Synthesis of novel isosorbide-based polycarbonates by melt chain extension method

Xiafeng Yang Wushan Sun Chen Li Wei Bai Qingyin Wang Gongying Wang

Citation:  Xiafeng Yang, Wushan Sun, Chen Li, Wei Bai, Qingyin Wang, Gongying Wang. Synthesis of novel isosorbide-based polycarbonates by melt chain extension method[J]. Chinese Chemical Letters, 2026, 37(4): 111674. doi: 10.1016/j.cclet.2025.111674 shu

Synthesis of novel isosorbide-based polycarbonates by melt chain extension method

English

  • Isosorbide (IS) is a bio-based compound that has attracted the attention of researchers at home and abroad due to its green and non-toxic properties. As research progresses, isosorbide and isosorbide derivatives have been demonstrated to possess high stability and good compatibility, and have been identified as promising candidates for replacing bisphenol A in the production of bio-based polycarbonates [1,2]. Researchers have extensively studied isosorbide-based polycarbonate as a bio-based material. In conditions characterized by elevated temperatures and humidity levels, Isosorbide-based polycarbonates (IS-PC) exhibits notable mechanical strength and stiffness, along with a commendable degree of impact resistance and heat resistance, as shown in Fig. S1 (Supporting information) [3-15].

    However, IS-PC exhibits issues with excessive structural stiffness and insufficient toughness in practical production applications [16,17]. Order to achieve substantial enhancement in the application performance of IS-PC and broaden its application scope, performance modification strategies must be implemented to augment its toughness. At present, the modification of IS-PC is principally focused on copolymerization by means of the melt-transesterification polycondensation method [18-25]. This method requires a high reaction temperature and a relatively long duration. Furthermore, the low activity of IS and the low boiling point of DMC make them more susceptible to methylation side reactions under alkaline conditions, which can lead to a series of problems, including molecular weight decrease and color deterioration, thus hindering the development and application of high-performance IS-PC [26-38]. Consequently, there is an urgent need for research exploring the use of innovative methods to produce IS-PC copolycarbonates.

    Melt chain expansion is a method of covalently bonding the chain-end functional groups of a polymer with a highly active chain extender while the polymer is in the molten state. This process has been demonstrated to be effective in increasing the relative molecular mass of polymers in a relatively brief period and at low temperatures [39-41]. Oh utilized one-step polymerization to successfully prepare thermoplastic biocompatible polyurethane elastomers (PCUs) containing IS and polycarbonate diols. The resulting elastomers exhibited glass transition temperatures (Tg) ranging from −38 ℃ to −34 ℃, tensile strengths ranging from 14 MPa to 54 MPa, and elongation at breaks ranging from 950% to 1800% [42]. However, it should be noted that this modification method has not yet been applied to the modification of IS-PC.

    The rigid structure of 1,4-cyclohexanedimethanol (CHDM) enhances the heat resistance and thermal stability of the material. Concurrently, the structural symmetry of the material enhances its light transmittance [43]. Furthermore, the carbon-oxygen bond in the structure of polyethylene glycol (PEG) exhibits intramolecular rotational freedom, a property that has the potential to enhance the material's toughness [44]. Consequently, CHDM and PEG1000 were selected as the modified monomers in this study. The first step in the synthesis of dicarboxymethyl isosorbide (DC) was the preparation stage, which involved the melt-transesterification method from IS and DMC. Subsequently, the isosorbide polycarbonate diol (HDC) was synthesized through a process of melt-transesterification polycondensation, involving the reaction of DC and CHDM. A series of novel isosorbide-based polycarbonates (PEXHDCYC) with high molecular weight have been successfully prepared by means of the melt chain expansion method. This method involves the introduction of PEG1000 as a flexible chain segment and highly active hexamethylene diisocyanate (HDI) as a chain extender. Furthermore, the impact of varying PEG1000 contents on the optical and mechanical properties of PEXHDCYC was examined. The synthesis process is illustrated in Fig. 1, and its particulars are elucidated in Supporting information [45].

    Figure 1

    Figure 1.  The synthesis process of PEHDCC.

    An investigation was conducted into the reaction temperature and time, as well as the amount of chain extender, for the synthesis of PEHDCC. It was established that PEHDCC, characterized by a weight average molecular weight of 73,294 g/mol and a PDI of 2.62, could be successfully synthesized under the optimal conditions of a reaction temperature of 140 ℃, a melt chain extension reaction time of 15 min, and a molar ratio of chain extender to terminal hydroxyl group of 1.2:1, which can be found in Supporting information. The FI-TR and 1H NMR characterization analysis of the structure of PEHDCC is shown in Figs. S6 and S7 (Supporting information) [46-49].

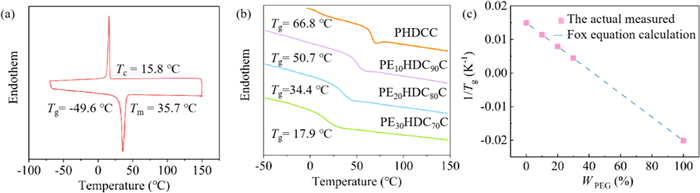
    A series of PEXHDCYC with different PEG1000 contents were synthesized by adjusting the molar ratio of PEG1000 to HDC under optimized reaction conditions using melt chain extension, and they were named PHDC, PE10HDC90C, PE20HDC80C, PE30HDC70C, and PEC. In order to study the melting and crystallization behavior of PEXHDCYC copolycarbonate, it was subjected to DSC tests under N2 atmosphere. The DSC curves of PEC synthesized by the reaction of PEG1000 and chain extender alone are displayed in Fig. 2a. The DSC curves of PEXHDCYC copolycarbonate with different feedstock ratios are displayed in Fig. 2b, and relationship between Tg of PEXHDCYC and mass fraction of PEG1000 segment in Fig. 2c.

    Figure 2

    Figure 2.  DSC curves of PEC and PEXHDCYC copolycarbonates. (a) Cooling scan and second heating scan of PEC. (b) Second heating scan of PEXHDCYC. (c) Relationship between Tg of PEXHDCYC and mass fraction of PEG1000 segment in the molecular chain.

    As demonstrated in Fig. 2a, this PEC polymer displays a pronounced and abrupt change in the melting peak, accompanied by a sharp and narrow cold crystallization peak in the cooling curve. This observation indicates that PEC exhibits a significant degree of crystallization ability. Conversely, as shown in Fig. 2b, when varying contents of PEG1000 were introduced to synthesize PEXHDCYC copolycarbonate, the DSC curves exhibited a more uniform profile, no abrupt melting peaks were detected, and a single glass transition temperature was observed. This finding indicates that an amorphous polymer with optimal compatibility was successfully synthesized [50,51].

    The glass transition temperatures of PEXHDCYC exhibited a gradual decrease in response to increasing PEG1000 addition. The glass transition temperatures of PHDCC, PE10HDC90C, PE20HDC80C and PE30HDC70C were determined to be 66.8, 50.7, 34.4 and 17.9 ℃, respectively. Furthermore, the glass transition temperatures of PEXHDCYC were located in the range between the glass transition temperatures of PHDCC (Tg = 66.8 ℃) and PEC (Tg = −49.6 ℃), which further indicates the role of PEG1000 in enhancing the toughness of the polymers.

    PEXHDCYC is a relatively typical random amorphous copolymer whose glass transition temperature conforms to the well-known FOX equation (Eq. 1).

    1Tg=WPHDCCTgPHDCC+WPECTgPEC

    (1)

    In this equation, Tg is the glass transition temperature of PEXHDCYC, and WPHDCC and WPEC denote the mass fractions of HDC and PEG in the chain segments, respectively. It is also noteworthy that Tg PHDCC and Tg PEC denote the glass transition temperatures of PHDCC and PEC, respectively. In order to further investigate the effect of the composition ratio of PEXHDCYC on the glass transition temperature, the 1/Tg of PEXHDCYC was compared with the mass fraction of PEG1000. As demonstrated in Fig. 2c, the impact of the composition ratio of PEXHDCYC on the glass transition temperature is in precise alignment with the FOX equation [52].

    The optical properties of PEXHDCYC copolycarbonate were investigated by casting the film in a transparent solution, the results of which are shown in Fig. 3a. It was established that PEC, a semi-crystalline polymer, manifests opacity. Consequently, the optical properties of PEC were not evaluated in the present study. In the UV–visible region, the transmittance of the PEXHDCYC film was measured in the wavelength range of 200–800 nm, and the results are shown in Fig. 3b. And its transmittance and haze under C light source were measured by transmittance and haze tester, and the results are shown in Fig. 3c.

    Figure 3

    Figure 3.  Optical properties of PEXHDCYC. (a) Optical properties of thin films. (b) Transmission spectra at 200−800 nm of PEXHDCYC. (c) Transmittance and HAZE values of PEXHDCYC.

    As demonstrated in Fig. 3b, the transparency of the PEXHDCYC films is consistently above 85% across the 450–800 nm region, with all films approaching 90% transparency within the 600–800 nm range. However, the transmittance of PEXHDCYC copolycarbonate films at 400–500 nm decreases with increasing PEG1000 content, which may be attributed to the semi-crystalline nature of PEG1000 leading to light scattering at the interface between the crystalline and amorphous regions of the polymer, thus reducing the transmittance of PEXHDCYC copolycarbonate. As demonstrated in Fig. 3c, the investigation reveals that the light transmittance of PEXHDCYC is approximately 91.5%, and its optical properties are comparable to those of BPA-PC. Furthermore, BPA-PC demonstrates sensitivity to ultraviolet light, which can result in photo-rearrangement and photo-oxidation. These processes are associated with yellowing and material degradation. Conversely, PEXHDCYC copolycarbonate is regarded as exhibiting superior weathering properties in comparison to aromatic copolycarbonates. The thermal stability of PEXHDCYC copolycarbonate is shown in Fig. S8 (Supporting information).

    In practical applications, the mechanical properties of polymers are critical indicators of their effectiveness. Therefore, the films were prepared using the solution casting method, and subsequently, they were tested in tension using a universal tensile testing machine. The related molecular weight and mechanical property data are detailed in Table 1.

    Table 1

    Table 1.  Mechanical properties of PEXHDCYC copolycarbonates.
    DownLoad: CSV
    PEXHDCYC m[HDC]/m[PEG] GPC Tensile strengths (MPa) Strain at break (%)
    Mn (g/mol) Mw (g/mol) PDI
    PHDCC 100/0 16,517 27,733 1.67 9.59 ± 2 3.56 ± 2
    PE10HDC90C 90/10 23,610 67,822 2.87 36.4 ± 5 5.32 ± 4
    PE20HDC80C 80/20 28,239 74,374 2.63 14.88 ± 2 135.45 ± 24
    PE30HDC70C 70/30 17,471 39,509 2.26 6.15 ± 2 83.4 ± 14
    PEC 0/100 20,101 27,008 1.34 N.D. N.D.
    Note: The amount of HDI is calculated based on the hydroxyl value, with a molar ratio of n(HDI):n(-OH) =1.2:1; N.D. represents not detected.

    As demonstrated in Table 1, the number-average molecular weight of PEXHDCYC exhibited negligible variation, while the weight-average molecular weight exhibited a tendency to initially increase and subsequently decrease. The incorporation of PEG1000 has been demonstrated to exert a dual effect on the system. Firstly, it has been shown to reduce the melt viscosity of the system. secondly, it has been observed to induce multi-chain competition. The outcome of this process is the formation of mildly branched PEXHDCYC, which results in an increase in the weight-average molecular weight of the system and an enhancement in its toughness. Among these, PE10HDC90C displays a substantial tensile strength of approximately 36.4 MPa. However, its elongation at break is minimal, exhibiting a distinct brittle fracture tendency. In contrast, PE20HDC80C exhibited a substantial yield point prior to rupture, with an elongation at rupture of up to 135.45%, indicative of its notable toughness. This finding suggests that the incorporation of PEG1000 leads to alterations in the molecular structure of PE20HDC80C, resulting in an increased number of ether bonds within the molecular chain. This, in turn, enhances the rotational flexibility of the molecular chain, thereby improving its tensile properties and low-temperature flexibility. It is important to note that the glass transition temperature of PE30HDC70C is too low, below room temperature. This results in a material that does not have a significant yield point, but this does not mean that it lacks yield strength or plastic deformation capacity.

    The tensile cross section of PEXHDCYC film was further analyzed using scanning electron microscope (SEM) and the results are shown in Fig. 4. Where, Fig. 4a shows the tensile cross section of PHDCC film, and Figs. 4b-d show the tensile cross section of PE20HDC80C film. As illustrated in Fig. 4a, it is evident that the PHDCC film tensile cross-section is relatively flat, with no discernible indications of plastic deformation. The cross-section exhibits a resemblance to "ladder-like" parallel stripes, which can be attributed to the expansion of the molecular chain orientation. This phenomenon, characterised by the formation of microscopic step-like structures, is a hallmark of brittle fracture. And from Fig. 4b, the PE20HDC80C film is observed in the pull-up process across various planes of the crack expansion path. The fracture process exhibits characteristics such as merging or bifurcation, and the formation of a "river-like" morphology. The presence of high and low undulating ridge structures is also noted. As shown in Fig. 4c, PE20HDC80C film undergoes plastic flow during fracture, forming a highly oriented molecular chain structure, resulting in the presence of elongated fibrous structures at the fracture, oriented in the same direction as the fracture direction. Fig. 4d illustrates the fracture surface of PE20HDC80C film, displaying characteristic tough nests accompanied by fibrous or scaly structures. This phenomenon can be attributed to the localized plastic flow of PE20HDC80C under stress, and the nucleation and expansion of its molecular chain clusters as micropores, resulting in the formation of circular or elliptical depressions. It is noteworthy that all three fracture morphologies are the result of significant plastic deformation of the material before fracture. Consequently, it can be further elucidated that the gradual transformation of PEXHDCYC from a brittle fracture to a ductile fracture was induced by the introduction of PEG1000.

    Figure 4

    Figure 4.  Tensile cross section of PEXHDCYC copolycarbonates: (a) PHDCC, (b-d) PE20HDC80C.

    In conclusion, for the first time, PEHDCC with high molecular weight, high toughness and light transmittance was successfully prepared by melt chain expansion modification. The elongation at break of the prepared material was 135.45% ± 24%, the tensile strength was 14.88 ± 2 MPa, and the light transmittance was 91.5% of PE20HDC80C. The material has the potential to be used in a number of fields, including the manufacture of optical lenses and food-grade recyclable packaging films. This method has the features of low reaction temperature, short time, high efficiency, significant improvement of the material properties, and environmental protection and economy, and it can be a targeted solution to the problems of yellowing of IS and oxidative decomposition of PEG1000 at high temperatures.

    The authors declare that they have no known competing financial interests or personal relationships that could have appeared to influence the work reported in this paper.

    Xiafeng Yang: Writing – review & editing, Writing – original draft, Visualization, Methodology, Investigation, Formal analysis, Data curation, Conceptualization. Wushan Sun: Supervision, Resources. Chen Li: Resources, Funding acquisition. Wei Bai: Writing – review & editing, Validation, Supervision, Resources, Methodology, Conceptualization. Qingyin Wang: Supervision, Project administration, Funding acquisition. Gongying Wang: Writing – review & editing, Supervision, Funding acquisition.

    The authors gratefully acknowledge the financial support from the Key Deployment Program of the Chinese Academy of Sciences (No. ZDRW-CN-2022–1) and the Key Research and Development Program of Sichuan Province (No. 2025YFHZ0053).

    Supplementary material associated with this article can be found, in the online version, at doi:10.1016/j.cclet.2025.111674.


    1. [1]

      K.L. Xie, Y.H. Su, C.X. Zhang, Chin. Chem. Lett. 22 (2011) 1447–1450. doi: 10.1016/j.cclet.2011.07.021

    2. [2]

      B.T. Wang, F.D. Lu, F. Xu, et al., Chin. Chem. Lett. 27 (2016) 875–878. doi: 10.1016/j.cclet.2016.01.030

    3. [3]

      B.A.J. Noordover, D. Havenman, R. Duchateau, R.A.T.M. Benthem, C.E. Koning, J. Appl. Polym. Sci. 121 (2011) 1450–1463. doi: 10.1002/app.33660

    4. [4]

      Q. Li, W. Zhu, C. Li, et al., J. Polym. Sci. Pol. Chem. 51 (2013) 1387–1397. doi: 10.1002/pola.26507

    5. [5]

      Y.S. Eo, H.W. Rhee, S. Shin, J. Ins. Eng. Chem. 37 (2016) 42–46. doi: 10.1016/j.jiec.2016.03.007

    6. [6]

      W. Sun, F. Xu, W. Cheng, et al., Chin. J. Catal. 38 (2017) 908–917. doi: 10.1016/S1872-2067(17)62822-5

    7. [7]

      M. Zhang, W. Lai, L. Su, G. Wu, Ind. Eng. Chem. Res. 57 (2018) 4824–4831. doi: 10.1021/acs.iecr.8b00241

    8. [8]

      D.J. Saxon, A.M. Luke, H. Sajjad, W.B. Tolman, T.M. Reinekea, Prog. Polym. Sci. 101 (2019) 101196.

    9. [9]

      M. Zhang, W. Lai, L. Su, Y. Lin, G. Wu, Polym. Chem. 10 (2019) 3380–3389. doi: 10.1039/C9PY00331B

    10. [10]

      M. Miyashita, M. Yamaguchi, Polymer 202 (2020) 122713. doi: 10.1016/j.polymer.2020.122713

    11. [11]

      W. Qian, L. Liu, Z. Zhang, et al., Green Chem. 22 (2020) 2488–2497. doi: 10.1039/D0GC00493F

    12. [12]

      T. Abe, R. Takashima, T. Kamiya, et al., Green Chem. 23 (2021) 9030–9037. doi: 10.1039/D1GC02327F

    13. [13]

      O. Gómez-de-miranda-jiménez-de-aberasturi, A. Centeno-Pedrazo, S.P. Fernández, et al., Green Chem. Lett. Rev. 14 (2021) 534–544. doi: 10.1080/17518253.2021.1965223

    14. [14]

      W. Wang, Z. Yang, Y. Zhang, et al., Green Chem. 23 (2021) 4134–4143. doi: 10.1039/D1GC01150B

    15. [15]

      H. Wang, F. Xu, Z. Zhang, et al., RSC Sustain. 1 (2023) 2162–2179. doi: 10.1039/D3SU00248A

    16. [16]

      W. Lai, G. Wu, React. Funct. Polym. 143 (2019) 104328. doi: 10.1016/j.reactfunctpolym.2019.104328

    17. [17]

      W. Lai, G. Wu, Polym. Degrad. Stabil. 162 (2019) 201–212. doi: 10.1016/j.polymdegradstab.2019.02.020

    18. [18]

      S.A. Park, J. Choi, S. Ju, et al., Polymer 116 (2017) 153–159. doi: 10.1016/j.polymer.2017.03.077

    19. [19]

      C.H. Lee, H. Takagi, H. Okamoto, M. Kato, J. Appl. Polym. Sci. 127 (2013) 530–534. doi: 10.1002/app.37838

    20. [20]

      C. Ma, F. Xu, W. Cheng, et al., ACS Sustain. Chem. Eng. 6 (2018) 2684–2693. doi: 10.1021/acssuschemeng.7b04284

    21. [21]

      X. Shen, S. Liu, Q. Wang, H. Zhang, G. Wang, Chem. Res. Chinses U. 35 (2019) 721–728. doi: 10.1007/s40242-019-8356-6

    22. [22]

      S. Yum, H. Kim, Y. Seo, Polymer 179 (2019) 121685. doi: 10.1016/j.polymer.2019.121685

    23. [23]

      Z. Zhang, F. Xu, H. He, et al., Green Chem. 21 (2019) 3891–3901. doi: 10.1039/C9GC01500K

    24. [24]

      J. Chu, H. Wang, Y. Zhang, et al., React. Funct. Polym. 170 (2022) 105145. doi: 10.1016/j.reactfunctpolym.2021.105145

    25. [25]

      Y. Zhang, C. Li, H. Wang, et al., Polymer 313 (2024) 127729. doi: 10.1016/j.polymer.2024.127729

    26. [26]

      M. Durand, Y. Zhu, V. Molinier, T. Fŕron, J.M. Aubry, J. Surfact. Deterg. 12 (2009) 371–378. doi: 10.1007/s11743-009-1128-4

    27. [27]

      L. Feng, W. Zhu, C. Li, et al., Polym. Chem. 6 (2015) 633–642. doi: 10.1039/C4PY00976B

    28. [28]

      F. Aricò, A.S. Aldoshin, P. Tundo, ChemSusChem 10 (2016) 53–57.

    29. [29]

      F. Aricò, P. Tundo, Beilstein J. Org. Chem. 12 (2016) 2256–2266. doi: 10.3762/bjoc.12.218

    30. [30]

      J.R. Ochoa-Gómez, S. Gil-Río, B. Maestro-Madurga, O. Gómez-Jiménez-Aberasturi, F. Río-Pérez, Arab. J. Chem. 12 (2019) 4764–4774. doi: 10.1016/j.arabjc.2016.09.017

    31. [31]

      W. Qian, X. Tan, Q. Su, et al., ChemSusChem 12 (2019) 1169–1178. doi: 10.1002/cssc.201802572

    32. [32]

      W. Fang, Z. Zhang, Z. Yang, et al., Green Chem. 22 (2020) 4550–4560. doi: 10.1039/D0GC01440K

    33. [33]

      W. Qian, X. Ma, L. Liu, et al., Green Chem. 22 (2020) 5357–5368. doi: 10.1039/D0GC01804J

    34. [34]

      Z. Yang, L. Liu, H. An, et al., ACS Sustain. Chem. Eng. 8 (2020) 9968–9979. doi: 10.1021/acssuschemeng.0c00430

    35. [35]

      W. Fang, Y. Zhang, Z. Yang, et al., Appl. Catal. A: Gen. 617 (2021) 118111. doi: 10.1016/j.apcata.2021.118111

    36. [36]

      W. Wang, Y. Zhang, Z. Yang, et al., Green Chem. 23 (2021) 973–982. doi: 10.1039/D0GC03798B

    37. [37]

      Z. Yang, X. Li, F. Xu, et al., Green Chem. 23 (2021) 447–456. doi: 10.1039/D0GC03247F

    38. [38]

      M. Jiang, X. Zhang, M. Feng, et al., Carbon Capture Sci. Technol. 13 (2024) 100281.

    39. [39]

      L. Zheng, C. Li, D. Zhang, et al., Polym. Int. 60 (2010) 666–675.

    40. [40]

      L. Zheng, C. Li, W. Huang, et al., Polym. Adv. Technol. 22 (2011) 279–285. doi: 10.1002/pat.1530

    41. [41]

      J. Gong, X.J. Lou, W.D. Li, et al., J. Polym. Sci. Pol. Chem. 48 (2010) 2828–2837. doi: 10.1002/pola.24056

    42. [42]

      S. Oh, M.S. Kang, J.C. Knowles, M.S. Gong, J. Biomater. Appl. 30 (2015) 327–337. doi: 10.1177/0885328215590054

    43. [43]

      W.J. Yoon, S.Y. Hwang, J.M. Koo, et al., Macromolecules 46 (2013) 7219–7231. doi: 10.1021/ma4015092

    44. [44]

      C. Li, Z. Zhang, Z. Yang, et al., React. Funct. Polym. 155 (2020) 104689. doi: 10.1016/j.reactfunctpolym.2020.104689

    45. [45]

      X. Yang, X. Long, J. Li, et al., Res. Chem. Intermediat. 50 (2024) 4871–4887. doi: 10.1007/s11164-024-05279-5

    46. [46]

      T. Chen, G. Jiang, G. Li, et al., RSC Adv. 5 (2015) 60570–60580. doi: 10.1039/C5RA09252C

    47. [47]

      J. Wang, X. Liu, J. Zhu, Macromol. Chem. Phys. 219 (2018) 1800172. doi: 10.1002/macp.201800172

    48. [48]

      S. Legrand, N. Jacquel, H. Amedro, et al., Eur. Polym. J. 115 (2019) 22–29. doi: 10.1016/j.eurpolymj.2019.03.018

    49. [49]

      L. Gu, J. Lan, Q. Yang, et al., J. Macromol. Sci. A 56 (2019) 871–876. doi: 10.1080/10601325.2019.1617633

    50. [50]

      S. Yang, R. Wu, W. Bai, et al., J. Polym. Environ. 33 (2025) 2267–2279. doi: 10.1007/s10924-025-03517-4

    51. [51]

      X. Liu, S. Feng, X. Wang, et al., Turk. J. Chem. 44 (2020) 1430–1444. doi: 10.3906/kim-2006-55

    52. [52]

      W. Miyano, E. Inoue, M. Tsuchiya, K. Ishimaru, T. Kojima, J. Therm. Anal. Calorim. 64 (2001) 459–465. doi: 10.1023/A:1011553826342

  • Figure 1  The synthesis process of PEHDCC.

    Figure 2  DSC curves of PEC and PEXHDCYC copolycarbonates. (a) Cooling scan and second heating scan of PEC. (b) Second heating scan of PEXHDCYC. (c) Relationship between Tg of PEXHDCYC and mass fraction of PEG1000 segment in the molecular chain.

    Figure 3  Optical properties of PEXHDCYC. (a) Optical properties of thin films. (b) Transmission spectra at 200−800 nm of PEXHDCYC. (c) Transmittance and HAZE values of PEXHDCYC.

    Figure 4  Tensile cross section of PEXHDCYC copolycarbonates: (a) PHDCC, (b-d) PE20HDC80C.

    Table 1.  Mechanical properties of PEXHDCYC copolycarbonates.

    PEXHDCYC m[HDC]/m[PEG] GPC Tensile strengths (MPa) Strain at break (%)
    Mn (g/mol) Mw (g/mol) PDI
    PHDCC 100/0 16,517 27,733 1.67 9.59 ± 2 3.56 ± 2
    PE10HDC90C 90/10 23,610 67,822 2.87 36.4 ± 5 5.32 ± 4
    PE20HDC80C 80/20 28,239 74,374 2.63 14.88 ± 2 135.45 ± 24
    PE30HDC70C 70/30 17,471 39,509 2.26 6.15 ± 2 83.4 ± 14
    PEC 0/100 20,101 27,008 1.34 N.D. N.D.
    Note: The amount of HDI is calculated based on the hydroxyl value, with a molar ratio of n(HDI):n(-OH) =1.2:1; N.D. represents not detected.
    下载: 导出CSV
  • 加载中
计量
  • PDF下载量:  0
  • 文章访问数:  57
  • HTML全文浏览量:  4
文章相关
  • 发布日期:  2026-04-15
  • 收稿日期:  2025-04-25
  • 接受日期:  2025-08-05
  • 修回日期:  2025-07-29
  • 网络出版日期:  2025-08-08
通讯作者: 陈斌, bchen63@163.com
  • 1. 

    沈阳化工大学材料科学与工程学院 沈阳 110142

  1. 本站搜索
  2. 百度学术搜索
  3. 万方数据库搜索
  4. CNKI搜索

/

返回文章