Recent advances on deoximation: From stoichiometric reaction to catalytic reaction
English
Recent advances on deoximation: From stoichiometric reaction to catalytic reaction
-
Key words:
- Deoximation
- / Oxidation
- / Green chemistry
- / Oxime
- / Carbonyl
- / Selective reaction
-
1. Introduction
Oximes can be easily synthesized from carbonyl compounds in high yield. They are also very stable chemicals with changeless melting points. Hence, the oximation-deoximation strategies are widely used for protection-deprotection and characterization of carbonyl compounds in synthetic organic chemistry. For example, this strategy has been successfully used by Corey in the total synthesis of erythronolide A in 1970s [1]. Besides, because many oximes can be synthesized from non-carbonyl compounds, the deoximation reactions can be applied to synthesize carbonyl compounds, and the production of carvone from limonene is a typical example (Scheme 1) [2-5]. Therefore, this transformation attracts broad attentions and has been reported by many references, which were once summarized by Mo, Ding et al. in 2012 in a nice review [6]. After then, more novel deoximation methods were developed, including our findings on organoselenium-catalyzed oxidative deoximation [7-9]. Presently, the deoximation reactions can be achieved by using deoximation reagents, but in line with calls for environmental protection, the catalytic methods are more practical and this field is in rapid progress. Developing non-metal, high turnover number (TON) and efficient deoximation catalysts fit for comprehensive substrates are still tremendous challenges in the field. This short review aims to summarize the recent advances of deoximation reactions and the contents are classified by the used reagent/catalyst. We hope that it may help readers to grasp the development trend of the field and understand mechanisms of some important reactions in depth.
Scheme 1
2. Deoximation reactions with stoichiometric/excess reagent
In 2012, Lin et al. reported a nice deoximation method by using SnCl2/TiCl3 as the deoximation reagents (reaction 1) [10]. The reactions were performed in the mixture of H2O and THF solvent at room temperature and could convert oximes (1) into carbonyl compounds (2) in excellent yields (82%–99%). The method had very wide substrate scope and was applicable for both aldoximes and ketoximes. Notably, the ketoxime substrates with high steric hindrances, such as cyclohexanone oxime and (E)-5-methoxy-3, 4-dihydronaphthalen-1(2H)-one oxime, were smoothly converted into the related ketones by using this reaction. It was also tolerant to heterocycles, and the reaction of (E)-1-(benzofuran-2-yl)ethan-1-one oxime produced (E)-1-(benzofuran-2-yl)ethan-1-one in 83% yield after 9 h of reaction. Protonic hydrogen-contained substituents, such as the phenol hydroxyl in 1-(4-hydroxyphenyl)ethan-1-one oxime, was untouched in the reaction, which produced the related product 1-(4-hydroxyphenyl)ethan-1-one in 94% yield. Moreover, the method was applicable for α, β-unsaturated ketoximes. For example, the reaction of 1-(cyclohex-1-en-1-yl)ethan-1-one oxime led to 1-(cyclohex-1-en-1-yl)ethan-1-one in 92% yield. However, although the reaction is an efficient tool for deoximation from the synthetic organic chemistry viewpoint, it is unfavorable for large scale preparation because the use of excess SnCl2 and TiCl3, which are metal salts and can lead to a lot of solid wastes and are sensitive to moistures. They are also irritating reagent and TiCl3 is a somewhat expensive reagent.
Ding et al. developed a metal-free deoximation approach in 2014 (reaction 2) [11]. In the reaction, Si2Cl6 was used as the deoximation reagent and SiO2 was a necessary additive to increase the reaction rate and product yield. It is a two-step process: The aromatic oxime 1 first reacted with Si2Cl6 in the presence of SiO2 in toluene at reflux temperature. After quenching with water, the produced ketones or aldehydes 2 could be isolated in 30%–99% yield. Though limited in aromatic oxime, the reaction was still considered to be tolerant to functional groups and substrates with electron-withdrawing groups such as F and Cl and electrondonating groups such as OH, OMe, NMe2, and Me were all favorable for the reaction. However, the use of excess chloride reagent (1 mL of Si2Cl6 for 2.5 mmol of oxime), large amount of SiO2 (2.5 g of SiO2 for 2.5 mmol of oxime) and aromatic solvent were unfriendly to environments and limited the application of this protocol in largescale production.
Coşkun et al. developed the Ce(SO4)2-promoted deoximation method in 2015 [12]. The reactions of oximes 1 with 300 mol% Ce (SO4)2 were performed in chloroform at room temperature to produce the related ketones or aldehydes 2 in 41%–97% yield (reaction 3). The reaction rate was very high and for most of the substrates, they were completely converted within 15 min to 2 h. The reaction of substrate bearing strong electron withdrawing group such as p-nitrobenzaldoxime was dramatically slowed down and the reaction time was extended to 23 h. Both aromatic and aliphatic oximes were fit for the reaction. Unfortunately, the use of excess transition metal salt and chloro-contained solvent may cause environment pollution problems that prohibit the application of this protocol in industrial-level production.
3. Transition metal-catalyzed deoximation reactions
Although many deoximation reactions with stoichiometric/excess reagents provided efficient methods with very broad substrate scopes, they were not fit for large-scale production because of the environment-unfriendly features such as the generation of a lot of solid wastes and the use of irritating reagents. Therefore, people began to pay attention to the catalytic deoximation reactions and transition metal catalysts were used for their high activity.
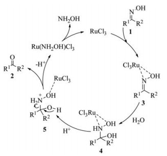
The RuCl3-catalyzed deoximation reaction was reported in 2015 (reaction 4) [13]. In the reaction, 5–10 mol% of RuCl3 (vs. oxime substrate) was used and 60 mol% of p-toluenesulfonic acid (PTSA) was employed as additive. After heating oximes 1 in the mixture of dimethylacetamide (DMA) and water (volume ratio = 20:1) at 120 ℃ for 8 h under N2 protection, the related ketones or aldehydes 2 were produced in 61%–95% yield. The additive PTSA could accelerate the reaction to endow a full conversion of the substrate, but indeed, the product yield was still high without this additive: For example, the RuCl3-catalyzed deoximation reaction of cyclohexanone oxime in the absence of PTSA led to cyclohexanone in 90% yield, while 10% of the oxime substrate was unconverted. Notably, this method was particularly efficient for cyclic ketoximes, even for the ones that contained very complex bridged-rings such as (1S, 4S, E)-1, 7, 7-trimethylbicyclo[2.2.1]heptan-2-one oxime and (1R, 3R, 5R, 7S)-adamantan-2-one oxime, and the corresponding cyclic ketones could be produced in good to excellent yields (83%–95%). Aldoximes could also lead to the aldehyde products in 71%– 83% yields by using this RuCl3-catalyzed, PTSA assisted deoximation method.
The reaction proceeded via a non-oxidative mechanism (Scheme 2). In the process, RuCl3 was a Lewis acid catalyst and first coordinatewith theNandO atomsof the substrate 1 togenerate the complex 3, which then underwent a hydrogenation reaction to generate the intermediate 4. Further protonation of the NH in 4 led to 5. This intermediate could rearranged into the final product 2 and released a proton and the Ru(NH2OH)Cl3 complex, which regenerated the RuCl3 catalyst and led to NH2OH. The generated NH2OH was supposed to decompose into N2 and H2 ultimately [13].
Scheme 2
Mixed (Fe2+ and Cu2+) double metal hexacyanocobaltates, such as FeCu2[Co(CN)6]2, was found to be a nice heterogeneous and recoverable catalyst for the aerobic oxidation of oximes to the related ketones (reaction 5) [14]. The reaction was performed in aqueous EtOH(50% volumeconcentration)at 100 ℃ under5 bar O2 atmosphere and the ketoxime substrates were almost quantitatively converted into ketones, but unfortunately, only a few examples such as the reactions of cyclohexanone oxime and (Z)-1-phenylethan-1-one oxime were tested so that the substrate scope of this protocol remained unknown. The mechanism of the reaction was supposed to be based on the cooperation of the Lewis acidity of iron with the ability of copper to interact with oxygen. Because metal hexacyanocobaltatesare stable andversatile, thiswork starts thewayfor the general use of these affordable and accessible solids as heterogeneous catalysts in deoximations reactions.
4. Nonmetal-catalyzed deoximation reactions
Catalyzing the reactions free of transition metals is a profound subject from the sustainable chemistry viewpoint. In the field of deoximation reactions, people also paid much attention in nonmetal-catalyzed methods. In 2011, Ding, Mo et al. reported that the deoximation reaction could be catalyzed by NaNO2 in CH2Cl2/H2O (volume ratio = 5:1) under O2 atmosphere at room temperature in the presence of Amberlyst-15 (100 mg vs. 1 mmol oxime substrate), an ion exchange resin co-catalyst [15]. The reactions finished within 0.5–15 h and produced the related ketones or aldehydes 2 in 38%–96% yield (reaction 6). The use of Amberlyst-15 co-catalyst was crucial, otherwise the product yield decreased to 10%. The ion exchange resin could be recycled and reused for at least 6 times without deactivation.
Mechanisms of this interesting reaction were illustrated in Scheme 3 [15]. The reaction of pre-catalyst NaNO2 with the ion exchange resin Amberlyst-15 first led to HNO2, which was unstable and decomposed into NO. NO was the real catalytic species for the reaction and it was oxidized by O2 to NO2, which could react with oxime 1 to generate the intermediate 6. Rearrangement of 6 led to 7 and it could react with another molecule of NO2 to produce 8. The hydration reaction of 8 led to the deoximation product 2 and HNO2, HNO3 and NH2OH as the by-products. These nitrogen-contained by-products could be converted into the active nitroxide species. For example, both of the reaction of HNO3 with NH2OH and the decomposition reaction of HNO2 could generate NO [15].
Scheme 3
Recently, the same group found that Fe(NO3)3·9H2O could be employed as pre-catalyst for the aerobic oxidative deoximation reactions, which were performed in toluene solvent and at 37 ℃ [16]. The reactions finished within 1.5 h and could produce the related ketones or aldehydes 2 in 80%–97% yield (reaction 7). The reaction was actually catalyzed by NO2, which was a decomposition product from Fe(NO3)3·9H2O. Notably, the reaction did not require Amberlyst-15 as an acidic ion exchange resin co-catalyst because the decomposition of Fe(NO3)3·9H2O could directly lead to the catalytic species NO2 and Fe2O3 as the by-product [16].
Wang, Zhou et al. designed and prepared sulfonic group tethered mesoporous ionic copolymer poly(DVB-VMPS) [17]. It was a kind of mesoporous poly(ionic liquid) synthesized via the free radical copolymerization of sulfonic ionic liquid (IL) monomer (1-vinyl-3-propane sulfonate imidazolium) and divinylbenzene (DVB). The material was employed as an efficient polycation for pairing heteropolyacid (HPA) to fabricate HPA-based solid acid via solidification process and the obtained 12-tungstophosphoric acid (H3PW) derived hybrid poly(DVB-VMPS)PW was a good catalyst for deoximation reaction. In the process, 0.1 g of the catalyst was employed for 1 mmol of substrate 1 and acetone/H2O (volume ratio 1:1) was used as the solvent. Heating oxime 1 with the catalyst in acetone/H2O at 70 ℃ for 5 h, the related ketones 2 could be obtained in very high yield (reaction 8) [17].
Enzyme-catalyzed oxidative deoximation reactions were also reported. For example, catalyzed by laccase, the collismycin precursors including oxime derivatives 9, were successfully oxidized by air to produce the related carboxylic acids 10 (reaction 9) [18]. This room temperature reaction required 15 mol% of 2, 2, 6, 6-tetramethylpiperidin-1-oxyl (TEMPO) as additive and were performed in H2O/MeCN solvent (volume ratio = 10:1). It could be applied on a series of oxime substrates bearing aryl, alkyl or heterocycle to produce the related ketones or carboxylic acids under mild conditions [18].
5. Organoselenium-catalyzed deoximation reactions
Selenium is an element behaving both metal and nonmetal features. Therefore, it is classified as a metalloid and we wish to discuss the Se-catalyzed deoximation reactions as an independent section in this article. Organoselenium compounds have attracted much attention for quite a long time owing to their distinctive chemical-and bio-activities [19-26]. Organoselenium catalysis is a unique subject just unfolding in recent years. It can provide more opportunities to achieve many fantasy reactions that are difficult to occur, so that a series of useful and complex organic skeletons can be constructed directly [27-33]. In our cases, we aim to develop the green synthetic methods [34-36], including the organoselenium-catalyzed green reactions [37-45].
During our investigations on organoselenium-catalyzed dehydration reactions of aldoximes to synthesize organonitriles [38, 42, 44], we observed that, aldehydes, the unwanted deoximation by-products, were often generated. The condition optimization reactions demonstrated that using electron-enriched and low steric hindrance Se catalysts facilitated the deoximation reactions. Further screenings demonstrated that by using 2.5 mol% of (PhCH2Se)2 catalyst, 30–45 mol% of H2O2 oxidant and performed at 60 ℃ in open air in MeCN (for ketoxime) or petroleum ether (PE, for aldoxime) solvent, oxidative deoximation occurred as the major reaction to produce ketones or aldehydes 2 (reaction 10) [7].
The role of Se catalysts in reaction mechanisms determined the selectivities of aldoxime dehydration reaction and deoximation reaction. In aldoxime dehydration reactions, RSeOSeR was initially generated via the oxidation of (RSe)2 or the reduction of RSe(O)OH and it was an active species containing the positive Se centre that could be attacked by the nucleophilic —OH of aldoximes 1 to generate the intermediate 11. Decomposition of 11 led to organonitriles 12 and regenerated the catalytic Se species (Scheme 4) [38, 42, 44].
Scheme 4
Contrastively, in oxidative deoximation reactions, RSe(O)OH was the active catalytic Se species and its nucleophilic attack to the positive centre of oximes 1 led to the adduct 13, which decomposed to carbonyl products 2 and regenerated the catalyst via 14 (Scheme 5) [7].
Scheme 5
Different reaction mechanisms preferred different Se catalysts, substrates and reaction conditions: In aldoxime dehydration reactions, because Se catalysts acted as a positive centre to be attacked by the nucleophilic aldoxime substrates, introducing electron-withdrawing groups, such as F, into Se catalysts and using electron-enriched aldoximes, such as anisic aldehyde oxime, were preferable; For oxidative deoximation reactions, because RSe(O) OH was a nucleophile to attack the positive centre of oximes, using electron-enriched and low steric hindrance Se catalysts, such as (PhCH2Se)2, adding oxidants such as H2O2 and employing electron deficient oximes, facilitated the conversion. These hypothesis were in good accordance with the experimental results [7, 38, 42, 44].
Because H2O2 is an explosive and expensive reagent, the organoselenium-catalyzed oxidative deoximation is not fit for large-scale production. Therefore, developing deoximation reactions by using mild, cheap and safe oxidants such as air might resolve the issue. But unfortunately, in organoselenium catalyzed reactions, the Se catalysts were easy to be reduced into diselenides, which were very stable compounds and were hardly oxidized by air [46]. This bottlenecked the development of organoselenium catalyzed oxidation reactions using air as the oxidant. Very recently, we found that, by adding very small amount of FeSO4 (1.25 mol%), the oxidative deoximation reactions could be performed under mild conditions in open air (reaction 11) [9].
Undoubtly, air was used as a mild oxidant for the reaction. The role of iron salt was investigated by X-ray photoelectron spectroscopy (XPS) analysis: Heating (PhCH2Se)2 in air for 24 h, ca. 76% of Se was oxidized into the high valent Se2+ species; After adding FeSO4, the conversion ratio could be enhanced to 96% [9]. This work provided a good solution for organoselenium-catalyzed reactions using air as oxidant.
In order to develop the recyclable heterogeneous Se catalyst, we synthesized the poly-selenide 16 via the selenization of 1, 4-bis (chloromethyl)benzene 15 and tested its catalytic activity in deoximation reactions [8]. Unfortunately, the experimental results showed that the polymer had very poor catalytic activity for the deoximation reaction, probably due to its huge steric hindrance which did not allow its first step nucleophilic attack to oximes in mechanism circle [47].
6. Conclusions
In summary, deoximation reactions, which are very important for organic synthesis as well as the fine chemical production, have received comprehensive attention from chemists in the past decade. By using deoximation reagent such as SnCl2, TiCl3, Si2Cl6, Ce(SO4)2, etc., the transformations were well achieved to produce the related carbonyl compounds in very high yields and with broad substrate scope, affording efficient and mature tools for organic synthesis. However, in line with growing concern on environment protection, and for the purpose of controlling the production cost, developing catalytic methods to achieve this transformation is meaningful. This review well elaborated the developing trend of the field and the mechanisms of some important reactions were discussed to help the readers understand this profound reaction.
Acknowledgments
This work was supported by National Key Research and Development Program of China (No. 2018YFD0200100), Natural Science Foundation of Guangling College (Key Project: No. ZKZD17005; major special project: No. ZKZZ18001), Natural Science Foundation of Jiangsu Province (No. BK20181449), Jiangsu Provincial Six Talent Peaks Project (No. XCL-090), Opening Foundation of the Key Laboratory of Green Pesticide and Agricultural Bioengineering, Ministry of Education, Guizhou University (No. 2016GDGP0104) and Priority Academic Program Development of Jiangsu Higher Education Institutions (PAPD).
-
-
[1]
E.J. Corey, P.B. Hopkins, S. Kim, et al., J. Am. Chem. Soc. 101(1979) 7131-7134. doi: 10.1021/ja00517a088
-
[2]
C. Isart, D. Bastida, J. Burs, J. Vilarrasa, Angew. Chem. Int. Ed. 50(2011) 3275-3279. doi: 10.1002/anie.201007269
-
[3]
A. Grirrane, A. Corma, H. Garcia, J. Catal. 268(2009) 350-355. doi: 10.1016/j.jcat.2009.10.005
-
[4]
R. Reitsema, J. Org. Chem. 23(1958) 2038-2039. doi: 10.1021/jo01106a636
-
[5]
E.E. Royals, S.E. Horne Jr., J. Am. Chem. Soc. 73(1951) 5856-5857. doi: 10.1021/ja01156a119
-
[6]
G.F. Zhang, X. Wen, Y. Wang, W.M. Mo, C.R. Ding, Prog. Chem. 24(2012) 361-369. https://www.researchgate.net/publication/51085421_ChemInform_Abstract_Sodium_Nitrite_Catalyzed_Aerobic_Oxidative_Deoximation_under_Mild_Conditions
-
[7]
X.B. Jing, D.D. Yuan, L. Yu, Adv. Synth. Catal. 359(2017) 1194-1201. doi: 10.1002/adsc.v359.7
-
[8]
X.B. Jing, C.Z. Chen, X. Deng, et al., Appl. Organomet. Chem. 32(2018) e4332. doi: 10.1002/aoc.v32.5
-
[9]
C. Chen, X. Zhang, H.E. Cao, et al., Adv. Synth. Catal. 361(2019) 603-610.
-
[10]
M.H. Lin, H.J. Liu, C.Y. Chang, W.C. Lin, T.H. Chuang, Molecules 17(2012) 2464-2473. doi: 10.3390/molecules17032464
-
[11]
L.Y. Du, J. Gao, S.Y. Yang, et al., Russ. J. Gen. Chem. 84(2014) 2200-2204. doi: 10.1134/S1070363214110267
-
[12]
O. Asutay, N. Hamarat, N. Uludag, N. Cokun, Tetrahedron Lett. 56(2015) 3902-3904. doi: 10.1016/j.tetlet.2015.04.111
-
[13]
Y.X. Liu, N. Yang, C.H. Chu, R.H. Liu, Chin. J. Chem. 33(2015) 1011-1014. doi: 10.1002/cjoc.v33.9
-
[14]
A. Garca-Ortiz, A. Girrane, E. Reguera, H. Garca, J. Catal. 311(2014) 386-392. doi: 10.1016/j.jcat.2013.12.011
-
[15]
G.F. Zhang, X. Wen, Y. Wang, W.M. Mo, C.R. Ding, J. Org. Chem. 76(2011) 4665-4668. doi: 10.1021/jo102571e
-
[16]
Y.S. Li, N.Z. Xu, G.Y. Mei, et al., Can. J. Chem. 96(2018) 810-814. doi: 10.1139/cjc-2017-0567
-
[17]
D.F. Li, J. Li, D. Mao, et al., Mater. Chem. Phys. 189(2016) 118-126. https://www.researchgate.net/publication/311990010_Direct_synthesis_of_sulfonic_group_tethered_mesoporous_polyionic_liquid_for_catalyzing_deoximation_reactions
-
[18]
J. González-Sabín, N. Ríos-Lombardía, I. García, et al., Green Chem. 18(2016) 989-994. doi: 10.1039/C5GC02220G
-
[19]
M.X. Liu, Y.M. Li, L. Yu, Q. Xu, X.F. Jiang, Sci. China Chem. 61(2018) 294-299. doi: 10.1007/s11426-017-9158-y
-
[20]
A.M.S. Recchi, D.F. Back, G. Zeni, J. Org. Chem. 82(2017) 2713-2723. doi: 10.1021/acs.joc.7b00050
-
[21]
S. Kodama, T. Saeki, K. Mihara, et al., J. Org. Chem. 82(2017) 12477-12484. doi: 10.1021/acs.joc.7b02276
-
[22]
C. Santi, C. Tomassini, L. Sancineto, Chimia 71(2017) 592-595. doi: 10.2533/chimia.2017.592
-
[23]
Y.X. Zhen, M. Yang, H. Zhang, et al., Sci. Bull. 62(2017) 1530-1537. doi: 10.1016/j.scib.2017.10.022
-
[24]
H. Luan, H. Sun, B. Xue, X. Li, Chin. J. Org. Chem. 37(2017) 1392-1397. doi: 10.6023/cjoc201702047
-
[25]
S. Fiorito, F. Epifano, V.A. Taddeo, et al., Planta Med. 82(2016) P732. https://www.ncbi.nlm.nih.gov/pubmed/26180000
-
[26]
A.A. Vieira, J.B. Azeredo, M. Godoi, et al., J. Org. Chem. 80(2015) 2120-2127. https://www.ncbi.nlm.nih.gov/pubmed/25607341
-
[27]
C. Depken, F. Krätzschmar, R. Rieger, K. Rode, A. Breder, Angew. Chem. Int. Ed. 57(2018) 2459-2463. doi: 10.1002/anie.201711599
-
[28]
X. Liu, Y.Y. Liang, J.Y. Ji, J. Luo, X.D. Zhao, J. Am. Chem. Soc. 140(2018) 4782-4786. doi: 10.1021/jacs.8b01513
-
[29]
J. Luo, Q.X. Cao, X.H. Cao, X.D. Zhao, Nat. Commun. 9(2018) 527. doi: 10.1038/s41467-018-02955-0
-
[30]
R.Z. Guo, J.C. Huang, X.D. Zhao, ACS Catal. 8(2018) 926-930. doi: 10.1021/acscatal.7b03829
-
[31]
S. Ortgies, R. Rieger, K. Rode, et al., ACS Catal. 7(2017) 7578-7586. doi: 10.1021/acscatal.7b02729
-
[32]
L.H. Liao, R.Z. Guo, X.D. Zhao, Angew. Chem. Int. Ed. 56(2017) 3201-3205. doi: 10.1002/anie.201610657
-
[33]
W. Jin, P. Zheng, W.T. Wong, G.L. Law, Adv. Synth. Catal. 359(2017) 1588-1593. doi: 10.1002/adsc.v359.9
-
[34]
H.E. Cao, B.R. Zhu, Y.F. Yang, et al., Chin. J. Catal. 39(2018) 899-907. doi: 10.1016/S1872-2067(18)63050-5
-
[35]
L. Yu, R.R. Qian, X. Deng, F. Wang, Q. Xu, Sci. Bull. 63(2018) 1010-1016. doi: 10.1016/j.scib.2018.06.002
-
[36]
D.L. Zhang, Z. Wei, L. Yu, Sci. Bull. 62(2017) 1325-1330. doi: 10.1016/j.scib.2017.09.016
-
[37]
T. Wang, X. Jing, C. Chen, L. Yu, J. Org. Chem. 82(2017) 9342-9349. doi: 10.1021/acs.joc.7b01245
-
[38]
X.B. Jing, T.T. Wang, Y.H. Ding, L. Yu, Appl. Catal. A-Gen. 541(2017) 107-111. doi: 10.1016/j.apcata.2017.05.007
-
[39]
Y.G. Wang, L.H. Yu, B.C. Zhu, L. Yu, J. Mater. Chem. A 4(2016) 10828-10833. doi: 10.1039/C6TA02566H
-
[40]
L. Yu, Z.B. Bai, X. Zhang, et al., Catal. Sci. Technol. 6(2016) 1804-1809. doi: 10.1039/C5CY01395J
-
[41]
L. Yu, F.L. Chen, Y.H. Ding, ChemCatChem 8(2016) 1033-1037. doi: 10.1002/cctc.201501309
-
[42]
X. Zhang, J.J. Sun, Y.H. Ding, L. Yu, Org. Lett. 17(2015) 5840-5842. doi: 10.1021/acs.orglett.5b03011
-
[43]
L. Yu, J.Q. Ye, X. Zhang, Y.H. Ding, Q. Xu, Catal. Sci. Technol. 5(2015) 4830-4838. doi: 10.1039/C5CY01030F
-
[44]
L. Yu, H.Y. Li, X. Zhang, et al., Org. Lett. 16(2014) 1346-1349. doi: 10.1021/ol500075h
-
[45]
L. Yu, Y.L. Wu, H.E. Cao, et al., Green Chem. 16(2014) 287-293. doi: 10.1039/C3GC41562G
-
[46]
L. Yu, J. Wang, T. Chen, K.H. Ding, Y. Pan, Chin. J. Org. Chem. 33(2013) 1096-1099. doi: 10.6023/cjoc2012012049
-
[47]
Y.F. Yang, X. Fan, H.E. Cao, et al., Catal. Sci. Technol. 8(2018) 5017-5023. doi: 10.1039/C8CY01413B
-
[1]
-
扫一扫看文章
计量
- PDF下载量: 7
- 文章访问数: 1436
- HTML全文浏览量: 25

DownLoad:
下载:
下载: