Electrochemical sensor for Cd2+ and Pb2+ detection based on nano-porous pseudo carbon paste electrode
English
Electrochemical sensor for Cd2+ and Pb2+ detection based on nano-porous pseudo carbon paste electrode
-
Key words:
- Nano-porous pseudo carbon paste electrode (nano-PPCPE)
- / Cadmium ions
- / Lead ions
- / Sensor
- / Detection
-
Although heavy metal composites have found various applications [1-7], heavy metal ions, especially Cd2+ and Pb2+, present huge potential hazard to the environment and human beings. For instance, cadmium ions with a greatest potential hazard to the environment and human beings can cause kidney damage and cancer [8, 9], lead poisoning can influence neurobehavioral even cause encephalopathy [10-12]. Therefore, the detection and removal of Cd2+ and Pb2+ are of special importance [13-17]. The often used methods for heavy metal ions detection are electrochemical methods [18-22]. To satisfy the detection of trace Cd2+ and Pb2+, it urgently needs to improve the sensitivity of working electrode in electrochemical tests.
Recently, some high conductivity materials [23] and nanocomposites (graphene, mesoporous materials, such as nanotubes, nanoparticles) [24-29] have been widely used in the preparation or modification of electrode in order to improve the electrochemical properties, such as improve the sensitivity, reproducibility and increase the service life of electrodes. In terms of electrode preparation, carbon paste electrode is generally prepared by adding conductive materials on its surface.Xu et al. [30]prepared the porouspseudo carbon paste electrode (PPCPE) by using 2–5 mm microCaCO3 particle size microspheres as templates, graphite powder as filling material, pyrrole as precursor. Due to the porous structure, the specific surface area of PPCPE is 2.5 times of pure carbon paste electrode, and the electrochemical performance is significant improvement contrast with pure carbon paste electrode [31-35]. In order to further improve the sensitivity of working electrode, our team focused on nano-porous pseudo-carbon paste electrode (nano-PPCPE) fabrication [36-38]. Because of the nano hole, the specific surface area of nano-PPCPE increased a lot, hence the prepared electrodes show more excellent electrochemical performances.
On the basis of our previous research [38], a sensitive nanoPPCPE was constructed based on self-made nano-PPCPE with good electrochemical properties by using nano-CaCO3 microsphere as template. Then the nano-PPCPE was used as working electrode to detect Cd2+ and Pb2+. The results were considerable and of great significance in practical application.
Cd2+ standard solution (100 mg/L) and Pb2+ standard solution (100 mg/L) were purchased from Aladdin Biotech Co., Ltd. (Beijing, China). Pyrrole, calcium carbonate (CaCO3) microspheres (diameter: 60–80 nm) and high pure graphite powder were purchased from Sinopharm Chemical Reagent Company (China). All reagents were of analytical grade and were used without further purification. Solutions were prepared with double distilled (DI) water (18 MV cm). And the diameter of GCE and CPE is 4 mm.
The cyclic voltammetry (CV), electrochemical impedance spectroscopy (EIS) and differential pulse anodic stripping voltammetry (DPASV) experiments were performed on a PGSTAT302 N electrochemical workstation (Metrohm, Shanghai, China). A conventional three-electrode system included a nano-PPCPE as working electrode, a platinum wire electrode as auxiliary electrode, and a saturated calomel electrode (SCE) as reference electrode.
The preparation of nano-PPCPE is optimized on the basis of our previous work. Firstly, 0.15 g of CaCO3 microspheres and 0.45 g of high pure graphite powder were equably mixed by stirring, followed by adding 150 μL pyrrole to the mixture. The gained paste was soon filled into the cavity of a glass tube (4.0 mm inner diameter) firmly then inserted with a copper wire in the glass tube. After that the electrode was immerged in 0.2 mol/L FeCl3 solution for 10 h until the pyrrole polymerized completely, then the electrode was washed in water and dried. Finally, the polymerized electrode was immerged in 0.2 mol/L hydrochloric acid solution for 12 h to remove CaCO3 microspheres under stirring at room temperature until CaCO3 microspheres were dissolved completely. After washing in water and drying, the nano-PPCPE was formed. The nano-PPCPEs were polished with a weighing paper prior to use. The obtained sensors were stored at 4 ℃ when not in use.
The nano-PPCPEs were tested in a 0.1 mol/L KCl aqueous solution containing 5.0 mmol/L [Fe(CN)6]3-/4- with cyclic voltammetry (CV) and electrochemical impedance spectroscopy (EIS) before being used for Cd2+ and Pb2+ detection. The CV was performed between -0.2 and 0.6 V at scan rate of 0.1 V/s. Besides, the CV under different scan rates was also test. The EIS was conducted between 0.1 kHz and 100 kHz.
Differential pulse anodic stripping voltammetry (DPASV) was selected for the electroanalysis of Cd2+ and Pb2+. The DPASV was conducted with potential range from -1.0 V to -0.6 V for Cd2+ and -0.8 V to -0.3 V for Pb2+. Different concentrations of Cd2+ and Pb2+ in 0.1 mol/L HCl solution were determined under the optimized conditions, respectively. The calibration curve between DPASV current and different target ions concentration was plotted. The limit of detection (LOD) is given by the equation: LOD = 3 × SB/b, where SB is the standard deviation of five independent blank samples and b is the sensitivity of the calibration graph. Before each experiment, the buffer solution was thoroughly purged with extra-pure nitrogen.
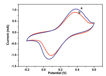
The prepared nano-PPCPE had been characterized in a 0.1 mol/L KCl aqueous solution containing 5.0 mmol/L [Fe(CN)6]3-/4-. The CV and EIS curves of the nano-PPCPE, glass carbon electrode (GCE) and carbon paste electrode (CPE) were shown in Fig. 1. As shown in Fig. 1A, it is obviously that the CV current of nano-PPCPE is much higher than both GCE and CPE. Fig. 1B shows the EIS curves, and the inset is the equivalent circuit figure. The Ret of nano-PPCPE, CPE and GCE are 56.8 Ω, 165 Ω, 216 Ω. An explanation to the above phenomenon would be that the uniform nano-porous structure formed on the surface of the nano-PPCPE greatly increases the specific surface area of the working electrode and the adsorption amountofions inthe solutionof the electrodeincreases, thusgreatly enhancing the electrochemical properties of the nano-PPCPE.
Figure 1
Figure 1. (A) CV graphs and (B) EIS graphs of nano-PPCPE (a); pure CPE (b) and GCE (c) in 0.1 mol/L KCl supporting electrolyte solution containing 5.0 mmol/L [Fe(CN)6]3-/4-, scan rate: 0.1 V/s. The inset in Fig. 1B is the equivalent circuit figure.Fig. 2 shows the CV curves under different scanning rates. As can be seen from Fig. 2A, the CV peak current of the nanoPPCPE electrode gradually increases with the increase of the scanning rate. Fig. 2B shows the linear of nano-PPCPE CV peak current and sweep scan rate root, which can be concluded that the electron transfers on the surface of nano-PPCPE is mainly affected by the electrolyte solution diffusion.
Figure 2
The three-electrode system with nano-PPCPE as working electrode was placed in 0.1 mol/L KCl supporting electrolyte solution containing 5.0 mmol/L [Fe(CN)6]3-/4-, and was continuously scanned for 25 times with CV method, with the relative standard deviation of 3.1%. Six identical nano-PPCPE were prepared by the same method. Under the same conditions, each electrode was tested by sampling CV method, and the relative standard deviation was 4.3%, indicating that the electrode prepared was stable and highly reproducible. One month after the electrode was placed, the CV method was tested, and the obtained CV curve is shown in Fig. 3. The current value is 87.2% of the initial current value, indicating that the nano-PPCPE has a long service life.
Figure 3
In order to obtain excellent sensitivity for Cd2+ and Pb2+ detection, the detect conditions, including supporting electrolytes, deposition potential and deposition time, were optimized (Fig. 4). The effect of supporting electrolytes on DPASV response was examined by testing target ions in various supporting electrolytes respectively. The strongest DPASV peak current response with 0.1 mol/L HCl was obtained in the presence of 0.5 μmol/L Cd2+ and 0.1 μmol/L Pb2+ (Figs. 4A and B). Thus, 0.1 mol/L HCl was selected for the following experiments.
Figure 4
Figs. 4C and D illustrate the effect of the deposition potential on DPASV peak current of 0.5 μmol/L Cd2+ and 0.1 μmol/L Pb2+, respectively. It was clear that the peak currents experienced an increase as the potential shifts from -0.7 V to -1.0 V and then decreased at more negative potential values. The trend could be due to increased reduction of Cd2+ and Pb2+ with increasing negative deposition potential. However, as the deposition potential surpassed a threshold value, other metals interferences and cohydrogen evolution could lead to the decrease in peak currents. Therefore, -1.0 V was selected as the optimum deposition potential.
The effect of deposition time on Cd2+ and Pb2+ ion detection was also optimized. As expected, the deposition time of target ions on the nano-PPCPE electrode greatly influenced the response. The peak current increased gradually with an increasing deposition time and reached a plateau after the deposition time of 300 s for Cd2+ (Fig. 4E) and 240 s for Pb2+ (Fig. 4F). Therefore, the optimum deposition time for the detection of Cd2+ and Pb2+ was 300 s and 240 s respectively.
As shown in Fig. 5A, the DPASV curves of the nano-PPCPE were measured, after immersing the proposed sensor 300 s with different concentrations of Cd2+, respectively. Form a to g, the DPASV current increased with the increase in concentrations of Cd2+. The relationship between the concentration of Cd2+ and DPASV currents is shown in Fig. 5B, demonstrating the relationship is linear as the concentration of Cd2+ range from 0.1 μmol/L to 3.0 μmol/L, with the linearization equation I (mA) = 0.00273C + 0.224. And the detection limit is as low as 0.0780 μmol/L.
Figure 5
Fig. 6A presents the DPASV curves of Pb2+ in 0.1 mol/L HCl for 240 s at different concentrations. Form a to i, the DPV current increased with the increase in concentrations of Pb2+. The relationship between the concentration of Pb2+ and DPV currents is shown in Fig. 6B, demonstrating the relationship is linear as the concentration of Pb2+ range from 0.05 μmol/L to 4.0 μmol/L, with the linearization equation I (mA) = 0.00596C + 0.215. And the detection limit is as low as 0.0292 μmol/L.
Figure 6
To evaluate the accuracy as well as practical application of this sensor, the nano-PPCPE was applied to detect Cd2+ and Pb2+ in lake water. The water samples were collected from Xuanwu Lake, filtered with a 0.24 mm membrane (Millipore) and then diluted with 0.2 mol/L HCl in a ratio of 1:1 to simulate the Cd2+ and Pb2+ contaminated water. The DPASV results of the samples spiked with Cd2+ and Pb2+ standard solution were shown in Table 1. It was confirmed that the prepared sensor has an excellent capability for accurate detection of Cd2+ and Pb2+ in water samples. The high recovery percentage demonstrates Pb2+ detection was not affected by water samples, with the RSD values lower than 5% for both Cd2+ and Pb2+.
Table 1
In this work, a self-made nano-PPCPE was used as working electrode to detect Cd2+ and Pb2+. The results showed that the electrodes can quantitatively detect trace Cd2+ and Pb2+, which has great significance in electrochemical analysis and detection. Besides, the preparation of the electrode is cheap, simple and has important practical value, which is a promising candidate for heavy metal ions detection in the area of sensor.
Acknowledgments
We acknowledge the National Key Research and Development Program of China (No. 2018YFC1602905), the National Natural Science Foundation of China (Nos. 61871180 and 61527806), the Natural Science Foundation of Hunan Province (No. 2017JJ2069) and Hunan Key Research Project (No. 2017SK2174) for the financial supports.
-
-
[1]
J. Li, D. Yang, X. Zhu, et al., Nanosci. Nanotechnol. Lett. 9 (2017) 1363-1367. doi: 10.1166/nnl.2017.2451
-
[2]
X. Liu, Y. Qin, G. Xing, et al., Nanosci. Nanotechnol. Lett. 9 (2017) 989-997. doi: 10.1166/nnl.2017.2424
-
[3]
W. Lei, J. Nanosci. Nanotechnol. 18 (2018) 7349-7354. doi: 10.1166/jnn.2018.16054
-
[4]
J. Li, D. Yang, X. Zhu, et al., Nanosci. Nanotechnol. Lett. 9 (2017) 1023-1027. doi: 10.1166/nnl.2017.2427
-
[5]
M.G. Gang, R.B.V. Chalapathy, J. Kim, et al., Nanosci. Nanotechnol. Lett. 10 (2018) 503-511. doi: 10.1166/nnl.2018.2687
-
[6]
A.K. Patra, B. Biplab, B. Asim, J. Nanosci. Nanotechnol. 18 (2018) 256-263. doi: 10.1166/jnn.2018.14555
-
[7]
J.C.L. Sousa, M.G. Vivas, B.R.C. Vale, et al., J. Nanosci. Nanotechnol. 18 (2018) 651-658. doi: 10.1166/jnn.2018.13932
-
[8]
H.D. Vu, L.H. Nguyen, T.D. Nguyen, et al., Ionics 21 (2015) 571-578. doi: 10.1007/s11581-014-1199-8
-
[9]
W. Wang, Y. Cai, B. Li, et al., Chin. Chem. Lett. 29 (2018) 111-114. doi: 10.1016/j.cclet.2017.05.009
-
[10]
P.J. Mafa, A.O. Idris, N. Mabuba, et al., Talanta 153 (2016) 99-106. doi: 10.1016/j.talanta.2016.03.003
-
[11]
Y. Yang, Y. Zhang, J. Shen, et al., Chin. Chem. Lett. 27 (2016) 891-895. doi: 10.1016/j.cclet.2016.01.060
-
[12]
Y. Liu, Y. Deng, H. Dong, et al., Sci. China Chem. 60 (2017) 329-337. doi: 10.1007/s11426-016-0253-2
-
[13]
L. Wang, Q. You, S. Yao, et al., J. Biobased Mater. Bioenergy 12 (2018) 266-270. doi: 10.1166/jbmb.2018.1771
-
[14]
Y. Huang, S. Li, S. Yu, et al., J. Biobased Mater. Bioenergy 12 (2018) 425-431. doi: 10.1166/jbmb.2018.1791
-
[15]
Z. Yuan, J. Yang, H. Zhou, et al., Nanosci. Nanotechnol. Lett. 10 (2018) 982-987. doi: 10.1166/nnl.2018.2736
-
[16]
Q. Chen, M. Kang, Z. Liu, et al., J. Biobased Mater. Bioenergy 11 (2017) 356-363. doi: 10.1166/jbmb.2017.1676
-
[17]
X. Zeng, L. Wu, W. Li, et al., J. Biobased Mater. Bioenergy 11 (2017) 154-158. doi: 10.1166/jbmb.2017.1649
-
[18]
K.D. Bhatt, D.J. Vyas, B.A. Makwana, et al., Chin. Chem. Lett. 27 (2016) 731-737. doi: 10.1016/j.cclet.2016.01.012
-
[19]
H. Dai, N. Wang, D. Wang, et al., Chem. Eng. J. 299 (2016) 150-155. doi: 10.1016/j.cej.2016.04.083
-
[20]
M. Roushani, A. Valipour, Z. Saedi, Sensor. Actuat. B -Chem. 233 (2016) 419-425. doi: 10.1016/j.snb.2016.04.106
-
[21]
A. Zahid, A. Shah, F.J. Iftikhar, et al., Electrochim. Acta 235 (2017) 72-78. doi: 10.1016/j.electacta.2017.03.120
-
[22]
P.S. Adarakatti, A. Siddaramanna, P. Malingappa, Anal. Methods 11 (2019) 813-820. doi: 10.1039/C8AY02648C
-
[23]
S.A. Kitte, S.P. Li, A. Nsabimana, et al., Talanta 191 (2019) 485-490. doi: 10.1016/j.talanta.2018.08.066
-
[24]
N. Rahbar, Z. Ramezani, J. Ghanavati., Chin. Chem. Lett. 27 (2016) 837-842. doi: 10.1016/j.cclet.2016.04.017
-
[25]
Y. Zheng, C. Li, X. Ding, et al., Chin. Chem. Lett. 28 (2017) 1473-1478. doi: 10.1016/j.cclet.2017.03.014
-
[26]
V. Antunovic, M. Ilic, R. Baosic, et al., PLoS One 14 (2019)e0210904. doi: 10.1371/journal.pone.0210904
-
[27]
Y. Lai, C. Zhang, Y. Deng, et al., Chin. Chem. Lett. 30 (2019) 160-162. doi: 10.1016/j.cclet.2018.07.011
-
[28]
Y. Yao, H. Wu, J. Ping, Food Chem. 274 (2019) 8-15. doi: 10.1016/j.foodchem.2018.08.110
-
[29]
G. Yang, Y. Lai, Z. Xiao, et al., Chin. Chem. Lett. 29 (2018) 1857-1860. doi: 10.1016/j.cclet.2018.11.030
-
[30]
L. Xu, N. He, J. Du, et al., Anal. Chim. Acta 634 (2009) 49-53. doi: 10.1016/j.aca.2008.12.029
-
[31]
L. Xu, J. Du, Y. Deng, et al., J. Biomed. Nanotechnol. 8 (2012) 1006-1011. doi: 10.1166/jbn.2012.1456
-
[32]
L. Xu, J. Du, Y. Deng, et al., Electrochem. Commun. 12 (2010) 1329-1332. doi: 10.1016/j.elecom.2010.07.012
-
[33]
N. He, L. Xu, J. Du, et al., Sens. Lett. 9 (2011) 199-205. doi: 10.1166/sl.2011.1449
-
[34]
L. Xu, J. Du, N. He, et al., J. Nanosci. Nanotechnol. 9 (2009) 2698-2703. doi: 10.1166/jnn.2009.dk09
-
[35]
L. Xu, J. Du, Y. Deng, et al., Adv. Sci. Lett. 4 (2011) 104-107. doi: 10.1166/asl.2011.1180
-
[36]
Y. Deng, W. Wang, L. Zhang, et al., J. Biomed. Nanotechnol. 9 (2013) 318-321. doi: 10.1166/jbn.2013.1487
-
[37]
X. Xiao, K. Liu, W. Wang, et al., J. Bionanosci. 8 (2014) 133-136. doi: 10.1166/jbns.2014.1210
-
[38]
Y. Liu, K. Liu, H. Dong, et al., Nanosci. Nanotechnol. Lett. 8 (2016) 785-790. doi: 10.1166/nnl.2016.2264
-
[1]
-
Figure 1 (A) CV graphs and (B) EIS graphs of nano-PPCPE (a); pure CPE (b) and GCE (c) in 0.1 mol/L KCl supporting electrolyte solution containing 5.0 mmol/L [Fe(CN)6]3-/4-, scan rate: 0.1 V/s. The inset in Fig. 1B is the equivalent circuit figure.
Table 1. Detection of Cd2+ and Pb2+ in water samples.
-
扫一扫看文章
计量
- PDF下载量: 4
- 文章访问数: 1735
- HTML全文浏览量: 106

DownLoad:
下载:
下载: