Citation: LI Jing-Jing, LI Hui, JIA Li-Ping, MA Rong-Na, JIA Wen-Li, WANG Huai-Sheng. Construction of Nonenzymatic Glucose Sensor Based on One Step Preparation of Poly(3, 4-ethylenedioxythiophene) Graphene Composite Materials by Pulse Potentiostatic Method[J]. Chinese Journal of Analytical Chemistry, 2017, 45(12): 2004-2010. doi: 10.11895/j.issn.0253-3820.171306
脉冲恒电位一步法制备聚3, 4-乙烯二氧噻吩石墨烯复合材料构建无酶葡萄糖传感器
-
关键词:
- 聚3, 4-乙烯二氧噻吩
- / 石墨烯复合材料
- / 纳米镍
- / 葡萄糖
- / 无酶传感器
English
Construction of Nonenzymatic Glucose Sensor Based on One Step Preparation of Poly(3, 4-ethylenedioxythiophene) Graphene Composite Materials by Pulse Potentiostatic Method
-
Key words:
- Poly-3, 4-ethylenedioxythiophene
- / Graphene composites
- / Nano-nickel
- / Glucose
- / Nonenzyematic sensor
-
1. 引言
糖尿病发病率日益增高,已成为全球范围内严重的公共卫生问题。糖尿病与胰岛素缺乏或抗胰岛素引起的糖代谢紊乱密切相关,因而准确有效地测定血糖浓度,对监测糖尿病以及防止严重的并发症如心脏病、肾衰竭、高血压、神经损伤和失明等至关重要[1]。目前葡萄糖的检测方法主要有化学发光法[2]、表面增强拉曼散射光谱法[3]、质谱法[4]、比色法[5]、荧光法[6, 7]和电化学法[8],其中,电化学法以其灵敏度高、检测速度快、成本低、操作步骤简单等特点而备受关注。
葡萄糖传感器是一种非常有潜力的电化学传感技术,为临床血糖检测量提供了实时高效的检测方法。但是由于酶的固有性质[9~11],传统的含酶电化学传感器稳定性差,因此无酶传感器受到越来越多的关注,如碳和金属纳米材料常用于制备检测葡萄糖的无酶电化学传感器[12~15]。在检测过程中,电极表面容易吸附反应中间体和氯,导致表面中毒,这也是大多数无酶传感器灵敏度低、选择性差的原因[16, 17]。根据美国糖尿病协会(ADA)的数据,健康人全血中葡萄糖的含量为3.9~6.1 mmol/L, 血浆中葡萄糖的含量为3.9~6.9 mmol/L,而糖尿病患者的全血中葡萄糖含量大于6.1 mmol/L,血浆中高于7.0 mmol/L。虽然健康人和糖尿病患者血糖水平都是在mmol/L范围内,但是复杂的血液基质对血糖检测干扰严重[18],分析前必须进行繁琐的预处理步骤。因此有必要研制高灵敏度和低检测限的无酶传感器用于葡萄糖的检测。
在无酶传感器的研究中,葡萄糖可通过碳材料[19, 20]、过渡金属[21, 22]、合金[23, 24]和金属氧化物[25, 26]等的催化反应进行测量。基于金属及其氧化物构建的葡萄糖传感器研究比较广泛,常见的贵金属有Pt、Au、Pd等[27~34],过渡金属有Cu、Ni、Ti等[35~38]。与贵金属相比,过渡金属具有价格低廉、环境友好的特点,在葡萄糖传感领域得到了广泛应用。一般的金属及其氧化物具有多个氧化价态,材料表面固有的电子结构和表面扩散反应能吸附相关物质形成活性中间体,因而对葡萄糖的氧化具有良好的催化性能。过渡金属Ni是应用较多的过渡金属电极材料,其金属及金属氧化物纳米材料显示了较高的电催化活性,Hui等[39]和Sheng等[40]基于Ni复合材料构建了检测葡萄糖的无酶电化学传感器。
脉冲恒电位法(PPM)[41, 42]具有简单、省时、无需加热、高的沉积纯度等优点。本研究采用这种简单、绿色的还原法,同步制得rGO和聚3, 4-乙烯二氧噻吩(PEDOT)复合材料。石墨烯与EDOT单体的芳香环之间的π-π*相互作用和氢键促进了聚合反应的有效进行,增强了PEDOT-rGO纳米复合材料的成膜能力[43, 44],其粗糙的表面可以负载更多的Cu2+等金属纳米粒子,实现对葡萄糖的良好催化氧化[45]。本研究将过渡金属Ni纳米材料负载到PEDOT-rGO复合材料表面,得到了NiNPs/PEDOT-rGO/GCE,构建了葡萄糖无酶传感器并用于葡萄糖的检测。
2. 实验部分
2.1 仪器与试剂
蔡司MERLIN Compact场发射扫描电子显微镜(德国ZEISS公司); X射线粉末衍射仪(瑞士Bruker公司); Z26HK高速冷冻离心机(德国HERLME公司); 78HW-1恒温磁力搅拌器(天津市泰斯特仪器有限公司); SK型超声波清洗器(上海科导仪器公司); CHI 760 C电化学工作站(上海辰华仪器公司); 采用三电极体系:玻碳电极(直径3.0 mm)为工作电极, Ag/AgCl电极(饱和KCl)为参比电极, 铂丝电极为对电极。
石墨粉(325目,99.9995%,Alfa Aesar公司); 聚二烯丙基二甲基氯化铵(PDDA,MW 200000~350000,35%,Sigma公司); 3, 4-乙烯二氧噻吩(EDOT):聚苯乙烯磺酸钠((PEDOT:PSS)Na+)(天津光复化学试剂公司); 其它试剂均为国产分析纯。
2.2 实验方法
2.2.1 EDOT-GO溶液的制备
采用文献[46]的方法制备氧化石墨烯(GO)。25 mL 1 mg/mL GO溶液超声10 min后,加入35.5 mg EDOT,采用在冰水中搅拌、超声交替处理的方法,配成均一的0.01 mol/L EDOT-GO混合溶液。
2.2.2 修饰电极的制备
将直径3.0 mm的玻碳电极(上海辰华公司)磨光后,依次用0.3和0.05 μm Al2O3抛光,然后分别用二次蒸馏水和乙醇超声清洗,氮气吹干。将玻碳电极浸入EDOT-GO混合溶液中,采用脉冲恒电位法(PPM) (多电位阶跃),设置不同的脉冲电位、脉冲时间和阶跃次数,电沉积得到PEDOT-rGO/GCE。将PEDOT-rGO/GCE浸入除氧的0.02 mol/L NiSO4溶液(含0.1 mol/L Na2SO4作为支持电解质)中,设置电位范围为-0.9~0.6 V,得到相应的Ni NPs/PEDOT-rGO/GCE修饰电极。
2.2.3 对葡萄糖的检测
以玻碳电极或修饰好的复合膜修饰玻碳电极作为工作电极,铂丝为辅助电极,Ag/AgCl (3 mol/L KCl)为参比电极,在0.1 mol/L NaOH溶液中进行电化学实验; 采用计时电流法, 当背景电流趋于稳定时,连续加入不同浓度的葡萄至搅拌的电解池中,记录电流响应值。所有的测定均在室温下进行。
3. 结果与讨论
3.1 电极修饰材料的表征
PEDOT-rGO的SEM图(图 1A)展现出一种均匀的三维立体褶皱形貌,这是由于GO掺杂导电聚合物后,在脉冲恒电位下,GO的还原与EDOT的聚合反应在较短的时间内交替进行,使石墨烯轻薄的结构发生变化,形成了大量立体的褶皱结构。同时,这种3D结构提高了修饰电极的电化学表面积,对电化学催化性能的提高有一定的促进作用。图 1B表明NiNPs已成功沉积在PEDOT-rGO基底上,纳米颗粒尺寸约在50~80 nm,且分布均匀。这可能是由于基底外层的表面带负电,与溶液中的Ni2+发生静电吸引,使其均匀地沉积在电极表面上。
图 1
图 1. PEDOT-rGO (A)与NiNPs/PEDOT-rGO (B)的SEM图Figure 1. Scanning electron microscopy (SEM) images of (A) Poly(3, 4-ethylenedioxythiophene) reduced graphene oxide (PEDOT-rGO) and (B)nickel nanoparticles (NiNPs)/PEDOT-rGO3.2 实验条件的优化
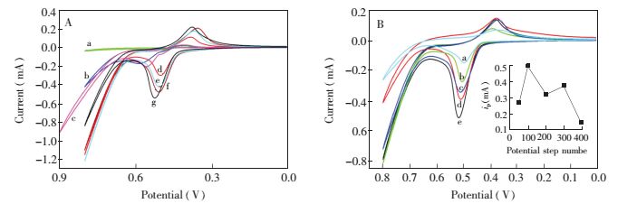
采用多电位脉冲法,将处理好的玻碳电极在EDOT和GO的混合溶液中进行同步电聚合和电还原。阶跃电位分别设置为-1.5 V与1.2 V,固定阶跃循环时间为1 s,对GO电还原时间与EDOT电聚合时间进行了优化,在修饰好的PEDOT-rGO/GCE表面分别沉积纳米镍,并分别考察其在0.1 mol/L NaOH溶液中对1.0 mmol/L葡萄糖的催化氧化性能。如图 2A所示,当GO电化学还原时间与EDOT电化学聚合时间均为为0.5 s时,葡萄糖的催化氧化峰电流值最大。
图 2
图 2. (A) 电化学还原和电化学聚合时间比对葡萄糖催化氧化的影响:电化学还原与电化学聚合时间比分别为a: 1:0、b: 0.6:0.4、c: 0.7:0.3、d: 0:1、e:0.3:0.7、f: 0.4:0.6、g: 0.5:0.5 s,阶跃次数设置为100; (B)阶跃次数对葡萄糖催化氧化的影响,内插图为阶跃次数与葡萄糖催化氧化峰电流的关系Figure 2. (A) Effect of ratios of electrochemical reduction and electropolymerization time on catalytic oxidation of glucose: electrochemical reduction and polymerization time ratios are: a, 1:0; b, 0.6:0.4; c, 0.7:0.3; d, 0:1; e, 0.3:0.7; f, 0.4:0.6; g, 0.5:0.5 (s), respectively, and the potential step number is set to 100; (B) Effect of potential step numbers (a, 400; b, 50; c, 200; d, 300; e, 100) on catalytic oxidation of glucose. Inset is relationship between step numbers and glucose oxidation peak current当GO电化学还原时间与EDOT电化学聚合时间均为为0.5 s时,将阶跃次数分别设置为50、100、200、300和400次,得到相应的PEDOT-rGO/GCE。如图 2B所示,当阶跃次数为100次时,葡萄糖的催化氧化峰电流达到最大,说明所得NiNPs/PEDOT-rGO/GCE对葡萄糖的催化氧化效果最好。阶跃次数太少,电极表面未完全聚合PEDOT-rGO修饰材料,致使NiNPs负载量不足; 阶跃次数过多,复合膜过厚,反而会影响电子的传递速度。因而选择最佳阶跃次数为100次。
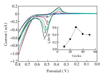
在上述最佳条件下,将PEDOT-rGO/GCE电极浸入除氧的0.02 mol/L NiSO4溶液中,采用循环伏安法电化学沉积NiNPs,设置电位扫描范围为-0.9~0.6 V,循环圈数分别为10、20、30、40和50。由图 3可见,当循环圈数为30时,葡萄糖的催化氧化峰电流最大,催化效果最好。沉积时间短,可能导致NiNPs在电极表面的沉积量少,对葡萄糖的催化效果不佳; 沉积时间过长,可能会改变纳米颗粒的尺寸,甚至发生聚合,从而影响葡萄糖的催化氧化效果。因而,选择循环扫描圈数为30圈。
图 3
3.3 不同修饰电极对葡萄糖催化氧化的影响
不同修饰电极对葡萄糖催化氧化的循环伏安曲线见图 4。由曲线a1和a2可知,PEDOT-rGO/GCE对葡萄糖的催化效果并不明显,而修饰电极Ni NPs/GCE在氢氧化钠溶液中有一对氧化还原峰(b1),氧化还原峰的产生是由于Ni(OH)2和NiOOH之间的转化所致,氧化峰电位约为0.46 V,还原峰电位约为0.38 V。加入葡萄糖后(b2),氧化峰位置正移至0.48 V左右,峰电流有所增加,还原峰几乎无变化,这是由于NiNPs与溶液中的OH-发生了反应,其生成物对葡萄糖的氧化有良好的催化作用。其反应过程大致如下[47~49]:
图 4
图 4. PEDOT-rGO/GCE (a),Ni NPs/GCE (b),Ni NPs/PEDOT-rGO/GCE (c)在0.1 mol/L NaOH溶液(1)以及含1.0 mmol/L葡萄糖的0.1 mol/L NaOH溶液(2)中的循环伏安曲线,扫描速度:100 mV/sFigure 4. Cyclic Voltammetry curves of PEDOT-rGO/glassy carbon electrode (GCE) (a), Ni NPs/GCE (b), Ni NPs/PEDOT-rGO/GCE (c) in 0.1 mol/L NaOH (1) and 0.1 mol/L NaOH containing 1.0 mmol/L glucose (2). Scan rate is 100 mV/s
(1)
(2)
(3) 图 4曲线c1表明,当NiNPs沉积到PEDOT-rGO修饰的玻碳电极上时,Ni(OH)/NiOOH电对的氧化峰明显增大,表明PEDOT-rGO复合膜材料具有良好的导电性,促进了Ni纳米材料电子的转移。加入葡萄糖后,氧化峰(c2)电流进一步增大,且加入葡萄糖前后峰电流的增加值远大于NiNPs/GCE。这可能是由于PEDOT-rGO的三维结构增加了NiNPs负载量,同时PEDOT和rGO的高导电性促进了纳米镍和电极表面之间的电子转移,从而使电流强度增大。在葡萄糖存在时,Ni(OH)2/NiOOH电对的氧化峰正移,可能是受葡萄糖氧化反应的影响[50]。
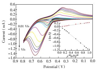
3.4 扫描速度对葡萄糖催化氧化反应的影响
由图 5可知,随着扫描速度增大,氧化峰电流和还原峰电流也随之增大,且氧化峰电位逐渐正移,还原峰电位逐渐负移。氧化峰电流和还原峰电流与扫描速度(0.01~1.00 V/s)的平方根呈线性关系,其线性方程为:Ipa=6.971×10-3-0.1270v1/2(R=0.9997),Ipc=-6314×10-3+ 0.2240 v1/2(R=0.9961),表明葡萄糖在修饰电极NiNPs/PEDOT-rGO/GCE上的氧化过程为扩散控制过程。
图 5
3.5 Ni NPs/PEDOT-rGO/GCE作为无酶传感器对葡萄糖的检测
连续加入不同浓度葡萄糖时,传感器Ni NPs/PEDOT-rGO/GCE对葡萄糖催化氧化的计时电流曲线见图 6,随着葡萄糖的加入,葡萄糖氧化电流逐渐增加,在2 μmol/L~58 mmol/L浓度范围内呈现出两段线性关系。在2 μmol/L~14 mmol/L范围内,线性方程为I(μA)=-9.83-15.12c(mmol/L), R=0.9942;在14~58 mmol/L范围内,线性方程为I(μA)=-117.49-7.45 c(mmol/L), R=0.9986。在信噪比S/N=3时,检出限为0.7 μmol/L。本传感器的分析性能与其它文献报道的无酶葡萄糖传感器的比较结果如表 1所示。
图 6
图 6. 在0.1 mol/L NaOH溶液中连续加入适量葡萄糖所测得i-t曲线(内插图为葡萄糖的氧化电流与其浓度的关系曲线,工作电位为0.5 V)Figure 6. Current-time responses upon successive addition of different concentrations of glucose in 0.1 mol/L NaOH. Inset plot is linear relationship between glucose oxidative currents and its concentration, the working potential is 0.5 V表 1
3.6 Ni NPs/PEDOT-rGO/GCE对葡萄糖检测的选择性
为了检验此传感器NiNPs/PEDOT-rGO/GCE对葡萄糖检测时的选择性和抗干扰能力,考察了尿酸(UA)、抗坏血酸(AA)、多巴胺(DA)对葡萄糖检测的干扰。在0.01 mol/L的UA、AA、DA存在时,1.0 mmol/L葡萄糖在本传感器上的响应变化情况见图 7。从i-t曲线可见,分别加入10倍的UA、AA、DA尿时,传感的电流响应变化很小,对葡萄糖的测定干扰可以忽略不计,表明此传感器具有较强的抗干扰能力。
图 7
3.7 Ni NPs/PEDOT-rGO/GCE对实际样品中葡萄糖的检测
选择市售的5%的葡萄糖注射液作为实际样品,将葡萄糖注射液用二次蒸馏水稀释100倍,Ni NPs/PEDOT-rGO/GCE检测结果为(2.78 ± 0.02) mmol/L (n=3)。向稀释后的葡萄糖注射液中加入0.30 mmol/L的葡萄糖标准溶液,Ni NPs/PEDOT-rGO/GCE测定其浓度为(3.04 ± 0.01)mmol/L (n=3),葡萄糖的回收率为101% ± 3%,说明此传感器可用于葡萄糖注射液的测定。
4. 结论
采用脉冲恒电位法一步制备了PEDOT-rGO复合膜,将纳米镍沉积到PEDOT-rGO复合膜上,得到Ni NPs/PEDOT-rGO/GCE修饰电极,此修饰电极对葡萄糖的催化氧化有很好的电催化作用,由此构建了无酶传感器检测葡萄糖的电化学方法。结果表明,此无酶传感器对葡萄糖的检测具有线性范围宽、检出限低、灵敏度高的特点。本方法简单、快速、无需使用聚合剂和有毒还原剂,是一种“绿色”的合成方法。
-
-
[1]
Nichols S P, Koh A, Storm W L, Shin J H, Schoenfisch M H. Chem. Rev., 2013, 113(4):2528-2549 doi: 10.1021/cr300387j
-
[2]
Lan D, Li B, Zhang Z. Biosens. Bioelectron., 2008, 24(4):934-938 doi: 10.1016/j.bios.2008.07.064
-
[3]
Shafer-Peltier K E, Haynes C L, Glucksberg M R, van Duyne R P. J. Am. Chem. Soc., 2003, 125(2):588-593 doi: 10.1021/ja028255v
-
[4]
Chen R, Xu W, Xiong C, Zhou X, Xiong S, Nie Z, Mao L, Chen Y, Chang H C. Anal. Chem., 2012, 84(1):465-469 doi: 10.1021/ac202438a
-
[5]
Cao X, Wang N, Jia S, Shao Y. Anal. Chem.2013, 85(10):5040-5046 doi: 10.1021/ac400292n
-
[6]
Xia Y, Ye J, Tan K, Wang J, Yang G. Anal. Chem., 2013, 85(13):6241-6247 doi: 10.1021/ac303591n
-
[7]
李爱琴, 郭唱, 许苏英.分析化学, 2017, 45(6):824-829 doi: 10.11895/j.issn.0253-3820.160855LI Ai-Qin, GUO Chang, XU Su-Ying. Chinese J. Anal. Chem., 2017, 45(6):824-829. doi: 10.11895/j.issn.0253-3820.160855
-
[8]
Li J, Li Y, Shahzad S A, Chen J, Chen Y, Wang Y, Yang M, Yu C. Chem. Commun., 2015, 51(29):6354-6356 doi: 10.1039/C4CC10381E
-
[9]
Song Y, Qu K, Zhao C, Ren J, Qu X. Adv. Mater., 2010, 22(19):2206-2210 doi: 10.1002/adma.v22:19
-
[10]
Gouda M D, Singh S A, Rao A G, Thakur M S, Karanth N G. J. Biol. Chem., 2003, 278(27):24324-24333 doi: 10.1074/jbc.M208711200
-
[11]
Forzan E S, Zhang H Q, Nagahara L A, Amlani I, Tsui R, Ta N J. Nano. Lett., 2004, 4:1785-1788 doi: 10.1021/nl049080l
-
[12]
Yang W, Ratinac K R, Ringer S P, Thordarson P, Gooding J J, Braet F. Angew. Chem. Int. Ed., 2010, 49(12):2114-2138 doi: 10.1002/anie.v49:12
-
[13]
Pang H, Lu Q, Wang J, Li Y, Gao F. Chem. Commun., 2010, 46(12):2010-2012 doi: 10.1039/b919764h
-
[14]
罗明荣, 王良良, 张亚静, 赵爽.分析化学, 2016, 44(6):882-887 doi: 10.11895/j.issn.0253-3820.150853LUO Ming-Rong, WANG Liang-Liang, ZHANG Ya-Jing, ZHAO Shuan. Chinese J. Anal. Chem., 2016, 44(6):882-887. doi: 10.11895/j.issn.0253-3820.150853
-
[15]
Dong X C, Xu H, Wang X W, Huang Y X, Chan Park M B, Zhang H, Wang L H, Huang W, Chen P. ACS Nano, 2012, 6(4):3206-3213 doi: 10.1021/nn300097q
-
[16]
Li C, Liu Y, Li L, Du Z, Xu S, Zhang M, Yin X, Wang T. Talanta, 2008, 77(1):455-459 doi: 10.1016/j.talanta.2008.06.048
-
[17]
Shamsipur M, Najafi M, Hosseini M R M. Bioelectrochemistry, 2010, 77(2):120-124 doi: 10.1016/j.bioelechem.2009.07.007
-
[18]
Zachariou M, Hearn M T W, Michael Zachariou, Milton T W. J. Chromatogr. A, 2000, 890(1):95-116 doi: 10.1016/S0021-9673(00)00462-3
-
[19]
Lin Y H, Lu F, Tu Y, Ren Z F. Nano. Lett., 2004, 4(2):191-195 doi: 10.1021/nl0347233
-
[20]
Chen C, Ran R, Yang Z, Lv R, Shen W, Kang F, Huang Z H. Sens. Actuators B, 2018, 256:63-70. doi: 10.1016/j.snb.2017.10.067
-
[21]
Kim W S, Lee G J, Ryu J H, Park K C, Park H C. RSC Adv., 2014, 4(89):48310 -48316 doi: 10.1039/C4RA07615J
-
[22]
Rong L Q, Yang C, Qian Q Y, Xia X H. Talanta, 2007, 72(2):819-824 doi: 10.1016/j.talanta.2006.12.037
-
[23]
Wang J, Thomas D F, Chen A. Anal. Chem., 2008, 80(4):997-1004 doi: 10.1021/ac701790z
-
[24]
Ryu J, Kim K, Kim H S, Hahn H T, Lashmore D. Biosens. Bioelectron., 2010, 26(2):602-607 doi: 10.1016/j.bios.2010.07.021
-
[25]
Ding Y, Wang Y, Su L, Bellagamba M, Zhang H, Lei Y. Biosens. Bioelectron., 2010, 26(2):542-548 doi: 10.1016/j.bios.2010.07.050
-
[26]
Dar G, Umar A, Zaidi S A, Baskoutas S, Kim S H, Sayari S A A. Sci. Adv. Mater., 2011, 3(6):901-906 doi: 10.1166/sam.2011.1242
-
[27]
Zhang H, Xu X, Yin Y, Wu P, Cai C X. J. Electroanal. Chem., 2013, 690(1):19-24
-
[28]
Hu Y J, He F Y, Ben A L, Chen C Y. J. Electroanal. Chem., 2014, 726(7):55-61
-
[29]
Park S, Jeong R A, Boo H, Park J, Kim H C, Chung T D. Biosens. Bioelectron., 2012, 31(1):284-291 doi: 10.1016/j.bios.2011.10.033
-
[30]
Guo M Q, Hong H S, Tang X N, Fang H D, Xu X H. Electrochim. Acta, 2012, 63:1-8 doi: 10.1016/j.electacta.2011.11.114
-
[31]
Fu Y Y, Liang F F, Tian H F, Hu J B. Electrochim. Acta, 2014, 120:314-318 doi: 10.1016/j.electacta.2013.12.082
-
[32]
Han L, Zhang S, Han L H, Yang D P, Hou C T, Liu A H. Electrochim. Acta, 2014, 138:109-114 doi: 10.1016/j.electacta.2014.06.095
-
[33]
Meng L, Jin J, Yang G, Lu T, Zhang H, Cai C. Anal. Chem., 2009, 81(17):7271-728 doi: 10.1021/ac901005p
-
[34]
Shi J, Ci P, Wang F, Peng H, Yang P, Wang L, Ge S. Wang Q, Chu P K. Biosens. Bioelectron., 2011, 26(5):2579-2584 doi: 10.1016/j.bios.2010.11.010
-
[35]
Toghill K E, Compton R G. J. Electrochem. Sci., 2010, 5:1246-1301
-
[36]
Niu X H, Lan M B, Zhao H L, Chen C. Anal. Chem., 2013, 85(7):3561-3569 doi: 10.1021/ac3030976
-
[37]
Guo C Y, Huo H H, Han X, Xu C L, Li H L. Anal. Chem., 2014, 86(1):876-833 doi: 10.1021/ac4034467
-
[38]
Qi B, Yang H J, Zhao K Y, Bah M M, Bo X J, Guo L P. J. Electroanal. Chem., 2013, 700:24-29 doi: 10.1016/j.jelechem.2013.04.002
-
[39]
Hui N, Wang S, Xie H, Xu S, Niu S, Luo X. Sens. Actuators B, 2015, 221:606-613 doi: 10.1016/j.snb.2015.07.011
-
[40]
Sheng L, Li Z, Meng A, Xu Q. Sens. Actuators B, 2018, 254:1206-1215 doi: 10.1016/j.snb.2017.08.008
-
[41]
Chanmanee W, Watcharenwong A, Chenthamarakshan C R, Kajitvichyanukul P, De Tacconi N R, Rajeshwar K. J. Am. Chem. Soc., 2008, 130 (3):965-974 doi: 10.1021/ja076092a
-
[42]
Davies A, Audette P, Farrow B, Hassan F, Chen Z W, Choi J Y, Yu A P. J. Phys. Chem. C, 2011, 1(15):17612-17620
-
[43]
Zhang Y, Zhou E, Li Y, He X W. Anal. Methods, 2015, 7:2360-2366 doi: 10.1039/C4AY02731K
-
[44]
Liu Y, Zhang Y, Chen J, Pang H. Nanoscale, 2014, 6(19):10989-10994 doi: 10.1039/C4NR03396E
-
[45]
Hui N, Wang W, Xu G, Luo X. J. Mater. Chem. B, 2015, 3(4):556-561 doi: 10.1039/C4TB01831A
-
[46]
Hummers W S, Offema R E. J. Am. Chem. Soc., 1958, 80(6):1339 doi: 10.1021/ja01539a017
-
[47]
Zhao C, Shao C, Li M, Jiao K. Talanta, 2007, 71 (4):1769-1773 doi: 10.1016/j.talanta.2006.08.013
-
[48]
Nie H, Yao Z, Zhou X, Yang Z, Huang S. Biosens. Bioelectron., 2011, 30 (1):28-34 doi: 10.1016/j.bios.2011.08.022
-
[49]
Lu L M, Zhang L, Qu F L, Lu X X, Zhang X B, Wu Z S, Huan S Y, Wang Q A, Shen G L, Yu R Q. Biosens. Bioelectron., 2009, 25(1):218-223 doi: 10.1016/j.bios.2009.06.041
-
[50]
Wang Y M, Zhao D D, Zhao Y Q, Xu C L, Li H H. RSC Adv., 2012, 2:1074-1082 doi: 10.1039/C1RA00613D
-
[51]
Liu M, Liu R, Chen W. Biosens. Bioelectron., 2013, 45:206-212 doi: 10.1016/j.bios.2013.02.010
-
[52]
Ensafi A A, Ahmadi Z, Jafari Asl M, Rezaei B. Electrochim. Acta, 2015, 173:619-629 doi: 10.1016/j.electacta.2015.05.109
-
[53]
Chen K J, Su W N, Pan C J, Cheng S Y, Rick J, Wang S H, Liu C C, Chang C C, Yang Y W, Wang C H, Hwang B J. J. Mater. Chem. B, 2013, (1):5925-5932
-
[54]
Miao Z, Wang P, Zhong A, Yang M, Xu Q, Hao S, Hu X. J. Electroanal. Chem., 2015, (756):153-160
-
[1]
-
图 2 (A) 电化学还原和电化学聚合时间比对葡萄糖催化氧化的影响:电化学还原与电化学聚合时间比分别为a: 1:0、b: 0.6:0.4、c: 0.7:0.3、d: 0:1、e:0.3:0.7、f: 0.4:0.6、g: 0.5:0.5 s,阶跃次数设置为100; (B)阶跃次数对葡萄糖催化氧化的影响,内插图为阶跃次数与葡萄糖催化氧化峰电流的关系
Figure 2 (A) Effect of ratios of electrochemical reduction and electropolymerization time on catalytic oxidation of glucose: electrochemical reduction and polymerization time ratios are: a, 1:0; b, 0.6:0.4; c, 0.7:0.3; d, 0:1; e, 0.3:0.7; f, 0.4:0.6; g, 0.5:0.5 (s), respectively, and the potential step number is set to 100; (B) Effect of potential step numbers (a, 400; b, 50; c, 200; d, 300; e, 100) on catalytic oxidation of glucose. Inset is relationship between step numbers and glucose oxidation peak current
图 4 PEDOT-rGO/GCE (a),Ni NPs/GCE (b),Ni NPs/PEDOT-rGO/GCE (c)在0.1 mol/L NaOH溶液(1)以及含1.0 mmol/L葡萄糖的0.1 mol/L NaOH溶液(2)中的循环伏安曲线,扫描速度:100 mV/s
Figure 4 Cyclic Voltammetry curves of PEDOT-rGO/glassy carbon electrode (GCE) (a), Ni NPs/GCE (b), Ni NPs/PEDOT-rGO/GCE (c) in 0.1 mol/L NaOH (1) and 0.1 mol/L NaOH containing 1.0 mmol/L glucose (2). Scan rate is 100 mV/s
图 6 在0.1 mol/L NaOH溶液中连续加入适量葡萄糖所测得i-t曲线(内插图为葡萄糖的氧化电流与其浓度的关系曲线,工作电位为0.5 V)
Figure 6 Current-time responses upon successive addition of different concentrations of glucose in 0.1 mol/L NaOH. Inset plot is linear relationship between glucose oxidative currents and its concentration, the working potential is 0.5 V
表 1 构建的NiNPs/PEDOT-rGO/GCE与文献报道的无酶葡萄糖传感器性能比较
Table 1. Comparison of the proposed NiNPs/PEDOT-rGO/GCE with the previous reported non-enzymatic glucose sensors
-
扫一扫看文章
计量
- PDF下载量: 0
- 文章访问数: 842
- HTML全文浏览量: 90

下载:
下载:
下载: