Citation: XIA Kai-Min, WENG Guo-Feng, WANG Zhi-Peng, WANG Fang-Jun, XIAO Chun-Lei, PAN Yuan-Jiang, WU Jun. Analysis of Steroid Hormone by Low Temperature Plasma Mass Spectrometry[J]. Chinese Journal of Analytical Chemistry, 2017, 45(12): 1944-1950. doi: 10.11895/j.issn.0253-3820.171401
类固醇激素的低温等离子体质谱研究
English
Analysis of Steroid Hormone by Low Temperature Plasma Mass Spectrometry
-
Key words:
- Steroid
- / Low temperature plasma
- / Mass spectrometry
- / Isomer
-
1. 引言
类固醇是一类由胆固醇衍化而来并且在肾上腺皮质、生殖腺及其周缘组织中合成的物质,在生物体内的信号传递中发挥了至关重要的作用,包括生殖与性别分化、控制生物生长、维持内环境稳定以及管理新陈代谢和营养供给等[1, 2]。对于类固醇的定性定量分析一直是分析化学的研究热点之一,其中,质谱技术是目前最为普遍且有效的分析手段[3~5]。
质谱技术的发展离不开离子化方式和离子源的改进。目前常用的质谱软电离方式包括大气压化学电离(APCI)[6]、电喷雾(ESI)[7, 8]以及基质辅助激光解析(MALDI)[9, 10]等,这些离子化方式的发展使得生物大分子甚至是完整病毒分子[11]的无损检测得以实现。然而这些离子化方式通常涉及样品提取、有机试剂溶解、高压高温的离子源、激光照射以及基质共结晶等繁琐的处理过程,这使得生物样品或者一些样品表面的直接质谱检测变得比较困难。
等离子体(Plasma)是不同于固体、液体和气体的物质第四态,是由被电离的原子或原子团和平衡电子所组成的离子化气体状物质。虽然等离子体总体是电中性的,但是其电子密度并不均匀,在靠近电极和表面部分会比较小,这为等离子体电离样品提供了可能[12]。等离子体根据其温度可以分为低温等离子体(LTP)和高温等离子体(HTP),前者的温度不高于104K,而后者的温度可以达到107K甚至更高。低温等离子体离子源的性能与等离子体探针的设计、电源的输入(频率、电压和功率)以及电离所用的气体有关[13]。
只要有合适的常压离子入口,低温等离子体探针就可以作为各式质谱的离子源,包括三维离子阱质谱[14]、线性离子阱质谱[15]、四极杆质谱[16]以及傅里叶变换离子回旋共振质谱(FTICR)[17]等。与传统的常压离子源相比,采用低温等离子体作为质谱的离子化方式有许多优势,如在常压下更易操作、样品前处理方便、无需有机溶剂、能耗低以及可以进行大面积质谱成像等[16]。
本研究根据介质阻挡放电的原理,搭建了一套低温等离子体离子源,可以通过调节气体的种类、消耗量以及所加电压的大小控制等离子体的温度以及离子化的效果,并成功地将此离子源与一台高分辨的轨道阱质谱(Orbitrap)联用。此装置在类固醇激素样品的检测方面表现出优越的性能。
2. 实验部分
2.1 仪器与试剂
LTQ-Orbitrap XL质谱仪,控制和数据采集的软件采用的是Xcalibur 2.1版本(美国Thermo Fisher Scientific公司)。搭建低温等离子体采用ESP-DBDI型变压箱,功率800W,电压范围3000~10000 V,供电电压为220 V,工作频率为50~50000 HZ。电离所用气体为高纯氩气和氦气。石英管等由中国科学院大连化学物理研究所加工提供。分子能量计算软件为Gaussian 03W,计算方法为Semi-empirical,相关参数为Restricted,PM3。
睾酮、胆固醇、孕酮、孕烯醇酮、去氢表雄酮和雌二醇等标准品均购自中国安耐吉试剂公司;色谱级甲醇购于德国Merck公司;实验用水为超纯水(Millipore纯水仪,美国Millipore公司)。
2.2 实验方法
2.2.1 电喷雾质谱参数
各类固醇样品浓度均为10 μg/mL,溶剂为50%(V/V)甲醇,进样流速控制在1 μL/min。电喷雾电压为2.0 kV,加热毛细管温度为250℃,单次最大进样时间为100 ms,Microscan数为1,一级质谱的分辨率为30000(m/z=400)。
2.2.2 低温等离子体质谱参数
各类固醇样品采用毛细管蘸取上样。加热毛细管温度为250℃,单次最大进样时间为100 ms,microscan数为1,一级质谱的分辨率为30000(m/z=400)。
3. 结果与分析
3.1 低温等离子体离子源的设计与搭建
本研究所用质谱为敞开式电喷雾质谱,其基本模型如图 1A所示,在2 kV的正电场中,喷针尖端会形成泰勒锥并生成喷雾,样品溶液在整个流动和喷雾的过程中会发生质子转移,使得其中的样品分子带上溶剂分子所赋予的质子(正离子模式)。而低温等离子体的原理如图 1C所示,在石英管中通入高纯度的氩气或者氦气,根据介质阻挡放电的原理,石英管内气体会被外部所加高电压击穿并激发,由于石英管与质谱的接口端并不是密封的,接下来激发态的氦气或者氩气又会进一步激发空气中的氮气和水蒸气等, 形成N2+和H2O+以及对应的电子等[13]。
图 1
图 1. 本研究所用离子源模型(A, B, C)和实物图(D)Figure 1. Schematic diagram (A, B, C) and picture (D) of the ion sources提高样品的离子化效率一直是质谱离子源设计的方向和目标。考虑到低温等离子体束中含有多种高能离子,这些高能等离子对于电喷雾的介入势必会和样品分子发生质子交换或者更多可能的化学反应,进而影响到样品的离子化效率。基于此,本研究设计了如图 1B的离子源模型,以常规电喷雾喷针为基底,在喷针的外壁接上石英管,高纯度的氦气或者氩气则可通过导管持续进入石英管,并在石英管前段加上高压后被激发生成低温等离子体。在喷针末端加上电喷雾电压后,样品溶液会在喷针尖端照常产生电喷雾,而产生的低温等离子体此时也会在喷针尖端与电喷雾中的样品汇合并发生反应。但本实验发现,图 1B的装置并不是理想的离子源设备,因为原本正常生成的电喷雾在汇合低温等离子体后不再产生,在注射泵的推动下,喷针尖端只是不断累积样品溶液形成逐渐变大的液滴。推测这是由于低温等离子体中包含了大量的正负离子,使得其与溶液中的带电离子发生中和而中断了电喷雾的过程。
鉴于低温等离子体和电喷雾的不兼容,本研究改进并设计了如图 1C的离子源模型。在此离子源中,类固醇样品通过点样毛细管蘸取少许固体置于图示质谱进样口前端,控制距离可以使固体样品悬空放置。在石英管外壁的金属片上施加高电压后,从石英管末端导入的高纯氦气或氩气会被激发并在金属前端产生低温等离子体,进而激发悬空的类固醇固体样品使之离子化。图 1D所示为该离子源的实物图。
3.2 类固醇样品在低温等离子体质谱中的谱图分析
图 2所示为6个代表性的类固醇样品分别在低温等离子质谱(图 2A~2F)和电喷雾质谱(图 2G~2L)中的一级谱图。不同于电喷雾质谱的溶液进样方式,本研究在采集低温等离子质谱数据时,通过直接蘸取固体的形式上样,后者得到的谱图信噪比更高,背景干扰更少。在类固醇样品的电喷雾质谱一级谱图中,除了最为常见的[M+H]+峰之外,在部分样品的谱图中还观察到了[2M+H]+、[2M+Na]+以及[M+NH4]+等分子离子峰,这些不规则的出峰形式将影响到未知类固醇样品的检测。与电喷雾质谱的结果相似,在低温等离子质谱的正离子模式下,样品分子基本上是以[M+H]+的形式出现。值得注意的是,在雌二醇的低温等离子体质谱一级谱中,除了有[M+H]+的质子峰之外,基峰的存在形式却是在电喷雾质谱中比较少见的[M-e]+峰。对比雌二醇和其它5个类固醇的结构,推测在高离子密度的低温等离子体中,雌二醇中的酚羟基结构与其它类固醇中醇羟基和羰基相比更容易失去电子。低温等离子质谱中的一级谱图可以体现出类固醇化合物的结构稳定性。如图 2所示,睾酮、胆固醇和孕酮这3个样品的一级谱图中仅存在加质子峰,而在孕烯醇酮和去氢表雄酮的一级谱图中却出现了除质子峰之外的分别丢失1个水分子和2个水分子的峰。另外,在雌二醇的一级图中也出现丢失1个水分子的峰。这在某种程度上代表了各个类固醇之间的稳定性差别。为了印证上述推测,对6个类固醇的母离子([M+H]+峰)分别做了碰撞诱导碎裂(CID),得到了各自的二级谱图。CID的能量相当于样品母离子在质谱碰撞池中获得的内能,而这部分内能则是母离子发生碎裂的前提条件,故而母离子碎裂所需CID能量的高低直接反应了化合物的稳定性。例如,睾酮和去氢表雄酮是同分异构体,均为288.21,对其母离子m/z 289.22分别做不同能量的CID碎裂,结果如图 3所示。睾酮的母离子在CID能量为20时仅发生部分分解,其完整二级谱图的获得需要将CID能量提高到25;而去氢表雄酮的完整二级谱图在CID能量仅为20时就可以得到,当CID能量提高到25时,母离子的强度已经完全消失。从二级质谱的结果可知,睾酮分子结构比去氢表雄酮更为稳定,这与低温等离子体中两者的一级谱图结果一致。
图 2
图 2. 睾酮(A, G)、胆固醇(B, H)、孕酮(C, I)、孕烯醇酮(D, J)、去氢表雄酮(E, K)以及雌二醇(F, L)样品分别在低温等离子体质谱(A, B, C, D, E, F)和电喷雾质谱(G, H, I, J, K, L)中的一级谱图Figure 2. Low temperature plasma mass spectrometry (LTP-MS) (A, B, C, D, E, F) and electrospray mass spectrometry (ESI-MS) (G, H, I, J, K, L) spectra of testosterone (A, G), cholesterol (B, H), progesterone (C, I), pregnenolone (D, J), dehydroepiandrosterone (E, K) and estradiol (F, L), respectively图 3
化合物的二级质谱图通常能够给出极其丰富的结构信息。从这6个类固醇的二级质谱图中可以看出,这6个类固醇都存在丢失1个或者2个中性水分子的二级碎片离子。由于类固醇的结构较为相似,选取了其中4个典型化合物(睾酮、去氢表雄酮、孕烯醇酮和雌二醇),对它们在CID模式下的丢水过程做了具体分析(如图 4所示)。对于睾酮和去氢表雄酮这对同分异构体,在各自的二级谱图中都出现了连续丢失2个水分子的碎片离子峰。对于睾酮分子,质子首先加在羰基氧上,发生烯醇互变之后丢失一分子水形成碳正离子,而后双键转移形成更稳定的碳正离子,另一分子水则是通过五元环上的羟基与邻位的氢发生1, 2消除形成双键后丢失;如果质子首先加在五元环的羟基氧上后也可以发生一分子水的丢失形成碳正离子,而另一分子水则由六元环的羰基烯醇互变之后发生1, 2消除反应形成三键后丢失。为了验证碎裂途径的合理性,对两个碎裂过程分别进行了理论计算,并绘制了相应的势能曲线图(图 4A和4E)。对于这两个途径的能量分析,首先质子加在羰基氧上能量更低,更为稳定,另外途径二的终产物在六元环中同时拥有双键和三键,致使其丢失第二个水分子异常艰难,两个因素均表明途径一比途径二在热力学上更为有利。对于去氢表雄酮分子,质子首先加在五元环的羰基氧上,发生烯醇互变之后丢失一分子水形成碳正离子,而后发生1, 2甲基迁移形成更稳定的碳正离子,另外一分子水则是通过六元环上的羟基与邻位的氢发生1, 2消除形成稳定的双烯结构后丢失;同样,如果质子首先加在六元环的羟基氧上丢失一分子水,而另一分子水则由五元环的羰基氧发生羰基烯醇互变之后,发生1, 2消除反应形成三键后丢失(图 4B和4F)。通过能量比较,途径二的终产物在五元环上带有三键,能量远高于途径一的产物,另外六元环上丢水生成双烯结构比形成与双键脱离的碳正离子稳定,也使得丢失第二个水分子通过第二种裂解途径不易发生。分析孕烯醇酮的碎裂,发现与前两个类固醇结构的区别在于其羰基氧在环外。对于孕烯醇酮,质子首先加在环外的羰基氧上,发生烯醇互变之后丢失一分子水形成碳正离子,而后发生1, 3甲基迁移形成更稳定的碳正离子,另外一分子水则是通过六元环上的羟基与邻位的氢发生1, 2消除形成稳定的双烯结构后丢失;另一种裂解途径则是质子首先加在六元环的羟基氧上丢失一分子水,而另一分子水则由环外的羰基氧发生羰基烯醇互变之后1, 2消除形成三键后丢失,得到的子离子(m/z=253)中三键虽然不再影响产物结构稳定性,但六元环上丢水生成双烯结构比形成与双键脱离的碳正离子稳定,也使得这种裂解途径热力学较不可取(图 4C和4G)。与其它几个类固醇样品相比,雌二醇在结构上最大的不同之处是其拥有一个酚羟基。虽然雌二醇拥有两个容易丢失中性水的羟基,但是在其二级质谱图中并没有发现连续丢失两分子水的结果,这可能与酚羟基的氧参与苯环的杂化致使其键能不易碎裂有关,对于丢水过程的能量计算分析发现,两条途径丢失第二个水分子均需要较多能量也印证了上述观点(图 4D和4H)。
图 4
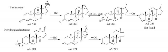
图 4. 睾酮(A, E)、去氢表雄酮(B, F)、孕烯醇酮(C, G)和雌二醇(D, H)在CID二级质谱中丢水过程的能量计算s (A, B, C, D)以及相应的二级谱图(E, F, G, H)Figure 4. Calculated energy changes (A, B, C, D) and the respective tandem mass spectra (E, F, G, H) of the fragmentation pathway for testosterone (A, E), dehydroepiandrosterone (B, F), pregnenolone (C, G) and estradiol (D, H) in CID process通过质谱的二级碎裂来区分同分异构体是质谱分析的重要手段。对于睾酮和去氢表雄酮这对同分异构体,其二级谱图极其相似,不同点在于去氢表雄酮分子在CID碎裂时会产生分子量为243的碎片离子, 而睾酮分子则不会。子离子(m/z=243)和母离子(m/z=289)的分子量相差46,结合高分辨的数据分析得到其组成应是一个水加上一个羰基。推测的裂解过程如图 5所示,丢失水和丢失羰基是两个较为独立的过程,但由于在去氢表雄酮的二级谱图中没有观察到直接丢失28的碎片,因此推测应该是先丢失水。这两个同分异构体都含有羰基的官能团,但睾酮的羰基与相邻的双键形成1, 4共轭使其较为稳定,较之去氢表雄酮碎裂所需能量更大,更难碎裂。基于此,可以通过两个化合物结构上丢失羰基的难易程度,从它们的二级质谱图上区分这对同分异构体。
图 5
4. 结论
在本研究中,将自行设计搭建的低温等离子体进行改进,作为离子源与高分辨质谱联用。研究结果表明,此设备可以对各种类固醇样品进行快速、准确的定性分析。此外,在低温等离子体质谱中,固醇类样品更容易体现出自身的结构稳定差异。与电喷雾质谱相同,在低温等离子质谱中,同样可以对样品分子进行二级碎裂,得到包含丰富结构信息的碎片离子。最后对所选的类固醇样品进行了碎裂分析,结合其二级谱图可以有效区分同分异构体。
-
-
[1]
Caron P, Turcotte V, Guillemette C. Steroids, 2015, 104:16-24 doi: 10.1016/j.steroids.2015.07.009
-
[2]
Genangeli M, Caprioli G, Cortese M, Laus F, Matteucci M, Petrelli R, Ricciutelli M, Sagratini G, Sartori S, Vittori S. J. Mass Spectrom., 2017, 52(1):22-29 doi: 10.1002/jms.3896
-
[3]
Jauković Z D, Grujić S D, Bujagić I V M, Laušević M D. Microchem. J., 2017, 135:39-47 doi: 10.1016/j.microc.2017.07.011
-
[4]
Guedes-Alonso R, Sosa-Ferrera Z. Food Chem., 2017, 237:1012-1020 doi: 10.1016/j.foodchem.2017.06.065
-
[5]
Matysik S, Liebisch G. J. Chromatogr. A, 2017, 1526:112-118 doi: 10.1016/j.chroma.2017.10.042
-
[6]
Horning E C, Horning M G, Carroll D I, Stillwell R N. Anal. Chem., 1973, 45(6):936-943 doi: 10.1021/ac60328a035
-
[7]
Dole M, Mack L L, Hines R L. J. Chem. Phys., 1968, 49(5):2240-2249 doi: 10.1063/1.1670391
-
[8]
Kebarle P, Verkerk U H. Mass Spectrom. Rev., 2009, 28(6):898-917 doi: 10.1002/mas.v28:6
-
[9]
Karas M, Hillenkamp F. Anal. Chem., 1988, 60(20):2299-2301 doi: 10.1021/ac00171a028
-
[10]
Tanaka K, Waki H, Ido Y, Akita S, Yoshida Y, Yoshida T, Matsuo T. Rapid Commun. Mass Spectrom., 1988, 2(8):151-153 doi: 10.1002/(ISSN)1097-0231
-
[11]
Bothner B, Siuzdak G. ChemBioChem., 2004, 5(3):258-260 doi: 10.1002/cbic.v5:3
-
[12]
Langmuir I. Proc. Natl. Acad. Sci. USA, 1928, 14(8):627-637 doi: 10.1073/pnas.14.8.627
-
[13]
Martínez-Jarquín S, Winkler R. TrAC-Trends Anal. Chem., 2017, 89, 133-145 doi: 10.1016/j.trac.2017.01.013
-
[14]
Martínez-Jarquín S, Moreno-Pedraza A, Guillén-Alonso H, Winkler R. Anal. Chem., 2016, 88(14):6976-6980 doi: 10.1021/acs.analchem.6b01019
-
[15]
Harper J D, Charipar N A, Mulligan C C, Zhang X, Cooks R G, Ouyang Z. Anal. Chem., 2008, 80(23):9097-9104 doi: 10.1021/ac801641a
-
[16]
Martínez-Jarquín S, Winkler R. Rapid Commun. Mass Spectrom., 2013, 27(5):629-634 doi: 10.1002/rcm.6494
-
[17]
Benassi M, Berisha A, Romão W, Babayev E, Römpp A, Spengler B. Rapid Commun. Mass Spectrom., 2013, 27(7):825-834 doi: 10.1002/rcm.6518
-
[1]
-
图 2 睾酮(A, G)、胆固醇(B, H)、孕酮(C, I)、孕烯醇酮(D, J)、去氢表雄酮(E, K)以及雌二醇(F, L)样品分别在低温等离子体质谱(A, B, C, D, E, F)和电喷雾质谱(G, H, I, J, K, L)中的一级谱图
Figure 2 Low temperature plasma mass spectrometry (LTP-MS) (A, B, C, D, E, F) and electrospray mass spectrometry (ESI-MS) (G, H, I, J, K, L) spectra of testosterone (A, G), cholesterol (B, H), progesterone (C, I), pregnenolone (D, J), dehydroepiandrosterone (E, K) and estradiol (F, L), respectively
图 4 睾酮(A, E)、去氢表雄酮(B, F)、孕烯醇酮(C, G)和雌二醇(D, H)在CID二级质谱中丢水过程的能量计算s (A, B, C, D)以及相应的二级谱图(E, F, G, H)
Figure 4 Calculated energy changes (A, B, C, D) and the respective tandem mass spectra (E, F, G, H) of the fragmentation pathway for testosterone (A, E), dehydroepiandrosterone (B, F), pregnenolone (C, G) and estradiol (D, H) in CID process
-
扫一扫看文章
计量
- PDF下载量: 2
- 文章访问数: 934
- HTML全文浏览量: 180

下载:
下载:
下载: