Citation: WANG Shao-qing, CHEN Hao, LIU Peng-hua, SHA Yu-ming, LIN Yu-han. HRTEM image changes on heating and thermogravimetric characteristics of barkinite[J]. Journal of Fuel Chemistry and Technology, 2018, 46(2): 138-144.
树皮体加热状态HRTEM变化特征及其热重特性研究
English
HRTEM image changes on heating and thermogravimetric characteristics of barkinite
-
Key words:
- barkinite
- / thermogravimetric analysis
- / HRTEM
- / chemical structure
-
在中国华南晚二叠世煤层中存在特殊煤种-树皮煤,因其主要富含特殊显微组分树皮体而著称。树皮煤的化学、工艺性质不同于一般腐殖煤,其表现为具有异常高的挥发分、高氢含量、高焦油产率、高硫(有机硫)、高熔融性和高溶胀性等特点[1-3],因此对其研究备受关注。树皮煤受热后,具有热解速率快和异常高的基氏流动度[4],受热后其物理状态也发生较大变化,在500 ℃左右观察到大量油质物质生成[5],但是其原因还不清楚。从树皮煤的热重行为分析得到,其热行为特性与树皮体的含量有关[4]。但是,对树皮体的热行为特征研究报道还很少,这与树皮体的分离困难有关。通过近年来的研究,本课题组已经成功找到了分离树皮体的方案,其分离纯度可达95%以上[6],这为深入研究树皮体的性质提供了物质来源,也为探讨树皮煤的特殊热性质提供了保障。
在中国的烟煤显微组分分类方案中,树皮体属于稳定组分之一,是由植物的周皮组织形成的稳定组,其纵横切面呈叠瓦状结构[7]。但树皮体在显微组分分类方案中的地位至今还未得到国际煤岩学会(ICCP)的认可,其原因之一就是树皮体的化学结构特征至今未明朗,正如Hower等[8]认为,目前仍难以判定树皮体与已明确定义的稳定组之间的本质区别,尤其是它们之间的化学结构特征。因此,对树皮体的化学结构特征的深入研究,一方面,可以为树皮体在国际煤岩学上的定位提供理论支持; 另一方面,也为洁净利用提供有效依据。
过去已经对树皮体的化学结构特征进行了深入的研究[6, 9-17],但是在加热状态条件下原位研究树皮体的化学结构特征变化报道极少。而此方面的研究,有望阐明树皮煤的特殊热性质行为的机理。高分辨率透射电镜(HRTEM)已经被广泛应用于研究煤的结构特征,可以有效地研究煤的芳香层片分布特征和煤结构特征[18-24]。Sharma等[19]应用HRTEM直观观察了煤的层片特征。Niekerk等[24]应用HRTEM方法研究了富含镜质组和惰质组南非煤的芳香层片大小及其分布特征。最近,Mathews等课题组[21-24]对HRTEM照片的处理进行了深入的研究,为HRTEM照片的定量化处理提供了参考。
因此,本研究以特殊显微组分树皮体作为主要研究对象,通过树皮体与镜质体、原煤的比较,研究树皮体的受热变化行为特征,应用原位加热透射电镜分析样品的化学结构特征变化,分析树皮体的受热化学结构变化特征和热性质变化特性,同时从化学结构角度对其具有的热性质特性提供解释。
1 实验部分
1.1 样品的选择与基本特征测试
实验所用样品采自江西乐平鸣山煤矿。树皮体(barkinite)和镜质体(vitrinite)是由原煤(bark coal)分离得到,纯度分别高达96%和87%。对样品进行了工业分析和元素分析,并进行了显微组分的定性、定量分析和镜质组最大反射率的测定。
1.2 原位加热TEM实验
仪器为日本JEOL公司生产的JEM-2010高分辨率透射电镜。实验条件:加速电压200 kV,电子束波长λ=0.002508 nm,放大倍数为3×105倍。原位热场加热下的载样网采用耐热材料碳化硅网,取定量乙醇和煤样粉末混合,进行超声震荡, 然后静置3-5 min, 取混合液2或3滴到微栅网上,再经过30 min的静置,使乙醇挥发完毕。采用原位热场加热的温度为350-500 ℃,为精确探索随温度升高显微组分化学结构特征变化,选择50 ℃为温度分段点进行加热。
1.3 热重分析
样品热解测试采用瑞士Mettler Toledo公司生产的TGA/DSC 1/1600 HT至尊型热分析仪。样品破碎至200目,样品用量约8 mg,在氮气流量为50 mL/min的条件下,以10 ℃/min的升温速率,将样品从室温加热至900 ℃。
2 结果与讨论
2.1 样品的基本性质
表 1为样品的基本性质数据。由表 1可知,所用样品的挥发分产率为45.74%-69.93%,树皮体中的挥发分产率最高(69.93%)。树皮煤中的氢含量为5.64%,其相应的H/C原子比为0.92,高于镜质体。在测定树皮体的元素分析时,产生了爆燃的现象,所以,未能测到树皮体的数据。说明树皮煤具有较高的氢含量、H/C原子比以及挥发分产率的特点,这与前人研究的结果相符[1-3, 15]。显微组分组成方面,树皮煤中树皮体的含量为68%,镜质组含量为24%。树皮体的纯度达到96%。树皮煤的镜质组最大反射率为0.67%,说明所选样品属高挥发分烟煤阶段。
Sample Ro
w/%Proximate analysis
w/%Ultimate analysis
wdaf/%H/C
atomic
ratioMaceral
φ/%Mad Ad Vdaf C H O* N St,d V Ba OL+I Bark coal 0.67 1.02 8.15 52.80 73.27 5.64 10.54 1.42 0.98 0.92 24 68 8 Barkinite - 0.84 0.39 69.93 - - - - 1.01 - 3 96 1 Vitrinite - 1.20 6.09 45.74 81.45 5.24 10.73 1.26 1.31 0.77 87 12 1 note: Ro: the mean maximum vitrinite reflectance; M: moisture; A: ash; V: volatile matter; ad: air-dry basis; d: dry basis; daf: dry-ash-free; V: vitrinite; Ba: barkinite; I: inertinite; OL: other liptinites; *: by difference; -: no determined 2.2 树皮体的热重性质
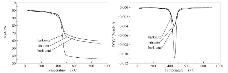
在加热速率为10 ℃/min下,研究了样品的热重行为,其得到的热解失重(TGA)和热解失重速率(DTG)变化曲线见图 1,其相应的热重参数见表 2。从图 1的TGA曲线中可以得出,树皮体在400 ℃之前,失重特征不明显,曲线平缓;400-500 ℃曲线斜率增大,反映树皮体热解反应强烈,且失重量也高于镜质体和树皮煤。图 1的DTG曲线表明,三个样品的失重速率位于370-550 ℃,即该区间是样品热解最快的温度区间。树皮体的最大热解速率达到1.08%/℃,而镜质体和树皮煤的最大热解速率为0.40%/℃ (见表 2),因此,树皮体的最大热解反应速率明显高于镜质体和树皮煤。由此可以得出,树皮体在受热条件下,表现出其热解速率快且失重量多的特点。Wang等[4]研究树皮煤的热重特征时,发现树皮煤的热解速率也较快,且树皮体含量越多的样品,其热解速率越快。
Sample Thermogravimetric analysis Rock-Eval[25] tmax/
℃MR/
(%·℃-1)S2/
(mg·g-1)S1+S2/
(mg·g-1)HI/
(mg·g-1)Bark coal 450 0.40 234 242 343 Vitrinite 453 0.40 237 244 296 Barkinite 454 1.08 461 472 611 note: tmax: temperature of maximum volatiles loss; MR: the maximum rate of mass loss; S1: amount of free hydrocarbons exposed before pyrolysis at 300 ℃ (mg (HC)/g (rock)); S2: amount of hydrocarbons exposed by the thermal cracking during programmed temperature increments above 300 ℃ in pyrolysis (mg (HC)/g (rock)); HI: hydrogen index 2.3 树皮体的HRTEM特征
由于树皮体和镜质组的失重剧烈区间主要集中在370-550 ℃,且在450 ℃左右达到最大。因此,选择350-500 ℃研究树皮体和镜质体受热过程中化学结构特征的变化。依据Sharam等[19]的处理办法,对样品的TEM照片进行了分析和处理。根据Van Niekerk等[24]提出的晶格条纹归属分类(表 3)。对TEM照片中的晶格条纹的长度进行了统计,处理后的树皮体和镜质体图像分别如图 2和图 3,得到的晶格条纹的长度分布特征如图 4。
表 3
HRTEM晶格条纹归属分类
Table 3.
Assignment of parallelogram-shaped aromatic fringes from the HRTEM fringe data
Aromatic sheet Minimum values
/nmMaximum values /nm Mean length
/nmGrouping
/nmNaphthalene 0.28 0.49 0.39 0.30-0.54 2×2 0.49 0.71 0.60 0.55-0.74 3×3 0.74 1.13 0.93 0.75-1.14 4×4 0.98 1.56 1.27 1.15-1.44 5×5 1.23 1.98 1.60 1.45-1.74 6×6 1.47 2.41 1.94 1.75-2.04 7×7 1.72 2.84 2.28 2.05-2.44 8×8 1.96 3.26 2.61 2.45-2.84 由图 2和图 3可知,对于树皮体和镜质体,两者在350 ℃之后,芳香层片具有清楚的定向性,随着温度的继续升高,其定向性更加明显,且在400 ℃之后,树皮体的芳香层片部分堆积在一起,而镜质体大约在450 ℃左右,芳香层片堆积程度比较明显。从图 4分析得到,在350-500 ℃随着温度的逐渐升高,树皮体和镜质体中的萘含量增加,当温度升高至450 ℃时,其萘的含量达到最高,之后在500 ℃稍微有所下降。而相应的3×3和4×4条纹的比例在下降,2×2条纹变化不大,在500 ℃左右时,其3×3条纹又有所增加。这与加热状态下,两者组分的化学结构变化有关。过去的研究已经表明,树皮体具有的明显化学结构特征是富含脂肪族,尤其是CH2官能团[10-13, 15],因此,在此温度区间对样品进行加热,大部分的脂肪族和含氧结构会消失,与此同时,也会发生聚合反应,致使芳香层片的排列规则明显[26]。与常温下树皮体的HRTEM分析结果对比[6],更加说明受热后树皮体的化学结构变化特点,即在350-500 ℃,树皮体芳香层片的定向性更加明显,且表现出较为明显的堆积性。
从图 4进一步研究得到,在同一温度下,树皮体和镜质体含有的芳香条纹种类相似,其含量以萘、2×2和3×3条纹为主,其次是4×4和5×5条纹,其他的条纹含量均较低。相比较而言,树皮体含有的萘含量高于镜质体,而两者的2×2条纹含量相近。但镜质体中的3×3条纹、4×4和5×5条纹的含量高于树皮体,这表明镜质体比树皮体的化学结构更加芳构化。
2.4 树皮体热重性质特性原因分析
在本研究中,通过热重实验分析表明,树皮体具有热解速率快且失重量多的特点。树皮体和镜质体达到热失重最大时的温度相近,都集中在450 ℃左右,但是,树皮体的最大热解速率却明显高于镜质体。本课题研究已经表明[4, 25],树皮煤具有热解速率快和基氏流动度异常高的特点。树皮体具有较好的生烃潜力,其热解烃含量、生烃潜量和氢指数分别达到461、472和611 mg/g(如表 2)。前人应用Micro-FTIR分析测试手段表明,树皮体的化学结构中脂肪族含量高,尤其是CH2官能团含量高[10-13, 15]。基于树皮体的化学结构特征,导致其容易热解。在热解过程中,一些弱键和部分脂肪族发生分解,产生一些小分子和气体,这已经被TG-MS/FTIR测试分析结果所证实[27]。随着温度的提高,化学结构中的官能团继续分解,同时也产生聚合反应,致使样品的芳香层片的定向性增强,具体见图 2和图 3。同时,晶格条纹之间不断变化。当温度升至450℃时,树皮体的热解速率达到最大。根据本研究中HRTEM的结果分析表明,在450 ℃时,树皮体和镜质体化学结构中的萘含量高于2×2和3×3条纹含量,而且,树皮体的萘含量高于镜质体,而2×2和3×3条纹含量却低于镜质体。由树皮体和镜质体的热重分析可知,两者失重速率位于370-550 ℃,且在450 ℃左右达到最大热解速率。即在350-450 ℃热失重速率逐渐增强,在450 ℃达到峰值后逐渐减弱。此温度下,树皮体和镜质体的芳香层片分布中,萘的含量最高,这与热重速率的变化特征相一致。热解-色谱/质谱的结果也表明,树皮体的热解产物主要以烷基苯、烷基萘和菲系列化合物为主。因此,树皮体和镜质体的热解性质特性与其化学结构中的芳香层片的大小分布特征有关,尤其是萘含量高有关。
此外,树皮体具有热解速率快和反应剧烈等特征还与树皮体的化学组成有关。研究已经表明,树皮体具有高的氢含量、H/C原子比和高的挥发分产率[1-3, 15]。同时,按照中国烟煤的显微组分分类方案,树皮体是稳定组组分之一,具有稳定组的化学工艺性质。因此,树皮体受热后反应比较剧烈[5]。
3 结论
热重结果表明,在10 ℃/min的加热速率下,树皮体的最大热解速率可达1.08%/℃,且热失重总量多,均大于镜质组和树皮煤。树皮体的热解最快的失重集中在370-550 ℃,且在450 ℃时,其热解速率达到最大,与镜质体和树皮煤的热解最大速率温度相近。
原位加热透射电镜结果表明,在350 ℃之后,树皮体和镜质体的化学结构均具有定向性,且随着温度的升高,其定向性越明显。树皮体和镜质体分别在400和450 ℃,其呈现芳香层片堆积。同一温度条件下比较发现,树皮体和镜质体化学结构中以萘、2×2和3×3条纹为主,其次是4×4和5×5条纹。相比较而言,树皮体含有的萘含量高于镜质体,而镜质体中的3×3、4×4和5×5条纹的含量高于树皮体。
树皮体的热解行为特性与其加热过程中化学结构特征变化有关,尤其是萘的含量变化。在350-500 ℃,随着温度的逐渐升高,树皮体和镜质体中的萘含量增加。在450 ℃时,其萘的含量达到最高,之后在500 ℃稍微有所下降,而相应的3×3和4×4条纹的比例在下降,这样的变化特征与树皮体的热解失重速率变化特征相吻合。
-
-
[1]
HSIEH C Y. On lopinite, a new type of coal in China[J]. Bull Geol Soc China, 1933, 12(1/2): 469-490.
-
[2]
韩德馨, 任德贻, 王延斌, 金奎励, 毛鹤龄, 秦勇.中国煤岩学[M].徐州:中国矿业大学出版社, 1996, 125-135.HAN De-xin, REN De-yi, WANG Yan-bing, JIN Kui-li, MAO He-ling, QIN Yong. Coal Petrology of China[M]. Xuzhou:China University of Mining & Technology Press, 1996.
-
[3]
GUO Y T, RENTON J J, PENN J H. FTIR microspectroscopy of particular liptinite-(lopinite-) rich, late permian coals from Southern China[J]. Int J Coal Geol, 1996, 29(1): 187-197.
-
[4]
WANG S Q, TANG Y G, SCHOBERT H H, MITCHELL G D, LIAO Y F, LIU Z Z. A thermal behavior study of Chinese coals with high hydrogen content[J]. Int J Coal Geol, 2010, 81: 37-44. doi: 10.1016/j.coal.2009.10.012
-
[5]
WANG S Q, TANG Y G, SCHOBERT H H, JIANG D, SUN Y B, GUO Y N, SU Y F, YANG S P. Application and thermal properties of hydrogen-rich bark coal[J]. Fuel, 2015, 162: 121-127. doi: 10.1016/j.fuel.2015.09.010
-
[6]
郭亚楠, 唐跃刚, 王绍清, 李薇薇, 贾龙. 树皮残植煤显微组分分离及高分辨透射电镜图像分子结构[J]. 煤炭学报, 2013,38,(6): 1019-1024. GUO Yan-an, TANG Yue-gang, WANG Shao-qing, LI Wei-wei, JIA Long. Maceral separation of bark liptobiolite ande molecular structure study through high resolution TEM images[J]. J China Coal Soc, 2013, 38(6): 1019-1024.
-
[7]
GB/T 1558-2001. 烟煤显微组分分类[S].GB/T 1558-2001. Classification of macerals for bituminous coal[S].
-
[8]
HOWER J C, SUǍREZ-RUIZ I, MASTALERZ M, COOK A C. The investigation of chemical structure of coal macerals via transmitted-light FT-IR microscopy by X. Sun[J]. Spectrochim Acta Part A, 2007, 67(5): 1433-1437. doi: 10.1016/j.saa.2006.11.034
-
[9]
SUN X G. A study of chemical structure in "barkinite" using time-of-flight secondary ion mass spectrometry[J]. Int J Coal Geol, 2001, 47(1): 1-8. doi: 10.1016/S0166-5162(01)00008-8
-
[10]
余海洋, 孙旭光, 焦宗福. 华南晚二叠世"树皮体"显微傅里叶红外光谱(Micro-FTIR)特征及意义[J]. 北京大学学报:自然科学版, 2004,40,(6): 879-885. YU Hai-yang, SUN Xug-uang, JIAO Zong-fu. Characterisistics and implications of micro-FT-IR spectroscopy of barkinite from upper permian coals, South China[J]. Acta Sci Nat Univ Pekin, 2004, 40(6): 879-885.
-
[11]
SUN X G. The investigation of chemical structure of coal macerals via transmitted-light FT-IR microspectroscopy[J]. Spectrochim Acta Part A, 2005, 62(1): 557-564.
-
[12]
吴俊, 金奎励, 汪昆华, 顾世英. 南方树皮煤红外光谱特征及成烃演化规律研究[J]. 煤田地质与勘探, 1990(5): 29-38. WU Jun, JIN Ku-li, WANG Kun-hua, GU Shi-ying. Infrared spectroscopy characteristics and forming-hydrocarbon evaluation rule for suberain coal in Southern China[J]. Coal Geol Explor, 1990, (5): 29-38.
-
[13]
余海洋, 孙旭光. 江西乐平晚二叠世煤成烃机理红外光谱研究[J]. 光谱学与光谱分析, 2007,27,(5): 858-862. YU Hai-yang, SUN Xu-guang. Research on hydrocarbon generation mechanism of upper permin coals from Leping, Jiangxi, based on ifrared spectroscopy[J]. Spectr Spectr Anal, 2007, 27(5): 858-862.
-
[14]
WANG S Q, TANG Y G, SCHOBERT H H, JIANG D, GUO X, HUANG F, GUO Y N, SU Y F. Chemical compositional and structural characteristics of late permian bark coals from southern China[J]. Fuel, 2014, 126: 116-121.
-
[15]
郭绍辉, 李术元, 秦匡宗. 用钌离子催化氧化法研究干酪根及其显微组分的化学结构[J]. 石油大学学报(自然科学版), 2000,24,(3): 54-57. GUO Shao-hui, LI Shu-yuan, QIN Kuang-zong. Structual characterization of kerogen and macerals by ruthenium ion catalyzed oxidation[J]. J Univ Pet, China, Ed Nat Sci, 2000, 24(3): 54-57.
-
[16]
焦堃, 姚素平, 张科, 胡文瑄. 树皮煤的原子力显微镜研究[J]. 地质论评, 2012,58,(4): 775-782. JIAO Kun, YAO Su-ping, ZHANG Ke, HU Wen-xuan. An atomic force microscopy study on "barkinite" liptobiolith[J]. Geol Rev, 2012, 58(4): 775-782.
-
[17]
WANG S Q, LIU S M, SUN Y B, JIANG D, ZHANG X M. Investigation of coal components of late permian different ranks bark coal using AFM and micro-FTIR[J]. Fuel, 2017, 187: 51-57. doi: 10.1016/j.fuel.2016.09.049
-
[18]
SHARAM A, KYOTANI T, TOMITA A. A new quantitative approach for microstructural analysis of coal char using HRTEM images[J]. Fuel, 1999, 78: 1203-1212. doi: 10.1016/S0016-2361(99)00046-0
-
[19]
SHARAM A, KYOTANI T, TOMITA A. Direct observation of raw coals in lattice fringe mode using high-resolution transmission electron microscopy[J]. Energy Fuels, 2000, 14: 1219-1225. doi: 10.1021/ef0000936
-
[20]
SHARAM A, KYOTANI T, TOMITA A. Quantitive evaluation of structural transformation in raw coals on heat-treatment using HRTEM technique[J]. Fuel, 2001, 80: 1467-1473.
-
[21]
MATHEWS J P, JONES A D, PAPPANO P J, HURT R, SCHOBERT H H. New insights into coal structure from the combination of HRTEM and laser desorption ionization mass spectrometry[C]//Proceedings of the 11th Int. Conf. on coal Sci: Exploring the horizons of coal. San Francisco, CA: 2001.
-
[22]
MATHEWS J P, FERNANDEZ-ALSO V, JONES A D, SCHOBERT H H. Determining the molecular weight distribution of pocahontas No. 3 low-volatile bituminous coal utilizing HRTEM and laser desorption ionization mass spectra data[J]. Fuel, 2010, 89: 1461-1469.
-
[23]
MATHEWS J P, SHARAM A. The structure alignment of coal and the analogous case of argonne upper freeport coal[J]. Fuel, 2012, 95: 19-24. doi: 10.1016/j.fuel.2011.12.046
-
[24]
VAN NIEKERK D, MATHEWS J P. Molecular representations of Permian-aged vitrinite-rich and inertinite-rich South African coals[J]. Fuel, 2010, 89: 73-82. doi: 10.1016/j.fuel.2009.07.020
-
[25]
黄帆. 乐平煤中树皮体的有机地球化学特征研究[D]. 北京: 中国矿业大学(北京), 2015.HUANG Fan. Organic geochemical characteristics of barkinite in Leping coal[D]. Beijing: China university of Mining & Technology (Beijing), 2015.
-
[26]
STACH E, MACHKOWSKY M T H, TEICHMVLLER M, TAYLOR G H, CHANDRA D, TEICHMVLLER R. Stach's Textbook of Coal Petrology[M]. Berlin, Stuttgart:Gebrüder Borntraeger, 1982.
-
[27]
WANG S Q, TANG Y G, SCHOBERT H H, GUO Y N, GAO W C, LU X K. FTIR and simultaneous TG/MS/FTIR study of Late Permian coals from Southern China[J]. J Anal Appl Pyrolysis, 2013, 100: 75-80. doi: 10.1016/j.jaap.2012.11.021
-
[1]
-
表 1 样品的基本性质
Table 1. Basic characteristics of coal samples used
Sample Ro
w/%Proximate analysis
w/%Ultimate analysis
wdaf/%H/C
atomic
ratioMaceral
φ/%Mad Ad Vdaf C H O* N St,d V Ba OL+I Bark coal 0.67 1.02 8.15 52.80 73.27 5.64 10.54 1.42 0.98 0.92 24 68 8 Barkinite - 0.84 0.39 69.93 - - - - 1.01 - 3 96 1 Vitrinite - 1.20 6.09 45.74 81.45 5.24 10.73 1.26 1.31 0.77 87 12 1 note: Ro: the mean maximum vitrinite reflectance; M: moisture; A: ash; V: volatile matter; ad: air-dry basis; d: dry basis; daf: dry-ash-free; V: vitrinite; Ba: barkinite; I: inertinite; OL: other liptinites; *: by difference; -: no determined 表 2 样品的热重参数和部分岩石热解
Table 2. TGA parameters analysis and Rock-Eval data of samples used
Sample Thermogravimetric analysis Rock-Eval[25] tmax/
℃MR/
(%·℃-1)S2/
(mg·g-1)S1+S2/
(mg·g-1)HI/
(mg·g-1)Bark coal 450 0.40 234 242 343 Vitrinite 453 0.40 237 244 296 Barkinite 454 1.08 461 472 611 note: tmax: temperature of maximum volatiles loss; MR: the maximum rate of mass loss; S1: amount of free hydrocarbons exposed before pyrolysis at 300 ℃ (mg (HC)/g (rock)); S2: amount of hydrocarbons exposed by the thermal cracking during programmed temperature increments above 300 ℃ in pyrolysis (mg (HC)/g (rock)); HI: hydrogen index 表 3 HRTEM晶格条纹归属分类
Table 3. Assignment of parallelogram-shaped aromatic fringes from the HRTEM fringe data
Aromatic sheet Minimum values
/nmMaximum values /nm Mean length
/nmGrouping
/nmNaphthalene 0.28 0.49 0.39 0.30-0.54 2×2 0.49 0.71 0.60 0.55-0.74 3×3 0.74 1.13 0.93 0.75-1.14 4×4 0.98 1.56 1.27 1.15-1.44 5×5 1.23 1.98 1.60 1.45-1.74 6×6 1.47 2.41 1.94 1.75-2.04 7×7 1.72 2.84 2.28 2.05-2.44 8×8 1.96 3.26 2.61 2.45-2.84 -
扫一扫看文章
计量
- PDF下载量: 6
- 文章访问数: 2697
- HTML全文浏览量: 131

下载:
下载: