One-step synthesis of Fe-Ni hydroxide nanosheets derived from bimetallic foam for efficient electrocatalytic oxygen evolution and overall water splitting
English
One-step synthesis of Fe-Ni hydroxide nanosheets derived from bimetallic foam for efficient electrocatalytic oxygen evolution and overall water splitting
-
Key words:
- One-step synthesis
- / Bimetallic foam
- / Water splitting
- / Fe-Ni hydroxide
- / Nanosheet array
-
A promising strategy to address the excess of electrical energy from wind and water in the form of chemical energy is through electrolyzing water molecule into hydrogen and oxygen [1-6]. The efficiency of the water splitting process is affected by several elements. The most serious challenge is the sluggish kinetic of water molecule oxidation to oxygen molecule. In order to accelerate this complex process, the development of competitive competent and robust oxygen-evolving electrocatalysts is highly required [1, 7-9]. While iridium and ruthenium oxides are high efficient electrocatalysts for oxygen evolution reaction (OER), these noble metal based catalysts have obvious disadvantages for practical applications due to low earth abundance and high cost [7, 10-13]. The newly developed oxygen-evolving electrocatalysts based on first-row 3d transition metals are more appealing and promising, especially, hydroxides combined Ni with Fe display excellent OER performance in alkaline conditions [9, 14, 15]. In more recent years, the particular category of layered double hydroxide (LDH) materials were used as OER catalysts, such as Fe-Ni LDH. A long-term stable catalytic under high current densities is required practically for commercial industrial electrolyzers [16-19]. In order to achieve the large-current-density oxygen evolution electrocatalysis, the catalytically active sites of a suitable catalyst should fulfill multiple criteria simultaneously: (ⅰ) high intrinsic activity for OER, (ⅱ) high density on the catalyst's surface, (ⅲ) fast access to the reactants and the electrons by way of the external circuit, simultaneously. The above problems can be partially solved by building a three-dimensional (3D) structure directly on the conductive substrate without the polymer binder, which induced to a significantly improvement in the catalytic property of the active material [20, 21].
The Fe-Ni LDH nanosheets were prepared through one-step hydrothermal treatment by using the Fe-Ni bimetallic foam as the substrate. The bimetallic foam (the thickness is 1.0 mm) was cut into 1.0 cm × 2.0 cm and immersed into 1.0 mol/L HCl solution for 5 min, and then sonicated with acetone, ethanol and DI water for 15 min, respectively, followed by hydrothermal treatment to grow Fe-Ni LDH nanosheets arrays on the surface. In a typical process, KOH (1.68 g) was dissolved in DI water (15 mL) and stirred for 15 min to form a homogeneous solution. The above solution and the pretreated Fe-Ni bimetallic foam were transferred to a 20 mL Teflon-lined stainless autoclave and heated under 150 ℃ for 12 h. After being cooled to environmental temperature, the resulting sample was washed with DI water and then dried under 60 ℃ for 12 h. Bimetallic foams with different iron mass content (5%, 25%, 60% and 95%, which remarked as FNF-5, FNF-25, FNF-60 and FNF-95), pure Fe foam (FF) and Ni foam (NF) were treated with the same way.
The smooth surfaces were observed for all metal foams (Fig. S1 in Supporting information). Three peaks of NF, FNF-5, FNF-25, and FNF-60 corresponded to the Ni (PDF#04-0850) and peaks of FNF-95 and FF were indexed to the Fe (PDF#06-0696) (Fig. S2 in Supporting information). After one-step hydrothermal treatment, the brown films were observed on the surface of foams as shown in Fig. S3 in Supporting information. XRD results in Fig. 1a indicated the phase transformation process of bimetallic, Ni and Fe foams. After hydrothermal treatment, the main diffraction peaks for Fe and Ni were also observed due to the metal substrate. In addition, some other small peaks belonged to Ni(OH)2 (PDF#14-0117) appeared in Ni(OH)2/NF, Ni(OH)2/FNF-5 and Ni(OH)2/FNF-25. Small peaks in Fe3O4/FNF-95 and Fe3O4/FF corresponded to Fe3O4 (PDF#19-0629). The above results confirmed that higher content of Ni in bimetallic foam (Ni(OH)2/NF, Ni(OH)2/FNF-5 and Ni(OH)2/FNF-25) was in favour of forming Ni(OH)2 and higher content of Fe (Fe3O4/FNF-95 and Fe3O4/FF) foam was in favour of forming Fe3O4. It was interesting that no obvious diffraction peaks for both Ni(OH)2 and Fe3O4 were observed for FN LDH/FNF-60 and it tended to form nickel-iron layered double hydroxide (NiFe-LDH) with weak crystallinity. As for pure Ni foam, the Ni(OH)2 nanoplates with thickness of 100-200 nm were vertically grown on Ni foam as shown in Fig. 1b. Increasing Fe content, the plates became thinner, Ni(OH)2/FNF-5 of 50-100 nm (Fig. 1c), Ni(OH)2/FNF-25 of 20-80 nm (Fig. 1d) and Fe-Ni LDH/FNF-60 of 20-40 nm (Figs. 1e and f). Especially to Fe-Ni LDH/FNF-60, a crumpled and hexagonal morphology was observed and the size of LDH film was approximately 200-300 nm. The interface between Fe-Ni LDH and FNF-60 was cohesive and steady due to the direct grown from FNF-60 as intact units, which was assistance to improve electron transport. Further increasing iron content (Fe3O4/FNF-95 and Fe3O4/FF), the nanosheets disappeared, and Fe3O4 nanorods with diameters of 50-100 nm and lengths of ~2 μm were observed on the surface (Figs. 1g and h). In conclusion, the above XRD and SEM results implied that the molar ratio between Fe and Ni not only affected the crystalline structures, but also affected morphology of films on bimetallic foams.
Figure 1
Figure 1. (a) XRD patterns of Ni(OH)2/NF, Ni(OH)2/FNF-5, Ni(OH)2/FNF-25, FN LDH/FNF-60, Fe3O4/FNF-95 and Fe3O4/FF; SEM images of N/NF (b), FN LDH/FNF-5 (c), FN LDH/FNF-25 (d), FN LDH/FNF-60 (e, f), Fe3O4/FNF-95 (g) and Fe3O4/FF (h).The TEM image in Figs. 2a, c and d confirmed the results of SEM (Figs. 1d, f and g). EDS mapping results indicated Fe element was doped into Ni(OH)2 and little Ni element was doped into nanorod shape of Fe3O4, however, Fe, Ni and O elements were uniformly spread in Fe-Ni LDH nanosheet. The HRTEM images in Figs. 2b, d and f showed that interplanar spacing of 0.46 nm, 0.39 nm and 0.48 nm belonged to (001) plane of Ni(OH)2, the (006) plane of Fe-Ni LDH and the (111) plane of Fe3O4, respectively. The SAED pattern had ring patterns of (100), (101), (110) and (201) planes of Ni(OH)2 was shown in Fig. S4a in Supporting information. In Fig. S4b (Supporting information) the SAED pattern had ring patterns of (006) and (105) planes of Fe-Ni LDH, which further confirmed the successful formation of Fe-Ni LDH. And the SAED result (Fig. S4c in Supporting information) of Fe3O4 agreed with the HRTEM analysis.
Figure 2
XPS spectra was used to characterize the element valence states and composition of FNF-60 and FN LDH/FNF-60 (Fig. S5 in Supporting information). For FNF-60, the peak at 711.83 eV was assigned to Fe 2p3/2, which was the characteristic signature of Fe3+ (Fig. S5b). Two peaks at 712.03 eV and 725.02 eV attributed to Fe 2p3/2 and Fe 2p1/2 were observed in FN LDH/FNF-60, which corresponded to chemical state of Fe3+ and Fe4+, respectively [22, 23]. XPS spectra of Ni 2p was depicted in Fig. S5c. After hydrothermal reaction, the two peaks at 852.85 eV and 870.24 eV for metallic nickel disappeared. For FN LDH/FNF-60, the peaks of Ni 2p3/2 and Ni 2p1/2 located at 856.10 eV and 873.78 eV, and two satellite peaks located at 861.84 eV and 879.77 eV. Compared with FNF-60, Ni 2p3/2 and Ni 2p1/2 of FN LDH/FNF-60 shifted to even higher binding energies, which indicated the mixed chemical state of Ni3+ and Ni2+ [22]. Higher chemical oxidation state was highly favourable for OER performance of Fe-Ni LDH [24, 25].
The OER catalytic performances of as prepared catalysts and RuO2 were examined in 1.0 mol/L KOH electrolyte by LSV measurements under scan rates of 5 mV/s. Overpotential (η10) needed to achieve a current density of 10 mA/cm2 was an important benchmark to evaluate the activity of OER catalysts. The FN LDH/FNF-60 needed a small overpotential (η10) of 261 mV, which was smaller than Fe3O4/FF (353 mV), Ni(OH)2/NF (330 mV) and RuO2 (302 mV), as shown in Fig. 3a. FN LDH/FNF-60 had lowest Tafel value of 85.8 mV/dec (Fig. 3b), indicating the more efficient OER capability because of the coexisting of Ni and Fe. The OER catalytic activity of catalysts grown on Fe-Ni bimetal foams with different iron content (5%, 25%, 60% and 95%) was further studied, and according polarization curves were showed in Fig. 3c. The overpotentials under a current density of 50 mA/cm2 for the different catalysts showed the optimal sample of FN LDH/FNF-60, which only needed an overpotential of 290 mV (Fig. 3d). The electrochemically active surface area values of our catalysts were shown in Fig. 3e and according CV results were showed in Fig. S6 in Supporting information. The decending order of capacitance values implaied that higher electrochemical area was due to the nanosheet structure derived from Ni. The OER catalytic ability of FN LDH/FNF-60 still possessed the lowest overpotential after being corrected by electrochemical area (Fig. S7 in Supporting information), indicating that the electrochemical area was not the nature for enhanced OER activity. The FN LDH/FNF-60 showed the lowest Rct value of (35.02 Ω) among the catalysts under 250 mV (Fig. S8 in Supporting information). In addition, under various overpotentials for FN LDH/FNF-60, Rct values fell obviously with raising overpotentials, from 80.28 Ω at 230 mV to 11.89 Ω at 280 mV, showing the superior charge transfer from electrolyte to electrodes through the interface (Fig. S9 in Supporting information). Moreover, all samples possessed the small Rs values (3.2-8.3 Ω), which was attributed to the direct grown of FN LDH from FNF and high electrical conductivity of FNF. The i-t carves of FN LDH/FNF-60 had no obvious decrease for current densities of ~10 mA/cm2 under overpotential of 270 mV for 14 h (Fig. 3f). After i-t test, LSV curves of FN LDH/FNF-60 were coincident (inset of Fig. 3f), which also implied the catalytic stability. In addition, SEM image and spectra showed that the structure and chemical states of FN LDH/FNF-60 was well-preserved after i-t testing, confirming not only the catalytic durability for OER but also the structure stability (Figs. S10, S11 in Supporting information). In order to confirm the practical application, the large current density of about 126 mA/cm2 for 8 h remained no obvious attenuation. In contrast, the RuO2 catalyst loaded on GC electrode tested at overpotential of 430 mV showed obvious attenuation for OER, and the current density distinctly dropped from 40.81 mA/cm2 to 12.68 mA/cm2 after 7 h.
Figure 3
Figure 3. (a) Polarization curves of FN LDH/FNF-60, Fe3O4/FF, Ni(OH)2/NF and RuO2 in 1.0 mol/L KOH at scan rates of 5 mV/s. (b) Corresponding Tafel plots derived from (a). (c) Polarization curves of Ni(OH)2/FNF-5, Ni(OH)2/FNF-25, FN LDH/FNF-60 and Fe3O4/FNF-95. (d) Corresponding overpotential (at 50 mA/cm2) from (a, c); (e) The double-layer charges as a function of scan rates. (f) Chronoamperometric response of FNLDH/FNF-60 at different overpotentials (270 and 430 mV) and RuO2 catalyst loaded on GC electrode at overpotential of 430 mV. Inset was polarization curves of FN LDH/FNF-60 before and after i-t measurements.The remarkable OER property of the electrodes can be attributed to the following reasons. Firstly, its unique nanosheets network architecture give rise to the enhanced electrochemical area; secondly, the synergistic effect between metal substrate and the active electrocatalysts, and accelerated electron/ion transport to promote reaction kinetics of OER; thirdly the effective integration of the appropriate ratio of the Ni/Fe element improve the intrinsic catalytic activity. Specifically, the small Tafel slope, low overpotential, and high current density of FN LDH/FNF-60 made it very attractive among the most efficient non-noble transitionmetal-based OER catalysts reported so far (Table S1 in Supporting information).
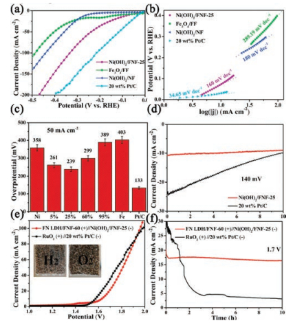
In order to confirm the multifunction, LSV measurements were applied for evaluating the HER catalytic activities of our catalysts and commercial 20 wt% Pt/C simultaneously. The onset potential of 20 wt% Pt/C was near zero (vs. RHE) in Fig. 4a, showing the most excellent catalytic property. Furthermore, Ni(OH)2/FNF-25 had a lower overpotential (η10) of 72 mV than pure Fe3O4/FF (115 mV) and Ni(OH)2/NF (259 mV). The superior performance of Ni(OH)2/FNF-25 further confirmed through Tafel slope in Fig. 4b. In addition, the different iron content also affected the HER activity. As shown in Fig. 4c, the overpotantials of different samples needed to acquired -50 mA/cm2 were 358 (Ni(OH)2/NF), 261 (Ni(OH)2/FNF-5), 239 (Ni(OH)2/FNF-25), 299 (Ni(OH)2/FNF-60), 389 (Fe3O4/FNF-95), 403 (Fe3O4/FF) and 133 mV (20 wt% Pt/C), and corresponding polarization curves were shown in Fig. S11. It was different from the optimal sample of FN LDH/FNF-60 for OER, the Ni(OH)2/FNF-25 possessed the optimal HER activity. The results proved that the ratio of Ni/Fe elements played the important role in realizing the optimal catalytic activities for OER and HER. The Ni(OH)2/FNF-25 also possessed rough HER stability without obvious attenuation under an overpotential of 140 mV for 10 h (Fig. 4d), which was superior to 20 wt% Pt/C (the attenuation of 59.6% for 10 h). Based on above OER and HER results, we constructed a two-electrode electrolyzer (i.e., FN LDH/FNF-60 (+)//Ni(OH)2/FNF-25 (-)) composed of Ni(OH)2/FNF-25 as a cathode and FN LDH/FNF-60 as an anode in 1.0 mol/L KOH, and paired up 20 wt% Pt/C as a cathode and RuO2 as an anode to construct another two-electrode electrolyzer (i.e., RuO2 (+)//20 wt% Pt/C (-)) as a comparison In Fig. 4e, FN LDH/FNF-60 (+)//Ni(OH)2/FNF-25 (-) delivered a water splitting current density of 10 mA/cm2 at a voltage of 1.62 V and 100 mA/cm2 at a voltage of 1.959 V, just close to RuO2 (+)//20 wt% Pt/C (-) (1.57 mV and 1.978 V). A lot of bubbles were gathered on Ni(OH)2/FNF-25 and FN LDH/FNF-60 (inset of Fig. 4e), which were authenticated to be H2 and O2 by gas chromatography, respectively. In Fig. 4f, as for the i-t testing (under 1.7 V for 10 h), the current density of FN LDH/FNF-60 (+)//Ni(OH)2/FNF-25 (-) had a slight decrease of 4.3%, while RuO2 (+)//20 wt% Pt/C (-) had an obvious decay of 88.1%. The i-t results indicated that the two-electrodes paired up of our catalysts had much higher stability than RuO2 (+)//20 wt% Pt/C (-), which possessed promising applications in industrial hydrogen production.
Figure 4
Figure 4. (a) Polarization curves of Ni(OH)2/FNF-25, Fe3O4/FF, Ni(OH)2/NF and 20 wt% Pt/C for HER in 1.0 mol/L KOH at scan rates of 5 mV/s. (b) Corresponding Tafel plots derived from (a). (c) Overpotential (at 50 mA/cm2) of Ni(OH)2/NF, Ni(OH)2/FNF-5, Ni (OH)2/FNF-25, FN LDH/FNF-60, Fe3O4/FNF-95, Fe3O4/FF and 20 wt% Pt/C. (d) Chronoamperometric response of Ni(OH)2/FNF-25 and 20 wt% Pt/C at a overpotential of 140 mV. Polarization curves (e) and chronoamperometric response (f) in 1.0 mol/L KOH using FN LDH/FNF-60 (or Ru2O) as the anode and Ni(OH)2/FNF-25 foam (or 20 wt% Pt/C) as the cathode. Inset was the electrodes with bubbles.In summary, the Fe-Ni bimetallic foam was used as not only Fe and Ni sources but also conductive substrate to construct Fe-Ni hydroxide nanosheets network on Fe-Ni bimetal foam by an easy, low-cost and efficient approach. The ratio of Ni/Fe elements played the important role in realizing the optimal catalytic activities for OER and HER. The resultant electrode of FN LDH/FNF-60 possessed low overpotential of 261 mV to reach 10 mA/cm2, low Tafel slope (85.5 mV/dec), and superior long-term stability (remaining 10 mA/cm2 for 14 h having no attenuation) toward OER in 1.0 mol/L KOH. Moreover, an alkaline water electrolyzer constructed with the FN LDH/FNF-60 as anode and Ni(OH)2/FNF-25 as cathode displayed superior electrolysis performance (providing 10 mA/cm2 under 1.62 V) and long-term durability compared with the RuO2 (+)//20 wt% Pt/C (-). Experimental results indicate that the effective integration of the appropriate ratio of the Ni/Fe element, the three-dimensional structure and high electronic conductivity into a bimetallic foam system makes FN LDH/FNF to be efficient for water splitting. These findings highlighted the potential of the Fe-Ni hydroxide nanosheets network derived from bimetallic foam for future efficient overall water splitting devices.
Acknowledgment
This work was supported by the Science and Technology Planning Project of Guangdong Province, China (No. 2017B090916002), Tip-top Scientific and Technical Innovative Youth Talents of Guangdong Special Support Program (No. 2016TQ03N541), Guangdong Natural Science Funds for Distinguished Young Scholar (No. 2017B030306001), the National Natural Science Foundation of China (No. 91745203) and Guangdong Innovative and Entrepreneurial Research Team Program (No. 2014ZT05N200).
Appendix A. Supplementary data
Supplementary material related to this article can be found, in the online version, at doi:https://doi.org/10.1016/j.cclet.2018.10.026.
-
-
[1]
B.M. Hunter, H.B. Gray, A.M. Müller, Chem. Rev. 116 (2016) 14120-14136. doi: 10.1021/acs.chemrev.6b00398
-
[2]
H. Song, S. Oh, H. Yoon, et al., Nano Energy 42 (2017) 1-7.
-
[3]
A. Landman, H. Dotan, G.E. Shter, et al., Nature Mater. 16 (2017) 646-651. doi: 10.1038/nmat4876
-
[4]
W. Zhou, J. Jia, J. Lu, et al., Nano Energy 28 (2016) 29-43. https://www.sciencedirect.com/science/article/pii/S2211285516303123
-
[5]
J. Luo, J.H. Im, M.T. Mayer, et al., Science 345 (2014) 1593-1596. doi: 10.1126/science.1258307
-
[6]
L. Zhao, Q. Cao, A. Wang, et al., Nano Energy 45 (2018) 118-126. doi: 10.1016/j.nanoen.2017.12.029
-
[7]
M.G. Walter, E.L. Warren, J.R. McKone, et al., Chem. Rev. 110 (2010) 6446-6473. doi: 10.1021/cr1002326
-
[8]
M. Shao, R. Zhang, Z. Li, et al., Chem. Commun. 51 (2015) 15880-15893. doi: 10.1039/C5CC07296D
-
[9]
M.B. Stevens, C.D.M. Trang, L.J. Enman, J. Deng, S.W. Boettcher, J. Am. Chem. Soc. 139 (2017) 11361-11364. doi: 10.1021/jacs.7b07117
-
[10]
J. Kim, P.C. Shih, K.C. Tsao, et al., J. Am. Chem. Soc. 139 (2017) 12076-12083. doi: 10.1021/jacs.7b06808
-
[11]
J. Feng, F. Lv, W. Zhang, et al., Adv. Mater. 29 (2017) 1703798. doi: 10.1002/adma.201703798
-
[12]
Y. Pi, N. Zhang, S. Guo, J. Guo, X. Huang, Nano Lett. 16 (2016) 4424-4430. doi: 10.1021/acs.nanolett.6b01554
-
[13]
L.C. Seitz, C.F. Dickens, K. Nishio, et al., Science 353 (2016) 1011-1014. doi: 10.1126/science.aaf5050
-
[14]
M. Gong, Y. Li, H. Wang, et al., J. Am. Chem. Soc. 135 (2013) 8452-8455. doi: 10.1021/ja4027715
-
[15]
W. Zhou, X.J. Wu, X. Cao, et al., Energy Environ. Sci. 6 (2013) 2921-2924. doi: 10.1039/c3ee41572d
-
[16]
C.G. Morales-Guio, L.A. Stern, X. Hu, Chem. Soc. Rev. 43 (2014) 6555-6569. doi: 10.1039/C3CS60468C
-
[17]
L. Zhu, H. Lin, Y. Li, et al., Nat. Commun. 7 (2016) 12272. doi: 10.1038/ncomms12272
-
[18]
Y. Wang, M. Qiao, Y. Li, S. Wang, Small 14 (2018) 1800136. doi: 10.1002/smll.v14.17
-
[19]
D. Chen, M. Qiao, Y.R. Lu, et al., Angew. Chem. Int. Ed. 57 (2018) 8691-8696. doi: 10.1002/anie.v57.28
-
[20]
Z. Li, M. Shao, H. An, et al., Chem. Sci. 6 (2015) 6624-6631. doi: 10.1039/C5SC02417J
-
[21]
X. Zou, Y. Liu, G.D. Li, et al., Adv. Mater. 29 (2017) 1700404. doi: 10.1002/adma.v29.22
-
[22]
B. Weng, F. Xu, C. Wang, et al., Energy Environ. Sci. 10 (2017) 121-128. doi: 10.1039/C6EE03088B
-
[23]
Z. Zhao, H. Wu, H. He, X. Xu, Y. Jin, J. Mater. Chem. A 3 (2015) 7179-7186. doi: 10.1039/C5TA00160A
-
[24]
S. Yagi, I. Yamada, H. Tsukasaki, et al., Nat. Commun. 6 (2015) 8249. doi: 10.1038/ncomms9249
-
[25]
J.Y.C. Chen, L. Dang, H. Liang, et al., J. Am. Chem. Soc. 137 (2015) 15090-15093. doi: 10.1021/jacs.5b10699
-
[1]
-
Figure 3 (a) Polarization curves of FN LDH/FNF-60, Fe3O4/FF, Ni(OH)2/NF and RuO2 in 1.0 mol/L KOH at scan rates of 5 mV/s. (b) Corresponding Tafel plots derived from (a). (c) Polarization curves of Ni(OH)2/FNF-5, Ni(OH)2/FNF-25, FN LDH/FNF-60 and Fe3O4/FNF-95. (d) Corresponding overpotential (at 50 mA/cm2) from (a, c); (e) The double-layer charges as a function of scan rates. (f) Chronoamperometric response of FNLDH/FNF-60 at different overpotentials (270 and 430 mV) and RuO2 catalyst loaded on GC electrode at overpotential of 430 mV. Inset was polarization curves of FN LDH/FNF-60 before and after i-t measurements.
Figure 4 (a) Polarization curves of Ni(OH)2/FNF-25, Fe3O4/FF, Ni(OH)2/NF and 20 wt% Pt/C for HER in 1.0 mol/L KOH at scan rates of 5 mV/s. (b) Corresponding Tafel plots derived from (a). (c) Overpotential (at 50 mA/cm2) of Ni(OH)2/NF, Ni(OH)2/FNF-5, Ni (OH)2/FNF-25, FN LDH/FNF-60, Fe3O4/FNF-95, Fe3O4/FF and 20 wt% Pt/C. (d) Chronoamperometric response of Ni(OH)2/FNF-25 and 20 wt% Pt/C at a overpotential of 140 mV. Polarization curves (e) and chronoamperometric response (f) in 1.0 mol/L KOH using FN LDH/FNF-60 (or Ru2O) as the anode and Ni(OH)2/FNF-25 foam (or 20 wt% Pt/C) as the cathode. Inset was the electrodes with bubbles.
-
扫一扫看文章
计量
- PDF下载量: 3
- 文章访问数: 1565
- HTML全文浏览量: 120

DownLoad:
下载:
下载: