Citation: WANG Lin-zheng, LUO Yong-hao, ZHANG Rui-zhi, DENG Rui-qu. Influence of oxygen on nitrogen distribution and transformation during straw pyrolysis[J]. Journal of Fuel Chemistry and Technology, 2017, 45(12): 1441-1448.
氧气对秸秆热解氮迁移与转化的影响
English
Influence of oxygen on nitrogen distribution and transformation during straw pyrolysis
-
Key words:
- straw
- / oxidative pyrolysis
- / N-distribution
- / conversion pathway
-
中国作为农业大国,各类生物质资源丰富,其中, 秸秆具有时空分布集中、易收集和成本低的特性,作为燃料利用具有十分可观的能源和环境效益[1]。层燃锅炉能够适应多种不同燃料特性的生物质,是目前应用于生物质燃烧供热供电的主要设备[2]。秸秆层燃技术虽然经过了多年的研究与实践,在其运行过程中仍然存在诸多问题,例如燃烧过程中NOx的排放。与煤炭相比,生物质燃料通常含氮量较高且燃烧的温度较低,因此, 其燃烧过程中主要生成燃料型NOx[3]。然而,目前对生物质燃烧过程中NOx生成机理的研究仍不完善,因此,研究生物质燃料燃烧过程中含氮化合物转化路径,有助于提出低NOx燃烧工艺。
通常认为,NH3和HCN是燃料型NOx的前驱物[4]。有许多研究者针对生物质燃料NOx前驱物的析出特性进行了研究,然而,不同的研究中HCN与NH3的比例相差较大[5]。造成差异的主要原因是燃料氮向HCN与NH3的转化受到诸多因素的影响,如燃料的种类、反应温度、升温速率和停留时间等。不同的实验反应条件与反应器设计不同,得出的结论往往差异较大,难以相互比较。因此,应对燃料氮转化反应路径进行深入的研究,以便在不同反应条件下获得其迁移规律。
热解是燃烧前的重要反应阶段,世界各国采用生物质原料或模型化合物,对生物质热解过程中燃料氮的迁移转化机理开展了许多研究。Tian等[6]将污泥在流化床反应器中热解,其结果表明,HCN是主要的NOx前驱物,主要来源于挥发分的二次裂解;而NH3在低温下主要由氨基结构脱氨产生,高温下由固相中含氮组分的加氢产生。Hansson等[7]对树皮和模型化合物进行热解,认为蛋白质是生物质氮的主要赋存形态,其热解过程中一方面,形成焦炭氮并释放NH3;另一方面,形成环化二聚物DKP,进一步裂解形成HCN与HNCO。Tian等[8]对污泥进行微波热解,分析小分子气体、焦油和焦炭中含氮组分的转化,其研究结果表明,蛋白质热解生成的胺类、腈类和杂环化合物等焦油组分是重要的中间产物,NH3和HCN主要来源于这些中间物的二次反应。Chen等[9]在不同温度下对三种藻类进行快速热解,认为400-600 ℃下主要是氨基酸发生脱氨、脱氢等反应,形成焦炭中的吡啶和吡咯结构并放出NH3;高温下(>600 ℃)焦油与焦炭的含氮组分发生二次反应进一步生成NH3与HCN。
然而,上述热解实验都是在惰性气氛下进行的,且大多进行快速热解实验,不符合层燃锅炉的实际工况。在典型的层燃锅炉中,一次风从炉排下方送入,炉排上层燃料受炉膛的热辐射首先发生着火,然后火焰锋面逆一次风方向传播,可见炉排上的燃料从热解、挥发分析出到异相反应均在有氧气氛下进行[10, 11]。由于层燃锅炉燃料的颗粒粒径较大,一般热解与氧化反应速率均较慢,且生物质燃料挥发分比例较高,需要在较大的炉膛空间中才和氧气充分混合实现完全燃烧。
因此,本实验采用两段式固定床反应器研究层燃工况下秸秆原料的有氧热解。其第一段为程序升温模拟燃料在炉排上的热解过程,第二段为恒温模拟析出的挥发分在炉膛中发生的均相转化过程。通过改变载气中氧气的浓度,探究秸秆在不同氧量下热解产物中的氮分配变化。同时,捕集不同氧量下的焦油进行GC-MS分析,通过其中含氮化合物的种类及相对含量的变化来推断燃料氮的转化路径,并分析氧气对热解过程中燃料氮析出特性和反应路径的影响。
1 实验部分
1.1 实验原料
选取商用秸秆成型颗粒,通过磨盘式制样粉碎机将生物质燃料进行制粉,再通过300目标准筛进行筛分,干燥后制得实验原料。样品的工业分析按《GB/T 28731—2012固体生物质燃料工业分析方法》进行,元素分析在Elementar公司的macro cube上开展,其中,氧含量通过差减法得到,其分析见表 1。
Proximate analysis wad/% Ultimate analysis wad/% M V A FC C H N S O 10.23 59.05 16.29 14.43 37.22 5.43 1.42 0.25 39.40 1.2 实验装置
实验在两段式固定床反应器上进行,其结构示意图见图 1。
两段式固定床反应器实验台系统主要包括第一段固定床反应器(热解段)、第二段管流反应器(均相转化段)、焦油捕捉装置、温控及电控设备、质量流量计(MFC)、电脑及相关管路等。其中,第一段固定床反应器长250 mm、内径12 mm,第二段长200 mm、内径10 mm,两段均为电阻率较大的金属材料。反应器采用通电管壁的发热进行物料加热并通过热电偶对管壁内外分别进行温度测量。载气从第一段上方通入,原料预置在第一段反应器中放置的丝网上,热解生成的焦油随着载气进入第二段发生均相转化,连接第一、二段的法兰有加热带保温在200 ℃防止焦油冷凝。焦油捕捉管路为分三段布置的不锈钢管,内径8 mm、总长度400 mm,管路浸入液氮中冷却。两段反应器及焦油捕捉装置均通过法兰连接,各段均可拆卸,可根据需要选择是否使用第二段管流反应器。
1.3 实验方法
首先通过热电偶检测得到反应器内温度场分布及实际温度与设置温度的对应关系。将称重的400目不锈钢丝网置入固定床反应器内约135 mm处固定,然后将称重的约500 mg生物质原料装入反应器。采用高纯氩气(99.999%)为载气,通过加入空气来改变载气中的氧气浓度,总流量为70 mL/min。
本实验共设置五个工况,分别是只用热解段惰性气氛下的热解、使用热解段与均相转化段惰性气氛下的热解及使用热解段与均相转化段有氧条件下的热解,其中, 有氧条件下氧浓度分别为0.5%、1%和5%。后续分析中只用热解段惰性气氛下的热解用0*表示。
将第一段、第二段及焦油捕集段连接并检查气密性后,按照实验工况通入对应氧气浓度的载气并将第二段预升温至600 ℃。10 min后反应器内温度分布与氧气浓度基本稳定,第一段以50 ℃/min升温至500 ℃,保持30 min使反应进行完全。实验后切断电路并继续通100 mL/min的氩气直至反应器冷却至室温。用二氯甲烷为溶剂洗涤反应器及焦油捕集管中的焦油,然后经过滤纸过滤、收集并用无水硫酸钠脱水后,取5 μL进行GC-MS分析,剩余焦油用上海亚荣生化仪器厂的RE-3000型旋转蒸发仪在50 ℃下浓缩至约20 mL后,置于真空干燥箱内于50 ℃烘干至恒重。焦炭从热解段取出后称重,焦油与焦炭均采用前述元素分析仪进行氮含量分析。每种工况重复三组实验,实验结果的重复性良好,焦炭产量的相对误差 < 1%,焦油产量的相对误差<5%,实验结果取三组数据的平均数。
1.4 GC-MS分析
采用Agilent 6890N GC和5975C MS型气相色谱质谱联用仪(GC/MS)测量焦油中各含氮化合物的含量。色谱柱采用Agilent的HP-5MS,长30 m,直径0.25 mm,薄膜厚度为0.25 μm。参数设置:采用高纯氦气(99.999%),气体流量为2.4 mL/min,进样口温度为280 ℃,不分流。加热色谱柱的电炉温度在40 ℃保持4 min,再以4 ℃/min的升温速率从40 ℃升至300 ℃,然后恒温15 min。每次进样量为5 μL。
2 结果与讨论
2.1 氧浓度对氮分配的影响
表 2为不同工况下焦炭和焦油的产率。不同工况下焦油和焦炭的元素分析见表 3。
φ(O2)/% 0* 0 0.5 1 5 Char w/% 35.20 35.05 34.5 33.64 28.17 Tar w/% 20.14 7.05 7.04 6.42 4.83 φ(O2)/% 0* 0 0.5 1 5 tar char tar char tar char tar char tar char C 45.33 42.66 43.59 42.09 45.77 43.60 44.2 43.3 42.02 34.48 Ultimate H 7.98 2.10 8.49 2.37 8.16 2.19 8.23 2.11 8.34 1.55 analysis w/% S 0.42 0.37 0.46 0.36 0.51 0.40 0.37 0.36 0.38 0.39 N 1.49 1.67 1.42 1.68 1.79 1.66 1.40 1.65 0.88 1.31 由表 2可知,氧气浓度为0.5%与1%时,焦炭产率仅有1%左右的下降,微量氧气的引入对焦炭产率的影响较小。当氧气浓度上升至5%时,焦炭产率下降了16.26%,可能是由于较高氧浓度下焦炭氧化的加剧。惰性气氛下仅有热解段时,焦油的产率为20.14%,而引入均相转化段后焦油产率迅速下降为7.05%,说明均相转化过程中焦油发生一系列裂解反应生成小分子气体。随着氧浓度的升高,焦油的产率进一步下降,表明氧气的引入促进了焦油裂解为小分子气体。
结合表 3元素分析的结果,图 2为各工况下焦油、焦炭和小分子气体中氮的分配比,小分子气体的产率通过差减法得到。由图 2可知,与仅有热解段相比,引入均相转化段后焦油中氮的分配比从21.13%降低至7.05%,而小分子气体中氮的分配比从37.46%上升至51.48%,说明均相转化过程中焦油氮发生二次反应裂解为小分子气体产物。随着氧浓度的升高,小分子气体中氮的分配比持续上升,说明氧气的引入促进了各相中的氮转化为小分子气体氮。焦炭中氮的分配比在低氧浓度下改变不显著,氧浓度为0.5%与1%时仅有1%左右的下降;氧浓度达到5%时,焦炭中氮的分配比下降了13.10%。氧浓度较高时,热解过程中有可能燃料氮更倾向于析出为挥发分而非形成焦炭氮,也有可能是氧气在焦炭氧化过程中促进了焦炭氮的进一步析出。氧气浓度为0.5%时,焦油中氮的分配比有1.82%的上升,随着氧气浓度进一步升高,焦油中氮的分配比从8.87%下降至2.99%。吴文广等[12]提出氧气的存在促进了活性自由基的生成,赵善辉等[13]认为, 氧气的引入缩短了焦油均相转化所需的停留时间,对焦油的脱除有显著的效果。在氧气的参与下,焦油中含氮化合物有可能在均相转化过程中裂解为小分子气体产物,从而降低了焦油中的氮含量。
2.2 热解过程中燃料氮的转化路径
表 4为氧气浓度为0*、0和5%时热解焦油中主要的含氮化合物,其相对含量通过GC-MS谱图的峰面积表征。
表 4
三种工况下焦油中含氮化合物及其相对含量
Table 4.
Nitrogen compounds and their relative concentrations from three working conditions
φ(O2)/% 0* 0 5.0 N-containing compounds relative content/% N-containing compounds relative content/% N-containing compounds relative content/% Amides methylurea 3.46 undec-10-ynoic acid (furan-2-ylmethyl)-amide 1.90 hydroxyproline anilide 4.28 N-(cyanomethyl)-foramide 2.26 2-propenamide 3.88 hydantoin 12.32 ethyl allophanate 4.74 carbamic acid, phenyl ester 2.60 2, 5-piperazine-dione 1.43 pyrazinamide 6.67 Amides 2-amino-oxazole 2.67 N-ethyl-2-propen-1-amine 4.28 aniline 6.42 1, 3-benzene-diamine 1.21 2-amino-4-methyl-5-hexynoic acid 1.80 2-methyl-2-propene-nitrile 3.46 cyclopropanecarbox-amine 3.78 6-amino-2-(4-aminophenyl) benzoxazole 1.44 3-amino-piperidin-2-one 4.06 2-amino-oxazole 1.17 N-benzyl-2-phenethylamine 4.06 Nitriles 3-amino-3-cyano-acrylic acid, methyl ester 1.01 2-pyrrodine-carbonitrile, 5-oxo- 3.80 3-dimethyl-amino-acrylonitrile 6.73 benzenepropane-nitrile, β-oxo- 4.91 3-amino-acrylonitrile 4.78 2-methyl-2-propenenitrile 1.80 cyanamide, 2-propenyl- 0.55 N-heterocyclic 3-methylpyridazine 5.12 1H-pyrazole, 1, 3-dimethyl- 0.12 1, 3-diazine 1.87 compounds 1, 3-diazine 4.26 3-methylpyridazine 4.77 H-pyrrole, 1-methyl- 6.90 1-methyl-Pyrrole 5.05 1, 3-diazine 1.99 pyridine 26.03 pyridine 3.17 pyridine 22.53 pyrrole 2.93 pyrrole 17.47 pyrrole 15.82 3-methyl-pyridine 2.70 4-pyridinol 6.78 4-methylpyridine 3.71 2-pyrimidin-amine 0.27 4-methylpyridine 4.97 2-methylpyrrolidine 2.08 piperazine 0.17 1, 5-dimethyl-pyzazole 4.01 2, 6-dimethyl-pyridine 2.07 4-ethenyl-pyrodine 0.76 5-methy-2-phenyl-indole 0.65 2-ethylpyridine 1.75 3, 5-dimethyl-pyridine 21.23 3, 6-Bis (N, N-dimethylamino)-9-methylcarbazole 1.77 4-pyridine-carboxyaldehyde 0.02 2-ethyl-acridine 0.98 2, 5-dimethylpyridine 2.01 2-ethenylpyridine 0.09 1H-indazole, 3-methyl- 0.58 Others methoxy-phenyl-oxime 3.95 2-nitrobenzaldoxime 1.78 2-propanone 8.14 propanal, 2-propenylhydrazone 1.33 methoxyphenyl-oxime 8.70 methylhydrazone 由表 4可知,不同工况下焦油中含氮化合物的类型主要有酰胺类、胺类、腈类与含氮杂环化合物,还检测到少量亚胺及肟类化合物等。秸秆燃料氮的含量相对较低,热解焦油中各类物质的衍生物组成较为复杂,因此, 除了吡啶、吡咯等较稳定的结构外,不同工况下焦油中含氮化合物的种类有一定差异。
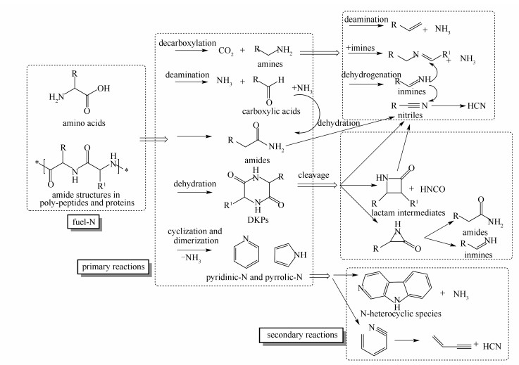
基于本实验鉴定出的焦油含氮化合物类型,本研究在Tian等[8]、Debono等[14]和Zhan等[15]工作的基础上提出了生物质热解过程中氮转化的主要路径,具体见图 3。
许多研究表明,生物质中的氮元素主要赋存形态是蛋白质、多肽和氨基酸,少部分氮以核酸、叶绿素、生物碱及无机盐形式存在[16]。其中, 蛋白质通常贡献了80%-85%的含氮量,因此,选取蛋白质与氨基酸作为起始物可以较好地描述生物质氮的热转化机理。
2.2.1 一次反应
随着温度的升高,蛋白质和氨基酸等首先发生多种一次反应,生成初级焦油产物。脱羧反应[17]和脱氨反应[18]是氨基酸裂解常见的反应模式(反应(1)与反应(2)),其主要产物是胺类与羧酸。在惰性气氛下仅有热解段的焦油中检出了多种酰胺类化合物,而酰胺键是蛋白质及多肽的特征结构,故酰胺类化合物也是主要的初级焦油产物[19](反应(3))。
氨基酸或多肽热解时常发生脱水反应,DKP(Dike-topiperazine,二酮哌嗪)是该过程的重要产物,Voorhees等[20]提出了多肽热解过程中DKP的生成机理(反应(4))。但是,本实验各工况的GC-MS结果均未检出显著的DKP组分。Debono等[14]对污泥和食物残渣等的热解焦油进行GC-MS分析,其结果表明焦油中有多种DKP生成,但是相比于其他含氮焦油组分DKP的相对含量较低。Tian等[8]、Chen等[9]和Zhan等[15]的生物质热解焦油GC-MS结果中均未给出DKP类物质。相比于模型化合物的热解,生物质原料热解焦油中DKP含量均不显著。这可能是由于反应器结构及反应条件的不同,使得生物质原料热解实验中生成的DKP更容易发生二次反应转化为其他物质。
各工况下焦油组分中均含有较多的吡啶、吡咯等含氮杂环。一次反应中,氨基酸可以通过分子内或双分子的脱氢、脱氨、脱水等一系列反应环化形成含氮杂环[21]。Chen等[9]总结了一系列氨基酸在热解过程中生成含氮杂环的生成路径,具体见反应(5)、反应(6)与反应(7)。
2.2.2 二次反应
主要的一次反应产物析出后在均相转化段发生二次反应,初级焦油转化为二级焦油与小分子气体。由于涉及到多种复杂裂解、缩聚等反应,完全描述初级焦油的二次反应是十分困难的[16]。基于上述的一次反应产物,通常认为其二次反应有以下几种常见的反应机理。
Simmonds等[22]通过对数种氨基酸热解产物的GC-MS分析,给出了酰胺和胺类的二次反应路径。一次反应生成的胺类会发生直接脱氨反应,直接脱落氨基产生NH3(反应(8)),但通常认为这种反应路径较难进行。脱氢反应也是胺类主要的二次反应,主要生成亚胺和腈类(反应(9))。此外,亚胺还会和胺类发生脱氨反应,生成N-烷基醛亚胺(反应(10))。酰胺通常发生脱水反应,生成对应的腈类化合物(反应(11))。本实验各工况的GC-MS结果中均检出亚胺、腈类等物质,但是N-烷基醛亚胺并无显著出峰。这可能是因为生物质原料的焦油组分较为复杂,N-烷基醛亚胺的产量较少且出峰与其他化合物重合,难以区分。
许多对氨基酸模型化合物热解的研究都报道了DKP的生成,并给出了DKP的多种二次反应路径,具体见图 3。Ratcliff等[17]认为,DKP主要裂解生成α-内酰胺中间物,进而开环生成亚胺;此外,DKP也可以裂解为对应的酰胺,进而脱水生成腈类化合物。Li等[18]认为DKP可以开环生成HNCO,或脱羰基生成亚胺。
含氮杂环类化合物一般较为稳定,在高温下焦炭和焦油中的杂环类物质进一步缩聚,形成稠环类化合物[23]。吡啶及吡咯类化合物也可以开环生成对应的腈类化合物,腈类化合物进一步热解释放HCN,是二次反应中重要的HCN来源[8](反应(12))。
2.2.3 氧气对燃料氮转化路径的影响
基于表 4中各含氮焦油组分的含量,图 4给出了三种工况下含氮焦油中酰胺、胺类、含氮杂环化合物、腈类及其他化合物的含量比。
氧气浓度为0*时焦油中酰胺类化合物占28.74%,引入均相转化段后酰胺类化合物占比下降为10.52%,而腈类化合物的占比从1.01%增加到8.71%,含氮杂环化合物的占比也增加了4.29%。因此,均相转化过程中酰胺类初级焦油成分更容易发生二次反应,生成腈类和含氮杂环化合物等二级焦油成分。当氧气浓度为5%时,焦油中仅检出一种酰胺类化合物、两种胺类化合物,占比分别下降至4.28%与9.88%,而杂环化合物占比增加到63.84%,腈类化合物增加到13.86%。因此,在氧浓度为5%时,焦油中二次反应产物占比更高,发生了更为显著的二次反应。
Tian等[8]认为,燃料氮在300-500 ℃析出为胺类与酰胺等初级焦油组分,随着温度的升高,初级焦油在500-800 ℃发生二次反应生成腈类与含氮杂环化合物。在有氧热解过程中,生物质原料有可能发生氧化反应并放出热量,导致局部温度升高,初级焦油组分二次反应的行为向高温区移动。因此,在氧浓度为5%时,热解焦油中酰胺与胺类含量较低,而腈类与杂环化合物含量较高。此外,氧气也可能促进了脱氢反应的进行,如反应(6)与反应(9),使得酰胺、胺类初级焦油组分向腈类与杂环化合物转化。
3 结论
在惰性气氛下热解产生的焦油经过均相转化后,产率显著下降,且焦油中氮的分配比降低。
氧气的引入进一步降低了焦油与焦炭的产率,并降低了焦油与焦炭中氮的分配比,增加了小分子气体中氮的分配比。
基于对焦油中含氮化合物种类与含量的分析,研究提出了热解过程中燃料氮转化的反应路径。以蛋白质和氨基酸为燃料氮的禀赋形态,其在热解过程中首先发生一系列一次反应,生成酰胺、胺类等初级焦油产物。初级焦油发生二次反应,进一步生成腈类及含氮杂环化合物等二级焦油产物。
有氧条件下,初级焦油组分二次反应的行为向高温区移动且脱氢反应更为显著,焦油中酰胺、胺类等初级焦油成分的含量显著降低,腈类及含氮杂环化合物等二级焦油成分的含量升高。
-
-
[1]
朱开伟, 刘贞, 贺良萍, 林金钗. 中国主要农作物秸秆可新型能源化生态经济总量分析[J]. 中国农业科学, 2016,49,(19): 3769-3785. doi: 10.3864/j.issn.0578-1752.2016.19.009ZHU Kai-wei, LIU Zhen, HE Liang-ping, LIN Jin-chai. Eco-economic potential analysis of Chinese main crops' bio-energy utilization straw resouces[J]. Scientia Agricultra Sinica, 2016, 49(19): 3769-3785. doi: 10.3864/j.issn.0578-1752.2016.19.009
-
[2]
YIN C, ROSENDAHL L A, KÆR S K. Grate-firing of biomass for heat and power production[J]. Prog Energy Combust Sci, 2008, 34(6): 725-754. doi: 10.1016/j.pecs.2008.05.002
-
[3]
GLARBORG P, JENSEN A D, JOHNSSON J E. Fuel nitrogen conversion in solid fuel fired systems[J]. Prog Energy Combust Sci, 2003, 29(2): 89-113. doi: 10.1016/S0360-1285(02)00031-X
-
[4]
聂虎, 余春江, 柏继松, 李廉明, 秦建光, 方梦祥, 骆仲泱. 生物质燃烧中硫氧化物和氮氧化物生成机理研究[J]. 热力发电, 2010,39,(9): 21-26. NIE Hu, YU Chun-jiang, BAI Ji-song, LI Lian-ming, QIN Jian-guang, FANG Meng-xiang, LUO Zhong-yang. Study on formation mechanisms of sulphide and nitrogen oxides in combustion of biomass[J]. Therm Power Gen, 2010, 39(9): 21-26.
-
[5]
CHEN H F, WANG Y, XU G W, YOSHIKAWA K. Fuel-N evolution during the pyrolysis of industrial biomass wastes with high nitrogen content[J]. Energies, 2012, 5(12): 5418-5438. doi: 10.3390/en5125418
-
[6]
TIAN F J, LI B Q, CHEN Y, LI C Z. Formation of NOx precursors during the pyrolysis of coal and biomass. Part Ⅴ. Pyrolysis of a sewage sludge[J]. Fuel, 2002, 81(17): 2203-2208. doi: 10.1016/S0016-2361(02)00139-4
-
[7]
HANSSON K M, SAMUELSSON J, TULLIN C, ÅMAND L E. Formation of HNCO, HCN, and NH3, from the pyrolysis of bark and nitrogen-containing model compounds[J]. Combust Flame, 2004, 137(3): 265-277. doi: 10.1016/j.combustflame.2004.01.005
-
[8]
TIAN Y, ZHANG J, ZUO W, CHEN L, CUI Y, TAN T. Nitrogen conversion in relation to NH3 and HCN during microwave pyrolysis of sewage sludge[J]. Environ Sci Technol, 2013, 47(7): 3498-3505. doi: 10.1021/es304248j
-
[9]
CHEN W, YANG H P, CHEN Y Q, XIA M W, CHEN X, CHEN H P. Transformation of nitrogen and evolution of N-containing species during algae pyrolysis[J]. Environ Sci Technol, 2017, 51(11): 6570-6579. doi: 10.1021/acs.est.7b00434
-
[10]
GROTKJÆR T, DAM-JOHANSEN K, JENSEN A D, GLARBORG P. An experimental study of biomass ignition[J]. Fuel, 2003, 82(7): 825-833. doi: 10.1016/S0016-2361(02)00369-1
-
[11]
MOMENI M, YIN C, KÆR S K, HVID S L. Comprehensive study of ignition and combustion of single wooden particles[J]. Energy Fuels, 2013, 27(2): 1061-1072. doi: 10.1021/ef302153f
-
[12]
吴文广, 罗永浩, 陈祎, 陈亮, 王芸. 两段式固定床反应器中焦油脱除的实验研究[J]. 燃料化学学报, 2012, 40(2): 177-183. http://kns.cnki.net/KCMS/detail/detail.aspx?filename=rlhx201202010&dbname=CJFD&dbcode=CJFQWU Wen-guang, LUO Yong-hao, CHEN Yi, SU Yi, CHEN Liang, WANG Yun. Experimental study on tar destruction in a two-stage fixed-bed reactor[J]. J Fuel Chem Technol, 2012, 40(2):177-183. http://kns.cnki.net/KCMS/detail/detail.aspx?filename=rlhx201202010&dbname=CJFD&dbcode=CJFQ
-
[13]
赵善辉, 罗永浩, 苏毅, 吴文广, 刘春元. 部分氧化对焦油模型化合物苯酚转化的机理[J]. 化工学报, 2013,64,(10): 3790-3796. ZHAO Shan-hui, LUO Yong-hao, SU Yi, WU Wen-guang, LIU Chun-yuan. Reaction mechanism for partial oxidation of biomass tar[J]. J Chem Ind Eng (China), 2013, 64(10): 3790-3796.
-
[14]
DEBONO O, VILLOT A. Nitrogen products and reaction pathway of nitrogen compounds during the pyrolysis of various organic wastes[J]. J Anal Appl Pyrolysis, 2015, 114: 222-234. doi: 10.1016/j.jaap.2015.06.002
-
[15]
ZHAN H, YIN X L, HUANG Y Q, YUAN H Y, WU C Z. NOx precursors evolving during rapid pyrolysis of lignocellulosic industrial biomass wastes[J]. Fuel, 2017, 207: 438-448. doi: 10.1016/j.fuel.2017.06.046
-
[16]
BECIDAN M. Experimental studies on municipal solid waste and biomass pyrolysis[D]. Trondheim:Norwegian University of Science and Technology, 2007. http://www.diva-portal.org/smash/record.jsf?pid=diva2:122892
-
[17]
RATCLIFF JR M A, MEDLEY E E, SIMMONDS P G. Pyrolysis of amino acids. Mechanistic considerations[J]. J Org Chem, 1974, 39(11): 1481-1490. doi: 10.1021/jo00924a007
-
[18]
LI J, WANG Z Y, YANG X, HU L, LIU Y W, WANG C X. Evaluate the pyrolysis pathway of glycine and glycylglycine by TG FT-IR[J]. J Anal Appl Pyrolysis, 2007, 80(1): 247-253. doi: 10.1016/j.jaap.2007.03.001
-
[19]
SAMUELSSON J I. Conversion of nitrogen in a fixed burning biofuel bed[D]. Go teborg:Chalmers University of Technology, 2006. https://core.ac.uk/display/70617058
-
[20]
VOORHEES K J, ZHANG W, HENDRICKER A D, MURUGAVERL B. An investigation of the pyrolysis of oligopeptides by Curie-point pyrolysis-tandem mass spectrometry[J]. J Anal Appl Pyrolysis, 1994, 30(1): 1-16. doi: 10.1016/0165-2370(94)00795-0
-
[21]
CHOI S S, KO J E. Analysis of cyclic pyrolysis products formed from amino acid monomer[J]. J Chromatogr A, 2011, 1218(46): 8443-8455. doi: 10.1016/j.chroma.2011.09.055
-
[22]
SIMMONDS P G, MEDLEY E E, RATCLIFF M A, SHULMAN G P. Thermal decomposition of aliphatic monoaminomonocarboxylic acids[J]. Anal Chem, 1972, 44(12): 2060-2066. doi: 10.1021/ac60320a040
-
[23]
SHARMA R K, CHAN W G, SEEMAN J I, HAJALIGOL M R. Formation of low molecular weight heterocycles and polycyclic aromatic compounds (PACs) in the pyrolysis of α-amino acids[J]. J Anal Appl Pyrolysis, 2003, 66(1): 97-121.
-
[1]
-
表 1 秸秆原料的工业分析及元素分析
Table 1. Proximate and ultimate analysis of straw sample
Proximate analysis wad/% Ultimate analysis wad/% M V A FC C H N S O 10.23 59.05 16.29 14.43 37.22 5.43 1.42 0.25 39.40 表 2 焦炭与焦油的产率
Table 2. Char and tar yields
φ(O2)/% 0* 0 0.5 1 5 Char w/% 35.20 35.05 34.5 33.64 28.17 Tar w/% 20.14 7.05 7.04 6.42 4.83 表 3 焦炭与焦油的元素分析
Table 3. Ultimate analysis of char and tar samples
φ(O2)/% 0* 0 0.5 1 5 tar char tar char tar char tar char tar char C 45.33 42.66 43.59 42.09 45.77 43.60 44.2 43.3 42.02 34.48 Ultimate H 7.98 2.10 8.49 2.37 8.16 2.19 8.23 2.11 8.34 1.55 analysis w/% S 0.42 0.37 0.46 0.36 0.51 0.40 0.37 0.36 0.38 0.39 N 1.49 1.67 1.42 1.68 1.79 1.66 1.40 1.65 0.88 1.31 表 4 三种工况下焦油中含氮化合物及其相对含量
Table 4. Nitrogen compounds and their relative concentrations from three working conditions
φ(O2)/% 0* 0 5.0 N-containing compounds relative content/% N-containing compounds relative content/% N-containing compounds relative content/% Amides methylurea 3.46 undec-10-ynoic acid (furan-2-ylmethyl)-amide 1.90 hydroxyproline anilide 4.28 N-(cyanomethyl)-foramide 2.26 2-propenamide 3.88 hydantoin 12.32 ethyl allophanate 4.74 carbamic acid, phenyl ester 2.60 2, 5-piperazine-dione 1.43 pyrazinamide 6.67 Amides 2-amino-oxazole 2.67 N-ethyl-2-propen-1-amine 4.28 aniline 6.42 1, 3-benzene-diamine 1.21 2-amino-4-methyl-5-hexynoic acid 1.80 2-methyl-2-propene-nitrile 3.46 cyclopropanecarbox-amine 3.78 6-amino-2-(4-aminophenyl) benzoxazole 1.44 3-amino-piperidin-2-one 4.06 2-amino-oxazole 1.17 N-benzyl-2-phenethylamine 4.06 Nitriles 3-amino-3-cyano-acrylic acid, methyl ester 1.01 2-pyrrodine-carbonitrile, 5-oxo- 3.80 3-dimethyl-amino-acrylonitrile 6.73 benzenepropane-nitrile, β-oxo- 4.91 3-amino-acrylonitrile 4.78 2-methyl-2-propenenitrile 1.80 cyanamide, 2-propenyl- 0.55 N-heterocyclic 3-methylpyridazine 5.12 1H-pyrazole, 1, 3-dimethyl- 0.12 1, 3-diazine 1.87 compounds 1, 3-diazine 4.26 3-methylpyridazine 4.77 H-pyrrole, 1-methyl- 6.90 1-methyl-Pyrrole 5.05 1, 3-diazine 1.99 pyridine 26.03 pyridine 3.17 pyridine 22.53 pyrrole 2.93 pyrrole 17.47 pyrrole 15.82 3-methyl-pyridine 2.70 4-pyridinol 6.78 4-methylpyridine 3.71 2-pyrimidin-amine 0.27 4-methylpyridine 4.97 2-methylpyrrolidine 2.08 piperazine 0.17 1, 5-dimethyl-pyzazole 4.01 2, 6-dimethyl-pyridine 2.07 4-ethenyl-pyrodine 0.76 5-methy-2-phenyl-indole 0.65 2-ethylpyridine 1.75 3, 5-dimethyl-pyridine 21.23 3, 6-Bis (N, N-dimethylamino)-9-methylcarbazole 1.77 4-pyridine-carboxyaldehyde 0.02 2-ethyl-acridine 0.98 2, 5-dimethylpyridine 2.01 2-ethenylpyridine 0.09 1H-indazole, 3-methyl- 0.58 Others methoxy-phenyl-oxime 3.95 2-nitrobenzaldoxime 1.78 2-propanone 8.14 propanal, 2-propenylhydrazone 1.33 methoxyphenyl-oxime 8.70 methylhydrazone -
扫一扫看文章
计量
- PDF下载量: 0
- 文章访问数: 0
- HTML全文浏览量: 0

下载:
下载: