Protic ionic liquid-promoted synthesis of dimethyl carbonate from ethylene carbonate and methanol☆
English
Protic ionic liquid-promoted synthesis of dimethyl carbonate from ethylene carbonate and methanol☆
-
As an important chemical, dimethyl carbonate (DMC) has unique physical properties and versatile reactivity.It has been widely used as a solvent, fuel additive and lithium battery electrolyte [1-3]. Besides, DMC can be regarded as a green carbonylation reagent and methylation reagent to replace highly toxic phosgene, methyl chloroformate and dimethyl sulfate [4-6]. Nowadays, the DMC demand is increasing and therefore, efficient and inexpensive synthetic protocol for this chemical is highly desirable.
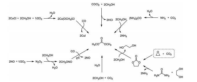
The reported synthetic methods of dimethyl carbonate, including phosgene route [7, 8], methanol oxidative carbonylation [9, 10], urea alcoholysis [11, 12], direct synthesis from CO2 and methanol [13-16], and transesterification [17], were summarized in Scheme 1. Wherein, the traditional phosgene route hasnowadays beenbanned due to its toxicity and safety issue. For the oxidative carbonylation process of CO and methanol, the expensive gasification processes and the use of explosive material make the process non-preferred. Currently, employing CO2 as raw material for DMC synthesis would be more attractive. However, direct synthesis of DMC from CO2 and methanol needs harsh reaction conditions. As an alternative, transesterification between ethylene carbonate (EC) and methanol can be performed under mild conditions, producing DMC and ethylene glycol (EG) as the products. In this context, as ethylene carbonate can be derived from CO2 and ethylene epoxide, this protocol can be regarded as the indirect use of CO2.
Scheme 1
In the transesterification of EC with methanol, both acidic and basic catalysts have been developed to improve the yield of DMC by activating EC and methanol respectively. As the strong acidic catalysts might cause competing ether-forming side reactions and weak acidic catalysts cannot activate EC efficiently, the catalytic activity of base catalysts is always superior to the acid ones [18]. Therefore, the catalyst development is mainly focused on base catalysts. Considering the superior mass transfer performance of homogeneous alkaline catalysts, sodium methoxide is widely used in industry to catalyze this transesterification. Similarly, the molecular catalyst such as alkali metal carbonates [19], hydroxides [20], and alkoxides [21], as well as tungstate [22] and quaternary ammonium salt [23] can also effectively promoted the reaction. However, the above-mentioned catalytic systems have also problems in product separation and catalyst recovery despite the high efficiency. To solve this issue, many solid base catalysts such as alkali metal oxides [24-26], inorganic salts of polybasic acids, hydrotalcites and montmorillonites [27, 28], basic ion exchange resins [29], have also been developed for this purpose. Nevertheless, the relatively low mass transfer performance limits their industry application.
As an alternative type of catalyst, ionic liquids have many special features, such as good solubility, thermal stability, negligible vapor pressure and tunable structure, which make them promising candidates to address the product separation problems while keep the excellent mass transfer performance in many reactions.
In recent years, several ionic liquids have been verified as efficient catalysts in the transesterification reaction of EC and methanol (Scheme 2). For example, Park's group developed the ionic liquids [EMIm]Cl [30], [n-BuIm]Br-CS [31], [BMIm]Br-AS [32] and THA-MS41 [33] as catalysts for the transesterification reaction. For the above-mentioned catalysts, the nucleophilic halogen anions can activate methanol and the cation was designed to enhance the dissociation of halogen anions. Albeit showing acceptable catalytic efficiency, these catalysts encounter difficulty in commercial application due to their complicated and costly preparation procedure. Besides, these catalysts require high reaction temperature (more than 120 ℃) to promote the reaction and thus high pressure CO2 is always needed to suppress the decomposition of ethylene carbonate.
Scheme 2
Later studies showed that increasing the basicity of anion can increase the catalytic activity of ionic liquid. For example, the [SmIm]OH-MCF [34] and [C4DABCO]OH [35] can facilitate the transesterification reaction proceeding at mild temperature. Recently, the synergistic activation effect of the cations of ionic liquid has attracted much attention. With this in mind, our group developed [(TBD)2PEG150]Br2 [36], where the cation can cooperatively activate methanol with anion (Scheme 2). Bhanage group also designed the ionic liquid-based catalyst [DABCO–PDO]I [37] with hydrogen bond donor in its cation. This ionic liquid can activate methanol by its anion and activate EC by its cation simultaneously, providing 93% yield of DMC. Although these ionic liquids present better catalytic activity, the preparation procedure is still complicated and the strong basicity of these ionic liquids makes them sensitive to moisture, thus difficult to store.
The protic ionic liquids (PILs), which can be easily prepared by neutralization of Brønsted acid with Brønsted base, represent the important part in ionic liquid family. A key feature distinguishing PIL from other ILs is the coexistence of proton donor and acceptor, both of which can participate in substrate activation by forming hydrogen bond [38]. In view of this, we envisioned that the PILs are promising candidates for the transesterification reaction of EC and methanol and a high yield of DMC can be expected due to the synergistic activation effect. In this work, we screened different ionic liquids, including PILs and aprotic basic ionic liquids, in the synthesis of DMC and found that the protic ionic liquid [DBUH][Im] is a highly efficient catalyst for the transesterification reaction of EC with methanol. By optimizing the reaction parameters, up to 91% yield of DMC can be obtained and the mechanism investigation showed that the cation and anion of this protic ionic liquid can activate EC and methanol respectively by forming hydrogen bond.
The required ionic liquids were synthesized according to the published procedures [39-43] and characterized by NMR. Then the resulting ionic liquids were examinedfor theDMC synthesis reaction from EC with methanol and the resulting reaction mixture were analyzed using GC method (for details see Support information).
In the ionic liquid-catalyzed transesterification reaction, both the desired products DMC, EG and the intermediate (2-hydroxyethyl)methyl carbonate (HMEC) were detected as listed in Table 1. It is inferred that the formation of DMC undergoes two steps of transesterification and HEMC is the key intermediate. As different ionic liquid has different activation capacity for these two steps, the dependence of product distribution on the catalyst structure was observed. Even in the absence of any catalyst, the transesterification intermediate, i.e. HMEC, was produced with 30% yield (entry 1), which implies that the first-step transesterification has a really low activation energy. When employing ionic liquids as catalysts, the yield of DMC was improved due to the substrate activation (entries 2–10). Especially, when the DBU-based ionic liquids were used as catalysts, an increasing conversion of EC with the increasing basicity of anion can be observed (Table 2). This is consistent with the principle of alkali-catalyzed transesterification. For the yield of DMC, increasing the basicity of anion presents a positive effect with the exception of [DBUH][OAc]. The reason for the exceptionally low catalytic activity of [DBUH][OAc] for the second-step transesterification was unclear up to now.
Table 1
Table 1. Screening results for the ionic liquid catalyzed transesterification reaction of ethylene carbonate with methanol.a
Table 2
The screening results of anions showed that with [DBUH]+, the anion [Im]- was suitable for this reaction with 97% conversion of EC and 91% yield of DMC. Considering the cation may participate in the substrate activation, we then turned toward finding proper cation. With [Im]- as anion of the ionic liquid, when the cation part was changed to a quaternary phosphonium or a quaternary ammonium, the yields of DMC was reduced to 83% and 62%, respectively, even the conversion rate of EC was still above 90% (entries 9 and 10). These results emphasized the importance of the protic cation in this transesterification reaction. The control experiments were also performed by using imidazole or DBU as catalyst (entries 11 and 12). It can be seen that imidazole cannot promote the reaction as its basicity is not strong enough to activate MeOH. While for DBU, up to 97% conversion of EC and 90% yield of DMC were obtained probably owing to its strong basicity (pKa = 13 (H2O) [44]). Albeit presenting high efficiency, DBU encounters difficulty in recovery after reaction due to its low boiling point (Tb = 80–83 ℃/0.6 mmHg) [44]. Considering the catalytic activity and recyclability, the ionic liquid [DBUH][Im] is selected as the optimal catalyst for this transesterification reaction.
As above mentioned, both anion and cation of the ionic liquid can affect the reaction outcome. However, the cation effect is not obvious. For example, the ionic liquid [DBUH][Im] and [n-Bu4P] [Im] presented quite close results (entries 8 and 9). To find more details of the protic and aprotic ionic liquids, the amount of [DBUH] [Im] or [n-Bu4P][Im] was reduced from 1 mol% to 0.25 mol% relative to EC (Fig. 1). As for [DBUH][Im], most of the catalytic capacity was retained when the amount was reduced. Even only 0.25 mol% of [DBUH][Im] was used, the conversion of EC was 90% and the yield of DMC was 81%, providing the largest TON of 324. In contrast, the catalytic ability of [n-Bu4P][Im] reduced sharply when its usage was reduced to 0.25 mol%, with 80% conversion of EC and only 51% yield of DMC. It is inferred that the difference is originated from the activation capacity of the cation, i.e., [DBUH]+ by forming hydrogen bond with the C=O in EC. The synergistic activation effect of the cation and anion of [DBUH][Im] make it a highly efficient catalyst.
Figure 1
With 1 mol% [DBUH][Im] as catalyst, the other reaction parameters, including reaction time, mole ratio of methanol and EC as well as the reaction temperature were further investigated (Table 3). The results in Table 3 showed that when the mole ratio of methanol to EC is 15:1, 2 h is enough for the reaction to approach the equilibrium at 70 ℃ (entries 1–5). Then, the molar ratio of methanol to EC was screened from 5:1 to 20:1. The results showed that the conversion of EC and yield of DMC increased with this ratio and when the ratio exceeds 15:1, it has little effect on the reaction (entries 1 and 6–8).
Table 3
To verify the catalytic capacity of the protic ionic liquid [DBUH] [Im] at low temperature, the reaction was performed at 26 ℃ with the mole ratio of methanol to EC being set at 15:1. Surprisingly, the catalytic system still has high activity at room temperature with 94% conversion of EC and 81% yield of DMC for 6 h (entry 9). This means that the catalytic system has good temperature tolerance, which provides potential to reduce energy cost in commercial production.
The applicability of [DBUH][Im] for various alcohols including methanol, ethanol and iso-propanol in the transesterification reaction with EC was further investigated. The results listed in Table 4 showed that for EtOH and iPrOH, both the EC conversion and yield of dialkyl carbonate were reduced, which can be rationalized by the decreased acidity of hydroxylic hydrogen in these alcohols. As a result, the nucleophilic activation of these alcohols becomes difficult. Actually, in our previous study, the same trend was also observed [35].
Table 4
Subsequently, the reusability of [DBUH][Im] was investigated. To recover the ionic liquid, vacuum distillation was performed from 50 ℃ to 150 ℃ to sequentially remove methanol, DMC, EG, EC and HMEC, leaving the ionic liquid in the flask. Then, 10 mmol EC and 150 mmol methanol were filled into the flask containing the ionic liquid to begin the next run at 70 ℃. Ideally, the ionic liquidbased catalysts feature good reusability. However, in our investigation, the activity of [DBUH][Im] gradually decreased with the recycle numbers, which has been shown in Table 5. It is speculated that the partial decomposition of catalystas well as the formation of the neutral species is the main reason for the decreased activity in catalyst recycle [52].
Table 5
The optimized transesterification results catalyzed by [DBUH] [Im] was compared with the results of other ionic liquidspromoted synthesis of dimethyl carbonate (Table 6). It is found that the protic ionic liquid [DBUH][Im] has higher catalytic activity and leads to a faster reaction than most of the ionic liquids even only 1 mol% of ionic liquid was used. At room temperature, the protic ionic liquid still gave the comparable yield of DMC with other reported ionic liquids. It is inferred that the high efficiency of [DBUH][Im] is originated from the co-operative effect of the anion and cation in the ionic liquid for activation of the starting materials. As a hydrogen bonding donor, the protic cation [DBUH]+ is supposed to activate EC by interacting with carbonyl while for [Im]-, sufficient basicity makes it competent to activate MeOH. By contrast, for the previously reported ionic liquids, either the basicity of anions is not strong or the cation cannot activate the substrate. Moreover, compared with the complicated preparation process for other ionic liquids, the protic ionic liquids can be produced by a simple acid-base neutralization reaction.
Table 6
To verify the multisite activation capacity of the protic ionic liquid, the interaction between the substrates including EC and methanol and the catalyst [DBUH][Im] was characterized using NMR. Firstly, the 13CNMR of EC and the mixture of EC and different equivalent of ionic liquid [DBUH][Im] (2, 4, 6 equiv. to EC) was conducted using CDCl3 as solvent and the results were showed in Fig. 2. It can be seen that with the increasing quantity of protic ionic liquid, the chemical shift of carbonyl carbon in EC moved from the original 155.63 ppm to 154.74 ppm. This can be regarded as the evidence of the interaction between EC and [DBUH][Im] by forming the hydrogen bond between the N—H bond of the cation and C=O of EC.
Figure 2
Then the activation ability of [DBUH][Im] to methanol was determined by 1H NMR, wherein the 1H NMR spectra of methanol before and after adding [DBUH][Im] were recorded respectively. The comparison of the spectra showed that chemical shift of hydroxyl hydrogen in methanol moved from 4.10 ppm to 5.02 ppm (Fig. 3). This tendency of moving to lower field is a typical feature of hydrogen bond formation, which corroborates the fact that methanol can be activated by the protic ionic liquid [DBUH][Im].
Figure 3
Based on the NMR results, the plausible mechanism is inferred as Fig. 4. Firstly, the methanol is activated by forming hydrogen bond with the imidazolium anion. Then the methoxy group of the activated methanol attacks the carbonyl carbon activated by the cation [DBUH]+ to realize the first-step transesterification, generating the intermediate HMEC. Next, the activated methanol molecule attacks the activated carbonyl carbon to form DMC and EG, releasing the protic ionic liquid to participate in the next run of the reaction (Fig. 4). Although the basicity of imidazole anion is weaker than hydroxyl ion, which was employed in previously reported ionic liquid catalysts, the improved catalytic activity of [DBUH][Im] can be explained by the synergistic effect of the protic cation on EC.
Figure 4
To conclude, we reported herein a highly efficient protic ionic liquid catalyst, i.e., [DBUH][Im], for the transesterification of EC with methanol to produce DMC. Under the optimized conditions, the reaction running at 70 ℃ can be completed in 2 h with 91% DMC yield. Even at ambient temperature, 81% yield of DMC can still be obtained. The mechanism investigation showed that the cation and anion of this protic ionic liquid can activate EC and methanol respectively by forming hydrogen bond. Accordingly, the ionic liquid [DBUH][Im] can be regarded as the bifunctional catalyst and the possible reaction path was proposed. Albeit the reusability of this protic ionic liquid need to be further improved, Its features of commercial availability and storage stability make it to rival the previously reported ionic liquid-based catalysts.
Acknowledgments
We thank the Ministry of Science and Technology of China (National Key Research and Development Program, No. 2016YFA0602900), the National Natural Science Foundation of China (No. 21672119) for financial support.
Appendix A. Supplementary data
Supplementary material related to this article can be found, in the online version, at doi:https://doi.org/10.1016/j.cclet.2019.07.053.
-
-
[1]
S.I. Fujita, B.M. Bhanage, Y. Ikushima, M. Arai, Green Chem. 3(2001) 87-91. doi: 10.1039/b100363l
-
[2]
M.A. Pacheco, C.L. Marshall, Energy Fuel 11(1997) 2-29. doi: 10.1021/ef9600974
-
[3]
T. Wei, M.H. Wang, W. Wei, Y.H. Sun, B. Zhong, Green Chem. 5(2003) 343-346. doi: 10.1039/b210716n
-
[4]
P. Tundo, M. Selva, Acc. Chem. Res. 35(2002) 706-716. doi: 10.1021/ar010076f
-
[5]
A.A.G. Shaikh, S. Sivaram, Chem. Rev. 96(1996) 951-976. doi: 10.1021/cr950067i
-
[6]
J.H. Clements, Ind. Eng. Chem. Res. 42(2003) 633-674. https://www.researchgate.net/publication/228597088_Reactive_Application_of_Cyclic_Alkylene_Carbonates
-
[7]
D. Delledonne, F. Rivetti, U. Romano, Appl. Catal. A:Gen. 221(2001) 241-251. doi: 10.1016/S0926-860X(01)00796-7
-
[8]
Y. Ono, Appl. Catal. A:Gen. 155(1997) 133-166. doi: 10.1016/S0926-860X(96)00402-4
-
[9]
U. Romano, R. Tesel, M.M. Mauri, et al., Ind. Eng. Chem. Prod. Ees. Dev.19(1980) 396-403. https://www.researchgate.net/publication/231300499_Synthesis_of_Dimethyl_Carbonate_from_Methanol_Carbon_Monoxide_and_Oxygen_Catalyzed_by_Copper_Compounds
-
[10]
T. Matsuzaki, A. Nakamura, Catal. Surv. Asia 1(1997) 77-78. doi: 10.1023/A:1019020812365
-
[11]
B.M. Bhanage, S.I. Fujita, Y. Ikushimabc, M. Arai, Green Chem. 5(2003) 429-432. doi: 10.1039/b304182d
-
[12]
J. Sun, B. Yang, X. Wang, et al., J. Mol. Catal. A:Chem. 239(2005) 82-86. doi: 10.1016/j.molcata.2005.06.001
-
[13]
C.F. Li, S.H. Zhong, Catal. Today 82(2003) 83-90. doi: 10.1016/S0920-5861(03)00205-0
-
[14]
C. Jiang, Y. Guo, C. Wang, et al., Appl. Catal. A:Gen. 256(2003) 203-212. doi: 10.1016/S0926-860X(03)00400-9
-
[15]
M. Aresta, A. Dibenedetto, E. Fracchiolla, et al., J. Org. Chem. 70(2005) 6177-6186. doi: 10.1021/jo050392y
-
[16]
S. Fang, K. Fujimoto, Appl. Catal. A:Gen. 142(1996) L1-L3. doi: 10.1016/0926-860X(96)00081-6
-
[17]
B.M. Bhanage, S.I. Fujita, Y. Ikushima, et al., Green Chem. 5(2003) 71-75. doi: 10.1039/b207750g
-
[18]
J.F. Knifton, R.G. Duranleau, J. Mol. Catal. 67(1991) 389-399. doi: 10.1016/0304-5102(91)80051-4
-
[19]
P.D. Filppis, M. Scarsella, C. Borgianni, et al., Energy Fuel 20(2005) 17-20. https://www.researchgate.net/publication/231271577_Production_of_Dimethyl_Carbonate_via_Alkylene_Carbonate_Transesterification_Catalyzed_by_Basic_Salts
-
[20]
M. Han, B. Lee, B. Ahn, et al., React. Kinet. Catal. Lett. 73(2001) 33-38. doi: 10.1023/A:1013904317108
-
[21]
G.F. Richard, A.S. David, J. Am. Chem. Soc. 105(1983) 7605-7617. doi: 10.1021/ja00364a023
-
[22]
M. Sankar, C.M. Nair, K.V.G.K. Murty, et al., Appl. Catal. A:Gen. 312(2006) 108-114. doi: 10.1016/j.apcata.2006.06.034
-
[23]
E.S. Jeong, K.H. Kim, D.W. Park, et al., Kinet. Catal. Lett. 86(2005) 241-248. doi: 10.1007/s11144-005-0318-y
-
[24]
M.B. Bhalchandra, S.I. Fujitaa, Y. Ikushimabc, et al., Appl. Catal. A:Gen. 219(2001) 259-266. doi: 10.1016/S0926-860X(01)00698-6
-
[25]
T. Wei, M. Wang, W. Wei, et al., Green Chem. 5(2003) 343-346. doi: 10.1039/b210716n
-
[26]
H. Abimanyu, C.S. Kim, B.S. Ahn, et al., Catal. Lett. 118(2007) 30-35. doi: 10.1007/s10562-007-9091-z
-
[27]
Y. Watanabe, T. Tatsumi, Microporous Mesoporous Mater. 22(1998) 399-407. doi: 10.1016/S1387-1811(98)00099-7
-
[28]
B.M. Bhanage, S. Fujita, Y. He, et al., Catal. Lett. 83(2002) 137-141. doi: 10.1023/A:1021065409888
-
[29]
S.M. Dhuri, V.V. Mahajani, J. Chem. Technol. Biotechnol. 81(2006) 62-69. doi: 10.1002/jctb.1358
-
[30]
H.Y. Ju, M.D. Manju, D.W. Park, et al., React. Kinet. Catal. Lett. 90(2007) 3-9. doi: 10.1007/s11144-007-4965-z
-
[31]
K.H. Kim, D.W. Kim, C.W. Kim, et al., Korean J. Chem. Eng. 27(2010) 1441-1445. doi: 10.1007/s11814-010-0229-0
-
[32]
D.W. Kim, C.W. Kim, J.C. Koh, et al., J. Ind. Eng. Chem. 16(2010) 474-478. doi: 10.1016/j.jiec.2010.01.054
-
[33]
D.W. Kim, D.O. Limb, D.H. Choc, et al., Catal. Today 164(2011) 556-560. doi: 10.1016/j.cattod.2010.11.010
-
[34]
J. Xua, H.T. Wua, C.M. Ma, et al., Appl. Catal. A:Gen. 464(2013) 357-363. https://www.sciencedirect.com/science/article/abs/pii/S0926860X13003463
-
[35]
Z.Z. Yang, L.N. He, X.Y. Dou, et al., Tetrahedron Lett. 51(2010) 2931-2934. doi: 10.1016/j.tetlet.2010.03.114
-
[36]
Z.Z. Yang, Y.N. Zhao, L.N. He, et al., Green Chem. 14(2012) 519-527. doi: 10.1039/c2gc16039k
-
[37]
V.B. Saptal, B.M. Bhanage, ChemCatChem 8(2016) 244-250. doi: 10.1002/cctc.201501044
-
[38]
T.L. Greaves, C.J. Drummond, Chem. Rev. 108(2008) 206-237. doi: 10.1021/cr068040u
-
[39]
J.Y. Hu, J. Ma, Q.G. Zhu, et al., Angew. Chem. Int. Ed. 54(2015) 5399-5403. doi: 10.1002/anie.201411969
-
[40]
Y.F. Zhao, B. Yu, Z.Z. Yang, et al., Angew. Chem. Int. Ed. 53(2014) 5922-5925. doi: 10.1002/anie.201400521
-
[41]
K. Walczak, E.B. Pedersen, C. Nielsen, Acta Chem. Scand. 52(1998) 935-941. doi: 10.3891/acta.chem.scand.52-0935
-
[42]
G.M. Dulcevscaia, V.C. Kravtsov, F.Z. Macaev, et al., Polyhedron 52(2013) 106-114. doi: 10.1016/j.poly.2012.10.040
-
[43]
H.Martin, M.A.C.Sami, L.Gabor, etal., Angew.Chem.Int.Ed.56(2017)10559-10563. doi: 10.1002/anie.201705438
-
[44]
A. Sandstroem, J. Chattopadhyaya, Chem. Commun. 11(1987) 862-864.
-
[45]
J.P. Guthrie, J. Am. Chem. Soc. 100(1978) 5892-5904. doi: 10.1021/ja00486a048
-
[46]
I.M. Kolthoff, K. Chantooni, S. Bhowmik, J. Am. Chem. Soc. 90(1968) 23-28. doi: 10.1021/ja01003a005
-
[47]
W. Bartok, R.B. Hartman, P.J. Lucchesi, Photochem. Photobiol. 4(1965) 499-504. doi: 10.1111/j.1751-1097.1965.tb09766.x
-
[48]
A. Albert, R. Goldacre, J. Phillips, J. J. Chem. Soc. (1948) 2240-2249.
-
[49]
M.M. Fickling, A. Fischer, B.R. Mann, J. Am. Chem. Soc. 81(1959) 4226-4230. doi: 10.1021/ja01525a027
-
[50]
D.J. Hupe, D. Wu, P. Shepperd, J. Am. Chem. Soc. 99(1977) 7659-7662. doi: 10.1021/ja00465a039
-
[51]
G. Yagil, Tetrahedron 23(1967) 2855-2861. doi: 10.1016/0040-4020(67)85151-2
-
[52]
L.G. Tamar, J.D. Calum, Chem. Rev. 108(2008) 206-237. doi: 10.1021/cr068040u
-
[1]
-
Table 1. Screening results for the ionic liquid catalyzed transesterification reaction of ethylene carbonate with methanol.a
Table 2. pKa of the anion of protic ionic liquids.
Table 3. Effect of reaction parameters on transesterification.a
Table 4. Scope of alcohol for the synthesis of dialkyl carbonate.a
Table 5. Reusability of [DBUH][Im].a
Table 6. Comparison of different ionic liquid catalytic systems.
-
扫一扫看文章
计量
- PDF下载量: 6
- 文章访问数: 1600
- HTML全文浏览量: 23

DownLoad:
下载:
下载: