Band structure engineering of phosphorus doped Ta3N5 for efficient photoelectrochemical water oxidation

Congzhao Dong Yajun Zhang Yingpu Bi Zeyu Li Yong Ding

Citation:  Congzhao Dong, Yajun Zhang, Yingpu Bi, Zeyu Li, Yong Ding. Band structure engineering of phosphorus doped Ta3N5 for efficient photoelectrochemical water oxidation[J]. Chinese Chemical Letters, 2025, 36(12): 111449. doi: 10.1016/j.cclet.2025.111449 shu

Band structure engineering of phosphorus doped Ta3N5 for efficient photoelectrochemical water oxidation

English

  • Photoelectrochemical (PEC) water splitting, which directly converts solar energy into hydrogen through redox reactions, has emerged as a promising strategy to alleviate the energy crisis [15]. The oxygen evolution reaction (OER), characterized by its four-electron transfer mechanism and thermodynamically demanding multi-step oxidation processes, constitutes the rate-limiting step in overall water splitting [68]. Developing photoanodes with high photocurrent density is a key challenge in improving the overall efficiency of PEC devices [912]. Tantalum nitride (Ta3N5), one of the most promising semiconductor materials for large-scale industrial PEC water splitting, possesses a narrow bandgap of 2.1 eV, a maximum theoretical photocurrent density of 12.9 mA/cm2, and a maximum solar-to-hydrogen efficiency of 15.9% [1315]. However, the actual photocurrent density of Ta3N5 is often unsatisfactory, with severe charge recombination being one of the main reasons [1618].

    Hetero-atom doping is a widely adopted method for addressing or mitigating this issue [1921]. For instance, Schmuki et al. reported alkali metals (Na, K, Rb, Cs)-doped and W-doped Ta3N5 [22,23]. Yan et al. demonstrated Mg-doped Ta3N5 [24]; Sharp et al. investigated Ti-doped Ta3N5 [25]; Zhu et al. explored La-doped Ta3N5 [26]; and Domen et al. developed Mg-Zr cosubstituted Ta3N5 [27]. Notably, Li et al. reported gradient Mg-doped Ta3N5, and the Ta3N5 photoanode modified with NiCoFe-Bi cocatalyst, which exhibited photocurrent density of 8 mA/cm2, accompanied by an applied bias photo-to-current efficiency (ABPE) of 3.25% [28]. Metal-doped Ta3N5 has been widely reported, and Li et al. also conducted detailed theoretical calculations on numerous metal-doped Ta3N5 [29]. However, to the best of our knowledge, the application of non-metal-doped Ta3N5 in photoelectrochemical water splitting remains unexplored, excluding oxygen impurities arising from intrinsic defects.

    Compared to sulfur and boron, phosphorus possesses similar oxidation states (−3) with nitrogen, which may facilitate the formation of Ta-P bonds analogous to the Ta-N bonds structure during doping. The atomic radius of sulfur is significantly larger than that of nitrogen, which may exacerbate lattice distortion, create electron-hole recombination centers, and reduce photocurrent density. Boron which is primarily in the +3 oxidation state cannot substitute for negatively charged N atoms to achieve charge balance. Herein, we successfully doped phosphorus into Ta3N5 by placing Ta3N5 and anhydrous sodium hypophosphite (NaH2PO2) in a quartz tube under heating conditions. After modification with a NiFe-based cocatalyst, P-doped Ta3N5 photoanode exhibits a photocurrent density of 10.0 mA/cm2 at 1.23 V vs. reversible hydrogen electrode (VRHE). Various characterization analyses demonstrate that phosphorus exists near the surface of Ta3N5 and exhibits a gradient doping characteristic. The formed built-in field promotes the charge separation and improves the charge injection efficiency. Moreover, the incorporation of phosphorus increases the charge carrier density and decreases the charge transfer resistance. Additionally, the surface phosphorus atoms and oxygen atoms of NiFe-based cocatalyst form P-O bonds, which facilitate the transfer of photogenerated holes to the photoanode/electrolyte interface to participate in water oxidation reaction. This work provides a simple and efficient method for doping non-metals into Ta3N5, and offers new insights for other non-metals into semiconductors.

    Ta3N5 photoanode was obtained by anodic oxidation and ammoniation from our previous work [30]. Phosphorus doped Ta3N5 (named as P:Ta3N5) was obtained by exposure to locally generated phosphine gas in a tube furnace. Scanning electron microscopy (SEM) were conducted to investigate the morphology of Ta3N5 and P:Ta3N5. As shown in Fig. 1A and inset, Ta3N5 exhibits a typical tubular structure with a diameter of 190 nm and a length of 3.8 µm. P:Ta3N5 possesses the same morphology as Ta3N5 (Fig. 1B and inset). Transmission electron microscopy (TEM) was performed to further observe the microstructure of Ta3N5 and P:Ta3N5. TEM images of Ta3N5 (Fig. S1A in Supporting information) reconfirm the tubular structure, and the lattice fringes with spacing of 0.52 nm were assigned to the (002) crystal planes of Ta3N5 (Fig. S1B in Supporting information). Note that an amorphous layer, like a POx layer, tends to form on the semiconductors' surface by using general phosphorization methods [31,32]. However, it can be clearly seen that no amorphous layer is observed in Fig. S2B (Supporting information), even the lattice fringes extend to the boundary of P:Ta3N5, which demonstrates that phosphorus may be doped into the Ta3N5. Fig. S3 (Supporting information) shows the energy dispersive X-ray spectroscopy (EDS) elemental mapping of P:Ta3N5, and it can be visualized that Ta, N and P elements are homogeneously distributed within the P:Ta3N5 sample. EDS line-scan analysis was employed to further confirm the presence of phosphorus, as shown in Fig. S4 (Supporting information). A distinct phosphorus signal was observed, demonstrating successful incorporation of phosphorus into the Ta3N5 structure.

    Figure 1

    Figure 1.  Top-view SEM image of (A) Ta3N5 and (B) P:Ta3N5. The insets in (A, B) are cross-view SEM images. (C) XRD patterns and (D) UV–vis spectra of Ta3N5 and P:Ta3N5. There are some diffraction peaks of Ta2N phase (♣), TaN0.1 phase (♦), Ta4N phase (♥), and Ta phase (♠) in XRD patterns.

    The crystal structures of Ta3N5 and P:Ta3N5 samples were measured by X-ray diffraction (XRD). As shown in Fig. 1C, the XRD patterns of P:Ta3N5 show negligible variations compared to those of Ta3N5. The XRD patterns of both samples match the reference pattern for Ta3N5 (JCPDS No. 89–5200), and some extra diffraction peaks are attributed to unsaturated Ta3N5 [33]. The magnified XRD patterns of (020), (110) and (023) diffraction peaks of P:Ta3N5 show slight shifts of peak positions toward lower 2 Theta degrees compared to Ta3N5, suggesting the increased strain of the Ta3N5 upon the incorporation of phosphorus (Fig. S5 in Supporting information) [34,35]. The ultraviolet-visible diffuse reflection (UV–vis) spectra were conducted to investigate the influence of incorporation of phosphorus on light absorption. As shown in Fig. 1D, the light absorption of P:Ta3N5 has a slight blue shift compared to that of Ta3N5. Fig. S6 (Supporting information) shows the Tauc plot obtained from UV–vis spectra, the band gaps of Ta3N5 and P:Ta3N5 are determined to be 2.06 and 2.09 eV, respectively.

    X-ray photoelectron spectra (XPS) were conducted to explore the chemical state of Ta3N5 before and after incorporation of phosphorus, as shown in Fig. 2. The Ta 4f peak of Ta3N5 were deconvoluted into Ta-N and Ta-O bands [36]. In contrast, P:Ta3N5 display two additional peaks at 27.8 and 29.9 eV compared to Ta3N5 (Fig. 2A). We tentatively propose they originate from Ta-P bonds based on our experimental methodology [37]. Fig. 2B shows the N 1s high-resolution spectra, where a distinct new peak at 401.9 eV is observed in P:Ta3N5, assigned to N-P bonds [38]. In the P 2p spectra (Fig. 2C), no phosphorus signal is detected in pristine Ta3N5, while P:Ta3N5 exhibits two distinct phosphorus species. The peak at 134.3 eV corresponds to P-O bonds [39], with oxygen likely originating from: (1) Adsorbed moisture in NaH2PO2 during air exposure, and (2) native surface oxygen on Ta3N5 required for thermodynamic stabilization [40,41]. Peaks at 129.7 and 130.8 eV match characteristic phosphorus-metal bonding [39,42], confirming the presence of P-Ta bonds. This observation validates our assignment of the new Ta 4f peaks (Fig. 2A) to Ta-P interactions, providing conclusive evidence for phosphorus doping in Ta3N5.

    Figure 2

    Figure 2.  XPS high-resolution spectra of (A) Ta 4f, (B) N 1s and (C) P 2p for Ta3N5 and P:Ta3N5.

    Note that in some previous literature using similar phosphorization methods, the peak at ~134 eV corresponding to the P-O bonds is the only peak or dominates in P 2p high-resolution spectrum [4345]. We deduced that absorbed water or water of crystallization in NaH2PO2 may be one of the crucial reasons. When water and PH3 are present simultaneously, phosphorus oxides (POx) tend to form on the surface of semiconductor. To support this deduction, sodium hypophosphite hydrate (NaH2PO2·H2O) was used as the phosphorous source instead of NaH2PO2, and the obtained photoanode was denoted as Ta3N5(P) using this method. As depicted in Fig. S7B (Supporting information), there is an obvious amorphous layer with a thickness of around 1.7 nm, which is distinctly different with those of Ta3N5 and P:Ta3N5. XPS was conducted to investigate the surface chemical state, and Fig. S8A (Supporting information) shows the P 2p high-resolution spectra. It can be clearly seen that there is only one peak at 134 eV, which should be assigned to P-O bonds. This manifests that P does not dope but forms POx when using NaH2PO2·H2O as the phosphorus source. Moreover, no peak is observed at 29.9 and 401.9 eV in Ta 4f and N 1s spectra, respectively (Figs. S8B and C in Supporting information), which further supports that P with negative valence does not exist. The shifts in the Ta 4f and N 1s spectra between Ta3N5 and Ta3N5(P) are attributed to the strong electron-withdrawing ability of POx. Based on the above discussion, it can be summarized that phosphorus does exist in P:Ta3N5 as a doping impurity.

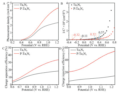
    The photoelectrochemical water splitting performances of all-prepared Ta3N5 photoanodes were systematically evaluated in 1 mol/L KOH electrolyte (pH 13.6) under AM 1.5G simulated sunlight (100 mW/cm2). Fig. 3A shows the linear sweep voltammetry (LSV) curves of Ta3N5 and P:Ta3N5 with 0.2 mol/L H2O2 as hole scavenger. The photocurrent density of Ta3N5 at 1.23 VRHE is only 2.4 mA/cm2, which is lower than that of P:Ta3N5 (4.3 mA/cm2). It should be noted that P:Ta3N5 exhibits a significant cathodic shift of 60 mV in onset potential (measured at 0.2 mA/cm2) compared to Ta3N5, indicating enhanced charge transfer kinetics. Mott-Schottky analysis (Fig. 3B) confirms the n-type semiconductor characteristics of both samples through their positive slopes. The flat band potential of Ta3N5 is obtained by the intersection of the tangent line with the X-axis, which is −0.11 VRHE. Significantly, the M-S slope of Ta3N5 changes when the voltage exceeds 0.37 VRHE. At potentials from −0.2 VRHE to 0.37 VRHE, the Fermi level pinning caused by surface states in Ta3N5 weakens the band bending and makes the slope almost unchanged with voltage changing. At potentials more positive than 0.37 VRHE, the reduction of surface states leads to greater band bending and an increase in the slope [17]. P:Ta3N5 exhibits a smaller flat band potential of −0.32 V than that of Ta3N5. It is also worth noting that compared to Ta3N5, the slope change for P:Ta3N5 occurs at a smaller voltage of 0.32 VRHE, which means that overcoming the Fermi level pinning requires a smaller voltage. Moreover, the carrier concentrations of Ta3N5 and P:Ta3N5 can be calculated from the M-S slope, resulting in 9.68 × 1022 and 4.06 × 1023 cm-3, respectively. The charge carrier density of Ta3N5 increases by approximately four times upon phosphorus doping, which means that P:Ta3N5 exhibits better conductivity than Ta3N5.

    Figure 3

    Figure 3.  (A) LSV for H2O2 oxidation in 1 mol/L KOH (pH 13.6) and 0.2 mol/L H2O2 electrolyte, (B) Mott-Schottky plot, (C) charge separation efficiency and (D) charge injection efficiency of Ta3N5 and P:Ta3N5.

    As shown in Fig. 3C, the charge separation efficiency of P:Ta3N5 reaches 33% at 1.23 VRHE, which is 1.8 times higher than that of Ta3N5. This reveals that the phosphorus doping facilitates the separation of photogenerated holes and electrons in the bulk of Ta3N5. Additionally, the charge injection efficiency at 1.23 VRHE also increases from 14% (Ta3N5) to 55% (P:Ta3N5) (Fig. 3D). This suggests that the phosphorus doping may provide additional reactive sites for water oxidation, thereby promoting the rapid participation of photogenerated holes in the semiconductor-electrolyte interface in water oxidation reactions. Moreover, the photoluminescence intensity of P:Ta3N5 is lower than that of Ta3N5, indicating the incorporation of phosphorus suppresses the electron-hole recombination (Fig. S9 in Supporting information). Electrochemical active surface area (ECSA) tests were performed in Fig. S10 (Supporting information). The slope of P:Ta3N5 photoanode shows a 1.77 mF/cm2, which is 1.3 times greater than that of Ta3N5. This confirms incorporation of phosphorus generates abundant active sites of Ta3N5.

    To unambiguously determine the phosphorus doping con-figuration, density functional theory (DFT) calculation was performed for three possible doping modes: Substitutional P at Ta sites (P-Tasub), substitutional P at N sites (P-Nsub), and interstitial P doping (Pint). As shown in Fig. S11 (Supporting information), the formation energy of Pint is 3.45 eV, which is higher than that of P-Nsub (1.71 eV) and lower than that of P-Tasub (10.30 eV). Notably, the formation energies of both substitutional and interstitial doping are positive, indicating that all doping methods require energy input and are non-spontaneous reactions. Among them, the formation energy of P-Nsub is smaller than that of P-Tasub and Pint, revealing that the P-Nsub is more prone to forming.

    In the XPS analysis shown in Fig. 2B, the peak of N-P bonds was observed, suggesting that P may replace the Ta site and coordinate with N. However, DFT calculations indicate that the P-Tasub doping mode is difficult to form. To reconcile the conflicting results, we propose a hypothesis: P does not replace the Ta site, and the N-P bonds are formed on the surface of Ta3N5. To validate this hypothesis, we conducted XPS depth profile analysis. As shown in the N 1s high-resolution spectrum in Fig. 4A, after the first etching, the intensity of the N-P bonds peak at 401.9 eV weakens. After the second etching, the N-P bonds peak became undetectable. This result confirms the hypothesis that exposed N on the surface of Ta3N5 coordinate with P dopants, forming N-P bonds.

    Figure 4

    Figure 4.  XPS depth profile of (A) N 1s, (B) Ta 4f and (C) P 2p for P:Ta3N5. (D) VB-XPS for Ta3N5 and P:Ta3N5.

    The peak of the Ta-P bonds is clear and obvious, indicating that P replaces N and linkages with Ta in Fig. 2A, which is consistent with the DFT calculation results. Notably, the doping process involved thermal decomposition of NaH2PO2 to generate PH3, which reacted with Ta3N5 under argon flow. Considering that Ta3N5 possesses a compact porous nanotube structure, the length of the nanotube is about 3 µm, and PH3 likely could not penetrate deeply the bulk phase of Ta3N5 to react. Therefore, a reasonable speculation is proposed: P is predominantly concentrated on the surface, with minimal presence in the bulk phase. In the Ta 4f high-resolution spectra (Fig. 4B), the peak of the Ta-P bonds near 29.9 eV shows progressive attenuation, becoming nearly indistinguishable after the first etching and further diminishing after the second cycle. This illustrates that there are more Ta-P bonds near the surface of Ta3N5, but the closer to the bulk phase, the fewer Ta-P bonds existing. Fig. 4C shows the high-resolution spectrum of P 2p, and the peak intensity of the P-Ta bonds significantly decreases after two etching steps. This illuminates that the amount of P-Ta bonds is greatly reduced after two etching steps, but they are not completely disappeared. It is worth noting that the peak intensities of Ta and N do not decrease even after two etching steps. Considering these observations, it can be concluded that the P is mainly concentrated near the surface of Ta3N5, and the P content in the bulk phase is low, which verifies the above hypothesis.

    To investigate the effect of phosphorus doping on the band structure, XPS valence band spectroscopy (VB-XPS) was performed on samples Ta3N5 and P:Ta3N5. As shown in Fig. 4D, the valence band positions of Ta3N5 and P:Ta3N5 are 1.67 and 1.44 eV, respectively, relative to the work function of XPS analyser. Although the valence band positions of semiconductor materials obtained from VB-XPS lack precision, the observed shift (0.23 eV) between Ta₃N₅ and P:Ta3N5 remains statistically significant and reliably reflects the doping-induced electronic structure modification.

    Based on the conclusion that P element is primarily concentrated near the surface of Ta3N5 with minimal bulk incorporation, we propose that P:Ta3N5 near the surface of the photoanode and bulk Ta3N5 form a homojunction. According to the Tauc plot, the bandgap (Eg) values of Ta3N5 and P:Ta3N5 are 2.06 and 2.09 eV, respectively. According to the Mott-Schottky curve, the conduction band minimum (CBM) values of Ta3N5 and P:Ta3N5 are −0.31 and −0.52 V, respectively. Thus, the valence band maximum (VBM) values could be calculated by the formula: Eg = EVB - ECB. The EVB values of Ta3N5 and P:Ta3N5 are 1.75 and 1.57 VRHE, respectively, with the resulting band alignment illustrated in Fig. 5. Since the VBM of the bulk Ta3N5 is more positive than that of the near-surface P:Ta3N5, photogenerated holes transfer from Ta3N5 to P:Ta3N5, and then migrate to the interface of the photoanode and electrolyte to oxidize water and generate oxygen. Since the CBM of the near-surface P:Ta3N5 is more negative than that of the bulk Ta3N5, photogenerated electrons transfer from P:Ta3N5 to Ta3N5, and then migrate to Ta substrate, through the external circuit to the counter electrode, participating in the hydrogen production reaction. The type-Ⅱ homojunction formed between the near-surface P:Ta3N5 and the bulk Ta3N5 promotes the separation of photogenerated holes and electrons, thereby enhancing the photoelectrochemical water oxidation activity.

    Figure 5

    Figure 5.  The scheme of band structure and charge transfer for P:Ta3N5.

    NiFe/P:Ta3N5 was obtained by modifying P:Ta3N5 photo-anode with a NiFe-based cocatalyst using the method described in our previous work [10], and a series of photo/electrochemical tests were carried out to investigate the PEC water splitting performance of NiFe/P:Ta3N5. Fig. S12A (Supporting information) shows the LSV curves of Ta3N5, P:Ta3N5 and NiFe/P:Ta3N5 for water oxidation. Ta3N5 exhibits a photocurrent density of 0.32 mA/cm2 at 1.23 VRHE and P:Ta3N5 achieves 3.0 mA/cm2. Remarkably, the photocurrent density of NiFe/P:Ta3N5 reaches up to 10.0 mA/cm2, representing a 31-fold enhancement over pristine Ta3N5 and a 3.3-fold improvement compared to P:Ta3N5. In addition, the onset potentials of Ta3N5, P:Ta3N5, NiFe/P:Ta3N5 are 0.73, 0.45 and 0.27 VRHE, respectively, suggesting that the phosphorus doping and the modification of NiFe cocatalyst can both significantly reduce the activation energy of water oxidation reaction. It is worth noting that the transient photocurrent of Ta3N5 and P:Ta3N5 has a sharp upward peak when the light is turned on, revealing that these two photoanodes have severe hole accumulation effect and photogenerated holes cannot be consumed for water oxidation in time. NiFe/P:Ta3N5 also has an upward peak in the range of 0.2–0.8 VRHE, but the upward peak decreases rapidly after 0.8 VRHE, indicating that the photogenerated holes can rapidly participate in the water oxidation reaction at higher biases. As shown in Fig. S12B (Supporting information), the maximum APBE values of Ta3N5 and P:Ta3N5 are 0.13% and 0.20%, respectively, while NiFe/P:Ta3N5 reaches a maximum APBE number of 1.78% at 0.95 VRHE.

    The charge transfer resistance of Ta3N5, P:Ta3N5, and NiFe/P:Ta3N5 was investigated using electrochemical impedance spectroscopy under illumination. Fig. S13 (Supporting information) shows the Nyquist plot and Rct represents the charge transfer resistance. It can be clearly seen that NiFe/P:Ta3N5 has the smallest arc radius, with an Rct value of 907.6 Ω, only one-sixth that of Ta3N5 (5751 Ω) and nearly half that of P:Ta3N5 (1753 Ω). This indicates that phosphorus doping enhances the conductivity of Ta3N5 and reduces the interfacial charge transfer resistance, and the modification of NiFe co-catalyst further promotes PEC performance. Fig. S14 (Supporting information) shows the chronoamperometry tests of Ta3N5, P:Ta3N5 and NiFe/P:Ta3N5. It can be seen that Ta3N5 and P:Ta3N5 approach a constant photocurrent density of 0.16 and 0.20 mA/cm2, respectively, after 10 min reaction. After modification of NiFe cocatalyst, the photocurrent density of NiFe/P:Ta3N5 is 2.8 mA/cm2 at 10 min, retaining 37% of its initial photocurrent density. This partial stability loss may arise from incomplete coverage of the P:Ta3N5 surface by NiFe co-catalyst, resulting in the oxidation of negatively charged phosphorus by the holes during the water oxidation reaction and leading to a decrease in photostability.

    XPS was performed to observe the change in the chemical environment of the surface elements on the Ta3N5 photoanode after loading with NiFe co-catalyst, as shown in Fig. S15 (Supporting information). From the Ta 4f spectrum, it can be seen that Ta element has three distinct Ta bonding states, and the peak of Ta-P bonds is distinct. In the N 1s spectrum, the peak of N-P bonds remains detectable (Fig. S15B). These phenomena suggest that P bonded with Ta and N remains stable to some extent in the aqueous solution environment during the immersion of the NiFe co-catalyst. From the P 2p spectrum in Fig. S15C, the high intensity of the P-Ta peak confirms the stability of the P-Ta bonds, which is consistent with the Ta-P bonds observed in Fig. S15A. Additionally, the intensity of the P-O bonds increases significantly compared to P:Ta3N5. This suggests that during the preparation of NiFe co-catalyst, many P-O bonds were formed. The P-O bonds likely originate from interactions between the exposed P atoms on the surface and the O atoms in the NiFe co-catalyst. These P-O bonds could serve as channels for charge transfer between Ta3N5 and NiFe co-catalyst, facilitating charge migration [46]. From the Fe 2p and Ni 2p spectra in Figs. S15D and E, it is evident that both Fe and Ni exhibit obvious features of both +2 and +3 valence states, which is favorable for the water oxidation reaction [47]. All elements could be detected in XPS survey spectrum (Fig. S15F).

    In summary, a simple method was used to dope the non-metal element phosphorus into Ta3N5 for the first time, resulting in P:Ta3N5. Under simulated sunlight (AM 1.5G, 100 mW/cm2), the photocurrent density of P:Ta3N5 reaches 3.0 mA/cm2 at 1.23 VRHE, which is 9 times higher than that of Ta3N5. In addition, the onset potential of P:Ta3N5 is 280 mV more negative than that of Ta3N5. After loading the NiFe co-catalyst, the photocurrent density of the NiFe/P:Ta3N5 photoanode reaches 10.0 mA/cm2 at 1.23 VRHE and ABPE value hits 1.78% at 0.95 VRHE, respectively. Further research results show that phosphorus doping induces a 0.03 eV bandgap widening while shifting the valence band upward, creating a staggered band alignment. Moreover, XPS depth profile results demonstrate that phosphorus primarily exists in the near surface of Ta3N5, and the content of phosphorus in the bulk phase is significantly reduced, resulting in forming a type-Ⅱ homojunction between the near-surface P:Ta3N5 and the bulk Ta3N5, which is conducive to the separation of photogenerated holes and electrons. This work not only successfully dopes phosphorus into Ta3N5, but also provides important insights into doping nonmetal atoms into semiconductors.

    The authors declare that they have no known competing financial interests or personal relationships that could have appeared to influence the work reported in this paper.

    Congzhao Dong: Writing – original draft, Methodology, Investigation, Formal analysis, Data curation. Yajun Zhang: Formal analysis, Data curation. Yingpu Bi: Writing – review & editing, Project administration, Investigation, Funding acquisition. Zeyu Li: Formal analysis, Data curation. Yong Ding: Writing – review & editing, Supervision, Funding acquisition.

    This work was supported by the National Natural Science Foundation of China (Nos. 22472071, 21832005, 22072168, 22002175), the Natural Science Foundation of Gansu Province (No. 21JR7RA440) and Strategic Priority Research Program of the Chinese Academy of Sciences (No. XDA21061011). The authors also appreciate the assistance of Dr. Chenchen Feng and Bin Zhao for the preparation method of phosphorus-doped Ta3N5 photoanode.

    Supplementary material associated with this article can be found, in the online version, at doi:10.1016/j.cclet.2025.111449.


    1. [1]

      M. Grätzel, Nature 414 (2001) 338–344. doi: 10.1038/35104607

    2. [2]

      P. Zhou, I.A. Navid, Y. Ma et al., Nature 613 (2023) 66–70. doi: 10.1038/s41586-022-05399-1

    3. [3]

      M.G. Walter, E.L. Warren, J.R. McKone et al., Chem. Rev. 110 (2010) 6446–6473. doi: 10.1021/cr1002326

    4. [4]

      S. Wang, G. Liu, L. Wang, Chem. Rev. 119 (2019) 5192–5247. doi: 10.1021/acs.chemrev.8b00584

    5. [5]

      X. Cao, C. Xu, X. Liang et al., Appl. Catal. B: Environ. 260 (2020) 118136. doi: 10.1016/j.apcatb.2019.118136

    6. [6]

      J.R. Bolton, S.J. Strickler, J.S. Connolly, Nature 316 (1985) 495–500. doi: 10.1038/316495a0

    7. [7]

      T. Hisatomi, J. Kubota, K. Domen, Chem. Soc. Rev. 43 (2014) 7520–7535. doi: 10.1039/C3CS60378D

    8. [8]

      J. Feng, H. Huang, W. Guo et al., Chem. Eng. J. 417 (2021) 128095. doi: 10.1016/j.cej.2020.128095

    9. [9]

      G. Liu, S. Ye, P. Yan et al., Energy Environ. Sci. 9 (2016) 1327–1334. doi: 10.1039/C5EE03802B

    10. [10]

      C. Dong, X. Zhang, Y. Ding, Y. Zhang, Y. Bi, Appl. Catal. B: Environ. 338 (2023) 123055. doi: 10.1016/j.apcatb.2023.123055

    11. [11]

      H. Huang, J. Wang, Y. Liu et al., Nat. Mater. 23 (2023) 383–390.

    12. [12]

      B. Zhao, X. Huang, Y. Ding, Y. Bi, Angew. Chem. Int. Ed. 62 (2022) e202213067.

    13. [13]

      A. Ishikawa, T. Takata, J.N. Kondo, M. Hara, K. Domen, J. Phys. Chem. B 108 (2004) 11049–11053.

    14. [14]

      W.J. Chun, A. Ishikawa, H. Fujisawa et al., J. Phys. Chem. B 107 (2003) 1798–1803. doi: 10.1021/jp027593f

    15. [15]

      J. Feng, H. Huang, S. Yan et al., Nano Today 30 (2020) 100830. doi: 10.1016/j.nantod.2019.100830

    16. [16]

      B. Zhang, Z. Fan, Y. Chen et al., Angew. Chem. Int. Ed. 62 (2023) e202305123. doi: 10.1002/anie.202305123

    17. [17]

      M. Zhong, T. Hisatomi, Y. Sasaki, et al., Angew. Chem. Int. Ed. 56 (2017) 4739–4743. doi: 10.1002/anie.201700117

    18. [18]

      Y. He, J.E. Thorne, C.H. Wu et al., Chem 1 (2016) 640–655. doi: 10.1016/j.chempr.2016.09.006

    19. [19]

      S.C. Erwin, L. Zu, M.I. Haftel et al., Nature 436 (2005) 91–94. doi: 10.1038/nature03832

    20. [20]

      Y. Li, L. Zhang, A. Torres-Pardo et al., Nat. Commun. 4 (2013) 2566. doi: 10.1038/ncomms3566

    21. [21]

      Q. Rui, L. Wang, Y. Zhang et al., J. Mater. Chem. A 6 (2018) 7021–7026. doi: 10.1039/c8ta00556g

    22. [22]

      Y. Kado, C.Y. Lee, K. Lee et al., Chem. Commun. 48 (2012) 8685–8687. doi: 10.1039/c2cc33822j

    23. [23]

      S. Grigorescu, B. Bärhausen, L. Wang et al., Electrochem. Commun. 51 (2015) 85–88. doi: 10.1016/j.elecom.2014.12.019

    24. [24]

      L. Pei, Z. Xu, Z. Shi et al., J. Mater. Chem. A 5 (2017) 20439–20447. doi: 10.1039/C7TA06227C

    25. [25]

      L.I. Wagner, E. Sirotti, O. Brune et al., Adv. Funct. Mater. 34 (2023) 2306539.

    26. [26]

      Z. Lou, Y. Yang, Y. Wang et al., Chem. Eng. J. 396 (2020) 125161. doi: 10.1016/j.cej.2020.125161

    27. [27]

      J. Seo, T. Takata, M. Nakabayashi et al., J. Am. Chem. Soc. 137 (2015) 12780–12783. doi: 10.1021/jacs.5b08329

    28. [28]

      Y. Xiao, C. Feng, J. Fu et al., Y. Li, Nat. Catal. 3 (2020) 932–940. doi: 10.1038/s41929-020-00522-9

    29. [29]

      J. Wang, Y. Jiang, A. Ma et al., Appl. Catal. B: Environ. 244 (2019) 502–510. doi: 10.1016/j.apcatb.2018.11.076

    30. [30]

      X. Zhang, H. Guo, G. Dong et al., Appl. Catal. B: Environ. 277 (2020) 119217. doi: 10.1016/j.apcatb.2020.119217

    31. [31]

      C. Xia, Y. Li, H. Kim et al., Mater. 408 (2021) 124900. doi: 10.1016/j.jhazmat.2020.124900

    32. [32]

      W. Fu, X. Guan, Y. Si, M. Liu, Chem. Eng. J. 410 (2021) 128391. doi: 10.1016/j.cej.2020.128391

    33. [33]

      E. Nurlaela, Y. Sasaki, M. Nakabayashi et al., J. Mater. Chem. A 6 (2018) 15265–15273. doi: 10.1039/c8ta05300f

    34. [34]

      X. Feng, T.J. LaTempa, J.I. Basham et al., Nano Lett. 10 (2010) 948–952. doi: 10.1021/nl903886e

    35. [35]

      H. Wu, L. Zhang, A. Du et al., Nat. Commun. 13 (2022) 6231. doi: 10.3390/app12126231

    36. [36]

      J. Fu, F. Wang, Y. Xiao et al., ACS Catal. 10 (2020) 10316–10324. doi: 10.1021/acscatal.0c02648

    37. [37]

      A. Kawashima, T. Sato, N. Ohtsu, K. Asami, Mater. Trans. 45 (2004) 131–136. doi: 10.2320/matertrans.45.131

    38. [38]

      M. Rahmati, E.M. Zahrani, M. Atapour et al., Mater. Chem. Phys. 315 (2024) 128983. doi: 10.1016/j.matchemphys.2024.128983

    39. [39]

      C. Feng, B. Zhao, Y. Bi, J. Mater. Chem. A 10 (2022) 12811–12816. doi: 10.1039/d2ta02702j

    40. [40]

      J.H. Swisher, M.H. Read, Metall. Trans. 3 (1972) 493–498. doi: 10.1007/BF02642054

    41. [41]

      E. Watanabe, H. Ushiyama, K. Yamashita, ACS Appl. Mater. Inter. 9 (2017) 9559–9566. doi: 10.1021/acsami.6b12261

    42. [42]

      X. Zhang, J. Li, Y. Yang et al., Adv. Mater. 30 (2018) 1803551. doi: 10.1002/adma.201803551

    43. [43]

      J. Wang, M. Zhang, G. Yang et al., Adv. Funct. Mater. 31 (2021) 2101532. doi: 10.1002/adfm.202101532

    44. [44]

      X. Ding, J. Yu, W. Huang et al., Chem. Eng. J. 451 (2023) 138550. doi: 10.1016/j.cej.2022.138550

    45. [45]

      X. Hu, S. Zhang, J. Sun et al., Nano Energy 56 (2019) 109–117. doi: 10.1016/j.nanoen.2018.11.047

    46. [46]

      Z. Zhang, X. Huang, B. Zhang, Y. Bi, Energy Environ. Sci. 15 (2022) 2867–2873. doi: 10.1039/d2ee00936f

    47. [47]

      B. Zhang, S. Yu, Y. Dai et al., Nat. Commun. 12 (2021) 6969. doi: 10.1038/s41467-021-27299-0

  • Figure 1  Top-view SEM image of (A) Ta3N5 and (B) P:Ta3N5. The insets in (A, B) are cross-view SEM images. (C) XRD patterns and (D) UV–vis spectra of Ta3N5 and P:Ta3N5. There are some diffraction peaks of Ta2N phase (♣), TaN0.1 phase (♦), Ta4N phase (♥), and Ta phase (♠) in XRD patterns.

    Figure 2  XPS high-resolution spectra of (A) Ta 4f, (B) N 1s and (C) P 2p for Ta3N5 and P:Ta3N5.

    Figure 3  (A) LSV for H2O2 oxidation in 1 mol/L KOH (pH 13.6) and 0.2 mol/L H2O2 electrolyte, (B) Mott-Schottky plot, (C) charge separation efficiency and (D) charge injection efficiency of Ta3N5 and P:Ta3N5.

    Figure 4  XPS depth profile of (A) N 1s, (B) Ta 4f and (C) P 2p for P:Ta3N5. (D) VB-XPS for Ta3N5 and P:Ta3N5.

    Figure 5  The scheme of band structure and charge transfer for P:Ta3N5.

  • 加载中
计量
  • PDF下载量:  0
  • 文章访问数:  38
  • HTML全文浏览量:  6
文章相关
  • 发布日期:  2025-12-15
  • 收稿日期:  2025-02-05
  • 接受日期:  2025-06-11
  • 修回日期:  2025-06-09
  • 网络出版日期:  2025-06-16
通讯作者: 陈斌, bchen63@163.com
  • 1. 

    沈阳化工大学材料科学与工程学院 沈阳 110142

  1. 本站搜索
  2. 百度学术搜索
  3. 万方数据库搜索
  4. CNKI搜索

/

返回文章