Citation: CAO Ting-Ting, SUN Jun-Yong, GAO Feng. A Ratiometric Fluorescence Sensing for Carboxylesterase Based on Semiconducting Polymer Quantum Dots[J]. Chinese Journal of Analytical Chemistry, 2017, 45(12): 1930-1936. doi: 10.11895/j.issn.0253-3820.171320
基于半导体聚合物量子点的羧酸酯酶比率荧光传感
English
A Ratiometric Fluorescence Sensing for Carboxylesterase Based on Semiconducting Polymer Quantum Dots
-
1. 引言
羧酸酯酶(Carboxylesterase, CaE)是一种多基因家族酶[1],多存在于人体的肝脏和大脑等组织以及多种动物体内。体内的羧酸酯酶可以作为药物代谢酶催化水解包括酯类、酰胺类在内的内源性和外源性的物质。体内羧酸酯酶含量的异常会诱发多种疾病,如肥胖症、肝脂肪变性、高血脂和癌症等疾病[2]。因此,建立灵敏、快速检测羧酸酯酶的方法在生化分析、临床医学等领域具有重要的意义。
目前,检测羧酸酯酶的方法主要有荧光法[3~5]、高效液相色谱法[6]等,如Zhang等[5]设计了一种基于试卤灵衍生物的“关-开”型荧光探针,实现了对羧酸酯酶的检测和成像分析。荧光分析法具有灵敏、快速、操作简单等优点而被广泛采用[3~5]。然而,目前检测羧酸酯酶的方法多局限于使用“打开型”荧光探针,具有稳定性差、检测限偏高的缺陷[3~5]。比率型荧光探针具有可有效降低因仪器、环境等因素所引起的荧光强度偏移等特点,因此基于比率型荧光探针的荧光法可提高分析结果的灵敏度及准确度[7~9]。
半导体聚合物纳米点(Pdots)是指由聚合物形成的不连续相的分散颗粒(<100 nm),分散在连续自由流动的介质(通常是水)中。相比于无机半导体,半导体聚合物的光电性质易通过简单的修饰进行改善和调节,进而实现对材料发光性能的控制[10, 11]。Pdots具有荧光亮度高、光稳定性好、生物相容性好等诸多优势,可用于生物与化学传感、细胞成像与免疫分析等方面[12, 13],使得半导体聚合物作为一种新型发光材料受到越来越多的关注[14]。
本研究基于荧光共振能量转移的原理以及给体PFO Pdots与受体荧光素二乙酸酯的水解产物荧光素的荧光强度的比率构建了比率型荧光探针,实现了羧酸酯酶活性的定量检测。将此探针用于兔血清内的羧酸酯酶含量检测,结果令人满意。
2. 实验部分
2.1 仪器与试剂
LS-55荧光光谱仪、Lambda 35紫外-可见分光光度计(美国PerkinElmer公司);HT 7700透射电子显微镜(日本Hitachi公司);FLSP920全功能稳态瞬态荧光光谱仪(英国爱丁堡仪器公司);HC-2518R高速冷冻离心机(安徽中科中佳科学仪器有限公司)。
聚[(9, 9-二辛基芴)] (PFO)、4-羟乙基哌嗪乙磺酸(HEPES)、聚乙二醇(PEG,MW 3350)(加拿大ADS Dyes公司);四氢呋喃(THF≥99.9%, 无抑制剂,上海国药集团化学试剂有限公司);羧酸酯酶(来自猪肝脏,≥50 U/mg)、4-(2-氨乙基)苯磺酰基氟化盐酸盐(AEBSF)、荧光素二乙酸酯(FDA)(Sigma-Aldrich公司);聚乙烯亚胺(PEI,MW 10000,99%,上海阿拉丁公司);超滤离心管(Amicon Ultra-4; MWCO: 10 kDa,美国Millipore公司);兔血清由张明翠教授实验室提供。实验用水为超纯水(电阻率>18.2 MΩ cm);所用试剂均为分析纯。
2.2 实验方法
2.2.1 PFO Pdots的制备
根据文献[15, 16],利用纳米沉淀法制备PFO Pdots。首先将半导体共轭聚合物PFO溶于有机溶剂THF中,配制成1 mg/mL的聚合物母液,于4℃保存。在超声条件下,将2 mL聚合物稀释液(20 μg/mL)快速注入8 mL超纯水中,超声5 min。再将所得混合溶液转移至圆底烧瓶中,76℃下旋转蒸发除去THF并浓缩。用0.22 μm孔径的醋酸纤维膜过滤以除去大颗粒,得到50 μg/mL的PFO Pdots。
2.2.2 PFO Pdots的功能化
PFO Pdots在制备过程中由于聚合物部分双键断裂氧化成氧负离子[17],可以与带正电的PEI通过静电作用组装得到Pdots@PEI。为了防止半导体聚合物量子点聚集,将40 μL PEG (5%,w/V)加入到2 mL 50 μg/mL PFO Pdots和1 mL 1.0 mg/mL PEI中,混合搅拌2 h。再将混合溶液用超滤离心管离心(4000 r/min, 3 min×3次),滤掉未能与Pdots结合的PEI。最终得到功能化的Pdots@PEI的浓度为25 μg/mL。
2.2.3 荧光法测定CaE
在一系列的离心管中分别加入20 μL功能化的Pdots@PEI及1 μL 1 mmol/L FDA,加入不同体积的CaE,再加入HEPES缓冲液(20 mmol/L, pH 7.4)稀释至200 μL,37℃孵育60 min,在380 nm激发波长下测定荧光值。
2.2.4 兔血中CaE的荧光测定
将兔血以3000 r/min离心20 min,收集上清液,于2℃~8℃下保存,待用。测定时,取适量上清液,加入功能化的Pdots@PEI以及FDA,用20 mmol/L HEPES缓冲溶液(pH 7.4)稀释,使最终反应体系中血清稀释倍数为40倍,Pdots@PEI的最终浓度为2.5 μg/mL, FDA的最终浓度为5 μmol/L,加上清液,37℃孵育60 min。根据512 nm和440 nm处的荧光强度比值(I512/I440)计算血清中的CaE浓度。
3. 结果与讨论
3.1 探针对CaE的响应机理
选用半导体聚合物PFO,采用纳米沉淀法合成PFO Pdots。如图 1A所示,所合成的半导体聚合物量子点呈球状均匀分布。在制备过程中,尽管半导体聚合物能均匀地溶解在THF里使其呈线状,但由于半导体聚合物本身固有的疏水特性使得聚合物表面仍然有大量疏水位点,因而在注水时能迅速卷曲成球形[17]。PEI是具有高阳离子密度的聚合物,在水中以聚合阳离子形式存在[18]。而半导体聚合物本身具有大量的共轭双键,其在聚合过程中部分双键会断裂形成表面带氧负离子的PFO Pdots,从而与带正电荷PEI通过静电作用组装成纳米复合物Pdots@PEI (图 1B)。浓度较低的Pdots在水中能均匀分散,因而PEI可均匀地与PFO Pdots结合形成球形带正电的Pdots@PEI(图 1B)。由图 1所示的透射电镜(TEM)可知,所制备的Pdots (图 1A)与Pdots@PEI (图 1B)都呈球状且均匀分散在水中,且两者粒径相近,约为25 nm,与文献[11]报道结果相一致。
图 1
图 1. 与PEI组装前(A)和组装后(B)的PFO Pdots的TEM图Figure 1. Transmission electron microscopy images of poly(9, 9-dioctylfluorenyl-2, 7-diyl) (PFO) polymer quantum dots (Pdots) before (A) and after (B) assembled with polyethyleneimine (PEI)基于PFO Pdots@PEI荧光探针与羧酸酯酶底物荧光素二乙酸酯(FDA)的水解产物荧光素之间的荧光能量转移机制构建了比率检测羧酸酯酶的新方法,检测原理如图 2所示。FDA是一种电中性且无荧光发射的羧酸酯酶底物,在CaE的催化作用下,FDA水解生成带负电荷的荧光物质荧光素[19]。荧光素的吸收峰与PFO Pdots荧光发射峰有很好的重叠,且带负电荷的荧光素与带正电荷的PFO Pdots@PEI之间由于静电作用而使两者之间距离拉近,进而可以发生共振能量转移。该能量转移体系中,Pdots@PEI为能量给体,而荧光素为能量受体。此外,在相同的激发波长下,PFO Pdots@PEI和荧光素的发射峰之间能有效分离,从而为构建比率型传感提供了前提条件。在不同浓度的羧酸酯酶存在条件下,能量给体PFO Pdots@PEI的荧光强度逐渐减弱,而能量受体荧光素的荧光强度逐渐增强,以两者之间的荧光强度比的线性变化为信号,建立了比率检测CaE活性的新方法。
图 2
3.2 方法可行性研究
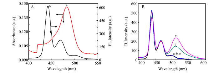
考察了PFO Pdots与羧酸酯酶底物荧光素二乙酸酯的水解产物荧光素之间的荧光能量转移。如图 3所示,荧光素在460~500 nm之间有一个明显的吸收峰(图 3A曲线a),而Pdots@PEI在430~480 nm之间荧光发射峰(图 3A曲线b)。PFO Pdots@PEI的荧光发射峰与荧光素的吸收峰之间存在较大程度的光谱重叠,表明两者之间有可能发生荧光共振能量转移。图 3B是不同体系的荧光光谱曲线,曲线a与曲线b几乎重叠,表明PFO Pdots功能化后的荧光光谱特性未发生明显改变。曲线c是在FDA和CaE存在条件下的PFO Pdots的荧光曲线,与PFO Pdots的荧光光谱图相比,未发生明显变化,表明PFO Pdots与FDA水解产物荧光素之间未发生有效的荧光能量转移,这是由于带负电荷的PFO Pdots与带负电荷的荧光素之间静电相斥作用导致两者距离较远而无法发生有效荧光能量转移。然而,当PFO Pdots用PEI功能化后而使其带正电荷,由于静电作用拉近了PFO Pdots@PEI与FDA水解产物荧光素之间的距离,两者之间发生了有效的能量转移。由曲线d和e可见,在FDA和CaE存在条件下的情况下,PFO Pdots的荧光曲线发生了明显的变化,给体PFO Pdots的荧光峰减弱而受体荧光素的荧光峰(512 nm)增强,且与加入的CaE的浓度存在正相关性。这是由于随着CaE浓度的增大,FDA水解后产生的荧光素浓度增多,使得512 nm处的荧光强度依次大幅度增强而PFO Pdots的荧光峰大幅减弱。据此,以两者之间的荧光强度比(I512/I440)可实现对CaE活性的比率检测。
图 3
图 3. (A) 荧光素的吸收光谱(a)和Pdots@PEI的荧光发射光谱(b)。(B)不同体系的荧光光谱图:(a) PFO Pdots,(b)Pdots@PEI,(c)PFO Pdots + FDA(5 μmol/L) + CaE (50 U/L),(d)Pdots@PEI + FDA(5 μmol/L) + CaE (20 U/L),(e) Pdots@PEI+ FDA (5 μmol/L) + CaE (50 U/L)。激发波长为380 nmFigure 3. (A) Absorbance spectrum of fluorecein (a) and emission spectrum of Pdots@PEI. (B) Emission spectrum of PFO Pdots (a), Pdots@PEI (b), PFO Pdots with CaE (50 U/L) and fluorescein diacetate (FDA)(5 μmol/L) (c), Pdots@PEI with CaE(20 U/L) and FDA(5 μmol/L) (d) and Pdots@PEI with CaE (50 U/L) and FDA(5 μmol/L) (e)3.3 条件优化
CaE在温度为5℃~85℃, pH 7~12时,活性最高[20],而FDA在低的pH值时水解效率高[19]。文献多数选择在37℃下检测酶活性[21]。因此本研究选择温度为37℃,pH 7.4的条件进行反应。考察了时间对反应体系的影响,由图 4可见,当反应时间在60 min时,荧光强度比达到最大。因此本研究选择在37℃,pH 7.4的环境下反应60 min进行试验。
图 4
3.4 线性范围、检测限和选择性
在最佳条件下,在检测体系(PFO Pdots@PEI 2.5 μg/mL, FDA 5 μmol/L)中加入不同浓度的CaE (0~120 U/L),于20 mmol/L HEPES (pH 7.4)中,37℃孵育60 min (以下实验条件均相同),结果如图 5A所示。随着CaE浓度增大,Pdots在440和467 nm处的荧光强度逐渐减弱,而FDA在512 nm处的荧光强度逐渐增强。如图 5B所示,当CaE的浓度达到70 U/L时,I512/I440达到稳定值。CaE的浓度在0.75~50.00 U/L时与I512/I440呈良好的线性关系(图 5B插图),线性方程为I512/I440 =0.2752+0.0087CCaE (R2= 0.9971),检出限为0.75 U/L(S/N=3)。为了验证本方法对CaE检测的选择性,选择了一系列常见干扰物质进行实验。如图 5C所示,与CaE的响应相比,Na+、K+、Ca2+、Cu2+、Zn2+、Mg2+、DNA、葡萄糖、壳聚糖、刚果红、H2O2、丝氨酸、vitamin C和精氨酸对本探针的响应较小,说明本方法对CaE的检测具有优良的选择性。
图 5
图 5. (A) 反应体系对不同浓度CaE的荧光发射光谱;(B)反应体系对不同浓度CaE的(荧光强度比) I512/I440,插图为检测CaE的标准曲线;(C)不同干扰物质存在时反应体系的荧光强度。2.5 μg/mL Pdots @PEI,5 μmol/L FDA,20 mmol/L HEPES,pH 7.4Figure 5. (A) Fluorescence emission spectra of the sensing system at various concentration of CaE; (B) Intensity ratio (I512/I440) of the sensing system with various concentration of CaE, inset is standard curve of I512/I440 versus the CaE concentration; (C) Intensity ratio (I512/I440) of different interference spices. 2.5 μg/mL Pdots @PEI, 5 μmol/L FDA, 20 mmol/L HEPES, pH 7.Ⅳ3.5 方法机理的验证
为了验证本分析体系中CaE对FDA的催化水解作用,加入CaE的抑制剂(AEBSF 2 mmol/L)进行对照实验,结果如图 6A所示。相比于CaE (80 U/L)组,空白组和加AEBSF组对探针的响应大幅度减弱,证明了本体系中CaE对FDA的催化水解作用。在反应后,Pdots@PEI与FDA的水解产物荧光素距离被拉近而结合生成复合物,反应后的产物的TEM图如图 6B所示,与图 1相比,其尺寸明显增大,粒径约为30 nm。为了近一步证明FRET的机理,测定了体系反应前后的荧光寿命,时间分辨光谱图如图 6C的所示,反应前后的荧光寿命分辨为3.72 ns和3.40 ns。由图 3B曲线c可见,未修饰PEI的PFO Pdots带有负电荷,其发射光谱不受荧光素影响,以上结果排除了内滤效应的影响,进一步证明了FRET的机理。
图 6
图 6. (A) 加AEBSF和不加AEBSF时本体系的荧光强度比; (B)Pdots@PEI与FDA和CaE反应后的TEM图; (C) Pdots@PEI与FDA和CaE反应前(a)和反应后(b)的时间分辨光谱图Figure 6. (A)Fluorescence intensity ratio for the assay system in the presence and absence of AEBSF; (B)TEM image of Pdots@PEI after reaction with FDA and CaE; (C) Time-resolved spectrum of Pdots@PEI before (a) and after (b) reaction with FDA and CaE3.6 实际血样分析
将制备的探针用于兔血清内CaE含量的检测,结果如表 1所示,稀释40倍的兔血清内CaE的含量约为0.925 U/L,加标回收率在99.9%~117.8%之间,说明本方法对CaE的检测具有很高的准确度和可信度。
表 1
表 1 兔血清(稀释40倍)内CaE含量的检测结果(n=5)Table 1. Determination of carboxylesterase in rabbit blood (40-fold dilution, n=5)序号
No.加入CaE的量
Added CaE
(U/L)测得的CaE总量
Total found CaE
(U/L)测得的血清内CaE含量
Measured (U/L) by this probe回收率
Recovery
(%)1 0 0.925 0.925 - 2 5 5.953 0.953 100.5 3 10 10.904 0.904 117.8 4 20 20.946 0.946 100.1 5 30 30.917 0.917 99.9 将本方法与其它已报道的检测CaE的文献进行比较,结果如表 2所示。采用合成的探针实现了利用比率型荧光法检测CaE的活性,与以往常用的荧光“打开型”方法和高效液相色谱法等有所不同,比率型荧光探针在某种程度上可以减少外界的影响因素的干扰,保证其结果的准确度。并且,本文中所设计的探针对CaE的检测限较低,且可用于动物体血清内的CaE含量的检测,是一种简便快捷的检测CaE的方法。
表 2
序号
No.方法
Method检测范围
Detection range检出限
Detection limit参考文献
Literature1 HPLC Not given Not given [4] 2 layer-by-layer deposition Not given Not given [22] 3 Ratiometric fluorescent mode Not given Not given [23] 4 Fluorescent turn-on mode Not given Not given [5] 5 Fluorescent turn-on mode 40-300 U/ L 5.2~10 U/L [6] 6 Fluorescent turn-on mode 0~500 U/L 2.4 U/L [24] 7 本方法 This probe 0.75~50 U/L 0.75 U/L 本工作 This work 4. 结论
建立了以PFO Pdots@PEI为给体,FDA的水解产物荧光素为受体共振能量转移体系,利用CaE对FDA的催化水解作用,构建了一种检测CaE的比率荧光新方法,具有操作简单、选择性好、检出限低等特点。
-
-
[1]
Park S J, Lee H W, Kim H R, Kang C H, Kim H M. Chem. Sci., 2016, 7:3703-3709 doi: 10.1039/C5SC05001D
-
[2]
Li B, Sedlacek M, Manoharan I, Boopathy R, Duysen E G, Masson P, Lockridge O. Biochem. Phar., 2005, 70:1673-1684 doi: 10.1016/j.bcp.2005.09.002
-
[3]
Yang Y, Huang Y Y, Zhang G X, Zhao R, Zhang D Q. Acta Chim. Sinica, 2016, 74:871-876 doi: 10.6023/A16080415
-
[4]
Levine M N, Hoang T T, Raines R T. Chem.Biol., 2013, 20:614-618 doi: 10.1016/j.chembiol.2013.03.016
-
[5]
Zhang Y Y, Chen W, Feng D, Shi W, Li X H, Ma H M. Analyst, 2012, 137:716-721 doi: 10.1039/C2AN15952J
-
[6]
Koitka M, Hochel J, Obst D, Rottmann A, Gieschen H, Borchert H H. Anal. Biochem., 2008, 381:113-122 doi: 10.1016/j.ab.2008.06.019
-
[7]
Sun J Y, Mei H, Wang S F, Gao F. Anal. Chem., 2016, 88:7372-7377 doi: 10.1021/acs.analchem.6b01929
-
[8]
Cui Q L, Yang Y, Yao C, Liu R H, Li L D. ACS Appl. Mater. Interfaces, 2016, 8:35578-35586 doi: 10.1021/acsami.6b12525
-
[9]
Xue Y Y, Liang W S, Li Y, Wu Y, Peng X W, Qiu X Q, Liu J B, Sun R C. J. Agr. Food Chem., 2016, 64:9592-9600 doi: 10.1021/acs.jafc.6b04583
-
[10]
Chan Y H, Wu C F, Ye F M, Jin Y H, Smith P B, Chiu D T. Anal. Chem., 2011, 83:1448-1455 doi: 10.1021/ac103140x
-
[11]
Zhang X J, Yu J B, Wu C F, Jin T H, Rong Y, Ye F M, Chiu D T. ACS Nano, 2012, 6(6):5429-5439 doi: 10.1021/nn301308w
-
[12]
Wang C, Sun J Y, Mei H, Gao F. Anal. Methods, 2016, 8:7755-7761 doi: 10.1039/C6AY02082H
-
[13]
Sun J Y, Wang S F, Gao F. Langmuir, 2016, 32:12725-12731 doi: 10.1021/acs.langmuir.6b03002
-
[14]
Sun W, Hayden S, Jin Y H, Rong Y, Yu J B, Ye F M, Chan Y H, Zeigler M, Wu C F, Chiu D T. Nanoscale, 2012, 4:7246-7249 doi: 10.1039/c2nr32055j
-
[15]
Wu C F, Bull B, Szymanski C, Christensen K, McNeill J. ACS Nano, 2008, 2(11):2415-2423 doi: 10.1021/nn800590n
-
[16]
Wu C F, Zheng Y L, Szymanski C, McNeill J. J. Phys. Chem. C, 2008, 112:1772-1781 doi: 10.1021/jp074149+
-
[17]
Clafton S N, Beattie D A, Agnieszka M V, Acres R G, Morgan A C, Kee T W. Langmuir, 2010, 26(23):17785-17789 doi: 10.1021/la103063p
-
[18]
Gui R J, An X Q, Huang W X. Anal. Chim. Acta, 2013, 767:134-140 doi: 10.1016/j.aca.2013.01.006
-
[19]
Yue X, Peng L, Li P C.H. Anal. Chem., 2004, 76:5282-5292 doi: 10.1021/ac0493830
-
[20]
Gudiukaite R, Sadauskas M, Gegeckas A, Malunavicius V, Citavicius D. J. Ind. Microbiol. Biotechnol., 2017, 44:799-815 doi: 10.1007/s10295-017-1905-4
-
[21]
Wang C H, Qiu J G, Yang Y J, Zheng J W, He J, Li S P. Biotechnol. Lett., 2017, 39:553-560 doi: 10.1007/s10529-016-2276-z
-
[22]
Sigolaeva L V, Dubacheva G V, Porus M V, Eremenko A V, Rudakova E V, Makhaeva G F, Richardsond R J, Kurochkin I N. Anal. Methods, 2013, 5:3872-3879 doi: 10.1039/c3ay40339d
-
[23]
Komatsu T, Urano Y, Fujikawa Y, Kobayashi T, Kojima H, Terai T, Hanaoka K, Nagano T. Chem. Commun., 2009:7015-7017
-
[24]
Gao M, Hu Q L, Feng G X, Tang B Z, Liu B. J. Mater. Chem. B, 2014, 2:3438-3442 doi: 10.1039/C4TB00345D
-
[1]
-
图 3 (A) 荧光素的吸收光谱(a)和Pdots@PEI的荧光发射光谱(b)。(B)不同体系的荧光光谱图:(a) PFO Pdots,(b)Pdots@PEI,(c)PFO Pdots + FDA(5 μmol/L) + CaE (50 U/L),(d)Pdots@PEI + FDA(5 μmol/L) + CaE (20 U/L),(e) Pdots@PEI+ FDA (5 μmol/L) + CaE (50 U/L)。激发波长为380 nm
Figure 3 (A) Absorbance spectrum of fluorecein (a) and emission spectrum of Pdots@PEI. (B) Emission spectrum of PFO Pdots (a), Pdots@PEI (b), PFO Pdots with CaE (50 U/L) and fluorescein diacetate (FDA)(5 μmol/L) (c), Pdots@PEI with CaE(20 U/L) and FDA(5 μmol/L) (d) and Pdots@PEI with CaE (50 U/L) and FDA(5 μmol/L) (e)
图 5 (A) 反应体系对不同浓度CaE的荧光发射光谱;(B)反应体系对不同浓度CaE的(荧光强度比) I512/I440,插图为检测CaE的标准曲线;(C)不同干扰物质存在时反应体系的荧光强度。2.5 μg/mL Pdots @PEI,5 μmol/L FDA,20 mmol/L HEPES,pH 7.4
Figure 5 (A) Fluorescence emission spectra of the sensing system at various concentration of CaE; (B) Intensity ratio (I512/I440) of the sensing system with various concentration of CaE, inset is standard curve of I512/I440 versus the CaE concentration; (C) Intensity ratio (I512/I440) of different interference spices. 2.5 μg/mL Pdots @PEI, 5 μmol/L FDA, 20 mmol/L HEPES, pH 7.Ⅳ
图 6 (A) 加AEBSF和不加AEBSF时本体系的荧光强度比; (B)Pdots@PEI与FDA和CaE反应后的TEM图; (C) Pdots@PEI与FDA和CaE反应前(a)和反应后(b)的时间分辨光谱图
Figure 6 (A)Fluorescence intensity ratio for the assay system in the presence and absence of AEBSF; (B)TEM image of Pdots@PEI after reaction with FDA and CaE; (C) Time-resolved spectrum of Pdots@PEI before (a) and after (b) reaction with FDA and CaE
表 1 兔血清(稀释40倍)内CaE含量的检测结果(n=5)
Table 1. Determination of carboxylesterase in rabbit blood (40-fold dilution, n=5)
序号
No.加入CaE的量
Added CaE
(U/L)测得的CaE总量
Total found CaE
(U/L)测得的血清内CaE含量
Measured (U/L) by this probe回收率
Recovery
(%)1 0 0.925 0.925 - 2 5 5.953 0.953 100.5 3 10 10.904 0.904 117.8 4 20 20.946 0.946 100.1 5 30 30.917 0.917 99.9 表 2 本方法与其它检测CaE的方法相比较
Table 2. Comparison of this probe system with other reported methods
序号
No.方法
Method检测范围
Detection range检出限
Detection limit参考文献
Literature1 HPLC Not given Not given [4] 2 layer-by-layer deposition Not given Not given [22] 3 Ratiometric fluorescent mode Not given Not given [23] 4 Fluorescent turn-on mode Not given Not given [5] 5 Fluorescent turn-on mode 40-300 U/ L 5.2~10 U/L [6] 6 Fluorescent turn-on mode 0~500 U/L 2.4 U/L [24] 7 本方法 This probe 0.75~50 U/L 0.75 U/L 本工作 This work -
扫一扫看文章
计量
- PDF下载量: 1
- 文章访问数: 691
- HTML全文浏览量: 92

下载:
下载:
下载: