Nd@g-C3N4 dual-functional photosynthesis and antitumor activities of 3-fluoroalkylated quinoxalin-2(1H)-ones

Qiong-Hui Peng Ning-Bo Li Jia-Cheng Hou Cai-Jun He Ya-Xin Yang Chun-Lin Zhuang Li-Juan Ou Mei Yuan Wei-Min He

Citation:  Qiong-Hui Peng, Ning-Bo Li, Jia-Cheng Hou, Cai-Jun He, Ya-Xin Yang, Chun-Lin Zhuang, Li-Juan Ou, Mei Yuan, Wei-Min He. Nd@g-C3N4 dual-functional photosynthesis and antitumor activities of 3-fluoroalkylated quinoxalin-2(1H)-ones[J]. Chinese Chemical Letters, 2025, 36(12): 111402. doi: 10.1016/j.cclet.2025.111402 shu

Nd@g-C3N4 dual-functional photosynthesis and antitumor activities of 3-fluoroalkylated quinoxalin-2(1H)-ones

English

  • Heterogeneous photocatalysis with recyclable semiconductor photocatalyst is identified as an ideal organic synthetic method [14], which utilizes visible-light to promote carbon-carbon/heteroatom bond formation under environmentally friendly and mild conditions [515]. However, sacrificial electron donor/acceptor reagents are widely applied for increasing the photogenerated carrier separation and migration efficiency by driving redox half reactions, resulting in rising environmental and economic cost as well as wasting the redox capacity of photogenerated carrier. The dual-functional photocatalysis composed of organic oxidation and reduction is considered as one of the most promising solutions to the limitation, because it can take full advantage of both photogenerated holes and electrons for producing value-added products [16,17].

    Visible-light photoredox-catalyzed chloride radical (Cl˙)-mediated reaction has contributed significantly to the synthesis of value-added compounds during the past decades [1821]. Although much progress has been made, most of these reactions rely on the usage of exogenous HCl/chloride salts as the Cl˙ source, which compromises the atom economy and increases the production cost. Fluoroalkyl sulfonyl chloride (RfSO2Cl) is a low cost and readily available fluoroalkylation reagent that has been widely used as the fluoroalkyl (Rf) radical source for the visible-light photoinduced fluoroalkylation reaction [22,23]. In 2015, Zhang and Liu developed the UV-light photocatalyzed Cl˙-mediated trifluoromethylation with CF3SO2Cl as both the CF3 radical and Cl˙ source via the homolysis of CF3SO2Cl under alkaline condition [24]. However, the use of harmful UV radiation (300 W Xe arclamp) restricts its practical application. The visible-light photo-oxidation of Cl anion into Cl˙ via single electron transfer (SET) is generally challenging, because the oxidation potential of Clˉ is much higher (Eox(Clˉ/Cl˙) = + 2.03 V vs. SCE in MeCN) [25] than the excited-state oxidation potentials of commonly used homogeneous photocatalysts [26]. To the best of our knowledge, visible-light photocatalyzed Cl˙-mediated fluoroalkylation reaction with RfSO2Cl as both the CF3 radical and Cl˙ source remain elusive. Recently, our group developed the Ce@g-C3N4 dual-functional photocatalysis of cooperative Cl˙-mediated alkylation of N–heteroarenes and hydrogen evolution with nBu4NCl as the Cl˙ source [27]. Inspired by this work, we anticipate that semiconductor dual-functional photocatalysis can enable Cl-mediated fluoroalkylation with RfSO2Cl as both the CF3˙ and Cl˙ source.

    Fluoroalkylated N-heterocycles are important N-heterocyclic derivatives encountered in numerous biologically active molecules, pharmaceuticals and organic materials [2834]. Recently, the visible-light induced fluoroalkylative heteroarylation of alkenes with various fluoroalkylation reagents has emerged as a powerful tool for the homogeneous synthesis of fluoroalkylated N-heterocycles [3542]. In 2023, Dolbier Jr reported the visible-light induced Ru(bpy)3Cl2·6H2O-photocatalyzed fluoroalkylative heteroarylation of alkenes and RfSO2Cl with K2HPO4 as the base additive (Scheme 1a) [43]. Despite this success, the use of non-recyclable ruthenium-based photocatalyst and stoichiometric amounts of base additive eroded their overall appeal.

    Scheme 1

    Scheme 1.  Photoredox-catalyzed fluoroalkylative heteroarylation of alkenes with RfSO2Cl.

    Sono-photocatalysis, which is characterized by the merits of combination of ultrasonic catalysis and photocatalysis, shows interesting advantages at the kinetic level and energy consumption [4446]. However, sono-photocatalysis enabled organic bond formation is extremely rare in the literature [47]. With our ongoing studies on photocatalysis [4856], herein, we wish to report the Nd@g-C3N4 dual-functional photocatalysis enabled fluoroalkylative heteroarylation of alkenes with RfSO2Cl under visible light (or sunlight) and ultrasound irradiation conditions (Scheme 1b). RfSO2Cl acted as both the fuoroalkyl radical and Cl radical source, thus avoiding the usage of exogenous HCl/chloride salts. A broad range of fuoroalkylated N-heteroarenes could be obtained in good to excellent yields under base additive-, chemical redox regent- and sacrificial reagent-free conditions.

    To explore the appropriate reaction conditions, 1-methylquinoxalin-2(1H)-one (1a), styrene (2a) and CF3SO2Cl (3a) were treated with the association of 7 W blue LED with Nd@g-C3N4 as the heterogeneous photocatalyst and 22 kHz/30 W US for 4 h in EtOH under nitrogen atmosphere at room temperature (Table 1). To our delight, the desired product 4aaa was generated in 96% GC yield (entry 1). In contrast, the intrinsic g-C3N4 produced 4aaa in 41% GC yield and the single Nd(NO3)3 showed no reactivity in this reaction while no better performance was observed with mixing the g-C3N4 and Nd(NO3)3 physically (entries 24). These results suggested that the catalytic activity of the composite photocatalyst were tremendously improved by dropping the Nd into intrinsic g-C3N4. Replacing Nd with K, Fe, Cu, Zn, Ag or Ce in the composite photocatalyst led to a lower yield (entries 5–10). Compared to Nd@g-C3N4, yields of 21%−42% were obtained with homogeneous noble metal photocatalysts [(fac-Ir(ppy)3 and Ru(bpy)3Cl6H2O] and organic photocatalysts (Rhodamine B and 4CzIPN) (entries 11 and 12). Varying the loading of Nd@g-C3N4 did not provide improved yield of 3aa (entries 13). The product 4aaa was obtained only in 19% yield without photocatalyst (entry 14). Conducting the reaction with purple LED gave 3aa in 79% yield, whereas green LED was ineffective (entry 15). Using sunlight instead of blue light led to the formation of 4aaa in 84% yield (entry 16). Carrying out this reaction with conventional stirring for 24 h delivered 4aaa in 85% yield (entry 17). No reaction occurred under the air atmosphere, suggesting that the presence of oxygen molecule suppressed this transformation (entry 18). Performing the template reaction in darkness gave no product (entry 19).

    Table 1

    Table 1.  Optimization of reaction conditions.a
    DownLoad: CSV
    Entry Deviation from the above conditions Yield (%)b
    1 None 96
    2 g-C3N4 was used 41
    3 Nd(NO3)3 was used N.R.
    4 Mixture of g-C3N4 and Nd(NO3)3 was used 43
    5 K@g-C3N4 was used 40
    6 Fe@g-C3N4 was used 49
    7 Cu@g-C3N4 was used 53
    8 Zn@g-C3N4 was used 37
    9 Ag@g-C3N4 was used 32
    10 Ce@g-C3N4 was used 80
    11 fac-Ir(ppy)3, Ru(bpy)3Cl6H2O was used 21, 28
    12 Rhodamine B, 4CzIPN was used 42, 35
    13 2.5 mg, 10 mg Nd@g-C3N was used 86, 93
    14 Without a photocatalyst 19
    15 Purple LED, green LED was used 79, N.R.
    16 Sunlight (30 h) was used 84
    17 Stirring (24 h) was used 85
    18 Air instead of N2 N.R.
    19 Without light N.R.
    a Conditions: 1a (0.2 mmol), 2a (0.3 mmol), 3a (0.3 mmol), catalyst (5 mg or 5 mol%), EtOH (2 mL), N 2, Blue LED (7 W), US (22 kHz/30 W), r.t., 4 h.
    b Estimated by GC using dodecane as an internal reference.

    Having established the optimum reaction conditions, we began to probe the generalizability of this reaction (Scheme 2). Firstly, quinoxalin-2(1H)-ones bearing a series of aliphatic groups at N-position such as methyl, ethyl, n-pentyl, cyclopropylmethyl, ester, cyano, benzyloxycarbonyl (Cbz), benzyl (Bn), p-methoxybenzyl (PMB) reacted efficiently in this system to furnish the target products 4aaa-4kaa in high yields and excellent regioselectivity. Notably, easily oxidizable allyl or propargyl group could survive in the reaction. To our delight, unprotected quinoxalin-2(1H)-one was also well tolerated under standard conditions, yielding the product 4laa in 86%. Next, electron-donating (OMe) or electron-withdrawing groups (F, Cl, Br, CF3 or NO2) at the phenyl part of the substrates 1 had no effect on the reaction efficiencies and the desired products 4maa-4saa were obtained in good yields. Di-substituted (Me or Cl) quinoxalin-2(1H)-ones underwent this transformation well to afford the corresponding products 4taa and 4uaa in 90% and 84%, respectively. Pleasingly, a range of N-heteroarenes, including 1-methylbenzo[g]quinoxalin-2(1H)-one, quinoxaline, 1-methyl-1,2-dihydroquinoxaline, quinazoline were suitable substrates and generated the desired products 4vaa-4yaa in moderate to good yields. However, using PhSO2Cl instead of CF3SO2Cl led to no reaction.

    Scheme 2

    Scheme 2.  Substrate scope. Conditions: 1 (0.2 mmol), 2 (0.3 mmol), 3a (0.3 mmol), Nd@g-C3N4 (5 mg), EtOH (2 mL), N2, Blue LED (7 W), US (22 kHz/30 W), r.t.

    Next, the substrate scope with respect to alkenes (2) was examined (Scheme 3). The methyl group at C2 or C3-position of styrenes could participate well in this reaction to provide the desired products 4aba and 4aca in 85% and 81% isolated yields, respectively. Styrenes modified with electron-neutral (pH), electron-donating (Me or tBu) or electron-withdrawing groups (F, Cl, Br, CF3, Ac or CN) were well-compatible in the present transformation, affording the target compounds 4ada-4ala in good yields. These results indicated that neither steric hindrance nor electronic effect of styrenes significantly influence the reaction efficiency. Moreover, 2-vinylnaphthalene also proceeded smoothly to give the product 4ama in 88% yield. Subsequently, various aliphatic alkenes were explored. It was gratifying to find that a variety of alkenes, including acyclic terminal ones (3-methylbutene, allylbenzene, ethyl acrylate and 2-phenylpropylene), acyclic internal ones (1-phenylpropylene and ethyl cinnamate) and cyclic ones (cyclohexene and norbornene) could deliver the corresponding products 4ana-4ara in high yields. Gratifyingly, the reaction with phenylethyne gave product 4ava in good yield. To further investigate the reaction scope, various fluoroalkylation reagents were investigated. Both CHF2SO2Cl and perfluoroalkylsulfonyl chlorides (C4F9SO2Cl and C6F13SO2Cl) were readily converted into their corresponding products 4aab-4aad in good yields.

    Scheme 3

    Scheme 3.  Substrate scope. Conditions: 1a (0.2 mmol), 2 (0.3 mmol), 3 (0.3 mmol), Nd@g-C3N4 (5 mg), EtOH (2 mL), N2, Blue LED (7 W), US (22 kHz/30 W), r.t.

    To demonstrate the synthetic utility of the present reaction, both the gram-scale synthesis and photocatalyst cycling experiments were performed. As shown in Scheme 4, carrying out the scaled-up template reaction (5 mmol) gave 4aaa in 83% yield (1.37 g). To our delight, reducing almost quarter of the loading of Nd@g-C3N4 also led to a good yield of 4aaa (Scheme 4). Afterwards, photocatalyst recycling experiments were conducted in five consecutive reaction-separation processes in which Nd@g-C3N4 could be easily recovered from and reused for next use only via centrifugation without an obvious loss of catalytic activity (Fig. 1a). The nearly indistinguishable X-ray diffraction suggested that the basic structure of the recovered photocatalysts remained unchanged before and after experiments (Fig. 1b).

    Scheme 4

    Scheme 4.  Large-scale synthesis of 4aaa.

    Figure 1

    Figure 1.  (a) The reusability of Nd@g-C3N4. (b) XRD patterns of fresh Nd@g-C3N4 and recycled Nd@g-C3N4.

    To elucidate reaction mechanism of the dual-functional photocatalytic reaction, a series of mechanistic studies were conducted. First, this photochemical reaction was markedly inhibited in the presence of radical scavenger (TEMPO and 1,1-diphenylethylene), and TEMPO—CF3 adduct 5aa, diphenylethene-CF3 5ab and diphenylethene-Cl 5ac adduct were detected by GC–MS (Schemes 5a and b), demonstrating that both the CF3 radical and Cl radical intermediates might be involved in the catalytic cycle. With photogenerated hole scavenger Na2S or photogenerated electron scavenger CCl4 as the additive, the heterogeneous bond formation was entirely suppressed, indicating that both h+ and e- were necessary for this photocatalytic process (Schemes 5c and d). The addition of SET inhibitor CuCl2 to the reaction mixture did not result in any reaction, suggesting a SET process was involved in this transformation (Scheme 5e). The turn-on/off blue-light experimental results suggested that the continuous light irradiation is indispensable for the reaction to proceed.

    Scheme 5

    Scheme 5.  Control experiments.

    A plausible reaction mechanism was proposed based on the above-mentioned experimental results and relevant reports (Scheme 6) [10,24,40]. First, the irradiation of Nd@g-C3N4 by blue LED generates eˉ in the conduction band (CB) and h+ in the valence band (VB). The special shell structure of Nd3+ with unfilled 4f electron orbitals can trap eˉ to form the reduction state Nd2+, which then reduces RfSO2Cl into Rf radical via a heterogeneous SET along with the extrusion of Clˉ and SO2. Subsequently, the Rf radical can be trapped by the anti-Markovnikov addition of alkene 2 to produce the alkyl radical IM1, which attacked the C=N bond of quinoxalin-2(1H)-one 1 to yield the N-center radical IM2, followed by a 1,2-H shift process to provide the C-center radical IM3. A heterogeneous SET process from the dissociative Clˉ to h+ give the Cl˙, which then abstracts a hydrogen atom from IM3 to deliver the target product 4.

    Scheme 6

    Scheme 6.  Proposed reaction mechanism.

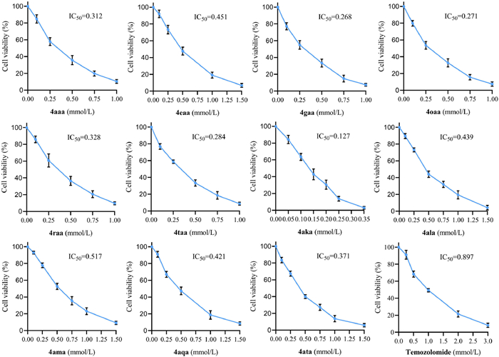
    The emergence of tumor resistance to conventional chemotherapeutic agents poses an important challenge in clinical oncology, creating an urgent need for novel compounds with antitumor activity. The antitumor potential of synthesized fluoroalkylated N-heterocycles against Glioma 261 cells was evaluated by CCK8 assay (Fig. 2). Notably, compound 4aka demonstrated remarkable efficacy, exhibiting approximately sevenfold greater potency than temozolomide, a widely used chemotherapeutic agent. To our knowledge, this represents the first report of antitumor activity in this class of fluoroalkylated N-heterocyclic compounds. These findings suggest that 4aka warrants further investigation as a promising candidate for anticancer drug development, and our established protocol may facilitate the discovery of novel therapeutic agent

    Figure 2

    Figure 2.  Antitumor activities.

    In conclusion, we for the first time demonstrated the Nd@g-C3N4 dual-functional photocatalysis enabled fluoroalkylative heteroarylation of alkenes with RfSO2Cl under visible-light and ultrasound irradiation conditions. The photogenerated electron-driven reduction of RfSO2Cl into fluoroalkyl radical paired with photogenerated hole-driven oxidation chloride anion into chloride radical led to the full utilization of photogenerated carriers for bond formation. The dropping Nd into intrinsic g-C3N4 largely improved the photocatalytic performance of Nd@g-C3N4. A broad range of N-heteroarene, alkenes and RfSO2Cl were well compatible for this reaction to access valuable fluoroalkylated N-heteroarenes with diverse structural features. RfSO2Cl served as both the Rf radical and Cl radical source, thus simplifying this reaction system. The Nd@g-C3N4 was also validated in both gram-scale synthesis, sunlight-induced photocatalysis and catalyst cycling experiment. Importantly, this strategy does not require any exogenous Cl anion reagents, chemical redox reagents or sacrificial reagents, which can proceed efficiently under sustainable and mild reaction conditions. We anticipate that this report will provide an efficient and green synthetic protocol for fluoroalkylated N-heteroarenes but also develop the photoinduced Cl radical-mediated reaction and the dual-functional photocatalysis.

    The authors declare that they have no known competing financial interests or personal relationships that could have appeared to influence the work reported in this paper.

    Qiong-Hui Peng: Investigation. Ning-Bo Li: Investigation. Jia-Cheng Hou: Investigation. Cai-Jun He: Investigation. Ya-Xin Yang: Investigation. Chun-Lin Zhuang: Formal analysis. Li-Juan Ou: Writing – original draft. Mei Yuan: Writing – review & editing, Funding acquisition, Conceptualization. Wei-Min He: Writing – review & editing, Supervision, Conceptualization.

    We are grateful for financial support from Natural Science Foundation of Hunan Province (No. 2025JJ50615), the Science and Technology Innovation Program of Hunan Province (No. 2022RC4044), Hunan Provincial Health-Level Talent Scientific Research Project (No. R2023150), Clinical Research Center for Prevention and Treatment of Cognitive Impairment in Hunan Province (No. 2023SK4050) and University of South China Clinical Research 4310 Program (No. 20224310NHYCG08).

    Supplementary material associated with this article can be found, in the online version, at doi:10.1016/j.cclet.2025.111402.


    1. [1]

      A. Savateev, M. Antonietti, ACS Catal. 8 (2018) 9790–9808. doi: 10.1021/acscatal.8b02595

    2. [2]

      S.K. Verma, R. Verma, Y.R. Girish, et al., Green Chem. 24 (2022) 438–479. doi: 10.1039/D1GC03490A

    3. [3]

      Y. Liu, R. Li, Q. Lv, B. Yu, Chem. Commun. 60 (2024) 8645–8657. doi: 10.1039/D4CC02516D

    4. [4]

      J.C. Hou, W. Cai, H.T. Ji, L.J. Ou, W.M. He, Chin. Chem. Lett. 36 (2025) 110469. doi: 10.1016/j.cclet.2024.110469

    5. [5]

      L. Dai, G. Zhong, Chin. J. Org. Chem. 43 (2023) 2589–2590. doi: 10.6023/cjoc202300042

    6. [6]

      Y. Zhao, X. Jiang, Chin. J. Org. Chem. 43 (2023) 786–788. doi: 10.6023/cjoc202300009

    7. [7]

      J.C. Hou, H.T. Ji, Y.H. Lu, et al., Chin. Chem. Lett. 35 (2024) 109514. doi: 10.1016/j.cclet.2024.109514

    8. [8]

      X.Y. Yuan, Z.X. Lu, X. Huang, et al., Org. Lett. 26 (2024) 10570–10575. doi: 10.1021/acs.orglett.4c03942

    9. [9]

      Z. Zhang, F. Cheng, X. Ma, et al., Green Chem. 26 (2024) 7331–7336. doi: 10.1039/D4GC00534A

    10. [10]

      Q.H. Liu, S.L. Kang, Z.S. Cui, et al., Green Chem. 26 (2024) 4803–4810. doi: 10.1039/D4GC00502C

    11. [11]

      K. Liu, X. Long, Y. Huang, S. Zhu, Acta Chim. Sinica 82 (2024) 658–676. doi: 10.6023/A24030090

    12. [12]

      H.C. Li, M. Zhang, Q. Lv, et al., Chin. Chem. Lett. 36 (2025) 110579. doi: 10.1016/j.cclet.2024.110579

    13. [13]

      C. Wu, S. Wu, Q. Huang, et al., Chin. Chem. Lett. 36 (2025) 110250. doi: 10.1016/j.cclet.2024.110250

    14. [14]

      X. He, F. Liu, T. Tu, Chin. Chem. Lett. 36 (2025) 110621. doi: 10.1016/j.cclet.2024.110621

    15. [15]

      P. Xiang, K. Sun, A. Shi, et al., Green Chem. 27 (2025) 1820–1827. doi: 10.1039/D4GC06330A

    16. [16]

      S. Kampouri, K.C. Stylianou, ACS Catal. 9 (2019) 4247–4270. doi: 10.1021/acscatal.9b00332

    17. [17]

      W. Shang, Y. Li, H. Huang, et al., ACS Catal. 11 (2021) 4613–4632. doi: 10.1021/acscatal.0c04815

    18. [18]

      X.Y. Yuan, C.C. Wang, B. Yu, Chin. Chem. Lett. 35 (2024) 109517. doi: 10.1016/j.cclet.2024.109517

    19. [19]

      S. Bonciolini, T. Noël, L. Capaldo, Eur. J. Org. Chem. 2022 (2022) e202200417.

    20. [20]

      Y. Itabashi, H. Asahara, K. Ohkubo, Chem. Commun. 59 (2023) 7506–7517. doi: 10.1039/D3CC01057K

    21. [21]

      M. Sadeghi, Adv. Synth. Catal. 366 (2024) 2898–2918. doi: 10.1002/adsc.202400442

    22. [22]

      H. Xiao, Z. Zhang, Y. Fang, L. Zhu, C. Li, Chem. Soc. Rev. 50 (2021) 6308–6319. doi: 10.1039/D1CS00200G

    23. [23]

      R. Shaw, N. Sihag, H. Bhartiya, M.R. Yadav, Org. Chem. Front. 11 (2024) 954–1014. doi: 10.1039/D3QO01603J

    24. [24]

      X. Tang, S. Song, C. Liu, R. Zhu, B. Zhang, RSC Adv. 5 (2015) 76363–76367. doi: 10.1039/C5RA16645D

    25. [25]

      A.A. Isse, C.Y. Lin, M.L. Coote, A. Gennaro, J. Phys. Chem. B 115 (2011) 678–684.

    26. [26]

      B.J. Shields, A.G. Doyle, J. Am. Chem. Soc. 138 (2016) 12719–12722. doi: 10.1021/jacs.6b08397

    27. [27]

      H.T. Ji, Y.Q. Tang, Y.H. Wang, et al., Org. Lett. 26 (2024) 9822–9827. doi: 10.1021/acs.orglett.4c03538

    28. [28]

      B.M. Johnson, Y.Z. Shu, X. Zhuo, N.A. Meanwell, J. Med. Chem. 63 (2020) 6315–6386. doi: 10.1021/acs.jmedchem.9b01877

    29. [29]

      S. Ali, J. Zhou, Eur. J. Med. Chem. 256 (2023) 115476. doi: 10.1016/j.ejmech.2023.115476

    30. [30]

      L. Zhang, K. Zheng, P. Zhang, et al., Green Synth. Catal. 5 (2024) 51–56.

    31. [31]

      T. He, C. Liang, S. Huang, Chem. Sci. 14 (2023) 143–148. doi: 10.1039/D2SC05198B

    32. [32]

      C. Ge, L. Qiao, Y. Zhang, et al., Chin. J. Chem. 42 (2024) 1679–1685. doi: 10.1002/cjoc.202400089

    33. [33]

      X.M. Chen, L. Song, J. Pan, et al., Chin. Chem. Lett. 35 (2024) 110112. doi: 10.1016/j.cclet.2024.110112

    34. [34]

      Q. Feng, J. Hao, Y. Hu, et al., Chin. Chem. Lett. 36 (2025) 110582. doi: 10.1016/j.cclet.2024.110582

    35. [35]

      D. Zheng, A. Studer, Org. Lett. 21 (2019) 325–329. doi: 10.1021/acs.orglett.8b03849

    36. [36]

      N. Meng, L. Wang, Q. Liu, et al., J. Org. Chem. 85 (2020) 6888–6896. doi: 10.1021/acs.joc.9b03505

    37. [37]

      Z. Shao, S. Zhang, Y. Chen, et al., Tetrahedron 76 (2020) 131199. doi: 10.1016/j.tet.2020.131199

    38. [38]

      X. Yang, W.D. Meng, X.H. Xu, Y. Huang, Org. Chem. Front. 8 (2021) 6597–6602. doi: 10.1039/D1QO01170G

    39. [39]

      H. Wang, S. Li, Y. Cui, et al., New. J. Chem. 46 (2022) 20412–20418. doi: 10.1039/D2NJ04430G

    40. [40]

      N. Zhou, R. Liu, C. Zhang, et al., Org. Lett. 24 (2022) 3576–3581. doi: 10.1021/acs.orglett.2c01358

    41. [41]

      L. Shen, J.W. Yuan, B. Zhang, et al., Z. Naturforsch. B 78 (2023) 245–260. doi: 10.1515/znb-2022-0126

    42. [42]

      W. Wang, T. Zhu, J. Wu, Org. Chem. Front. 10 (2023) 5375–5382. doi: 10.1039/D3QO01247F

    43. [43]

      X. Li, W.R. Dolbier Jr, Chem. Eur. J. 29 (2023) e202301814. doi: 10.1002/chem.202301814

    44. [44]

      C.G. Joseph, G. Li Puma, A. Bono, D. Krishnaiah, Ultrason. Sonochem. 16 (2009) 583–589. doi: 10.1016/j.ultsonch.2009.02.002

    45. [45]

      M.A. Ahmed, A.A. Mohamed, iScience 27 (2024) 108583. doi: 10.1016/j.isci.2023.108583

    46. [46]

      D. Paustian, M. Franke, M. Stelter, P. Braeutigam, Catalysts 12 (2022) 754. doi: 10.3390/catal12070754

    47. [47]

      W.T. Ouyang, J. Jiang, Y.F. Jiang, et al., Chin. Chem. Lett. 35 (2024) 110038. doi: 10.1016/j.cclet.2024.110038

    48. [48]

      W.B. He, S.J. Zhao, J.Y. Chen, et al., Chin. Chem. Lett. 34 (2023) 107640. doi: 10.1016/j.cclet.2022.06.063

    49. [49]

      J. Jiang, K.L. Wang, X. Li, et al., Chin. Chem. Lett. 34 (2023) 108699. doi: 10.1016/j.cclet.2023.108699

    50. [50]

      Y.H. Lu, Z.T. Zhang, H.Y. Wu, et al., Chin. Chem. Lett. 34 (2023) 108036. doi: 10.1016/j.cclet.2022.108036

    51. [51]

      H.T. Ji, Q.H. Peng, J.S. Wang, et al., Green Chem. 26 (2024) 12084–12089. doi: 10.1039/D4GC04391J

    52. [52]

      C. Xin, J. Jiang, Z.W. Deng, L.J. Ou, W.M. He, Acta Chim. Sin. 82 (2024) 1109–1113. doi: 10.6023/A24100329

    53. [53]

      H. Ma, F. Zhou, Y. Li, et al., Adv. Synth. Catal. 366 (2024) 4639–4643. doi: 10.1002/adsc.202400493

    54. [54]

      Y.D. Xu, Y.M. Xing, H.T. Ji, et al., J. Org. Chem. 89 (2024) 17701–17707. doi: 10.1021/acs.joc.4c02445

    55. [55]

      K.L. Wang, H.T. Ji, Q.H. Peng, et al., Green. Synth. Catal. 6 (2025) 106–109.

    56. [56]

      J.C. Hou, J. Jiang, H. Dai, et al., Sci. China Chem. 68 (2025) 1945–1951. doi: 10.1007/s11426-024-2496-5

  • Scheme 1  Photoredox-catalyzed fluoroalkylative heteroarylation of alkenes with RfSO2Cl.

    Scheme 2  Substrate scope. Conditions: 1 (0.2 mmol), 2 (0.3 mmol), 3a (0.3 mmol), Nd@g-C3N4 (5 mg), EtOH (2 mL), N2, Blue LED (7 W), US (22 kHz/30 W), r.t.

    Scheme 3  Substrate scope. Conditions: 1a (0.2 mmol), 2 (0.3 mmol), 3 (0.3 mmol), Nd@g-C3N4 (5 mg), EtOH (2 mL), N2, Blue LED (7 W), US (22 kHz/30 W), r.t.

    Scheme 4  Large-scale synthesis of 4aaa.

    Figure 1  (a) The reusability of Nd@g-C3N4. (b) XRD patterns of fresh Nd@g-C3N4 and recycled Nd@g-C3N4.

    Scheme 5  Control experiments.

    Scheme 6  Proposed reaction mechanism.

    Figure 2  Antitumor activities.

    Table 1.  Optimization of reaction conditions.a

    Entry Deviation from the above conditions Yield (%)b
    1 None 96
    2 g-C3N4 was used 41
    3 Nd(NO3)3 was used N.R.
    4 Mixture of g-C3N4 and Nd(NO3)3 was used 43
    5 K@g-C3N4 was used 40
    6 Fe@g-C3N4 was used 49
    7 Cu@g-C3N4 was used 53
    8 Zn@g-C3N4 was used 37
    9 Ag@g-C3N4 was used 32
    10 Ce@g-C3N4 was used 80
    11 fac-Ir(ppy)3, Ru(bpy)3Cl6H2O was used 21, 28
    12 Rhodamine B, 4CzIPN was used 42, 35
    13 2.5 mg, 10 mg Nd@g-C3N was used 86, 93
    14 Without a photocatalyst 19
    15 Purple LED, green LED was used 79, N.R.
    16 Sunlight (30 h) was used 84
    17 Stirring (24 h) was used 85
    18 Air instead of N2 N.R.
    19 Without light N.R.
    a Conditions: 1a (0.2 mmol), 2a (0.3 mmol), 3a (0.3 mmol), catalyst (5 mg or 5 mol%), EtOH (2 mL), N 2, Blue LED (7 W), US (22 kHz/30 W), r.t., 4 h.
    b Estimated by GC using dodecane as an internal reference.
    下载: 导出CSV
  • 加载中
计量
  • PDF下载量:  0
  • 文章访问数:  721
  • HTML全文浏览量:  29
文章相关
  • 发布日期:  2025-12-15
  • 收稿日期:  2025-04-22
  • 接受日期:  2025-05-30
  • 修回日期:  2025-05-29
  • 网络出版日期:  2025-05-31
通讯作者: 陈斌, bchen63@163.com
  • 1. 

    沈阳化工大学材料科学与工程学院 沈阳 110142

  1. 本站搜索
  2. 百度学术搜索
  3. 万方数据库搜索
  4. CNKI搜索

/

返回文章