduction of biphenyl might occur preferentially. When 2a and biphenyl were added together (Fig. 2a, purple curve), a higher catalytic current was observed in the presence of biphenyl, with the peak current increasing from 40.7 µA to 51.2 µA. This suggests that biphenyl acted as a redox mediator in this electrochemical process. This hypothesis was confirmed by cyclic voltammetry studies, which demonstrated that the introduction of a catalytic amount of biphenyl efficiently facilitate reduction of BnBr (Fig. 2b).

    Scheme 4

    Scheme 4.  Control experiments.

    Figure 2

    Figure 2.  Cyclic voltammograms studies.

    On the basis of the control experiments and previous reports [45,46,55], two plausible mechanisms were described in Scheme 5. Biphenyl was firstly reduced into a biphenyl radical anion (IM1) via a heterogeneous single electron transfer (SET) process on the surface of the Pt plate cathode. Subsequently, radical anion IM1 reduced aryl halide 2 via a homogeneous SET process to give the benzyl radical intermediate IM2 and re-generate the ground-state biphenyl. The benzyl radical IM2 selectively attacked the C═N double bond of quinoxalin-2(1H)-one 1 to form the nitrogen-centered radical intermediate IM3, which underwent the anodic oxidation to generate a nitrogen cation intermediate IM4, followed by deprotonation to afford the terminal product 3.

    Scheme 5

    Scheme 5.  Proposed reaction mechanism.

    In summary, we have for the first time developed a linear paired electrolysis strategy for constructing a variety of benzylated N-heteroarenes through the redox-neutral benzylation of N-heteroarenes with benzyl halides using solid ion resin as the recyclable electrolyte. The present paired electrolysis sufficiently utilizes both cathodic and anodic reactions to produce the benzylated products, featuring high atom- and step-economy, excellent energy efficiency and operational simplicity. This reaction proceeded under sacrifice reagent-, catalyst- and base-free and mild conditions with good functional-group tolerance, as demonstrated by the acid-, base-labile and oxidant-sensitive groups that remain intact under the optimal conditions. In addition, the inexpensive and commercially available ion resin electrolyte was also validated in both gram-scale synthesis and electrolyte cycling experiment. We hope this strategy not only provides a sustainable synthetic strategy for benzylated compounds but also develops the further utilization of ion resin in electrolysis as well as linear paired electrolysis.

    The authors declare that they have no known competing financial interests or personal relationships that could have appeared to influence the work reported in this paper.

    Yan-Cui Wen: Investigation. Jia-Cheng Hou: Investigation, Conceptualization. Qian Zhou: Investigation. Sheng-Hua Wang: Investigation. Jun Jiang: Investigation, Data curation. Zi Yang: Investigation. Hai-Tao Zhu: Investigation. Zu-Li Wang: Data curation. Wei-Min He: Writing – review & editing, Writing – original draft, Supervision.

    We are grateful for financial support from University of South China.

    Supplementary material associated with this article can be found, in the online version, at doi:10.1016/j.cclet.2025.111795.


    1. [1]

      Y. Wang, S. Dana, H. Long, et al., Chem. Rev. 123 (2023) 11269–11335. doi: 10.1021/acs.chemrev.3c00158

    2. [2]

      M. He, P. Zhong, H. Liu, et al., Green Synth. Catal. 4 (2023) 41–45.

    3. [3]

      A. Hasil, R. Chang, J. Ye, J. Chin, Org. Chem. 44 (2024) 728–747. doi: 10.6023/cjoc202311032

    4. [4]

      A. Ghosh, V.K. Parida, D. Banerjee, Green Chem. 26 (2024) 5770–5789. doi: 10.1039/d3gc04881k

    5. [5]

      W. Zhang, N. Hong, L. Song, N. Fu, Chem. Rec. 21 (2021) 2574–2584. doi: 10.1002/tcr.202100025

    6. [6]

      F. Marken, A.J. Cresswell, S.D. Bull, Chem. Rec. 21 (2021) 2585–2600. doi: 10.1002/tcr.202100047

    7. [7]

      K.J. Jiao, X.T. Gao, C. Ma, P. Fang, T.S. Mei, Isr. J. Chem. 64 (2023) e202300085.

    8. [8]

      H. Wang, R. Liu, Q. Sun, K. Xu, Chem. Commun. 59 (2023) 12763–12766. doi: 10.1039/d3cc04356h

    9. [9]

      Y.H. Lu, Z.T. Zhang, H.Y. Wu, et al., Chin. Chem. Lett. 34 (2023) 108036. doi: 10.1016/j.cclet.2022.108036

    10. [10]

      S. Li, J. Lu, J. Liu, L. Jiang, W. Yi, Acta Chim. Sin. 82 (2024) 110–114. doi: 10.6023/a23080386

    11. [11]

      H.Y. Song, J. Jiang, Y.H. Song, et al., Chin. Chem. Lett. 35 (2024) 109246. doi: 10.1016/j.cclet.2023.109246

    12. [12]

      J. Fan, J. Gao, Y. Zhou, et al., J. Org. Chem. 89 (2024) 13071–13076. doi: 10.1021/acs.joc.4c01130

    13. [13]

      S. Zhang, L. Li, J. Li, et al., Angew. Chem. Int. Ed. 60 (2021) 7275–7282. doi: 10.1002/anie.202015230

    14. [14]

      S. Zhang, M. Findlater, Chem. Eur. J. 28 (2022) e202201152. doi: 10.1002/chem.202201152

    15. [15]

      K. Liu, M. Lei, X. Li, et al., Nat. Commun. 15 (2024) 2897. doi: 10.1038/s41467-024-47220-9

    16. [16]

      M. König, J. Vaes, E. Klemm, D. Pant, iScience 19 (2019) 135–160. doi: 10.1016/j.isci.2019.07.014

    17. [17]

      M. Li, C. Wang, Z. Chen, K. Xu, J. Lu, Chem. Rev. 120 (2020) 6783–6819. doi: 10.1021/acs.chemrev.9b00531

    18. [18]

      W.B. He, S.J. Zhao, J.Y. Chen, et al., Chin. Chem. Lett. 34 (2023) 107640. doi: 10.1016/j.cclet.2022.06.063

    19. [19]

      K. Nuermaimaiti, C. Wang, S. Luo, A.R. Abulikemu, Acta Chim. Sin. 81 (2023) 582–587. doi: 10.6023/a23030075

    20. [20]

      J. Jiang, K.L. Wang, X. Li, et al., Chin. Chem. Lett. 34 (2023) 108699. doi: 10.1016/j.cclet.2023.108699

    21. [21]

      S.Y. Ren, Q. Zhou, H.Y. Zhou, et al., J. Org. Chem. 88 (2023) 5760–5771. doi: 10.1021/acs.joc.3c00214

    22. [22]

      Y. Reziguli, A. Kadierya, S. Luo, A.R. Abulikemu, Acta Chim. Sin. 82 (2024) 843–848. doi: 10.6023/a24040119

    23. [23]

      Z. Zeng, P. Huang, W. Li, et al., J. Org. Chem. 90 (2025) 11197–11206. doi: 10.1021/acs.joc.5c01136

    24. [24]

      W. Zeng, Y. Qiu, Sci. China Chem. 67 (2024) 3223–3246. doi: 10.1007/s11426-024-2036-0

    25. [25]

      Z. Yang, Y. Zhou, H. Li, et al., Asian J. Org. Chem. 11 (2022) e202100656. doi: 10.1002/ajoc.202100656

    26. [26]

      Z. Yang, C. Liu, J. Lei, et al., Chem. Commun. 58 (2022) 13483–13486. doi: 10.1039/d2cc05899e

    27. [27]

      C. Liu, Q. Dai, Y. Li, et al., J. Org. Chem. 88 (2023) 7281–7289. doi: 10.1021/acs.joc.3c00517

    28. [28]

      Z. Tang, C. Pi, Y. Wu, X. Cui, Green Synth. Catal. 5 (2024) 31–34.

    29. [29]

      Z. Yang, J. Luo, W. Zhang, et al., Org. Biomol. Chem. 23 (2025) 323–327. doi: 10.1039/d4ob01655f

    30. [30]

      X. Chang, X.W. Han, H.T. Zhu, et al., Org. Biomol. Chem. 23 (2025) 3154–3162. doi: 10.1039/d5ob00061k

    31. [31]

      Z. Zeng, F. Zhao, H. Wei, M. Yu, J. Cai, Asian J. Org. Chem. 14 (2025) e00415. doi: 10.1002/ajoc.202500415

    32. [32]

      C.P. Shen, H.T. Zhu, G.H. Li, et al., Org. Biomol. Chem. 23 (2025) 3870–3874. doi: 10.1039/d5ob00173k

    33. [33]

      Y. Wang, J. Wang, C. Chen, et al., Chem. Commun. 61 (2025) 10812–10815. doi: 10.1039/d5cc02744f

    34. [34]

      X. Qin, X. Hao, H. Han, et al., J. Med. Chem. 58 (2015) 1254–1267. doi: 10.1021/jm501484b

    35. [35]

      S.N. Khattab, S.A.H. Abdel Moneim, A.A. Bekhit, et al., Eur. J. Med. Chem. 93 (2015) 308–320. doi: 10.1016/j.ejmech.2015.02.020

    36. [36]

      L. Hu, J. Yuan, J. Fu, et al., Eur. J. Org. Chem. 2018 (2018) 4113–4120. doi: 10.1002/ejoc.201800697

    37. [37]

      Z. Wang, Q. Liu, X. Ji, G.J. Deng, H. Huang, ACS Catal. 10 (2020) 154–159. doi: 10.1021/acscatal.9b04411

    38. [38]

      S. Singh, N. Dagar, S.R. Roy, Org. Biomol. Chem. 19 (2021) 5383–5394. doi: 10.1039/d1ob00665g

    39. [39]

      Y. Shi, J. Hou, K. Wang, et al., ChemistrySelect 7 (2022) e202203468. doi: 10.1002/slct.202203468

    40. [40]

      X. Zhu, M. Jiang, X. Li, et al., Org. Chem. Front. 9 (2022) 347–355. doi: 10.1039/d1qo01570b

    41. [41]

      X.H. Chen, T. Lhazom, H.L. Cui, J. Org. Chem. 88 (2023) 13598–13609. doi: 10.1021/acs.joc.3c01302

    42. [42]

      D. Liu, F.W. Patureau, Org. Lett. 26 (2024) 6841–6846. doi: 10.1021/acs.orglett.4c02316

    43. [43]

      M.Q.H. Fu, Y.H. He, Z. Guan, Org. Chem. Front. 11 (2024) 6790–6796. doi: 10.1039/d4qo01803f

    44. [44]

      J.C. Hou, J. Jiang, H. Dai, et al., Sci. China Chem. 68 (2025) 1945–1951. doi: 10.1007/s11426-024-2496-5

    45. [45]

      P. Xiang, K. Sun, S. Wang, et al., Chin. Chem. Lett. 33 (2022) 5074–5079. doi: 10.1016/j.cclet.2022.03.096

    46. [46]

      Q. Yan, W. Cui, J. Li, et al., Org. Chem. Front. 9 (2022) 2653–2658. doi: 10.1039/d1qo01910d

    47. [47]

      C. Xin, J. Jiang, Z.W. Deng, L.J. Ou, W.M. He, Acta Chim. Sin. 82 (2024) 1109–1113. doi: 10.6023/a24100329

    48. [48]

      R.N. Yi, W.M. He, Chin. Chem. Lett. 35 (2024) 110194. doi: 10.1016/j.cclet.2024.110194

    49. [49]

      W.T. Ouyang, J. Jiang, Y.F. Jiang, et al., Chin. Chem. Lett. 35 (2024) 110038. doi: 10.1016/j.cclet.2024.110038

    50. [50]

      R. Yi, W. He, J. Chin, Org. Chem. 44 (2024) 1035–1037. doi: 10.6023/cjoc202400014

    51. [51]

      J.C. Hou, W. Cai, H.T. Ji, L.J. Ou, W.M. He, Chin. Chem. Lett. 36 (2025) 110469. doi: 10.1016/j.cclet.2024.110469

    52. [52]

      H.T. Ji, Y.H. Lu, Y.T. Liu, et al., Chin. Chem. Lett. 36 (2025) 110568. doi: 10.1016/j.cclet.2024.110568

    53. [53]

      Y.Y. Zeng, J. Jiang, Y.C. Wen, et al., Chin. Chem. Lett. 36 (2025) 111776.

    54. [54]

      C.H. Liu, Z.W. Zhang, Z.J. Zhao, et al., J. Org. Chem. 90 (2025) 11982–11989. doi: 10.1021/acs.joc.5c01659

    55. [55]

      Y. Wang, Z. Zhao, D. Pan, et al., Angew. Chem. Int. Ed. 61 (2022) e202210201. doi: 10.1002/anie.202210201

  • Scheme 1  Benzylation of N-heteroarenes with benzyl halides.

    Scheme 2  Reaction scope. Conditions: C (50 mm × 5 mm × 2 mm) as the anode, Pt (50 mm × 5 mm × 0.1 mm) as the cathode, constant current = 12 mA, 1 (0.2 mmol), 2 (0.4 mmol), biphenyl (10 mol%), D335 WAR-FB (200 mg), DMF (3 mL), r.t. a Benzyl chloride instead of benzyl bromide.

    Scheme 3  Large-scale synthesis of 3aa.

    Figure 1  Reusability of D335 WAR-FB. (b) Power On/Off experiment.

    Scheme 4  Control experiments.

    Figure 2  Cyclic voltammograms studies.

    Scheme 5  Proposed reaction mechanism.

    Table 1.  Optimization of reaction conditions.a,b

    Entry Deviation from the above conditions Yield (%)b
    1 None 86
    2 C (+)│C (-) was used 23
    3 Pt (+)│C (-) was used 41
    4 Pt (+)│Pt (-) was used 58
    5 Without electricity N.R.
    6 Amberlite IRA410-Cl was used 78
    7 Amberlite FPA91-Cl was used 66
    8 Amberlite 717-Cl was used 57
    9 D301 WAR-FB was used 42
    10 Amberlite IRA402-Cl was used 18
    11 Amberlite IR120-Na was used N.R.
    12 Without resin Trace
    13 Ferrocene, Ph2O, fluorene was used 74, 80, 83
    14 Without biphenyl 73
    15 MeCN, EtOH, DCM or THF was used All trace
    16 10 ℃ or 60 ℃ was used 21, 54
    a Conditions: C (50 mm × 5 mm × 2 mm) as the anode, Pt (50 mm × 5 mm × 0.1 mm) as the cathode, constant current = 12 mA, 1a (0.2 mmol), 2a (0.4 mmol), biphenyl (10 mol%), D335 WAR-FB (200 mg), DMF (3 mL), r.t., 2 h.
    b Estimated by GC using dodecane as an internal reference.
    下载: 导出CSV
  • 加载中
计量
  • PDF下载量:  0
  • 文章访问数:  643
  • HTML全文浏览量:  35
文章相关
  • 发布日期:  2025-12-15
  • 收稿日期:  2025-07-20
  • 接受日期:  2025-09-05
  • 修回日期:  2025-09-02
  • 网络出版日期:  2025-09-06
通讯作者: 陈斌, bchen63@163.com
  • 1. 

    沈阳化工大学材料科学与工程学院 沈阳 110142

  1. 本站搜索
  2. 百度学术搜索
  3. 万方数据库搜索
  4. CNKI搜索

/

返回文章