 
						
						 
				
			
			Citation: KOU Wei, ZHANG Hua, KONSTANTIN Chingin, CHEN Huan-Wen. Charged Bubble Extractive Ionization Mass Spectrometry for Protein Analysis[J]. Chinese Journal of Analytical Chemistry, 2017, 45(12): 1937-1943. doi: 10.11895/j.issn.0253-3820.171358
 
				
			
			溶液中蛋白质的气液荷电萃取电离质谱研究
English
Charged Bubble Extractive Ionization Mass Spectrometry for Protein Analysis
- 
								Key words:
								
- Protein sample
- / Bubble
- / Charged bubble extractive ionization
- / Mass spectrometry
- 
									
	
			
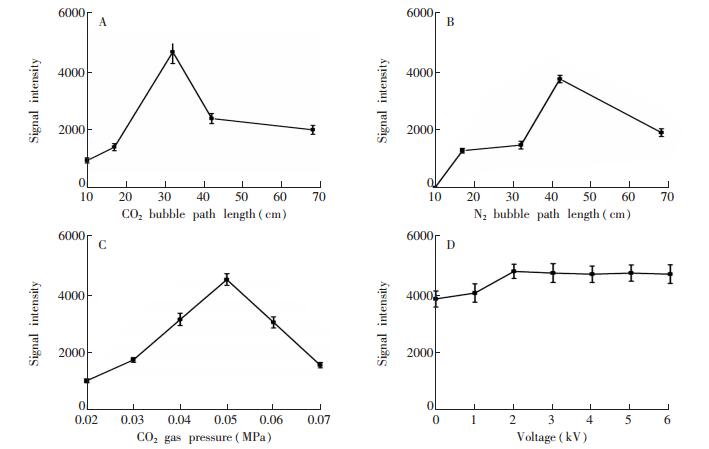
									1. 引言复杂样品中蛋白组分的分离分析是生命科学研究的重要内容,也是蛋白质分析科学的前沿和热点领域之一。常用分离技术包括层析分离[1]、电泳分离[2]、色谱分离[3, 4]等。凝胶电泳[5]是分离复杂生物样品中蛋白质的常用方法,电泳分离后的蛋白质可进行酶解提取,再用色谱-质谱分析。由于该过程需要蛋白质水解、提取或脱盐等繁杂手续,导致耗时、低效,且易造成蛋白质流失。为了获取纯化的蛋白组分,通常需要溶质析出、透析、超滤、色谱分离、化学提取、冷冻干燥、重结晶等多步骤精细处理过程,使其无法满足复杂样品中蛋白组分高通量分析的实际需求。因此,开发复杂生物样品中蛋白组分直接分析的高灵敏方法具有重要意义。 近年来快速发展起来的常压电离质谱技术可在无需样品预处理的条件下直接检测复杂基体样品中的痕量待测组分,为复杂基体样品的直接、快速分析提供了新手段。常压直接电离技术如电喷雾解吸电离(DESI)[6]、常压化学电离(ACDI)[7]、电喷雾萃取电离(EESI)[8, 9]、超声喷雾电离(SSI)[10]和纸喷雾(PS)[11]等已被用于复杂样品中蛋白组分的快速分析,而且在蛋白结构测定[12]、酶活检测[13]、蛋白相互作用[14]等方面也取得了重要进展。但因生物样品的复杂性和特异性,探索生物样品中痕量蛋白组分快速质谱分析的新原理仍然具有重要的现实意义。本研究采用自行搭建的气液荷电萃取电离(CBEI)装置,可直接实现溶液中蛋白组分的荷电萃取和快速质谱分析。系统考察了不同萃取气体(如N2和CO2)、气泡路径长度、溶液电压、气压等条件对溶液中溶菌酶蛋白荷电萃取电离的影响。结果表明,与相同条件下所获得的溶菌酶ESI-MS谱图相比,气液荷电萃取电离方法可获得更多低价态的蛋白质多电荷离子,且对溶液中的非挥发性无机盐具有更强的耐受性。本方法具有无需样品预处理、无化学试剂污染等特点,可快速实现溶液中蛋白组分的直接质谱分析,有望为生物蛋白样品的研究提供一种质谱分析新方法。 2. 实验部分2.1 仪器与试剂气液荷电萃取电离装置为本实验室自制; Orbitrap FusionTM TribridTM质谱(美国Thermo Scientific公司),配有Xcalibur 3.0数据处理系统。溶菌酶(纯度95%)、细胞色素C(纯度95%)和肌红蛋白(纯度95%~100%)均购于北京索莱宝科技有限公司; 辣根过氧化物酶(酶活性≥250.0 U/mg,国药集团化学试剂有限公司); 醋酸铵(色谱纯,美国Fisher公司); 实验用水由Milli-Q超纯水净化装置(美国Millipore公司)制备。 2.2 实验装置与测定方法两种实验装置如图 1所示。装置1的基本参数如下:气溶胶出口与质谱入口距离a为7.5 mm; 气溶胶出口直径b为25 mm; 玻璃容器内径c为110 mm; 容器整体的容积约600 mL,实验时加入样品溶液约250 mL; 气体扩散器的孔径约100 μm。将浓度为10-6 mol/L溶菌酶的醋酸铵(2 mmol/L)溶液置于装置1的玻璃容器内,通过一根导线向溶液施加一定的电压,并用一根金属线缠绕在玻璃容器的外壁与地线相连。装置2的基本参数如下:玻璃管顶端与质谱入口的距离a为7.5 mm; 玻璃管顶端的气溶胶出口直径b为5 mm; 玻璃管内径c为25 mm; 容器整体的容积约520 mL,实验时加入样品溶液的量为6~160 mL; 气体扩散器孔径约为100 μm。将浓度为10-6 mol/L溶菌酶的醋酸铵(2 mmol/L)溶液置于装置2的玻璃管内,通过一根导线向溶液施加一定的电压,并用锡箔纸包覆在玻璃管的外壁与地线相连。两种装置的工作原理如下:在电场的作用下溶液中的蛋白分子带电,由容器底端通入的气体经气体扩散器后形成小气泡, 气泡对溶液中的目标分子蛋白具有一定的选择性作用,气泡上升的过程中可将溶液中的蛋白分子富集到气泡表面,从而实现了溶液中蛋白分子的萃取分离,也减少了小分子、无机盐的干扰,从而减弱了它们对蛋白质电离的抑制效应。气泡达到溶液表面后破裂,形成含蛋白分子的带电气溶胶,经过去溶后形成气相蛋白质分子离子直接进入质谱仪获得检测。质谱仪采用正离子扫描模式; 离子传输管温度为320℃; 质量扫描范围为m/z 100~4000 Da; 其它检测参数由质谱仪系统自动优化得到。 图 1 图 1. 气液荷电萃取电离质谱装置示意图。A.装置1; B.装置2Figure 1. Schematic diagram of the charged bubble extractive ionization mass spectrometry platform. A. device 1; B. device 2 图 1. 气液荷电萃取电离质谱装置示意图。A.装置1; B.装置2Figure 1. Schematic diagram of the charged bubble extractive ionization mass spectrometry platform. A. device 1; B. device 23. 结果与讨论3.1 溶菌酶溶液的气液荷电萃取电离质谱分析控制CO2气体压强为0.2 MPa,气泡路径长度(溶液高度)为3 cm,按照2.2节的方法,采用装置1对10-6 mol/L溶菌酶-醋酸铵(2 mmol/L)溶液进行气液荷电萃取电离质谱分析。从图 2B可见,出现了特征质谱峰,如m/z 2862(z=5)、m/z 2385(z=6)、m/z 2044(z=7)、m/z 1789(z=8)、m/z 1590(z=9),这表明装置1可检测到溶菌酶多电荷离子(z=5~9),但是信号强度及信噪比较差。可能的原因如下: (1)装置1本身的高度和容量使气泡路径长度较短,导致气泡对溶液中蛋白的富集效果较差; (2)装置1中气泡破裂产生的气溶胶大部分被容器内壁阻挡回落; (3)装置1气溶胶出口太宽,气溶胶束发散,导致进入质谱口的样品离子较少。 图 2控制CO2气体压强为0.05 MPa,气泡路径长度为32 cm,按照2.2节的方法采用装置2对10-6 mol/L溶菌酶-醋酸铵(2 mmol/L)溶液进行气液荷电萃取电离质谱分析。从图 2A可见,溶菌酶的特征离子价态分布主要集中在z=6~9的范围,其中相对丰度最高的离子为m/z 1789(z=8)。此结果进一步表明,气液荷电萃取电离方法可获得蛋白质的多电荷离子,是一种软电离方式。对比谱图 2A和2B,可见采用装置2所得的信号强度和信噪比都较强,因此后续实验均采用装置2进行气液荷电萃取电离。实际工作中,可通过缩小样品管的内径来进一步减小样品溶液的用量。例如,将样品管的内径缩小到10 mm时,需要的样品溶液的用量约为25 mL; 而当内径小于1 cm时,样品用量仅为数毫升,可大大地减小样品用量。需要指出的是,当样品液管内径太小时,样品管内的样品容易形成气泡间隔的液柱,尚需进一步研究如何提高离子的形成效率。 3.2 实验条件的优化分别考察了CO2和N2气体对溶菌酶多电荷离子(带电荷数z=6~9)总信号强度的影响。如图 3A和3B所示,利用CO2进行实验比N2所得信号强度普遍更高。可能是CO2分子更易与蛋白表面的基团形成氢键,从而增强了CO2气体分子与目标蛋白的相互作用,导致在气液表面可富集更多的溶菌酶分子,进而提高了萃取效率。因此实验选择CO2气体作为气源。 图 3在溶液高度为10、17、32、42和68 cm的条件下,探究了不同气泡路径长度对溶菌酶多电荷离子(带电荷数z=6~9)总信号强度的影响。如图 3A和3B所示,随着气泡路径长度的增加,溶菌酶多电荷离子的总信号强度呈先上升后下降的趋势,且利用CO2和N2分别在溶液高度为32和42 cm处有最强信号强度。可能是由于随着气泡路径长度的增加,气泡萃取的时间延长,使气泡表面可富集更多的溶菌酶分子,从而提高了萃取效率,使得信号强度增加; 但当气泡路径长度过长时,会使小气泡之间发生汇聚,形成更大尺寸的气泡,反而使萃取效率降低,信号强度会逐渐降低。因此选择32 cm为最佳的气泡路径长度。 在CO2为气源气体、气泡路径长度为32 cm的条件下,考察了不同的CO2气压(0.02、0.03、0.04、0.05、0.06和0.07 MPa)对溶菌酶多电荷离子(带电荷数z=6~9)总信号强度的影响。如图 3C所示,在0.02~0.05 MPa范围内,溶菌酶多电荷离子(带电荷数z=6~9)的总信号强度逐渐增强。可能的原因是气压的增加使气泡数量增多,从而提高了萃取效率; 当气压超过0.05 MPa后,信号逐渐减弱,可能是由于一方面气压过大导致形成的气泡体积太大,且大气泡更易汇聚成更大的气泡,不利于蛋白分子的萃取; 另一方面,气压过大也不利于质谱进样,从而导致信号强度减弱。因此实验选择0.05 MPa为最佳CO2气压。 由于外加电压影响蛋白的离子化效率,进而影响蛋白检测的信号强度。因此,在CO2气体压强为0.05 MPa,气泡路径长度为32 cm的条件下,考察了外加电压大小对溶菌酶多电荷离子(带电荷数z=6~9)总信号强度的影响。如图 3D所示,外加电压在0~2 kV的范围内信号强度逐渐增加,这可能是由于外加电压提高了蛋白分子的离子化效率; 当外加电压大于2 kV时,信号强度基本保持不变。因此选择2 kV为最佳的外加电压。 在优化的实验条件下,选取浓度分别为1×10-9 mol/L、1×10-8 mol/L、1×10-7 mol/L和1×10-6 mol/L的溶菌酶的醋酸铵(2 mmol/L)溶液,初步探究了本方法对溶菌酶蛋白检测的灵敏度,结果表明,本方法对溶菌酶蛋白的检出限为1×10-8 mol/L,说明本方法具有较高的灵敏度。 3.3 气泡萃取电离的脱盐效果在优化的实验条件和醋酸铵浓度为2 mmol/L的缓冲体系下,对不含NaCl和含1、10 mmol/L NaCl的溶菌酶溶液分别进行ESI-MS和气液荷电萃取电离质谱分析。图 4A和4C分别是不含NaCl和含1 mmol/L NaCl的溶菌酶(10-6 mol/L)溶液的ESI-MS谱图,图 4E是含10 mmol/L NaCl的溶菌酶(10-5 mol/L)溶液的ESI-MS谱图。结果表明,加入NaCl后,ESI-MS所得谱图信噪比明显变差,信号强度也显著降低,甚至检测不到含10 mmol/L NaCl的溶菌酶(10-5 mol/L)溶液中溶菌酶特征峰的信号。图 4B和4D分别是用气液荷电萃取电离对不含NaCl和含1 mmol/L NaCl的溶菌酶(10-6 mol/L)溶液质谱分析的谱图,图 4F是用气液荷电萃取电离对含10 mmol/L NaCl的溶菌酶(10-5 mol/L)溶液质谱分析的谱图。结果表明,加入1 mmol/L NaCl后,气液荷电萃取电离所得谱图信噪比保持较好,信号强度无明显变化。而加入10 mmol/L NaCl溶液中所得谱图的信噪比变差,信号强度也有所下降,但是依然可以检测到溶菌酶的特征信号,其中m/z 1433和1794分别为[M+Na]10+和[M+H2O+Na]8+的特征峰。此结果进一步表明气液荷电萃取电离较ESI-MS更能耐受溶液中非挥发性无机盐的干扰。 图 4 图 4. ESI-MS与气液荷电萃取电离质谱脱盐效果比较 图 4. ESI-MS与气液荷电萃取电离质谱脱盐效果比较A、C和E分别为1×10-6 mol/L的溶菌酶溶液中含NaCl浓度为0、1和0.01 mmol/L溶菌酶溶液中含10 mmol/L NaCl的ESI-MS谱图; B、D和F分别为1×10-6 mol/L的溶菌酶溶液中含NaCl浓度为0、1和0.01 mol/L溶菌酶溶液中含10 mmol/L NaCl的气液荷电萃取电离质谱图 Figure 4. Comparison of desalting effects in charged bubble extractive ionization mass spectrometry (CBEI-MS) and ESI-MS. ESI-MS analysis of lysozyme solution (1×10-6 mmol/L) containing 0 mmol/L (A), 1 mmol/L NaCl (C) and lysozyme solution (1×10-5 mol/L) containing 10 mmol/L NaCl solute (E); charged bubble extractive ionization mass spectrometry analysis of lysozyme solution (1×10-6 mol/L) containing 0 mmol/L (B), 1 mmol/L NaCl (D) and lysozyme solution (1×10-5 mol/L) containing 10 mmol/L NaCl solute (F)另外,参考文献[14]的溶液配制方法,对以超纯水稀释200倍后的尿液作为溶剂、在2 mmol/L醋酸铵的缓冲体系下配制含溶菌酶1×10-6 mol/L和1×10-7 mol/L的溶液进行荷电萃取电离分析。1×10-6 mol/L溶菌酶谱图的信噪比较好(图 5A),信号强; 1×10-7 mol/L溶菌酶依然可以检测到特征信号(图 5B),但是谱图的信噪比变差,信号强度也变弱。多次实验表明,在尿液基质中溶菌酶的检出限为1×10-7 mol/L,接近水溶液中溶菌酶的检出限(1×10-8 mol/L)。如果以未经稀释的尿液为溶剂,能产生较为丰富的泡沫,在CO2气体压强0.06 MPa、外加电压2 kV的条件下,对6 mL含有1×10-5 mol/L溶菌酶的原始尿液直接进行质谱分析,成功检测到了溶菌酶的特征信号(图 5C),表明本方法能较好地承受尿液基质的影响。 图 5 图 5. 尿液中痕量蛋白的气液荷电萃取电离质谱检测。*表示背景离子Figure 5. Detection of trace protein in urine by charged bubble extractive ionization mass spectrometry 图 5. 尿液中痕量蛋白的气液荷电萃取电离质谱检测。*表示背景离子Figure 5. Detection of trace protein in urine by charged bubble extractive ionization mass spectrometryConcentration of lysozyme in urine diluted (200 times in ultrapure water) (A) 1×10-6 mol/L, (B) 1×10-7 mol/L, concentration of lysozyme in undiluted urine (C) 1×10-5 mol/L. (note: * represents background ion) 3.4 气液荷电萃取电离对其它蛋白质的检测将气液荷电萃取电离装置应用于其它蛋白质的检测,结果见图 6。从细胞色素C的谱图(图 6A)可清楚地观察到细胞色素C不同价态的多电荷离子,如m/z 3090(z=4)、m/z 2473(z=5)、m/z 2061(z=6)、m/z 1766(z=7)、m/z 1546(z=8)、m/z 1374(z=9)等的信号; 从肌红蛋白的谱图(图 6B)也可明显观察到完整肌红蛋白不同价态的多电荷离子,如m/z 2929(z=6)、m/z 2510(z=7)、m/z 2197(z=8)、m/z 1957(z=9)及丢失血红素辅基(m/z 616)后形成的m/z 2826(z=6)、m/z 2422(z=7)、m/z 2120(z=8)、m/z 1885(z=9)等信号,此结果进一步表明气液荷电萃取电离装置可很好地检测到细胞色素C和肌红蛋白的信号,对其它蛋白质的检测具有一定的普适性。 图 6另外,选取辣根过氧化物酶作为待测蛋白,采用文献[15]报道的方法,在气溶胶出口上方放置一倾斜的玻璃片,收集气液荷电萃取电离产生的蛋白气溶胶,按照国标方法[16],以未经气液荷电萃取电离的原溶液酶活性100%为参考,经计算气液荷电萃取后辣根过氧化物酶的酶活性约为53.9%,而文献[8]报道经过常规ESI后的酶活性仅为0.001%~3.4%。上述结果表明,气液荷电萃取电离后辣根过氧化物酶仍可保持一定的活度,进一步说明本方法是一种较软的电离方式。 4. 结论采用气液荷电萃取电离质谱技术,利用气体直接对溶液中的蛋白组分进行在线荷电萃取电离,获得蛋白气溶胶并直接进入质谱仪,实现溶液中蛋白组分的快速质谱分析。在优化的实验条件下,可实现对溶菌酶(z=6~9)、细胞色素C(z=4~9)及肌红蛋白(z=6~9)多电荷离子的直接质谱分析。对溶菌酶多电荷离子(带电荷数z=6~9)进行检测发现,与同等条件下ESI-MS所获得的谱图相比,气液荷电萃取电离可以获得更多低价态的蛋白质离子,且电离后的蛋白离子能够保持50%以上的酶活性,说明本方法对溶液中的小分子及非挥发性无机盐具有更强的耐受性。信号强度不受样品管内径大小影响,所用尿液最小体积为6 mL,但对珍稀样品可进一步减少用量。本方法具有无需复杂样品预处理、无化学试剂污染的特点,有望为复杂基质中蛋白分析提供一种新方法。 
 
- 
							
- 
			
                    [1]
                
			Sharpe J C, London E. Anal. Biochem., 1997, 250(1):124-125 doi: 10.1006/abio.1997.2210 
- 
			
                    [2]
                
			Tüma P. J. Sep. Sci., 2017, 40(4):940-947 doi: 10.1002/jssc.201601213 
- 
			
                    [3]
                
			Largy E, Cantais F, Van Vyncht G, Beck A, Delobel A. J. Chromatogr. A, 2017, 1498:128-146 doi: 10.1016/j.chroma.2017.02.072 
- 
			
                    [4]
                
			Ahamed T, Chilamkurthi S, Nfor B K, Verhaert P D, van Dedem G W, van der Wielen L A, Ottens M. J. Chromatogr. A, 2008, 1194(1):22-29 doi: 10.1016/j.chroma.2007.11.111 
- 
			
                    [5]
                
			Fridriksson E K, Baird B, McLafferty W. J. Am. Soc. Mass Spectrom., 1999, 10(5):453-455 doi: 10.1016/S1044-0305(99)00012-4 
- 
			
                    [6]
                
			Ferguson C N, Benchaar S A, Miao Z, Loo J A, Chen H. Anal. Chem., 2011, 83(17):6468-6473 doi: 10.1021/ac201390w 
- 
			
                    [7]
                
			梁钜超, 屈颖, 于苗苗, 徐玲玲, 刘亚洁, 孙占学, 陈焕文.分析化学, 2016, 44(11):1721-1727 doi: 10.11895/j.issn.0253-3820.160531LIANG Ju-Chao, QU Ying, YU Miao-Miao, XU Ling-Ling, LIU Ya-Jie, SUN Zhan-Xue, CHEN Huan-Wen. Chinese J. Anal. Chem., 2016, 44(11):1721-1727 doi: 10.11895/j.issn.0253-3820.160531 
- 
			
                    [8]
                
			Hu B, Yang S, Li M, Gu H, Chen H. Analyst, 2011, 136(18):3599-3601 doi: 10.1039/c1an15410a 
- 
			
                    [9]
                
			Chen H, Yang S, Li M, Hu B, Li J, Wang J. Angew. Chem. Int. Ed., 2010, 49(17):3053-3056 doi: 10.1002/anie.200906886 
- 
			
                    [10]
                
			Antonakis M M, Tsirigotaki A, Kanaki K, Milios C J, Pergantis S A. J. Am. Chem. Soc., 2013, 24(8):1250-1259 
- 
			
                    [11]
                
			Liu X, Gu Z, Guo Y, Liu J, Ma M, Chen B, Wang L. J. Pharmaceut. Biomed., 2017, 137:204-212 doi: 10.1016/j.jpba.2017.01.034 
- 
			
                    [12]
                
			Dell A, Morris H R. Science, 2001, 291(5512):2351-2356 doi: 10.1126/science.1058890 
- 
			
                    [13]
                
			Zhang H, Chingin K, Zhu L, Chen H. Anal. Chem., 2015, 87(5):2878-2883 doi: 10.1021/ac504371z 
- 
			
                    [14]
                
			Trinkle-Mulcahy L, Boulon S, Lam Y W, Urcia R, Boisver F M, Vandermoere F, Lamond A. J. Cell Biol., 2008, 183(2):223-239 doi: 10.1083/jcb.200805092 
- 
			
                    [15]
                
			Chingin K, Cai Y, Chagovets V, Kononikhin A, Starodubtseva N, Frankevich V, Chen H. Metabolomics, 2016, 12(11):171 doi: 10.1007/s11306-016-1122-6 
- 
			
                    [16]
                
			粮油检验粮食、油料的过氧化氢酶活动度的测定. 中华人民共和国国家标准. GB/T 5522-2008GB/T 5522-2008, Inspection of grains and oils-Determination of hydrogen peroxidase activity of grain and oilseeds. National Standards of the People's Republic of China 
 
- 
			
                    [1]
                
			
- 
							
    
    
图 4 ESI-MS与气液荷电萃取电离质谱脱盐效果比较 Figure 4 Comparison of desalting effects in charged bubble extractive ionization mass spectrometry (CBEI-MS) and ESI-MS. ESI-MS analysis of lysozyme solution (1×10-6 mmol/L) containing 0 mmol/L (A), 1 mmol/L NaCl (C) and lysozyme solution (1×10-5 mol/L) containing 10 mmol/L NaCl solute (E); charged bubble extractive ionization mass spectrometry analysis of lysozyme solution (1×10-6 mol/L) containing 0 mmol/L (B), 1 mmol/L NaCl (D) and lysozyme solution (1×10-5 mol/L) containing 10 mmol/L NaCl solute (F) A、C和E分别为1×10-6 mol/L的溶菌酶溶液中含NaCl浓度为0、1和0.01 mmol/L溶菌酶溶液中含10 mmol/L NaCl的ESI-MS谱图; B、D和F分别为1×10-6 mol/L的溶菌酶溶液中含NaCl浓度为0、1和0.01 mol/L溶菌酶溶液中含10 mmol/L NaCl的气液荷电萃取电离质谱图 图 5 尿液中痕量蛋白的气液荷电萃取电离质谱检测。*表示背景离子 Figure 5 Detection of trace protein in urine by charged bubble extractive ionization mass spectrometry Concentration of lysozyme in urine diluted (200 times in ultrapure water) (A) 1×10-6 mol/L, (B) 1×10-7 mol/L, concentration of lysozyme in undiluted urine (C) 1×10-5 mol/L. (note: * represents background ion) 
- 
							
							  
 扫一扫看文章
						扫一扫看文章
					计量
- PDF下载量: 1
- 文章访问数: 713
- HTML全文浏览量: 72

 
				 下载:
下载: 
						 
						 
						 
						 下载:
下载: 
				 下载:
下载: 
				 
            