Citation: Jinyun Zhao, Jiapeng Hu, Ruilai Liu, Hao Lin, Xingping Fu. Fabrication of La-MOFs Adsorbents and Its Fluorine Removal Performance[J]. Chemistry, 2021, 84(1): 75-80.
La-金属有机骨架化合物的制备及其除氟性能研究
English
Fabrication of La-MOFs Adsorbents and Its Fluorine Removal Performance
-
Key words:
- MOFs materials
- / Defluorination
- / Adsorbent
- / Dynamics
- / Thermodynamics
-
氟是自然界中与人体健康有关的微量元素之一。人体每天的正常需氟量大约为1.0mg,其中三分之二来源于饮用水,三分之一来源于植物摄取。然而,饮用水中的氟离子浓度超过1.5mg/L将严重影响人类的健康。在氟离子严重污染地区,出现大量的氟斑牙和氟骨症等慢性病,危害人体健康[1, 2]。近几年报道的除氟方法主要包括电化学沉积法、离子交换法、膜分离和吸附法[3~5]。吸附法由于成本低、操作简单、除氟效率高而被广泛应用。例如,铝改性羟基磷灰石、金属离子负载的纤维状蛋白质、多孔氧化铝掺杂氧化铜等吸附剂被用于水中过量氟离子的去除。然而以上吸附剂很难制备出拓扑结构,从而限制了其吸附容量的提高。
金属有机骨架化合物(MOFs)是由金属中心与有机配体通过相互连接形成的一类具有周期性网络结构的晶态多孔材料,且具有结构可调性。由于MOFs具有孔隙率高、比表面积大、不饱和金属活性位点及可功能化修饰等诸多优点,在催化、分子分离、气体存储、重金属离子检测、吸附和药物缓释等领域得到广泛的应用[6~11]。刘瑞霞等[12]利用螯合作用把镧负载到氨基-膦酸基-二硫代羧基纤维表面,制备出新型除氟吸附剂,该除氟吸附剂对废水中氟离子的吸附容量达19.46mg/g,是一种良好的吸附剂。Luo等[13]将La3+、Ce3+、Y3+、Fe3+和Al3+螯合到Amb 200离子交换树脂上,制得新型除氟吸附剂,其中螯合La3+和Ce3+的树脂对氟离子的吸附容量最大。迄今尚未见将La3+负载到MOFs上并用于去除水中氟离子的相关报道。
本文通过螯合方法将La3+负载到MOFs上制备La-MOFs除氟吸附剂,考察了La-MOFs对水中氟离子吸附的吸附性能,研究其吸附热力学和吸附动力学,为废水中过量氟离子的去除提供一定参考。
1. 实验部分
1.1 材料
2-氨基对苯二甲酸(分析纯,阿法埃莎(天津)化学有限公司);硝酸镧和硝酸钠(分析纯,上海国药化学试剂有限公司);N, N-二甲基甲酰胺(DMF)、甲醇、氢氧化钠、二水柠檬酸钠、氟化钠、高锰酸钾,分析纯,西陇化工股份有限公司;盐酸(36%~38%,上海国药化学试剂有限公司);其余试剂均为市售分析纯级。
1.2 La-MOFs吸附剂的制备
将0.1500g硝酸镧和0.2000g 2-氨基对苯二甲酸加入30mL DMF中,常温下磁力搅拌溶解。溶液转移到聚四氟乙烯内衬的不锈钢反应釜中,130℃反应24h。反应产物用甲醇离心洗涤3次。将沉淀物转入聚四氟乙烯内衬不锈钢反应釜中加入30mL甲醇,120℃反应12h后取出过滤,产物60℃真空干燥12h,置于干燥箱备用。考察制备条件对La-MOFs吸附性能的影响,实验设计如表 1所示。
表 1
序号 硝酸镧与2-氨基对苯二甲酸质量比(LN/AA) DMF溶剂中反应温度/℃ 反应时间/h 甲醇溶剂中反应温度/℃ 1 2∶3、3∶3、4∶3、5∶3、6∶3 130 24 120 2 4∶3 100、110、120、130、140 24 120 3 4∶3 130 12、18、24、30、36 120 4 4∶3 130 24 110、120、130 1.3 表征
利用Thermo Nicolet-5700红外光谱仪对样品进行红外分析,采用KBr压片法制备样品,并用OMNIC软件处理数据。利用日本JEOL公司JSM-7500F型扫描电镜观察La-MOFs的形貌,喷金处理,喷金电流30mA,时间90s。采用X’Pert MPD X射线粉末衍射仪对样品进行晶型分析,测试条件为:电压40kV,电流40mA,Cu Kα射线作为光源(λ=1.542Å),2θ=10°~80°,扫描速率2°/min。利用ASAP 2000自动吸附仪(美国麦克公司)测定液氮温度(77K)下样品的N2吸附-脱附等温线,并用BET方程计算产物比表面积,用BJH法计算产物的孔径-孔容分布。
1.4 吸附性能
1.4.1 吸附热力学
取50mL浓度分别为4、6、8、10、15和20 mg/L的氟离子溶液放入锥形瓶中,加入0.01g La-MOFs吸附剂,用浓度为0.1mol/L的盐酸和氢氧化钠调pH为4.0,将锥形瓶放入恒温振荡器中,分别在25、35和45 ℃下恒温振荡12h,静置30min,取上清液用0.45μm滤膜过滤,测定氟离子浓度。氟离子的浓度测定参考文献[14]的方法,测定上清液电位值,根据标准曲线计算氟离子浓度。吸附容量(qe,mg·g-1)采用式(1)计算。
$q_{\mathrm{e}}=\frac{V\left(c_{0}-c_{\mathrm{e}}\right)}{m} $ (1) 式中,V为溶液体积(L),c0为溶液初始浓度(mg/L),ce为吸附后溶液浓度(mg/L),m为吸附剂的质量(g)。
1.4.2 吸附动力学
在1000mL锥形瓶中加入500mL浓度分别为5、10和20 mg/L的氟离子溶液,加入0.1g La-MOFs吸附剂,用浓度为0.1mol/L的盐酸和氢氧化钠调pH至4.0,在25℃下搅拌,间隔一定时间取上清液5mL,测量氟离子浓度。
2. 结果与讨论
2.1 La-MOFs制备条件的影响
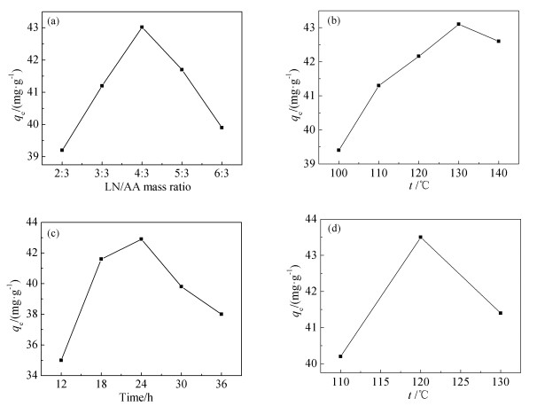
图 1(A)为LN/AA质量比对La-MOFs吸附剂吸附容量的影响。LN/AA=2∶3时,吸附容量为39.2mg/g,随着LN/AA质量比的增加,吸附容量逐渐增加,当LN/AA=4∶3时,吸附容量达到最大,为43.1mg/g。主要因为在相同质量硝酸镧的情况下,有机配体2-氨基对苯二甲酸形成丝状将金属La团桥接在一起,形成类似线团的形状。2-氨基对苯二甲酸的添加量过少,硝酸镧没有完全接在一起,会出现晶体状颗粒,影响氟离子的吸附; 而2-氨基对苯二甲酸的添加量过多,会导致丝状物增多,没有足够的硝酸镧与之结合,吸附容量降低。
图 1
图 1(B)为DMF溶剂中反应温度对La-MOFs吸附剂吸附容量的影响。反应温度为100℃时,吸附容量为39.4mg/g,随着温度的升高,吸附容量逐渐增大;反应温度为130℃时,吸附容量达到最大值43.1mg/g。DMF是反应的活化剂,它为2-氨基对苯二甲酸提供生长的模板,过低的温度无法达到反应动力学要求,导致反应物之间的配位很难发生;然而,温度过高会导致La-MOFs材料的骨架结构崩塌,从而破坏材料的立体结构。
图 1(C)为反应时间对La-MOFs吸附容量的影响。反应时间从12h增加到36h,吸附容量先增大后减小。主要原因是,反应时间过短时,2-氨基对苯二甲酸与硝酸镧的反应未完全;反应时间过长,La-MOFs的颗粒不断长大,其比表面积下降,不利于氟离子吸附。为了除去残余在样品中的DMF溶剂,离心洗涤3次后,再次与甲醇在一定温度下反应。从图 1(D)可知,在甲醇中120℃下热处理所得吸附剂的去除效果最好。综上,优化实验方案为:LN/AA=4∶3、DMF反应温度130℃、反应时间24h,甲醇热处理温度120℃,所得La-MOFs吸附剂的吸附容量达到最大值,为43.1mg/g。
2.2 La-MOFs吸附剂结构表征
图 2为La-MOFs吸附剂吸附氟离子前后的扫描电镜图。从图 2(A)和(B)可知,La-MOFs为毛线团状球形结构,吸附氟离子后,毛线团状球形结构遭到一定程度的破坏,且La-MOFs球形颗粒发生一层程度的粘连。可能因为吸附氟离子后,在La-MOFs表面形成了氟化镧晶体。
图 2
图 3为吸附剂吸附氟离子前后的红外光谱图。吸附前,在1546和1429 cm-1分别对应羧基的反对称伸缩振动峰和醇羟基的面内弯曲振动吸收峰。吸附氟离子后,该吸收峰发生一定程度的偏移,说明La-MOFs吸附剂吸收氟离子后,在其表面生成了氟化镧晶体,引起吸收峰的偏移。
图 3
图 4为La-MOFs吸附氟离子前后的XRD图。吸附前,2θ=9.80°出现了La-MOFs的特征吸收峰,吸附氟离子后该特征吸收峰消失,在2θ=24.74°和27.60°出现了新的特征吸收峰,对应于氟化镧晶体的特征吸收峰。进一步说明La-MOFs吸附氟离子后形成了氟化镧晶体。
图 4
图 5(A)为La-MOFs吸附剂N2吸附-脱附等温线图。根据国际纯粹及应用化学联合会(IUPCA)命名法,当压力在P/P0=0.6~1.0范围内时,此曲线呈现典型的Ⅳ等温线和H3滞后环。图 5(B)为La-MOFs吸附剂的孔径-孔容分布图,从图中可知,最可几孔径为15.84nm。由BET分析法得到La-MOFs吸附剂的比表面积为16.95m2/g。
图 5
2.3 吸附性能
2.3.1 吸附热力学
吸附过程中温度对吸附行为有着重要的影响,考察了25、35和45 ℃下La-MOFs吸附剂对氟离子的吸附过程。分别采用Langmuir和Freundlich模型进行拟合[15, 16]。Langmuir模型:
$q_{\mathrm{e}}=\frac{V\left(c_{0}-c_{\mathrm{e}}\right)}{m} $ (2) qe为平衡吸附容量(mg/g);qmax为最大吸附容量(mg/g); ce为吸附平衡后溶液浓度(mg/L);b是吸附平衡常数(L/mg)。
Freundlich模型:
$q_{\mathrm{e}}=K_{F} c_{\mathrm{e}}^{1 / n} $ (3) qe为平衡吸附容量(mg/g),KF是反映吸附量的吸附常数(mg/g),ce为吸附平衡后溶液浓度(mg/L),n是反映吸附强度的吸附常数。
由图 6可见,随着氟离子初始浓度的增大,吸附容量逐渐增大;且随着吸附温度上升,平衡吸附容量也逐渐增大。这表明La-MOFs吸附剂对氟离子的吸附是一个吸热过程,温度升高有利于吸附。分别用Langmuir和Freundlich模型拟合等温吸附过程,拟合结果列于表 2。两个模型中,Langmuir模型的决定因子R2为0.76,而Freundlich模型的决定因子R2为0.97,因此可以判断Freundlich模型更适合于该吸附过程。
图 6
表 2
表 2 La-MOFs吸附剂吸附氟离子Langmuir和Freundlich模型拟合参数Table 2. Langmuir and Freundlich isotherm parameter of fluoride adsorption on La-MOFsT
/℃Langmuir Freundlich qmax
/(mg·g-1)b
/(L·mg-1)R2 KF
/(mg·g-1)n R2 25 111.74 0.24 0.7607 92.00 0.0637 0.9632 35 105.49 0.24 0.7911 90.26 0.0565 0.9687 45 104.69 0.22 0.7867 90.07 0.05025 0.9706 2.3.2 吸附动力学
为了进一步研究La-MOFs吸附剂对氟离子的吸附机理,采用准一级动力学、准二级动力学和颗粒内扩散模型拟合其吸附动力学过程,各拟合方程式如下[17, 18]:
准一级动力学方程:
$\ln \left(q_{e}-q_{t}\right)=\ln q_{\mathrm{e}}-k_{1} t $ (4) 准二级动力学方程:
$\frac{t}{q_{t}}=\frac{1}{k_{2} q_{\mathrm{e}}^{2}}+\frac{t}{q_{\mathrm{e}}} $ (5) 颗粒内扩散方程:
$q_{t}=k_{\mathrm{p}} t^{0.5}+C $ (6) 式中,qt为t时刻的吸附量(mg/g),qe为平衡吸附量(mg/g),k1为准一级吸附速率常数(min-1),k2为准二级吸附速率常数(min-1),kp为颗粒内扩散速率常数(mg·g-1·min-1/2),C为常数。三种动力学方程拟合结果如图 7所示,各参数计算结果列于表 3。
图 7
表 3
表 3 La-MOFs吸附剂对氟离子吸附的动力学模型(T=25℃)Table 3. The kinetic model of fluoride sorption on La-MOFs adsorbents模型 浓度/(mg/L) 拟合方程 R2 5 y=1.569-0.0355x 0.9817 准一级 10 y=2.9889-0.0386x 0.9649 20 y=3.7699+0.039x 0.8935 5 y=0.1844+0.0582x 0.9998 准二级 10 y=0.1065+0.0219x 0.9997 20 y=0.0498+0.0105x 0.9995 5 y=13.163+0.3285x 0.761 颗粒内扩散 10 y=31.003+1.185x 0.7724 20 y=67.207+2.1967x 0.8652 三种模型中,准二级模型的决定因子(R2)均大于0.999,说La-MOFs吸附剂对氟离子的吸附更符合准二级动力学模型,整个吸附反应为多级控制过程。
3. 结论
以硝酸镧和2-氨基对苯二甲酸为原料,通过水热合成法制备La-MOFs吸附剂,并研究其对氟离子的吸附热力学和吸附动力学。结果表明,在LN/AA=4∶3、DMF反应温度130℃、反应时间24h,甲醇热处理温度120℃条件下,所制备La-MOFs的吸附容量达到最大值43.1mg/g。La-MOFs吸附剂对氟离子的吸附动力学遵循准二级动力学反应模型,吸附热力学表明Freundlich模型更适于拟合该反应过程,该吸附过程为放热反应,温度越高越有利于吸附。
-
-
[1]
Wang X, Pan S, Zhang M, et al. Sci. Total Environ., 2019, 685(5): 401~409.
-
[2]
Rajput A, Raj S K, Sharma P P, et al. J. Dispersion Sci. Technol., 2019, 40(8): 1101~1109. doi: 10.1080/01932691.2018.1496836
-
[3]
Singh J, Singh P, Singh A. Arab. J. Chem., 2016, 9(6): 815~824. doi: 10.1016/j.arabjc.2014.06.005
-
[4]
He J, Zhang K, Wu S, et al. J. Hazard. Mater., 2016, 303(4): 119~130. doi: 10.1016/j.jhazmat.2015.10.028
-
[5]
Wang Y, Chen N, Wei W, et al. Desalination, 2011, 276(1-3): 161~168. doi: 10.1016/j.desal.2011.03.033
-
[6]
Lu G, Huang X, Li Y, et al. J. Energy Chem., 2020, 43(5): 8~15.
-
[7]
Tang Y, Wang S, Zhou X, et al. Chem. Eng. Sci., 2020, 213(2): 13~18. doi: 10.1002/ijc.23600
-
[8]
Liu W, Dai X, Bai Z, et al. Environ. Sci. Technol., 2017, 51(7): 3911~3921. doi: 10.1021/acs.est.6b06305
-
[9]
Sheng D, Zhu L, Xu C, et al. Environ. Sci. Technol., 2017, 51(6): 3471~3479. doi: 10.1021/acs.est.7b00339
-
[10]
Xie Y, Chen C, Ren X, et al. Prog. Mater. Sci., 2019, 103: 180~234. doi: 10.1016/j.pmatsci.2019.01.005
-
[11]
Zhu K, Chen C, Xu H, et al. ACS Sustain. Chem. Eng., 2017, 5(8): 6795~6802. doi: 10.1021/acssuschemeng.7b01036
-
[12]
刘瑞霞, 汤鸿霄. 环境科学, 2000, (4): 34~37. doi: 10.3321/j.issn:0250-3301.2000.04.008
-
[13]
Viswanathan N, Meenakshi S. J. Fluorine Chem., 2008, 129(7): 645~653. doi: 10.1016/j.jfluchem.2008.05.007
-
[14]
刘瑞来. 科学技术与工程, 2018, 18(31): 50~57. http://www.stae.com.cn/ch/reader/view_abstract.aspx?file_no=1802233&flag=1
-
[15]
胡家朋, 吴代赦, 肖丽盈, 等. 环境工程学报, 2015, 9(4): 1823~1830. http://www.cnki.com.cn/Article/CJFDTotal-HJJZ201504049.htm
-
[16]
Workeneh K, Zereffa E A, Segne T A, et al. J. Nanomater., 2019, (2): 1~12. doi: 10.1155/2019/2458312
-
[17]
林皓, 胡家朋, 穆寄林, 等. 人工晶体学报, 2017, 46(7): 1400~1407. doi: 10.3969/j.issn.1000-985X.2017.07.037
-
[18]
Tahir R, Muhammad A, Khalid M C, et al. Desalin. Water Treat., 2018, 108: 207~215. doi: 10.5004/dwt.2018.21877
-
[1]
-
表 1 La-MOFs吸附剂实验设计
Table 1. Experimental design of La-MOFs adsorbents
序号 硝酸镧与2-氨基对苯二甲酸质量比(LN/AA) DMF溶剂中反应温度/℃ 反应时间/h 甲醇溶剂中反应温度/℃ 1 2∶3、3∶3、4∶3、5∶3、6∶3 130 24 120 2 4∶3 100、110、120、130、140 24 120 3 4∶3 130 12、18、24、30、36 120 4 4∶3 130 24 110、120、130 表 2 La-MOFs吸附剂吸附氟离子Langmuir和Freundlich模型拟合参数
Table 2. Langmuir and Freundlich isotherm parameter of fluoride adsorption on La-MOFs
T
/℃Langmuir Freundlich qmax
/(mg·g-1)b
/(L·mg-1)R2 KF
/(mg·g-1)n R2 25 111.74 0.24 0.7607 92.00 0.0637 0.9632 35 105.49 0.24 0.7911 90.26 0.0565 0.9687 45 104.69 0.22 0.7867 90.07 0.05025 0.9706 表 3 La-MOFs吸附剂对氟离子吸附的动力学模型(T=25℃)
Table 3. The kinetic model of fluoride sorption on La-MOFs adsorbents
模型 浓度/(mg/L) 拟合方程 R2 5 y=1.569-0.0355x 0.9817 准一级 10 y=2.9889-0.0386x 0.9649 20 y=3.7699+0.039x 0.8935 5 y=0.1844+0.0582x 0.9998 准二级 10 y=0.1065+0.0219x 0.9997 20 y=0.0498+0.0105x 0.9995 5 y=13.163+0.3285x 0.761 颗粒内扩散 10 y=31.003+1.185x 0.7724 20 y=67.207+2.1967x 0.8652 -
扫一扫看文章
计量
- PDF下载量: 0
- 文章访问数: 0
- HTML全文浏览量: 0

下载:
下载:
下载: