Citation: Wenya DING, Fangfei XU, Jiayu GU, Xinran CHEN, Kai CHEN. Synthesis and crystal structure of three cucurbit[6]uril-cadmium supramolecular assemblies[J]. Chinese Journal of Inorganic Chemistry, ;2026, 42(4): 808-816. doi: 10.11862/CJIC.20260012 shu

Synthesis and crystal structure of three cucurbit[6]uril-cadmium supramolecular assemblies

  • Corresponding author: Kai CHEN, catqchen@163.com
  • Received Date: 13 January 2026
    Revised Date: 16 March 2026

Figures(3)

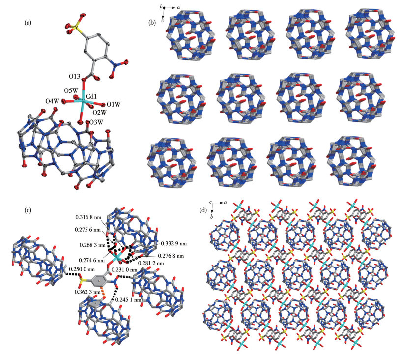
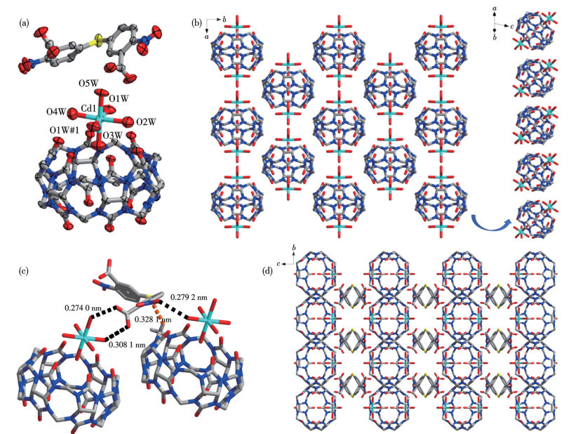
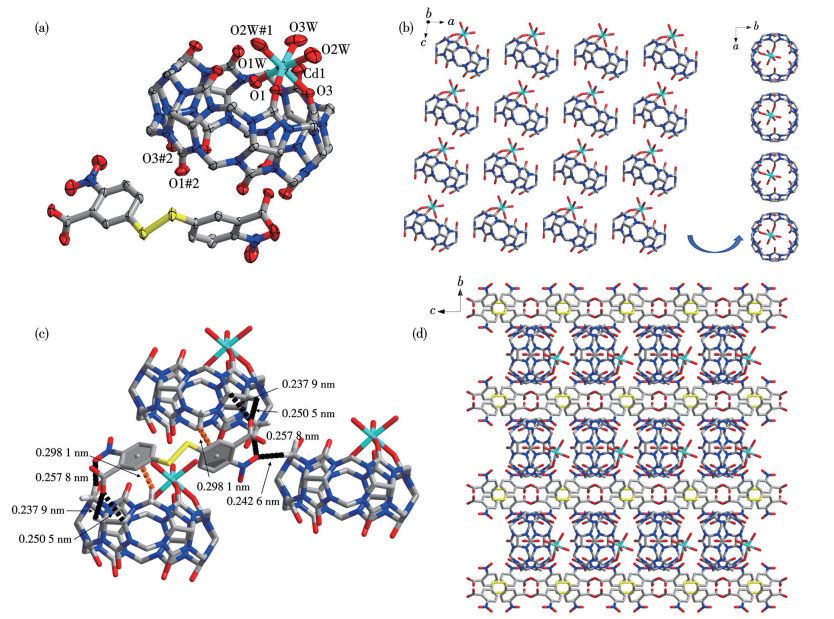
  • 5, 5′-dithiobis(2-nitrobenzoic acid) (H2DTNB) was employed as the second ligand to react with cucurbit[6]uril (Q[6]) and Cd(NO3)2, and it was deprotonated or transformed into HDTNB-, TNB2- and NSB2- (H2TNB=5, 5′-thiobis(2-nitrobenzoic acid), H2NSB=2-nitro-5-sulfobenzoic acid) under different conditions to afford three novel supramolecular assemblies with the formulas of [Cd(H2O)4(Q[6])](HDTNB)2·3H2O (1), [Cd(H2O)6]2(TNB)2·Q[6]·4H2O (2) and [Cd(H2O)5(NSB)]2·Q[6] (3). Singe-crystal diffraction (SC-XRD) analysis revealed that assembly 1 is constructed from 2D [Cd(H2O)4(Q[6])]2+ supramolecular layers and HDTNB- supra molecular layers, the structure of assembly 2 is comprised of the 2D {[Cd(H2O)6]2·Q[6]}4+ supramolecular layers and 1D TNB2- supramolecular chains, while assembly 3 is built from the 3D Q[6] frameworks with [Cd(H2O)5(NSB)] supramolecular chains filled in the pores. Meanwhile, the noncovalent interactions between the ligands HDTNB-/TNB2-/NSB2- and the outer-surface of Q[6] molecules contributed greatly to the formation of the supramolecular architecture of assemblies 1-3.
  • 加载中
    1. [1]

      LIU Z C, NALLURI S K M, STODDART J F. Surveying macrocyclic chemistry: From flexible crown ethers to rigid cyclophanes[J]. Chem. Soc. Rev., 2017, 46(9): 2459-2478  doi: 10.1039/C7CS00185A

    2. [2]

      XIA D Y, WANG P, JI X F, KHASHAB N M, SESSLER J L, HUANG F H. Functional supramolecular polymeric networks: The marriage of covalent polymers and macrocycle-based host-guest interactions[J]. Chem. Rev., 2020, 120(13): 6070-6123  doi: 10.1021/acs.chemrev.9b00839

    3. [3]

      LEE J W, SAMAL S, SELVAPALAM N, KIM H J, KIM K. Cucurbituril homologues and derivatives:   New opportunities in supramolecular chemistry[J]. Accounts Chem. Res., 2003, 36(8): 621-630  doi: 10.1021/ar020254k

    4. [4]

      LAGONA J, MUKHOPADHYAY P, CHAKRABARTI S, ISAACS L. The cucurbit[n]uril family[J]. Angew. Chem. ‒Int. Edit., 2005, 44(31): 4844-4870  doi: 10.1002/anie.200460675

    5. [5]

      ISAACS L. Cucurbit[n]urils: From mechanism to structure and function[J]. Chem. Commun., 2009, (6): 619-629  doi: 10.1039/B814897J

    6. [6]

      MASSON E, LING X X, JOSEPH R, KYEREMEH-MENSAH L, LU X Y. Cucurbituril chemistry: A tale of supramolecular success[J]. RSC Adv., 2012, 2(4): 1213-1247  doi: 10.1039/C1RA00768H

    7. [7]

      FREEMAN W A, MOCK W L, SHIH N Y. Cucurbituril[J]. J. Am. Chem. Soc., 1981, 103(24): 7367-7369  doi: 10.1021/ja00414a070

    8. [8]

      MACARTNEY D H. Encapsulation of drug molecules by cucurbiturils: Effects on their chemical properties in aqueous solution[J]. Isr. J. Chem., 2011, 51(5/6): 600-615

    9. [9]

      LIU Y L, YANG H, WANG Z Q, ZHANG X. Cucurbit[8]uril-based supramolecular polymers[J]. Chem. ‒Asian J., 2013, 8(8): 1626-1632  doi: 10.1002/asia.201300151

    10. [10]

      KAIFER A E. Toward reversible control of cucurbit[n]uril complexes[J]. Accounts Chem. Res., 2014, 47(7): 2160-2167  doi: 10.1021/ar5001204

    11. [11]

      PAZOS E, NOVO P, PEINADOR C, KAIFER A E, GARCÍA M D. Cucurbit[8]uril (CB[8])-based supramolecular switches[J]. Angew. Chem. ‒Int. Edit., 2019, 58(2): 403-416  doi: 10.1002/anie.201806575

    12. [12]

      AMBROSE B, KATHIRESAN M. Viologen-cucurbit[n]uril supramolecular interactions: A comprehensive overview[J]. Chem. Commun., 2025, 61(67): 12467-12490  doi: 10.1039/D5CC03120F

    13. [13]

      ASSAFA K I, NAU W M. Cucurbiturils: From synthesis to high-affinity binding and catalysis[J]. Chem. Soc. Rev., 2015, 44(2): 394-418  doi: 10.1039/C4CS00273C

    14. [14]

      TANG B H, ZHAO J T, XU J F, ZHANG X. Cucurbit[n]urils for supramolecular catalysis[J]. Chem. ‒Eur. J., 2020, 26(67): 15446-15460  doi: 10.1002/chem.202003897

    15. [15]

      BARROW S J, KASERA S, ROWLAND M J, DEL BARRIO J, SCHERMAN O A. Cucurbituril-based molecular recognition[J]. Chem. Rev., 2015, 115(22): 12320-12406  doi: 10.1021/acs.chemrev.5b00341

    16. [16]

      URBACH A R, RAMALINGAM V. Molecular recognition of amino acids, peptides, and proteins by cucurbit[n]uril receptors[J]. Isr. J. Chem., 2011, 51(5/6): 664-678

    17. [17]

      NI X L, XIAO X, CONG H, LIANG L L, CHENG K, CHENG X J, JI N N, ZHU Q J, XUE S F, TAO Z. Cucurbit[n]uril-based coordination chemistry: From simple coordination complexes to novel poly-dimensional coordination polymers[J]. Chem. Soc. Rev., 2013, 42(24): 9480-9508  doi: 10.1039/c3cs60261c

    18. [18]

      LÜ J, LIN J X, CAO M N, CAO R. Cucurbituril: A promising organic building block for the design of coordination compounds and beyond[J]. Coord. Chem. Rev., 2013, 257(7/8): 1334-1356

    19. [19]

      NI X L, XUE S F, TAO Z, ZHU Q J, LINDOY L F, WEI G. Advances in the lanthanide metallosupramolecular chemistry of the cucurbit[n]urils[J]. Coord. Chem. Rev., 2015, 287: 89-113  doi: 10.1016/j.ccr.2014.12.018

    20. [20]

      CONG H, ZHU Q J, XUE S F, TAO Z, WEI G. Direct coordination of metal ions to cucurbit[n]urils[J]. Chin. Sci. Bull., 2010, 55(32): 3633-3640  doi: 10.1007/s11434-010-4146-8

    21. [21]

      SOKOLOV M N, DYBTSEV D N, FEDIN V P. Supramolecular compounds of cucurbituril with molybdenum and tungsten chalcogenide cluster aqua complexes[J]. Russ. Chem. Bull., 2003, 52(5): 1041-1060  doi: 10.1023/A:1024771902420

    22. [22]

      GAO R H, HUANG Y, CHEN K, TAO Z. Cucurbit[n]uril/metal ion complex-based frameworks and their potential applications[J]. Coord. Chem. Rev., 2021, 437: 213741  doi: 10.1016/j.ccr.2020.213741

    23. [23]

      ZHANG S, GRIMM L, MISKOLCZY Z, BICZÓK L, BIEDERMANN F, NAU W M. Binding affinities of cucurbit[n]urils with cations[J]. Chem. Commun., 2019, 55(94): 14131-14134  doi: 10.1039/C9CC07687E

    24. [24]

      NI X L, XIAO X, CONG H, ZHU Q J, XUE S F, TAO Z. Self-assemblies based on the "outer-surface interactions" of cucurbit[n]urils: New opportunities for supramolecular architectures and materials[J]. Accounts Chem. Res., 2014, 47(4): 1386-1395  doi: 10.1021/ar5000133

    25. [25]

      ZHU Q J, XUE S F, TAO Z. Supramolecular coordination polymers based on the outer-surface interaction of cucurbit[n]urils[J]. Prog. Chem., 2015, 27(6): 625-632

    26. [26]

      CHEN K, HUA Z Y, ZHAO J L, REDSHAW C, TAO Z. Construction of cucurbit[n]uril-based supramolecular frameworks via host-guest inclusion and functional properties thereof[J]. Inorg. Chem. Front., 2022, 9(12): 2753-2809  doi: 10.1039/D2QI00513A

    27. [27]

      HUANG Y, GAO R H, LIU M, CHEN L X, NI X L, XIAO X, CONG H, ZHU Q J, CHEN K, TAO Z. Cucurbit[n]uril-based supramolecular frameworks assembled through outer-surface interactions[J]. Angew. Chem. ‒Int. Edit., 2021, 133(28): 15294-15319  doi: 10.1002/ange.202002666

    28. [28]

      ZHANG X D, CHEN K, SUN W Y. Potential applications of cucurbit[n]urils and their derivatives in the capture of hazardous chemicals[J]. Chem. ‒Eur. J., 2021, 27(16): 5107-5119  doi: 10.1002/chem.202004711

    29. [29]

      TIAN F Y, CHENG R X, ZHAO H J, LI C J, CHEN K. Enhanced ternary composite system potassium-cucurbit[6]uril-ruthenium metal-support interactions in a heterogeneous system to facilitate photocatalytic nitrogen activation[J]. Small Methods, 2025, 36(7/8): 224-234

    30. [30]

      THUÉRY P. Coordination polymers and frameworks in uranyl ion complexes with sulfonates and cucurbit[6]uril[J]. Cryst. Growth Des., 2011, 11(2): 5702-5711

    31. [31]

      CHEN K, KANG Y S, ZHAO Y, YANG J M, LU Y, SUN W Y. Cucurbit[6]uril-based supramolecular assemblies: Possible application in radioactive cesium cation capture[J]. J. Am. Chem. Soc., 2014, 136(48): 16744-16747  doi: 10.1021/ja5098836

    32. [32]

      ZHANG X D, ZHAO Y, CHEN K, WANG P, KANG Y S, WU H, SUN W Y. Cucurbit[6]uril-based multifunctional supramolecular assemblies: Synthesis, removal of Ba􀃭 and fluorescence sensing of Fe􀃮[J]. Dalton Trans., 2018, 47(11): 3958-3964  doi: 10.1039/C8DT00182K

    33. [33]

      KOVALENKO E A, NAUMOV D Y, FEDIN V P. Coordination networks and supramolecular assemblies based on barium cation complexes with cucurbit[6]uril[J]. Polyhedron, 2018, 144: 158-165  doi: 10.1016/j.poly.2018.01.021

    34. [34]

      SUN J P, GUO P P, LIU M, LI H. A novel cucurbit[6]uril-based supramolecular coordination assembly as a multi-responsive luminescent sensor for Fe3+, Cr2O72- and isoquinoline antibiotics in aqueous medium[J]. J. Mater. Chem. C, 2019, 7(29): 8992-8999  doi: 10.1039/C9TC02666E

    35. [35]

      AN S W, MEI L, HU K Q, ZHANG Z H, XIA C Q, CHAI Z F, SHI W Q. Noncomplexed cucurbituril-mediated structural evolution of layered uranyl terephthalate compounds[J]. Inorg. Chem., 2020, 59(1): 943-955  doi: 10.1021/acs.inorgchem.9b03215

    36. [36]

      ZHANG X D, FANG F, HUANG M Y, CHEN K. Construction of cucurbit[6]uril-based coordination polymers incorporating multiaromatic ligands with amide linkages and their iodine adsorption properties[J]. Cryst. Growth Des., 2024, 24(11): 4322-4332  doi: 10.1021/acs.cgd.3c01389

    37. [37]

      CAO J, GU J Y, DING W Y, CHEN X R, HUA Z Y, CHEN K. Carboxylate ligand-directed synthesis of cucurbit[5]uril-based coordination polymers for the detection of norfloxacin[J]. Dalton Trans., 2025, 54(40): 15197-15205  doi: 10.1039/D5DT01769F

    38. [38]

      KIM J, JUNG I S, KIM S Y, LEE E, KANG J K, SAKAMOTO S, YAMAGUCHI K, KIM K. New cucurbituril homologues:   Syntheses, isolation, characterization, and X-ray crystal structures of cucurbit[n]uril (n=5, 7, and 8)[J]. J. Am. Chem. Soc., 2000, 122(3): 540-541  doi: 10.1021/ja993376p

    39. [39]

      SAINT. Program for data extraction and reduction[CP]. Bruker AXS, Inc, Madison, WI, 2001.

    40. [40]

      SHELDRICK G M. SADABS, Program for empirical adsorption correction of area detector data[CP]. University of Göttingen, Germany, 2003.

    41. [41]

      SHELDRICK G M. SHELXT-2018, Program for the crystal structure solution[CP]. University of Göttingen, Germany, 2018.

    42. [42]

      SHELDRICK G M. SHELXL-2018, Program for the crystal structure refinement[CP]. University of Göttingen, Germany, 2018.

  • 加载中
    1. [1]

      Lu LIUHuijie WANGHaitong WANGYing LI . Crystal structure of a two-dimensional Cd(Ⅱ) complex and its fluorescence recognition of p-nitrophenol, tetracycline, 2, 6-dichloro-4-nitroaniline. Chinese Journal of Inorganic Chemistry, 2024, 40(6): 1180-1188. doi: 10.11862/CJIC.20230489

    2. [2]

      Yingyue ZHANGLiuqing KANGYating YANGXiaofen GUANWenmin WANG . Crystal structure and antibacterial activity of two Gd2 complexes based on polydentate Schiff-base ligands. Chinese Journal of Inorganic Chemistry, 2025, 41(9): 1867-1877. doi: 10.11862/CJIC.20250100

    3. [3]

      Jiarong ZHUXiaohua ZHANGXinting XIONGXuliang NIEXiuying SONGMiaomiao ZHANGDayong PENGXiuguang YI . Crystal structure, Hirshfeld surface analysis, and antifungal activity of five complexes based on 2,5-bis(carboxymethoxy)terephthalic acid. Chinese Journal of Inorganic Chemistry, 2025, 41(11): 2358-2370. doi: 10.11862/CJIC.20250150

    4. [4]

      Xiumei LILinlin LIBo LIUYaru PAN . Syntheses, crystal structures, and characterizations of two cadmium(Ⅱ) coordination polymers. Chinese Journal of Inorganic Chemistry, 2025, 41(3): 613-623. doi: 10.11862/CJIC.20240273

    5. [5]

      Yan XUSuzhi LIYan LILushun FENGWentao SUNXinxing LI . Structure variation of cadmium naphthalene-diphosphonates with the changing rigidity of N-donor auxiliary ligands. Chinese Journal of Inorganic Chemistry, 2025, 41(2): 395-406. doi: 10.11862/CJIC.20240226

    6. [6]

      Chao LIUJiang WUZhaolei JIN . Synthesis, crystal structures, and antibacterial activities of two zinc(Ⅱ) complexes bearing 5-phenyl-1H-pyrazole group. Chinese Journal of Inorganic Chemistry, 2024, 40(10): 1986-1994. doi: 10.11862/CJIC.20240153

    7. [7]

      Kaimin WANGXiong GUNa DENGHongmei YUYanqin YEYulu MA . Synthesis, structure, fluorescence properties, and Hirshfeld surface analysis of three Zn(Ⅱ)/Cu(Ⅱ) complexes based on 5-(dimethylamino) isophthalic acid. Chinese Journal of Inorganic Chemistry, 2024, 40(7): 1397-1408. doi: 10.11862/CJIC.20240009

    8. [8]

      Lifang HEYaoze LUOQiying SHIJianxin TANGFuxing ZHANGXiaoming ZHU . Synthesis, structure, and properties of hydrated tricyclohexyltin theophylline-7-acetic acid complex. Chinese Journal of Inorganic Chemistry, 2026, 42(3): 632-640. doi: 10.11862/CJIC.20250244

    9. [9]

      Huan ZHANGJijiang WANGGuang FANLong TANGErlin YUEChao BAIXiao WANGYuqi ZHANG . A highly stable cadmium(Ⅱ) metal-organic framework for detecting tetracycline and p-nitrophenol. Chinese Journal of Inorganic Chemistry, 2024, 40(3): 646-654. doi: 10.11862/CJIC.20230291

    10. [10]

      Zihe SONGJinjin ZHAONing RENJianjun ZHANG . Crystal structure, thermal analysis, and luminescence properties of six heterocyclic lanthanide complexes. Chinese Journal of Inorganic Chemistry, 2026, 42(1): 181-192. doi: 10.11862/CJIC.20250126

    11. [11]

      Yao HUANGYingshu WUZhichun BAOYue HUANGShangfeng TANGRuixue LIUYancheng LIUHong LIANG . Copper complexes of anthrahydrazone bearing pyridyl side chain: Synthesis, crystal structure, anticancer activity, and DNA binding. Chinese Journal of Inorganic Chemistry, 2025, 41(1): 213-224. doi: 10.11862/CJIC.20240359

    12. [12]

      Jia JIZhaoyang GUOWenni LEIJiawei ZHENGHaorong QINJiahong YANYinling HOUXiaoyan XINWenmin WANG . Two dinuclear Gd(Ⅲ)-based complexes constructed by a multidentate diacylhydrazone ligand: Crystal structure, magnetocaloric effect, and biological activity. Chinese Journal of Inorganic Chemistry, 2025, 41(4): 761-772. doi: 10.11862/CJIC.20240344

    13. [13]

      Jing FENGRenshu WANGHu WANGHailong LIU . Co(Ⅱ) and Ni(Ⅱ) complexes of 3,3-diphenylpropionic acid and 2,2′-dipyridylamine: Structures and biological activities. Chinese Journal of Inorganic Chemistry, 2026, 42(3): 617-631. doi: 10.11862/CJIC.20250265

    14. [14]

      Ruiyan CHENYanping HEJian ZHANG . Synthesis and third-order nonlinear optical property of Ti4L6 cage-based metal-organic framework. Chinese Journal of Inorganic Chemistry, 2025, 41(10): 2149-2156. doi: 10.11862/CJIC.20250177

    15. [15]

      Meirong HANXiaoyang WEISisi FENGYuting BAI . A zinc-based metal-organic framework for fluorescence detection of trace Cu2+. Chinese Journal of Inorganic Chemistry, 2024, 40(8): 1603-1614. doi: 10.11862/CJIC.20240150

    16. [16]

      Xuetian WANGJijiang WANGLong TANGErlin YUEXiao WANGYuqi ZHANG . A three-dimensional zinc(Ⅱ) metal-organic framework based on nitrogen-containing ligands for the detection of 2,4-dinitrophenylhydrazine and tetracycline. Chinese Journal of Inorganic Chemistry, 2026, 42(4): 861-871. doi: 10.11862/CJIC.20250294

    17. [17]

      Lulu DONGJie LIUHua YANGYupei FUHongli LIUXiaoli CHENHuali CUILin LIUJijiang WANG . Synthesis, crystal structure, and fluorescence properties of Cd-based complex with pcu topology. Chinese Journal of Inorganic Chemistry, 2025, 41(4): 809-820. doi: 10.11862/CJIC.20240171

    18. [18]

      Fan LIUXiaoli CHENJing RENYantao LEIHuali CUIHua YANGJijiang WANG . Highly sensitive and multi-response Zn-MOF fluorescence sensor: Design, synthesis, and detection of 4-nitrophenol, Cu2+, and pyrimethanil. Chinese Journal of Inorganic Chemistry, 2026, 42(4): 872-882. doi: 10.11862/CJIC.20250287

    19. [19]

      Xiumei LIYanju HUANGBo LIUYaru PAN . Syntheses, crystal structures, and quantum chemistry calculation of two Ni(Ⅱ) coordination polymers. Chinese Journal of Inorganic Chemistry, 2024, 40(10): 2031-2039. doi: 10.11862/CJIC.20240109

    20. [20]

      Yukun CHENKexin FENGBolun ZHANGWentao SONGJianjun ZHANG . Syntheses, crystal structures, and diametrically opposed mechanically-stimulated luminescence response of two Mg(Ⅱ) metal-organic frameworks. Chinese Journal of Inorganic Chemistry, 2025, 41(6): 1227-1234. doi: 10.11862/CJIC.20240448

Metrics
  • PDF Downloads(0)
  • Abstract views(3)
  • HTML views(2)

通讯作者: 陈斌, bchen63@163.com
  • 1. 

    沈阳化工大学材料科学与工程学院 沈阳 110142

  1. 本站搜索
  2. 百度学术搜索
  3. 万方数据库搜索
  4. CNKI搜索
Address:Zhongguancun North First Street 2,100190 Beijing, PR China Tel: +86-010-82449177-888
Powered By info@rhhz.net

/

DownLoad:  Full-Size Img  PowerPoint
Return