GO/PVA nanocomposites with significantly enhanced mechanical properties through metalion coordination
English
GO/PVA nanocomposites with significantly enhanced mechanical properties through metalion coordination
-
Key words:
- Graphene oxide
- / PVA
- / Coordination
- / Composite
- / Mechanical property
-
Carbon nanomaterials, such as fullerene, carbon fiber, carbon nanotube and graphene, have attracted intense interest all over the world in the past few decades. These materials have excellent mechanical, electrical and thermal properties [1-4]. Particularly, graphene has a two-dimensional planar structure of carbon atoms with sp2 bonds [5-7]. It has drawn great attention due to its unique topological structure and outstanding physical properties. A monolayer of graphene has Young's modulus of 1 T Pa and tensile strength of 130 GPa [8]. It also has high thermal conductivity of 5000 W m-1 K-1 [9] and electrical conductivity of up to 6000 S/cm [10]. Graphene oxide (GO) is the oxidized derivative of graphene. Although its sp2-hybridized carbon network is disrupted, GO still maintains excellent mechanical properties [11, 12]. With superior mechanical performance and solubility, GO is an excellent filler material, and can be easily mixed with polymers to enhance their properties.
Polymer nanocomposites refer to polymer composites reinforced by fillers with a nanoscale size. These composites usually exhibit improved mechanical and electrical properties [13-15]. Poly(vinyl alcohol) (PVA) is one of the hydrophilic polymers with a large number of hydroxyl groups on its polymer chain. Graphene (or GO)/PVA nanocomposites have been studied by many research groups. These composites show excellent mechanical [16-20], optical [21], magnetic [22] and shape-memory properties [23]. Yu et al. [24] successfully prepared aryl diazonium salt functionalized graphene/PVA nanocomposite, and obtained 181% and 198% improvement in tensile strength and Young's modulus, respectively. Chen et al. [25] reported 200% increase in tensile strength in GO/PVA nanocomposites. They used boric acid to improve the interaction between GO and polymer chains, making the nanocomposites stronger and tougher. In those papers, although the mechanical properties of the nanocomposites got well improved, the preparation methods relied on complicated chemical modification. Xu et al. [26] reported the preparation of GO/PVA nanocomposite films, simply by vacuum filtration. In their research, the tensile strength of the composite was 70% higher than pure PVA. Liang et al. [27] reported preparation of GO/PVA nanocomposites, using a simple aqueous solution processing approach. They got 76% increase in tensile strength and 62% improvement in Young's modulus. Despite these simple and environmentally friendly methods, the mechanical properties of these nanocomposites were not increased significantly, probably because the interfacial interaction between GO and PVA was not strong.
Interfacial interaction between filler and matrix is a key to improve the mechanical properties of nanocomposites. Our group has reviewed different filler/matrix interactions in graphene/ polymer nanocomposites [28], including hydrogen bonding, covalent bonding, π-π stacking, coordinate bonding and crystallization. Among these interactions, the coordinate bonding, a dynamic covalent interaction, is an outstanding candidate. It can improve the mechanical properties without losing elongation significantly. In our previous studies, we found that the oxygen functional groups on GO were able to bond with divalent metal ions through coordination [11], thus the mechanical properties were improved in metal ion coordinated GO/polymer nanocomposites [29, 30].
Here we create a filler-matrix interfacial interaction between GO and PVA through divalent metal ion coordination. Since PVA can be bonded with GO through hydrogen bonding [31, 32] and both of them can be solved in water, their composite can be prepared conveniently. The nanocomposite films are smooth, homogeneous and strong. Their Young's moduli and yield stresses are significantly improved. To further prove the coordination effect in the composites, EDTA-2Na (shorted as EDTA hereafter) is added into Cu(Ⅱ)-coordinated GO/PVA samples. EDTA can capture Cu(Ⅱ) from GO-Cu(Ⅱ)-PVA bonding, so the enhanced interfacial interaction between GO and PVA will be brought back to its original state. The changes of the mechanical properties in this process can show the importance of coordination. In general, this method is simple, environmentally friendly and applicable to many kinds of nanocompsite systems containing coordination atoms.
In this work: GO (diameter = 1–5 μm; thickness = 0.8–1.2 nm; oxygen ratio = ~30%; single layer ratio = ~99%; purity > 99%) was purchased from XF Nano, Inc. PVA (hydrolysis degree = 98%–99%; molecular weight = ~100, 000 g/mol) was purchased from Alfa Aesar. CuSO4-5H2O and EDTA-2Na were purchased from Sigma-Aldrich Corporation. All chemicals were used as received. The fabrication procedure of a typical Cu(Ⅱ)-coordinated GO/PVA nanocomposite was as follows: GO was dispersed in deionized water in an ultrasonic bath (Kunshan Ultrasonic Instrument Co., Ltd., Model: KQ100DE, 100 W) for 3 h to obtain a homogeneous aqueous solution of 1 mg/mL. PVA was dissolved in deionized water at 90 ℃ to yield a transparent solution of 40 mg/mL, and then cooled to room temperature. CuSO4-5H2O was also dissolved in deionized water at room temperature. Then these three solutions were mixed and stirred to get a homogeneous mixed solution. The ratio of Cu(Ⅱ)/GO was always set at 0.002 mol/g (The reason of this choice is shown in Fig. S1 in Supporting information). The mixed solution was kept at 40 ℃ for 24 h for sufficient coordination, and then poured into Teflon Petri dishes for deposition at 40 ℃ for 48 h. Finally, the film was put in a vacuum oven at 40 ℃ for 24 h to remove residual water.
EDTA-Cu(Ⅱ)-GO/PVA samples were prepared as controls. The fabrication procedure of a typical sample was as follows: GO, PVA and CuSO4 aqueous solutions were prepared as described above. EDTA was dissolved in deionized water at room temperature to get an aqueous solution. After GO, PVA and CuSO4 were mixed, EDTA solution was added into their mixture and stirred. The ratio of EDTA/Cu(Ⅱ) was always 1.34 (molar ratio). The mixture was kept at 40 ℃ for 24 h and then poured into Teflon Petri dishes for deposition at 40 ℃ for 48 h. Then the film was washed by a small amount of deionized water (for a 10 cm × 10 cm film, 5 mL water was used) to remove the residual EDTA on the surface of the composite. Then the film was dried at room temperature for a while. Finally, to remove residual water, the film was kept in a vacuum oven at 40 ℃ for 24 h.
For AFM observation, GO and Cu(Ⅱ)-coordinated 2.5 wt% GO/ PVA aqueous solutions were prepared. The samples were kept at 40 ℃ for 24 h for coordination, followed by spin-coating on mica at 2000 rpm for 1 min. Shimadzu SPM-9700 was used to perform the AFM characterization. For UV–vis characterization, 2.5 wt% GO/ PVA and Cu(Ⅱ)-coordinated 2.5 wt% GO/PVA aqueous solutions were prepared. The samples were firstly kept at 40 ℃ for 24 h. Then, UV–vis analysis was performed by a PERSEE TU-1810 spectrophotometer. The wavelength range was 200–600 nm. For fourier transformation infrared (FTIR) characterization, GO, PVA, 2.5 wt% GO/PVA and Cu(Ⅱ)-coordinated 2.5 wt% GO/PVA nanocomposite films were scanned by AVATAR 360 FTIR spectrometer. For Raman analysis, the spectra were recorded with a RENISHAW RM2000 spectrometer, with 514 nm laser excitation. The samples were raw GO, 2.5 wt% GO/PVA and Cu(Ⅱ)-coordinated 2.5 wt% GO/PVA. For mechanical measurement, all films were cut into 10 cm × 3 cm × 60 μm strips. The samples were kept in a desiccator before test. The mechanical test was performed at 100 μm/s at room temperature. The relative humidity of the test surroundings was 20%–30%. For each sample, five different specimens were tested for averaging.
Fig. 1 shows the photograph of GO, Cu(Ⅱ)-coordinated GO and Cu(Ⅱ)-coordinated 2.5 wt% GO/PVA aqueous solutions. GO is uniformly suspended in deionized water as shown in Fig. 1a. After coordinated with Cu(Ⅱ) ions (Fig. 1b), GO precipitates from the solution because of the strong interaction caused by coordination. The coordination bonding can bridge the oxygen functional groups on GO. So the metal ions draw GO sheets together and make them form denser aggregates. However, in the sample with PVA (Fig. 1c), GO sheets are surrounded and isolated by the polymer chains to form a stable solution. It could be considered that coordination between GO and PVA formed through Cu(Ⅱ) ions, thus the stronger interfacial interaction maintain a homogenous solution and prevent the aggregation of GO. The characterization about the formation of coordination bonding will be discussed in detail in the following figures.
Figure 1
Figure 1. Photographs of (a) GO, (b) Cu(Ⅱ)-coordinated GO and (c) Cu(Ⅱ)-coordinated 2.5 wt% GO/PVA aqueous solutions. The concentrations of GO in the three samples are the same. The content ratio of Cu(Ⅱ)/GO is kept at 0.002 mol/g. All samples were kept at 40 ℃ for 24 h before photographing.UV-vis analysis was performed to confirm the successful coordination. 2.5 wt% GO/PVA solutions before and after coordination are scanned by UV–vis spectroscopy (Fig. 2). The absorption at ~230 nm is presumably due to the π→π* transition of the C-C bonds and the shoulder peak at ~300 nm is due to the n→π* transition of the C=O bonds [33]. Since PVA is featureless in 200–600 nm range, these two peaks are both from GO. As seen from Fig. 2 (cruve b), the shoulder peak at ~300 nm becomes nearly invisible after coordination. This result proved the coordination bonding between Cu(Ⅱ) ions and C=O bonds on GO [34].
Figure 2
To further prove the successful coordination on GO and PVA, FTIR analysis on PVA, GO, 2.5 wt% GO/PVA and Cu(Ⅱ)-coordinated 2.5 wt% GO/PVA films were performed (Fig. 3). The characteristic bands at ~1740 cm-1 and ~1650 cm-1 correspond to C=O of carboxyl groups and aromatic C=C bonds on GO, respectively [35, 36]. The characteristic peak at ~3320 cm-1 corresponds to hydrogen bonds which mainly exist on PVA chains. The aromatic C=C bonds were not affected in the coordination process, so we chose the peak at ~1650 cm-1 as an internal standard peak. After coordination, the C=O peak at ~1740 cm-1 decreases obviously. It indicates the successful coordination on GO, which is consistent with the UV–vis observation. The peak corresponding to hydrogen bonding shifts from 3321 cm-1 to 3334 cm-1. This blue shift indicates new interaction on the characteristic group [37, 38]. Since the new interaction could only be the coordination bonding, this result proved the formation of Cu(Ⅱ)-PVA interactions.
Figure 3
AFM images of GO and Cu(Ⅱ)-coordinated 2.5 wt% GO/PVA samples are shown in Fig. 4. According to Fig. 4a, the naked GO sheet has a thickness of ~0.9 nm (corresponding to a monolayer of GO), which confirms the sufficient exfoliation of GO sheets. The sample of Cu(Ⅱ)-coordinated 2.5 wt% GO/PVA is shown in Fig. 4b. Some features can be found in this sample: the edge of the sheet becomes less sharp; the height increases more smoothly; the thickness of the sheet increases to ~5 nm. These results are due to the homogeneous dispersion of GO in PVA and the absorption of PVA chains on GO. It is consistent with our previous reports [11, 29, 30]. From these results, it can be seen that GO and PVA can form a homogeneous composite after coordination. Raman spectroscopy is widely used to characterize carbon products, especially for carbon nanotubes and graphene [39, 40]. Fig. S2 (Supporting information) shows the Raman spectra of GO, 2.5 wt% GO/PVA and Cu(Ⅱ)-coordinated 2.5 wt% GO/PVA. Their conjugated double C=C bonds have high intensity in Raman spectra. The carbon nanomaterials have two main peaks known as the G peak at ~1580 cm-1 and the D peak at ~1350 cm-1. The G peak corresponds to the vibration of the sp2-hybridized carbon atoms. The D peak corresponds to the structure defects in the graphitic plane. The intensity ratio of ID/IG is a measurement of the quantity of defects. From these three curves, the ID/IG intensity ratios are nearly the same (GO = 0.84; 2.5 wt% GO/PVA = 0.87; Cu(Ⅱ)-2.5 wt% GO/PVA = 0.87). This result indicates that coordination through copper ions does not bring significant defects to GO. Thus, coordination is a safe method to the raw material.
Figure 4
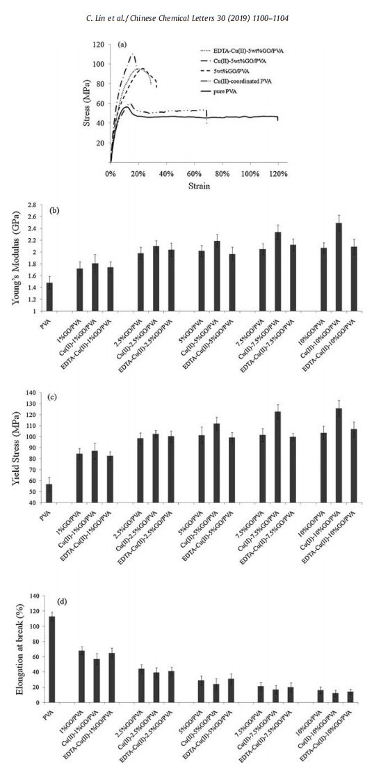
Fig. 5 shows themechanicalpropertiesof different samples. Fig. 5a shows the S-S curvesof pure PVA, Cu(Ⅱ)-coordinated PVA, 5 wt% GO/ PVA, Cu(Ⅱ)-coordinated 5 wt% GO/PVA and EDTA-Cu(Ⅱ)-5 wt% GO/ PVA samples. For the Cu(Ⅱ)-coordinated PVA sample (which contains no GO), the weight fraction of CuSO4·5H2O is 2.5 wt% and its Young's modulus and yield stress are changed slightly. This result shows that Cu(Ⅱ) ions play a trivial role in enhancing themechanical properties of pure PVA. The mechanical increment of PVA is mainly due to GO. After Cu(Ⅱ) ions are added into GO/PVA, themechanical propertyof the film can be further improved significantly. The Cu(Ⅱ)-coordinated 5 wt% GO/PVA sample shows ~20% higher yield stress than 5 wt% GO/PVA according to the S-S curves. To confirm that metal ion coordination plays an important role in the increment of mechanical properties, a chelating agent EDTA is added into Cu(Ⅱ)-coordinated 5 wt% GO/PVA sample. As a small molecule, EDTA can form coordination bonding with its six polar groups. It has a much stronger coordination ability than GO [41]. Thus, EDTA can capture Cu(Ⅱ) ions from GO-Cu(Ⅱ)-PVA bonding and destroy the enhanced interfacial interaction (caused by coordination) between GO and PVA. Therefore, after adding EDTA into Cu(Ⅱ)-coordinated 5 wt% GO/PVA, the mechanical properties of the sample would drop and return to be similar to those of 5 wt% GO/PVA (Fig. 5a). These results show that the strong interfacial interaction caused by coordination bonding is the key to improve mechanical performances.
Figure 5
Figure 5. Mechanical properties of nanocomposite films: (a) Stress-strain curves of 5 wt% GO/PVA group (The content of Cu(Ⅱ) in the Cu(Ⅱ)-coordinated PVA sample is equal to that of Cu(Ⅱ)-5 wt% GO/PVA sample) and summaries of (b) Young's modulus, (c) yield stress and (d) elongation at break. The ratio Cu(Ⅱ)/GO is constantly 0.002 mol/g and EDTA/Cu(Ⅱ) is constantly 1.34 (molar ratio).Figs. 5b-d are the summaries of mechanical properties of different samples. In those figures, each group contains GO/PVA, Cu(Ⅱ)-coordinated GO/PVA and EDTA-Cu(Ⅱ)-GO/PVA samples. The weight fractions of GO are varied from 1 wt% to 10 wt%, while the ratio Cu(Ⅱ)/GO is fixed at 0.002 mol/g and the ratio of EDTA/Cu(Ⅱ) is fixed at 1.34 (molar ratio). Adding copper ions into GO/PVA system will improve the mechanical properties of the nanocomposites due to the enhanced interfacial interaction provided by coordination, no matter how large the weight fraction of GO is. As shown in Figs. 5b and c, the enhancement of mechanical properties becomes larger with the ratio of GO increasing, indicating that the efficiency of metal ion coordination becomes better with more interfaces between the filler and the matrix. According to Fig. 5d, elongation at break does not drop significantly after adding Cu(Ⅱ) into GO/ PVA. To the Cu(Ⅱ)-10 wt% GO/PVA samples (which have the best performance), the Young's modulus and yield stress climb to 2.49 GPa and 125.8 MPa. These properties are increased by 74.1% and 122.3%, respectively, compared with neat PVA. In contrast, the corresponding GO/PVA sample (which has no coordination bonding) shows only 40.8% higher Young's modulus and 83.6% higher yield stress compared with neat PVA. EDTA-Cu(Ⅱ)-GO/PVA samples with different GO contents are also tested. From the decreases of the modulus and the yield stress, it can be seen that coordination bonding is necessary for further improving the mechanical properties of GO/PVA. These results show the importance of the interfacial interaction caused by coordination bonding. Compared with the previous reports [24, 25] using complicated chemical modification, this coordinating method is quite simpler. Compared with the reports [26, 27] without modification, the increments of mechanical properties through this coordinating method are more significant. And this method is versatile. It can be easily used in many kinds of nanocomposites systems containing coordination atoms to further increase the mechanical properties.
In conclusion, we demonstrate a simple and effective method to improve the filler-matrix interfacial interaction through metal ion coordination. Cu(Ⅱ) ions coordinated GO/PVA nanocomposites are prepared easily through solution blending. UV–vis and FTIR spectra are used to confirm the successful coordination in both solution and solid states. Both Young's modulus and yield stress of Cu(Ⅱ)-coordinated GO/PVA nanocomposites are significantly improved compared with both neat PVA and non-coordinated GO/PVA samples. After EDTA is added into the nanocomposites to screen the coordination effect, the mechanical properties of the EDTA-Cu(Ⅱ)-GO/PVA nanocomposites drop significantly and return to be similar to those of GO/PVA. This result further confirms the important role of metal ion coordination in reinforcing the nanocomposites.
Acknowledgment
We thank the National Natural Science Foundation of China (Nos. 51633003 and 21774069) for financial support.
Appendix A. Supplementary data
Supplementary material related to this article can be found, in the online version, at doi:https://doi.org/10.1016/j.cclet.2018.11.027.
-
-
[1]
J.R. Potts, D.R. Dreyer, C.W. Bielawski, R.S. Ruoff, Polymer 52(2011) 5-25. doi: 10.1016/j.polymer.2010.11.042
-
[2]
H. Kim, A.A. Abdala, C.W. Macosko, Macromolecules 43(2010) 6515-6530. doi: 10.1021/ma100572e
-
[3]
B.Y. Zhu, S. Murali, W. Cai, et al., Adv. Mater. 22(2010) 3906-3924. doi: 10.1002/adma.201001068
-
[4]
R. Verdejo, M.M. Bernal, L.J. Romasanta, M.A. Lopezmanchado, J. Mater. Chem. 21(2011) 3301-3310. doi: 10.1039/C0JM02708A
-
[5]
G. Wang, J. Yang, J. Park, et al., J. Phys. Chem. C 112(2008) 8192-8195. doi: 10.1021/jp710931h
-
[6]
J.C. Meyer, A.K. Geim, M.I. Katsnelson, et al., Nature 446(2007) 60-63. doi: 10.1038/nature05545
-
[7]
K.S. Novoselov, A.K. Geim, S.V. Morozov, et al., Science 306(2004) 666-669. doi: 10.1126/science.1102896
-
[8]
C. Lee, X. Wei, J.W. Kysar, J. Hone, Science 321(2008) 385-388. doi: 10.1126/science.1157996
-
[9]
A.A. Balandin, S. Ghosh, W. Bao, et al., Nano Lett. 8(2008) 902. doi: 10.1021/nl0731872
-
[10]
X. Du, I. Skachko, A. Barker, E.Y. Andrei, Nat. Nanotechnol. 3(2008) 491-495. doi: 10.1038/nnano.2008.199
-
[11]
Y.T. Liu, Q.P. Feng, X.M. Xie, X.Y. Ye, Carbon 49(2011) 3371-3375. doi: 10.1016/j.carbon.2011.03.055
-
[12]
D.A. Dikin, S. Stankovich, E.J. Zimney, et al., Nature 448(2007) 457-460. doi: 10.1038/nature06016
-
[13]
B. Das, P.K. Eswar, U. Ramamurty, C.N. Rao, Nanotechnol. 20(2009) 125705. doi: 10.1088/0957-4484/20/12/125705
-
[14]
X. Huang, Z. Yin, S. Wu, et al., Small 7(2011) 1876-1902. doi: 10.1002/smll.201002009
-
[15]
G. Mittal, V. Dhand, K.Y. Rhee, S.J. Park, W.R. Lee, J. Ind. Eng. Chem. 21(2015) 11-25. doi: 10.1016/j.jiec.2014.03.022
-
[16]
X. Zhao, Q. Zhang, D. Chen, P. Lu, Macromolecules 43(2010) 2357-2363. doi: 10.1021/ma902862u
-
[17]
X. Yang, L. Li, S. Shang, X.M. Tao, Polymer 51(2010) 3431-3435. doi: 10.1016/j.polymer.2010.05.034
-
[18]
L. Jiang, X.P. Shen, J.L. Wu, K.C. Shen, J. Appl. Polym. Sci. 118(2010) 275-279. doi: 10.1002/app.v118:1
-
[19]
L. Liu, Y. Gao, Q. Liu, et al., Small 14(2013) 2466-2472. doi: 10.1002/smll.201300819
-
[20]
S. Mo, L. Peng, C. Yuan, et al., RSC Adv. 5(2015) 97738-97745. doi: 10.1039/C5RA15984A
-
[21]
Y. Wang, C. Shen, W. Lou, F. Shentu, Optics Commun. 372(2016) 229-234. doi: 10.1016/j.optcom.2016.04.030
-
[22]
J. Zhang, J. Wang, T. Lin, et al., Chem. Eng. J. 237(2014) 462-468. doi: 10.1016/j.cej.2013.10.055
-
[23]
X. Qi, X. Yao, S. Deng, T. Zhou, Q. Fu, J. Mater. Chem. A:Mater. Energy Sustain. 2(2014) 2240-2249. doi: 10.1039/C3TA14340F
-
[24]
D.S. Yu, T. Kuila, N.H. Kim, J.H. Lee, Chem. Eng. J. 245(2014) 311-322. doi: 10.1016/j.cej.2014.02.025
-
[25]
J. Chen, Y. Li, Y. Zhang, Y. Zhu, J. Appl. Polym. Sci. 132(2015) 42000. doi: 10.1002/app.42000
-
[26]
Y. Xu, W. Hong, H. Bai, G. Shi, Carbon 47(2009) 3538-3543. doi: 10.1016/j.carbon.2009.08.022
-
[27]
J. Liang, Y. Huang, L. Zhang, et al., Adv. Funct. Mater. 19(2009) 2297-2309. doi: 10.1002/adfm.v19:14
-
[28]
L. Pan, Y.T. Liu, X.M. Xie, Acta Polym. Sinica 21(2014) 724-736.
-
[29]
C. Lin, Y.T. Liu, X.M. Xie, Aus. J. Chem. 67(2014) 121-126. doi: 10.1071/CH13339
-
[30]
Y.T. Liu, M. Dang, X.M. Xie, Z.F. Wang, X.Y. Ye, J. Mater. Chem. 21(2011) 18723-18729. doi: 10.1039/c1jm13727a
-
[31]
L.Q. Liu, Y. Gao, Q. Liu, et al., Small 9(2013) 2466-2472. doi: 10.1002/smll.v9.14
-
[32]
H.J. Salavagione, M.A. Gomez, G. Martinez, Macromolecules 42(2009) 6331-6334. doi: 10.1021/ma900845w
-
[33]
J.I. Paredes, S. Villar-Rodil, A. Martinez-Alonso, J.M. Tascon, Langmuir 24(2008) 10560-10564. doi: 10.1021/la801744a
-
[34]
Z.Q. Duan, Y.T. Liu, X.M. Xie, Chin. Chem. Lett. 24(2013) 17-19. doi: 10.1016/j.cclet.2012.12.014
-
[35]
D.C. Marcano, D.V. Kosynkin, J.M. Berlin, et al., ACS Nano 4(2010) 4806-4814. doi: 10.1021/nn1006368
-
[36]
S. Park, K.S. Lee, G. Bozoklu, et al., ASC Nano 2(2008) 572-578. doi: 10.1021/nn700349a
-
[37]
Y. Wang, Z. Shi, J. Yin, J. Mater. Chem. 21(2011) 11371-11377. doi: 10.1039/c1jm10342c
-
[38]
Q. Luo, Y. Shan, X. Zuo, J. Liu, RSC Adv. 8(2018) 13284-13291. doi: 10.1039/C8RA00340H
-
[39]
D. Yang, A. Velamakanni, G. Bozoklu, et al., Carbon 47(2009) 145-152. doi: 10.1016/j.carbon.2008.09.045
-
[40]
K.N. Kudin, B. Ozbas, H.C. Schniepp, et al., Nano Lett. 8(2008) 36-41. doi: 10.1021/nl071822y
-
[41]
H. Bai, C. Li, X. Wang, G. Shi, J. Phys. Chem. C 115(2011) 5545-5551. doi: 10.1021/jp1120299
-
[1]
-
Figure 5 Mechanical properties of nanocomposite films: (a) Stress-strain curves of 5 wt% GO/PVA group (The content of Cu(Ⅱ) in the Cu(Ⅱ)-coordinated PVA sample is equal to that of Cu(Ⅱ)-5 wt% GO/PVA sample) and summaries of (b) Young's modulus, (c) yield stress and (d) elongation at break. The ratio Cu(Ⅱ)/GO is constantly 0.002 mol/g and EDTA/Cu(Ⅱ) is constantly 1.34 (molar ratio).
-
扫一扫看文章
计量
- PDF下载量: 3
- 文章访问数: 1613
- HTML全文浏览量: 41

DownLoad:
下载:
下载: