Viscosity responsiveness of excited-state dynamics in aggregated-induced emission luminogens

Takuya Tanaka Rikuto Noda Yuki Sawatari Riki Iwai Ben Zhong Tang Gen-ichi Konishi

Citation:  Takuya Tanaka, Rikuto Noda, Yuki Sawatari, Riki Iwai, Ben Zhong Tang, Gen-ichi Konishi. Viscosity responsiveness of excited-state dynamics in aggregated-induced emission luminogens[J]. Chinese Chemical Letters, 2025, 36(12): 111495. doi: 10.1016/j.cclet.2025.111495 shu

Viscosity responsiveness of excited-state dynamics in aggregated-induced emission luminogens

English

  • The development of viscosity-responsive dyes is an important topic in chemistry and physics owing to their potential applications across diverse areas, including bioimaging [19], viscosity sensors [1014] and security inks [15]. According to previous studies, the viscosity responsiveness of typical molecular rotors, such as Thioflavin T [1619], Bodipy-C10 [2022], and Kiton Red [23,24], which feature biaryl bonds and heterocycles, can be explained by the suppression of molecular rotation in the excited state. This occurs owing to the transition of the system from its locally excited (LE) state to a non-emissive twisted intramolecular charge transfer (TICT) state [2529], as illustrated using the potential energy surface (PES) diagram in Fig. 1a.

    Figure 1

    Figure 1.  Conceptual diagram of the environmental responsiveness of molecular systems based on the potential energy surface: (a) Viscosity response of molecular rotors in a dilute solution and solid/aggregated state, and (b) viscosity response of aggregation-induced emission luminogens. In the diagrams, LE and TICT refer to locally excited and twisted intramolecular charge transfer states, respectively; FC and TS refer to Franck–Condon and transition states, respectively; CI refers to the conical intersection. S1 represents the singlet excited state, S0 represents the singlet ground state, knr represents the nonradiative decay rate constant, and kr represents the rotational rate constant.

    In low-viscosity environments, molecular rotations and vibrations occur actively; however, these motions are suppressed in high-viscosity environments, resulting in a decrease in the nonradiative decay rate constant, knr. This suppression manifests as changes in the fluorescence intensity, quantum yield, and fluorescence lifetime of the emitter. This kinetic interpretation elucidates how the solvent viscosity affects molecular rotations and vibrations of dyes, providing valuable insights for their application in environmental monitoring and viscosity sensors.

    In recent years, aggregation-induced emission luminogens (AIEgens) [3038] have gained considerable attention as viscosity-responsive molecules [3943]. The photophysical properties of AIEgens can also be explained using a PES model (Fig. 1b) [44,45]. In dilute solutions, the conical intersection (CI), which represents the intersection of the ground state and excited state exists at an accessible energy level. In the solid or aggregated state, molecular aggregation physically restricts the rotational and structural motions of individual molecules. Consequently, the large structural changes required to reach the CI become difficult in the π-conjugated system, resulting in the destabilization of the CI. In high-viscosity environments, unlike in the solid or aggregated states, molecular aggregation occurs to a limited extent or is virtually negligible. Instead, the viscosity of the solvent itself restricts intramolecular rotations and vibrations. This restriction does not destabilize the CI but rather decreases the rate of structural changes required to reach the CI, that is, the knr [46,47].

    In theory, the viscosity of the solvent does not influence the shape of the PES; instead, it affects the rate of nonradiative decay processes (i.e., knr). In practice, AIEgens exhibit enhanced emission under high-viscosity conditions, which makes them highly applicable in fields such as bioimaging and sensor materials [4859]. However, the understanding of the viscosity responsiveness of individual AIEgens in terms of the structure and rotational/vibrational kinetics of molecules remains insufficient.

    In this study, we focused on elucidating the viscosity-response characteristics of AIEgens using some typical dyes that present AIE, including bis(N, N-dialkylamino)anthracene (BDAA) [6064], π-extended bridged stilbene (DPB[7]) [65] and tetraphenylethene (TPE) [66]. The aim was to differentiate the viscosity responsiveness and functionality of these AIEgens from those of molecular rotors [67]. To standardize molecular solubility across the dyes, water-soluble sodium sulfonate derivatives of these dye molecules (BDAA6-SO3Na, DPB[7]-SO3Na, and TPE-SO3Na, respectively) were synthesized (Scheme S1 in Supporting information). Further, the photophysical properties of the selected dyes were evaluated under unified viscosity conditions using water/glycerol-based solvents, which enabled the evaluation of their viscosity responsiveness from both kinetic and molecular structural perspectives.

    BDAA6-SO3Na, DPB[7]-SO3Na, and TPE-SO3Na were synthesized as shown in Scheme S1. For the synthesis of DPB[7]-SO3Na, compound 1 was first synthesized according to a previously reported procedure [65], and the Suzuki–Miyaura cross-coupling of 1 with 4‑methoxy phenyl boronic acid was carried out to obtain compound 2. The subsequent sulfonation of compound 2 afforded DPB[7]-SO3Na. Furthermore, compounds 3 and 4 were synthesized according to reported methods [54], and each was sulfonated to obtain BDAA6-SO3Na and TPE-SO3Na, respectively. All three compounds were purified by reprecipitation using acetone and methanol. Detailed synthetic procedures, along with the corresponding 1H NMR, 13C NMR, and high-resolution mass spectrometry data, are provided Figs. S1–S15 (Supporting information).

    Initially, the photophysical properties of BDAA6-SO3Na, DPB[7]-SO3Na, and TPE-SO3Na in H2O were evaluated. The absorption and fluorescence spectra of each compound are presented in Fig. S20 (Supporting information), and their maximum absorption and emission wavelengths (λabs and λfl, respectively), and fluorescence quantum yields Φfl are summarized in Table S17 (Supporting information). The λabs and λfl values of DPB[7]-SO3Na and TPE-SO3Na were found to be nearly identical to those of their parent compounds without alkoxy substituents, that is, DPB[7] and TPE, respectively, indicating that the fluorescence emission is the characteristic of the DPB[7] and TPE skeletons. Similarly, the absorption and emission spectra of BDAA6-SO3Na closely matched with those of BDAA6 [6064], confirming their analogous photophysical behavior.

    To investigate the viscosity responsiveness of each dye, the fluorescence intensity (Ifl) and Φfl were measured in H2O/glycerol mixed solvents across a viscosity range of 0.89–219 mPa s. The lifetime analysis of BDAA6-SO3Na is detailed in Figs. S24, S34, S35, and Table S20 (Supporting information). The sensitivity of BDAA6-SO3Na to viscosity was quantitatively evaluated using the Förster–Hoffmann equation (Eqs. 1–3) [68], and Förster–Hoffmann plots were constructed to analyze the relationship between its fluorescence intensity and solvent viscosity. The fluorescence responses of the other two dyes were also examined under the same conditions, gaining insights into their viscosity-dependent photophysical properties. Further details are provided in Figs. S21–S23 and Tables S18–S20 (Supporting information).

    $ I_{\mathrm{fl}}=A \eta^\chi \Leftrightarrow \log I_{\mathrm{fl}}=\log A+\chi \log \eta $

    (1)

    $ \mathit{Φ}_{\mathrm{fl}}=A \eta^\chi \Leftrightarrow \log \mathit{Φ}_{\mathrm{fl}}=\log A+\chi \log \eta $

    (2)

    $ \tau_{\mathrm{fl}}=A \eta^\chi \Leftrightarrow \log \tau_{\mathrm{fl}}=\log A+\chi \log \eta $

    (3)

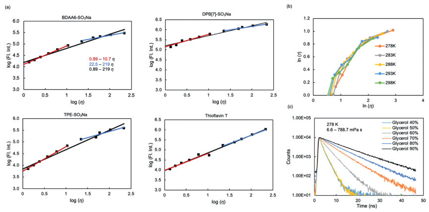
    here, Eq. 1 represents the relationship between Ifl and viscosity η, Eq. 2 describes the correlation between Φfl and η, and Eq. 3 indicates the dependence of τfl on η. In these equations, A is a constant, and χ (0 ≦ χ ≦ 1) serves as a parameter that reflects the intrinsic viscosity responsiveness of the dye. Figs. 2ac show the plots based on Eq. 1 for BDAA6-SO3Na, DPB[7]-SO3Na and TPE-SO3Na, while the plots corresponding to (2), (3) are presented in Figs. S25–S27 and S29 (Supporting information), respectively. The values of χ, calculated from Eqs. 1–3, are summarized in Table 1. To further compare the fluorescence behaviors of these dyes with those of molecular rotors, similar measurements and analyses were performed on Thioflavin T chosen as a representative molecular rotor [69,70]. The results are provided in Fig. 2a, Table 1, Fig. S28 and Table S21 (Supporting information). Notably, the τfl values of DPB[7]-SO3Na and TPE-SO3Na were below the detection limit of the instrument, preventing accurate measurements.

    Figure 2

    Figure 2.  (a) Förster–Hoffmann plots obtained based on the change in the fluorescent intensity with solvent viscosity for BDAA6-SO3Na, DPB[7]-SO3Na, TPE-SO3Na, and Thioflavin T. (b) Changes in the fluorescence lifetime, τfl of BDAA6-SO3Na as a function of temperature, as recorded in water–glycerol mixtures of different viscosities (glycerol content ranged from 40% to 90%). (c) Fluorescence decay curves of BDAA6-SO3Na in water/glycerol mixtures of varying viscosities at 278 K.

    Table 1

    Table 1.  Summary of χ values obtained from Förster–Hoffmann plots for BDAA6-SO3Na, DPB[7]-SO3Na, TPE-SO3Na, and Thioflavin T in different viscosity regions.
    DownLoad: CSV
    Sample Viscosity (η) (mPa s) (glycerol/water) χ values
    Ifla Φfla τfla
    BDAA6-SO3Na 0.89–10.7 0.81 0.81 1.11
    Empty Cell 22.5–219 0.35 0.40 0.52
    Empty Cell 0.89–219 0.62 0.62 0.75
    DPB[7]-SO3Na 0.89–10.7 0.61 0.68 ND b
    Empty Cell 22.5–219 0.34 0.33 ND b
    Empty Cell 0.89–219 0.49 0.49 ND b
    TPE-SO3Na 0.89–10.7 1.05 0.77 ND b
    Empty Cell 22.5–219 0.52 0.54 ND b
    Empty Cell 0.89–219 0.75 0.74 ND b
    Thioflavin T 0.89–10.7 0.84 ND c ND b
    Empty Cell 22.5–219 0.82 ND c ND b
    Empty Cell 0.89–219 0.88 ND c ND b
    a Correlation coefficient, R2 is 0.95 or higher.
    b This could not be calculated due to the detection limit of the fluorescence lifetime device using a 345 nm excitation beam.
    c Fluorescence quantum yield of Thioflavin T did not show linearity (R2 < 0.95) in the Förster–Hoffmann plots.

    The linear approximations of the Förster–Hoffmann plots of BDAA6-SO3Na, DPB[7]-SO3Na, and TPE-SO3Na provided high correlation coefficients (R2) of ≥0.95 for all cases. Based on the notable change in the slope of the Förster–Hoffmann plots, the viscosity range of 0.89–219 mPa s was divided into two distinct regions: a low-viscosity region (0.89–10.7 mPa s) and a high-viscosity one (22.5–219 mPa s). The viscosity-responsiveness parameter, χ, estimated from the change in the fluorescence intensity of the dye over the viscosity range of 0.89–219 mPa s decreased in the order of TPE-SO3Na (0.83) > BDAA6-SO3Na (0.62) > DPB[7]-SO3Na (0.49). This ranking is consistent with the χ values derived from Φfl. A notable observation in Fig. 2a is the significant change in the slope of the linear approximation in the viscosity ranges of 0.89–10.7 and 22.5–219 mPa s. All AIEgens exhibited a sharp increase in the Ifl and Φfl as the solvent viscosity increased from 10.7 mPa s to 22.5 mPa s. In the case of BDAA6-SO3Na, this trend was also observed in τfl, as summarized in Table S20. A comparison of the χ values, which reflect the intrinsic viscosity responsiveness of the molecules, for the two viscosity regions revealed that the AIEgens demonstrate higher χ values in the low-viscosity region than in the high-viscosity region.

    If the viscosity responsiveness of each dye depends on the magnitude of the activation energy, ΔEa for the nonradiative decay process based on the PES, it can be postulated that the magnitude of ΔEa would be inversely proportional to χ. Here, we discuss whether the viscosity responsiveness of the AIEgens is limited by ΔEa or by the viscosity-dependent molecular structural changes. As a premise, the dependence of the molecular rotation on temperature (T) and viscosity (η) can be expressed using the following Arrhenius relationship [71,72].

    $ k(\eta, T)=A(\eta, T) e^{-\frac{\Delta E_a}{R T}} $

    (4)

    where k represents the rotational rate constant for a molecular rotor, and A is the pre-exponential factor that depends on the solvent viscosity and temperature. Upon comparing the behaviors of the different systems in the same solvent, all the factors in the Arrhenius equation, except for ΔEa, were found to be identical, indicating that the differences in the sensitivities of the different systems to viscosity ultimately originates from ΔEa (that is, the activation energy is the rate-limiting factor). Among molecular rotors, Thioflavin T has been reported to have an exceptionally small ΔEa and to exhibit negligible temperature dependence [56], which allows its viscosity dependence to be described using the following relationship:

    $ k=A(\eta) $

    (5)

    To investigate the viscosity and temperature sensitivity of BDAA6-SO3Na, we dissolved it in water/glycerol mixed solvents with varying viscosities (glycerol content was varied in the range of 40%–90%) and measured its τfl at different temperatures. Fig. 2b plots τfl as a function of viscosity at different temperatures. Additionally, the fluorescence decay curves of this molecule at different viscosities but the same temperature of 278 K are shown in Fig. 2c, while the decay curves for the 283–298 K range at the same viscosity are provided in Fig. S31 (Supporting information). A key observation from Fig. 2b and Fig. S31 is that despite the variations in the temperature and solvent composition, the measurements at the same viscosity overlap well. This result indicates that the changes in the fluorescence lifetime observed in Fig. 2c depend solely on viscosity. Moreover, in the viscosity range of 2.7–788.7 mPa s, the system was found to follow a viscosity-dependent nonradiative process (knr = A(η)). This result suggests that BDAA6-SO3Na has a negligible activation energy, that is, ΔEa in water/glycerol mixtures.

    To calculate the ΔEa of BDAA6-SO3Na, we considered measuring the temperature-dependent fluorescence lifetime under the condition of η < 2.7 mPa s. However, at 298 K, the τfl of BDAA6-SO3Na was 0.11 ns, which is near the detection limit of the instrument, and the sample froze at 273 K. Therefore, we used the parent compound, BDAA6, which dissolves in low-viscosity and low-polarity solvents, and measured its τfl in toluene in the range of 248–298 K. The fluorescence lifetime decay curves are shown in Fig. S30a (Supporting information), and the time constants obtained by curve fitting are summarized in Table S23 (Supporting information). Using the Kramers–Arrhenius equation [73], the corresponding rate constant, k(η, T) can be calculated as follows (Eq. 6):

    $ k(\eta, T)=\frac{A}{\eta} e^{-\frac{\Delta E_\alpha}{R T}} $

    (6)

    Further, Eq. 7 can be obtained by taking the natural logarithm of Eq. 6.

    $ \ln k(\eta, T) \eta=\ln k_{n r}=\ln A-\frac{\Delta E_a}{R T} $

    (7)

    By assuming k(η, T)η = knr, we constructed an Arrhenius plot (Fig. S30b) and calculated the apparent value of ΔEa from the slope of the fitted curve (R2 = 0.95). Thus, the ΔEa of BDAA6 in toluene was determined to be 19.6 kJ/mol.

    Next, to explore the PES of BDAA6-SO3Na, DPB[7]-SO3Na, and TPE-SO3Na, we constructed the energy diagrams of these molecules in the gas phase. These diagrams include the Franck–Condon (FC) state, the minimum singlet excited state (S1min), the CI between the S1 and S0 states, and the transition state (TS) connecting S1min and CI (Fig. 3b). To reduce computational costs, suitable structural models were used for each compound. The calculations were performed using ORCA 5.0 [74,75] at the (spin-flip TD-)DFT-BHHLYP/6–31G(d) level of theory, which is known for its reduced spin contamination. To determine the TS, we first optimized the structures of S1min and CI, and then used a linearly interpolated internal coordinate approach to generate an initial TS structure along the reaction pathway between these points. The true TS was subsequently obtained through structural optimization. Further details are provided in Section S4 (Supporting information).

    Figure 3

    Figure 3.  (a) Potential energy diagrams of DPB[7], TPE, and BDAA-methyl in the gas phase. (b) Definition of atom numbers for (c). (c) Optimized structures of DPB[7], TPE, and BDAA-methyl at S1min and CI. The dihedral angles, θ of each conformation are listed below the structure.

    Fig. 3a presents the energy diagrams for methylated BDAA (BDAA-methyl), DPB[7], and TPE, and Fig. 3c shows the optimized structures of S1min and CI for each molecule. For BDAA-methyl, the CI structure was determined to resemble the previously reported Dewar-benzene-like CI geometry [60]. For DPB[7], a CI was identified, in which the central ethylene bond (Cet-Cet) becomes pyramidalized [7678], consistent with the CI structure of nonconjugated bridged stilbene BST[7] [65]. For TPE, two distinct CI structures were observed: one associated with its cis-trans isomerization via the twisting of the Cet-Cet and another higher-energy cyclic CI (~20 kJ/mol above the former) related to the Woodward–Hoffmann excited-state cyclization process (Fig. S18 in Supporting information) [79]. The ΔEa for the transition between S1min to TS was calculated to be 24 kJ/mol for BDAA-methyl, 44 kJ/mol for DPB[7], and 10 kJ/mol for TPE. Notably, the ΔEa of BDAA-methyl aligns closely with the apparent ΔEa of 19.8 kJ/mol estimated earlier. Furthermore, the comparison of τfl at 298 K revealed that the lifetime of BDAA6 (0.44 ns) is significantly longer than that of BDAA6-SO3Na (0.11 ns). This result suggests that solvent relaxation reduces the ΔEa in water to a value lower than the apparent as well as calculated ΔEa values.

    Based on the above results, we hypothesize that the photophysical characteristics of BDAA-methyl, DPB[7], and TPE depend on the solvent viscosity. The viscosity responsiveness of BDAA-methyl, and by extension its analogs, is evident due to the relatively low ΔEa. TPE, which has a further smaller ΔEa, is likely to exhibit similar viscosity dependence. Conversely, DPB[7] has a high ΔEa of approximately 40 kJ/mol, which indicates that its dynamics may not be solely controlled by viscosity. This finding aligns with those reported for planar molecules with Cet-Cet units, such as the well-known molecular rotors, DCVJ [8082] and CCVJ [83,84]. The k values of these molecules depend on both their viscosity (η) and temperature (T), as described by Eq. 6, indicating the dependence of their photophysical properties on both ΔEa and viscosity. Similarly, Thioflavin T derivatives with extended π-conjugated ethylene units also show this behavior [65]. For planar molecules such as DPB[7], the high energy required for structural changes implies less likelihood of exclusive viscosity dependence.

    Finally, we discuss the differences in the viscosity responsiveness of BDAA-methyl and TPE, the properties of both of which depend solely on viscosity rather than ΔEa. It is noteworthy that the influence of viscosity on the structural changes in these molecules under these conditions can be directly compared for the first time. Experimental evidence reveals that the structural changes in TPE are more sensitive to viscosity compared with the case of BDAA6-SO3Na. Fig. 3c shows the dihedral angles (θ) that changed significantly during the structural transition of the two molecules. In the case of BDAA-methyl, the transition from S1min to CI involves a 100° rotation of the amino group and the puckering of the aromatic ring. In contrast, TPE undergoes larger-scale structural changes, including the free rotation of its phenyl groups and the twisting of the Cet-Cet bond. These larger structural movements in TPE are inherently more sensitive to viscosity than the relatively localized changes occurring in BDAA-methyl. This difference underscores how molecular geometry and the nature of structural changes influence the viscosity responsiveness of these molecules.

    In conclusion, we investigated the viscosity responsiveness of BDAA6-SO3Na, DPB[7]-SO3Na, and TPE-SO3Na under identical solvent environment conditions. The results revealed that these AIEgens exhibit higher viscosity responsiveness than typical molecular rotors in the low-viscosity region. This feature highlights the significant advantage of these AIEgens in demonstrating excellent luminescence properties even at the single-molecule level [60,8587], as implied by their name. However, it is debatable whether the same properties are exhibited by dyes that exhibit AIE only in aggregated states (or J-aggregated states), such as cyanostilbene derivatives [88,89] and boron-dipyrromethene (BODIPY) derivatives [9093].

    Based on fluorescence lifetime measurements and quantum chemical calculations performed to evaluate the temperature and viscosity dependence of the photophysical properties, we suggest that the viscosity responsiveness of BDAA6-SO3Na and TPE-SO3Na is not determined by the ΔEa based on the PES but by the changes in the molecular structure. Specifically, focusing on the characteristic changes in the molecular structure during the nonradiative decay processes in TPE and BDAA, we conclude that molecules with larger sizes, branched structures, or more freely rotating moieties are relatively more susceptible to viscosity effects due to increased frictional forces experienced in the solution. Consequently, molecules with multiple aromatic rings or extensive π-conjugated systems were found to exhibit higher sensitivity to viscosity.

    While the sensitivity of TPE to viscosity is reasonable, the fact that the relatively planar BDAA molecules also demonstrate high sensitivity to viscosity is a prominent discovery. In particular, in the context of noninvasive bioimaging applications, the overall photophysical properties of BDAA, including its absorption and fluorescence, indicate its suitability for such applications.

    Finally, if the PES could be accurately visualized, it might enable precise predictions of the viscosity responsiveness of AIEgens. While quantum chemical calculations of AIEgens remain significantly complex due to their closely positioned ground and excited state energy surfaces, overcoming these challenges could unlock exciting opportunities for their innovative design, beyond those of traditional molecular rotors. Moreover, precise calculations of solvent dependence (such as viscosity-sensitive solvents), which remain challenging at present [94,95], could provide deeper insights into viscosity responsiveness and facilitate the rational design of optimal AIEgen structures for enhanced performance.

    The authors declare that they have no known competing financial interests or personal relationships that could have appeared to influence the work reported in this paper.

    Takuya Tanaka: Writing – review & editing, Writing – original draft, Methodology, Investigation, Formal analysis, Data curation. Rikuto Noda: Investigation. Yuki Sawatari: Writing – review & editing, Formal analysis, Data curation. Riki Iwai: Methodology, Investigation, Formal analysis, Conceptualization. Ben Zhong Tang: Supervision, Conceptualization. Gen-ichi Konishi: Writing – review & editing, Writing – original draft, Visualization, Project administration, Methodology, Investigation, Data curation, Conceptualization.

    We thank Masato Koizumi (Materials Analysis Division, Tokyo Institute of Technology) for the HR-MS measurements. This division is independent of our laboratory to ensure fairness. Riki Iwai thanks JSPS Research Fellowships for Young Scientists. This project was supported in part by JST SPRING, Japan (Nos. JPMJSP2106 and JPMJSP2180, Takuya Tanaka. and Yuki Sawatari.), MEXT/JSPS KAKENHI grants (No. 23H02036, Gen-ichi Konishi), and Murata Science and Education Foundation (Gen-ichi Konishi).

    Supplementary material associated with this article can be found, in the online version, at doi:10.1016/j.cclet.2025.111495.


    1. [1]

      A.S. Klymchenko, Acc. Chem. Res. 50 (2017) 366–375. doi: 10.1021/acs.accounts.6b00517

    2. [2]

      X. Yang, D. Zhang, Y. Ye, Y. Zhao, Coord. Chem. Rev. 453 (2022) 214336. doi: 10.1016/j.ccr.2021.214336

    3. [3]

      Y. Zhang, Z. Li, W. Hu, Z. Liu, Anal. Chem. 91 (2019) 10302–10309. doi: 10.1021/acs.analchem.9b02678

    4. [4]

      C. Ma, W. Sun, L. Xu, et al., J. Mater. Chem. B 8 (2020) 9642. doi: 10.1039/d0tb01146k

    5. [5]

      P. Ning, P. Dong, Q. Geng, et al., J. Mater. Chem. B 5 (2017) 2743. doi: 10.1039/C7TB00136C

    6. [6]

      H. Xiao, P. Li, B. Tang, Chem. Eur. J. 27 (2021) 6880–6898. doi: 10.1002/chem.202004888

    7. [7]

      A. Goujon, A. Colom, K. Straková, et al., J. Am. Chem. Soc. 141 (2019) 3380–3384. doi: 10.1021/jacs.8b13189

    8. [8]

      H.V. Humeniuk, A. Rosspeintner, G. Licari, et al., Angew. Chem. Int. Ed. 57 (2018) 10559–10563. doi: 10.1002/anie.201804662

    9. [9]

      T. Tanaka, A. Matsumoto, A.S. Klymchenko, et al., Adv. Sci. 11 (2024) 2309721. doi: 10.1002/advs.202309721

    10. [10]

      X. Peng, Z. Yang, J. Wang, et al., J. Am. Chem. Soc. 133 (2011) 6626–6635. doi: 10.1021/ja1104014

    11. [11]

      Z. Yang, J. Cao, Y. He, et al., Chem. Soc. Rev. 43 (2014) 4563–4601. doi: 10.1039/C4CS00051J

    12. [12]

      A. Vyšniauskas, M. Qurashi, N. Gallop, et al., Chem. Sci. 6 (2015) 5773. doi: 10.1039/C5SC02248G

    13. [13]

      B. Shen, L. Liu, Y. Huang, et al., Aggregate 5 (2024) e421. doi: 10.1002/agt2.421

    14. [14]

      T. Yamakado, S. Saito, J. Am. Chem. Soc. 144 (2022) 2804–2815. doi: 10.1021/jacs.1c12955

    15. [15]

      H. -. B. Cheng, X. Cao, S. Zhang, et al., Adv. Mater. 35 (2023) 2207546. doi: 10.1002/adma.202207546

    16. [16]

      M. Biancalana, S. Koide, Biochim. Biophys. Acta 1804 (2010) 1405–1412. doi: 10.1016/j.bbapap.2010.04.001

    17. [17]

      R. Khurana, C. Coleman, C. Ionescu-Zanetti, et al., J. Struct. Biol. 151 (2005) 229–238. doi: 10.1016/j.jsb.2005.06.006

    18. [18]

      V.I. Stsiapura, A.A. Maskevich, V.A. Kuzmitsky, et al., J. Phys. Chem. B 112 (2008) 15893–15902. doi: 10.1021/jp805822c

    19. [19]

      N. Amdursky, Y. Erez, D. Huppert, Acc. Chem. Res. 45 (2012) 1548–1557. doi: 10.1021/ar300053p

    20. [20]

      A. Vyšniauskas, B. Cornell, P.S. Sherin, et al., ACS Sens. 6 (2021) 2158–2167. doi: 10.1021/acssensors.0c02275

    21. [21]

      I. Kähärä, N. Durandin, P. Ilina, et al., Photochem. Photobiol. Sci. 21 (2022) 1677–1687. doi: 10.1007/s43630-022-00250-y

    22. [22]

      B. Shen, K.H. Jung, S. Ye, et al., Aggregate 4 (2023) e301. doi: 10.1002/agt2.301

    23. [23]

      J. Mohanty, K. Jagtap, A.K. Ray, W.M. Nau, H. Pal, Chem. Phys. Chem. 11 (2010) 3333–3338. doi: 10.1002/cphc.201000532

    24. [24]

      T.Y.D. Tang, C.R.C. Hak, A.J. Thompson, et al., Nat. Chem. 6 (2014) 527–533. doi: 10.1038/nchem.1921

    25. [25]

      S. Sasaki, D.P.C. Drummen, G. Konishi, J. Mater. Chem. C 4 (2016) 2731–2743. doi: 10.1039/C5TC03933A

    26. [26]

      C. Wang, W. Chi, Q, Qiao, et al., Chem. Soc. Rev. 50 (2021) 12656–12678. doi: 10.1039/d1cs00239b

    27. [27]

      W. Rettig, Angew. Chem. Int. Ed. 25 (1986) 971–988. doi: 10.1002/anie.198609711

    28. [28]

      C. Wang, Q. Qiao, W. Chi, et al., Angew. Chem. Int. Ed. 59 (2020) 10160–10172. doi: 10.1002/anie.201916357

    29. [29]

      K. Hanaoka, S. Iwaki, K. Yagi, et al., J. Am. Chem. Soc. 144 (2022) 19778–19790. doi: 10.1021/jacs.2c06397

    30. [30]

      J. Mei, N.L.C. Leung, R.T.K. Kwok, et al., Chem. Rev. 115 (2025) 11718–11940.

    31. [31]

      P. Chen, P.P. Lv, C.S. Guo, et al., Chin. Chem. Lett. 34 (2023) 108041. doi: 10.1016/j.cclet.2022.108041

    32. [32]

      H.L. Zhao, N. Li, C.X. Ma, et al., Chin. Chem. Lett. 34 (2023) 107699. doi: 10.1016/j.cclet.2022.07.042

    33. [33]

      X. Tian, D. Wu, W.H. Wei, et al., Chin. Chem. Lett. 35 (2024) 108912. doi: 10.1016/j.cclet.2023.108912

    34. [34]

      Z.Y. Zhang, T. Ji, H.L. Dong, et al., Chin. Chem. Lett. 35 (2024) 109542. doi: 10.1016/j.cclet.2024.109542

    35. [35]

      J.M. Qin, X. Li, W. Lang, et al., Chin. Chem. Lett. 35 (2024) 108925. doi: 10.1016/j.cclet.2023.108925

    36. [36]

      L.L. Miao, X.J. Zhu, G.X. Liu, et al., Chin. Chem. Lett. 34 (2023) 107921. doi: 10.1016/j.cclet.2022.107921

    37. [37]

      L.L. Lian, R.R. Zhang, S. Guo, et al., Chin. Chem. Lett. 34 (2023) 108516. doi: 10.1016/j.cclet.2023.108516

    38. [38]

      Y.X. Pan, Y.T. Guo, Y. Li, et al., Chin. Chem. Lett. 34 (2023) 108237. doi: 10.1016/j.cclet.2023.108237

    39. [39]

      Y. Hong, J.W.Y. Lam, B.Z. Tang, Chem. Soc. Rev. 40 (2011) 5361–5388. doi: 10.1039/c1cs15113d

    40. [40]

      Q. Peng, Z. Shuai, Aggregate 2 (2021) e91. doi: 10.1002/agt2.91

    41. [41]

      J. Mei, Y. Hong, J.W.Y. Lam, et al., Adv. Mater. 26 (2014) 5429–5479. doi: 10.1002/adma.201401356

    42. [42]

      G, Konishi, Y. Sawatari, R. Iwai, et al., Molecules 29 (2024) 5220. doi: 10.3390/molecules29215220

    43. [43]

      R. Iwai, H. Yoshida, Y. Arakawa, et al., Aggregate 6 (2025) e660. doi: 10.1002/agt2.660

    44. [44]

      S. Suzuki, S. Sasaki, A.S. Sairi, et al., Angew. Chem. Int. Ed. 59 (2020) 9856–9867. doi: 10.1002/anie.202000940

    45. [45]

      R. Crespo-Otero, Q. Li, L. Blancafort, Chem. Asian. J. 14 (2019) 700–714. doi: 10.1002/asia.201801649

    46. [46]

      Y.M. Rhee, V.S. Pande, J. Phys. Chem. B 112 (2008) 6221–6227. doi: 10.1021/jp076301d

    47. [47]

      J. Perkins, E. Edwards, R. Kleiv, N. Weinberg, Mol. Phys. 109 (2011) 1901–1909. doi: 10.1080/00268976.2011.598136

    48. [48]

      H. Wang, Q. Li, P. Alam, et al., ACS Nano 17 (2023) 14347–14405. doi: 10.1021/acsnano.3c03925

    49. [49]

      J. Liu, Y. Zhang, J. Mei, et al., Chem. Eur. J. 21 (2015) 907–914. doi: 10.1007/978-3-662-46578-3_108

    50. [50]

      S. Lu, X. Guo, F. Zhang, et al., Chin. Chem. Lett. 32 (2021) 1947–1952. doi: 10.1016/j.cclet.2021.01.007

    51. [51]

      H. He, J. Zhong, W. Zhuang, et al., New J. Chem. 45 (2021) 12138. doi: 10.1039/D1NJ01712H

    52. [52]

      Z. Zheng, Y. Yang, P. Wang, et al., Adv. Funct. Mater. 33 (2023) 2303627. doi: 10.1002/adfm.202303627

    53. [53]

      W. Chen, C. Gao, X. Liu, et al., Anal. Chem. 90 (2018) 8736–8741. doi: 10.1021/acs.analchem.8b02940

    54. [54]

      R. Fu, L. Yo, J. Zhang, et al., Chin. Chem. Lett. 33 (2022) 1993–1996. doi: 10.1016/j.cclet.2021.10.018

    55. [55]

      X. Ma, W. Chi, X. Han, et al., Chin. Chem. Lett. 32 (2021) 1790-179. doi: 10.1016/j.cclet.2020.12.031

    56. [56]

      C. Qin, Y. Li, Q. Li, C. Yan, L, Cao, Chin. Chem. Lett. 32 (2021) 3531–3534. doi: 10.1016/j.cclet.2021.05.006

    57. [57]

      Y. Hong, L. Meng, S. Chen, et al., J. Am. Chem. Soc. 134 (2012) 1680–1689. doi: 10.1021/ja208720a

    58. [58]

      W. He, Y. Yang, Y. Qian, et al., Aggregate 5 (2024) e412. doi: 10.1002/agt2.412

    59. [59]

      N.K.S. Teo, B. Fan, A. Ardana, S.H. Thang, Aggregate 5 (2024) e414. doi: 10.1002/agt2.414

    60. [60]

      S. Sasaki, S. Suzuki, W.M.C. Sameera, et al., J. Am. Chem. Soc. 138 (2016) 8194–8206. doi: 10.1021/jacs.6b03749

    61. [61]

      S. Sasaki, K. Igawa, G. Konishi, J. Mater. Chem. C 3 (2015) 5940–5950. doi: 10.1039/C5TC00946D

    62. [62]

      S. Sasaki, Y. Sugita, M. Tokita, et al., Macromolecules 50 (2017) 3544–3556. doi: 10.1021/acs.macromol.7b00213

    63. [63]

      A.S. Sairi, G. Konishi, Asian J. Org. Chem. 8 (2019) 404–410. doi: 10.1002/ajoc.201900056

    64. [64]

      S. Sasaki, G. Konishi, RSC Adv. 7 (2017) 17403–17416. doi: 10.1039/C7RA01212H

    65. [65]

      R. Iwai, S. Suzuki, S. Sasaki, et al., Angew. Chem. Int. Ed. 59 (2020) 10566–10573. doi: 10.1002/anie.202000943

    66. [66]

      J. Liu, H. Zhang, L. Hu, et al., J. Am. Chem. Soc. 144 (2022) 7901–7910. doi: 10.1021/jacs.2c02381

    67. [67]

      S. Ye, H. Zhang, J. Fei, C.H. Wolstenholme, X. Zhang, Angew. Chem. Int. Ed. 60 (2021) 1339–1346. doi: 10.1002/anie.202011108

    68. [68]

      T. Förster, G.Z. Hoffmann, Phys. Chem. 75 (1971) 63–76. doi: 10.1524/zpch.1971.75.1_2.063

    69. [69]

      V.I. Stasiapura, A.A. Maskevich, J. Phys. Chem. A 111 (2007) 4829–4835. doi: 10.1021/jp070590o

    70. [70]

      N. Amdursky, Y. Erez, D. Huppert, Acc. Chem. Res. 45 (2012) 1548–1557. doi: 10.1021/ar300053p

    71. [71]

      K.J. Laidler, J. Chem. Educ. 61 (1984) 494. doi: 10.1021/ed061p494

    72. [72]

      H.M. Frey, B.M. Pope, R.F. Skinner, Trans. Faraday Soc. 63 (1967) 1166–1170. doi: 10.1039/TF9676301166

    73. [73]

      H.A. Kramers, Physica 7 (1940) 284–304. doi: 10.1016/S0031-8914(40)90098-2

    74. [74]

      F. Neese, Comput. Mol. Sci. 2 (2012) 73–78. doi: 10.1002/wcms.81

    75. [75]

      F. Neese, Comput. Mol. Sci. 12 (2022) e1606. doi: 10.1002/wcms.1606

    76. [76]

      Y. Lei, L. Yu, B. Zhou, et al., J. Phys. Chem. A 118 (2014) 9021–9031. doi: 10.1021/jp5020109

    77. [77]

      M. Quick, A.L. Dobrakov, I.N. Ioffe, et al., J. Phys. Chem. Lett. 7 (2016) 4047–4052. doi: 10.1021/acs.jpclett.6b01923

    78. [78]

      H, Kuramochi, T. Tsutsumi, K. Saita, et al., Nat. Chem. 16 (2024) 22–27. doi: 10.1038/s41557-023-01397-6

    79. [79]

      J. Guan, R. Wei, A. Prlj, et al., Angew. Chem. Int. Ed. 59 (2020) 14903–14909. doi: 10.1002/anie.202004318

    80. [80]

      M.A. Haidekker, E.A. Theodorakis, J. Mater. Chem. C 4 (2016) 2707. doi: 10.1039/C5TC03504J

    81. [81]

      M.A. Haidekker, T.P. Brady, D. Lichlyter, E.A. Theodorakis, J. Am. Chem. Soc. 128 (2006) 398–399. doi: 10.1021/ja056370a

    82. [82]

      M.A. Haidekker, T. Ling, M. Anglo, et al., Chem. Biol. 8 (2001) 123–131. doi: 10.1016/S1074-5521(00)90061-9

    83. [83]

      M.A. Haidekker, T.P. Brady, D. Lichlyter, E.A. Theodorakis, Bioorg. Chem. 33 (2005) 415–425. doi: 10.1016/j.bioorg.2005.07.005

    84. [84]

      M.A. Haidekker, E.A. Theodorakis, Org. Biomol. Chem. 5 (2007) 1669–1678. doi: 10.1039/B618415D

    85. [85]

      Y. Shimomura, K. Igawa, S. Sasaki, et al., Chem. Eur. J. 28 (2022) e202201884. doi: 10.1002/chem.202201884

    86. [86]

      Y. Shimomura, G. Konishi, Chem. Eur. J. 29 (2023) e202301191. doi: 10.1002/chem.202301191

    87. [87]

      S. Sasaki, S. Suzuki, K. Igawa, K. Morokuma, G. Konishi, J. Org. Chem. 82 (2017) 6865–6873. doi: 10.1021/acs.joc.7b00996

    88. [88]

      Y. Fujimoto, N. Yamamoto, K. Furukawa, H. Sekiya, Chem. Lett. 45 (2016) 637–639. doi: 10.1246/cl.160143

    89. [89]

      B.K. An, J., Gierschner, S.Y. Park, Acc. Chem. Res. 45 (2012) 544–554. doi: 10.1021/ar2001952

    90. [90]

      Z. Liu, Z. Jiang, M. Yan, X. Wang, Front. Chem. 7 (2019) 712. doi: 10.3389/fchem.2019.00712

    91. [91]

      T. Kowada, H. Maeda, K. Kikuchi, Chem. Soc. Rev. 44 (2015) 4953. doi: 10.1039/C5CS00030K

    92. [92]

      L.L. Li, K. Li, M.Y. Li, et al., Anal. Chem. 90 (2018) 5873–5878. doi: 10.1021/acs.analchem.8b00590

    93. [93]

      W. Chi, J. Chen, W. Liu, et al., J. Am. Chem. Soc. 142 (2020) 6777–6785. doi: 10.1021/jacs.0c01473

    94. [94]

      X. Liu, A. Humeniuk, W.J. Glover, J. Chem. Theory Comput. 18 (2022) 6826–6839. doi: 10.1021/acs.jctc.2c00662

    95. [95]

      A. Humeniuk, W.J. Glover, J. Chem. Theory Comput. 20 (2024) 2111–2126. doi: 10.1021/acs.jctc.3c01018

  • Figure 1  Conceptual diagram of the environmental responsiveness of molecular systems based on the potential energy surface: (a) Viscosity response of molecular rotors in a dilute solution and solid/aggregated state, and (b) viscosity response of aggregation-induced emission luminogens. In the diagrams, LE and TICT refer to locally excited and twisted intramolecular charge transfer states, respectively; FC and TS refer to Franck–Condon and transition states, respectively; CI refers to the conical intersection. S1 represents the singlet excited state, S0 represents the singlet ground state, knr represents the nonradiative decay rate constant, and kr represents the rotational rate constant.

    Figure 2  (a) Förster–Hoffmann plots obtained based on the change in the fluorescent intensity with solvent viscosity for BDAA6-SO3Na, DPB[7]-SO3Na, TPE-SO3Na, and Thioflavin T. (b) Changes in the fluorescence lifetime, τfl of BDAA6-SO3Na as a function of temperature, as recorded in water–glycerol mixtures of different viscosities (glycerol content ranged from 40% to 90%). (c) Fluorescence decay curves of BDAA6-SO3Na in water/glycerol mixtures of varying viscosities at 278 K.

    Figure 3  (a) Potential energy diagrams of DPB[7], TPE, and BDAA-methyl in the gas phase. (b) Definition of atom numbers for (c). (c) Optimized structures of DPB[7], TPE, and BDAA-methyl at S1min and CI. The dihedral angles, θ of each conformation are listed below the structure.

    Table 1.  Summary of χ values obtained from Förster–Hoffmann plots for BDAA6-SO3Na, DPB[7]-SO3Na, TPE-SO3Na, and Thioflavin T in different viscosity regions.

    Sample Viscosity (η) (mPa s) (glycerol/water) χ values
    Ifla Φfla τfla
    BDAA6-SO3Na 0.89–10.7 0.81 0.81 1.11
    Empty Cell 22.5–219 0.35 0.40 0.52
    Empty Cell 0.89–219 0.62 0.62 0.75
    DPB[7]-SO3Na 0.89–10.7 0.61 0.68 ND b
    Empty Cell 22.5–219 0.34 0.33 ND b
    Empty Cell 0.89–219 0.49 0.49 ND b
    TPE-SO3Na 0.89–10.7 1.05 0.77 ND b
    Empty Cell 22.5–219 0.52 0.54 ND b
    Empty Cell 0.89–219 0.75 0.74 ND b
    Thioflavin T 0.89–10.7 0.84 ND c ND b
    Empty Cell 22.5–219 0.82 ND c ND b
    Empty Cell 0.89–219 0.88 ND c ND b
    a Correlation coefficient, R2 is 0.95 or higher.
    b This could not be calculated due to the detection limit of the fluorescence lifetime device using a 345 nm excitation beam.
    c Fluorescence quantum yield of Thioflavin T did not show linearity (R2 < 0.95) in the Förster–Hoffmann plots.
    下载: 导出CSV
  • 加载中
计量
  • PDF下载量:  0
  • 文章访问数:  48
  • HTML全文浏览量:  6
文章相关
  • 发布日期:  2025-12-15
  • 收稿日期:  2024-12-09
  • 接受日期:  2025-06-19
  • 修回日期:  2025-06-16
  • 网络出版日期:  2025-06-20
通讯作者: 陈斌, bchen63@163.com
  • 1. 

    沈阳化工大学材料科学与工程学院 沈阳 110142

  1. 本站搜索
  2. 百度学术搜索
  3. 万方数据库搜索
  4. CNKI搜索

/

返回文章