Citation: Ruilong WANG, Jinlong MAO, Guoxia JIN, Jianping MA, Haiying WANG, Jie QIN. 2-Cyanobenzyl-substituted [FeFe]-hydrogenase compounds: Preparation, characterization, and photocatalytic H2-production performance[J]. Chinese Journal of Inorganic Chemistry, ;2026, 42(4): 817-825. doi: 10.11862/CJIC.20250376 shu

2-Cyanobenzyl-substituted [FeFe]-hydrogenase compounds: Preparation, characterization, and photocatalytic H2-production performance

Figures(7)

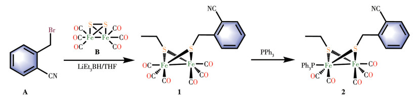
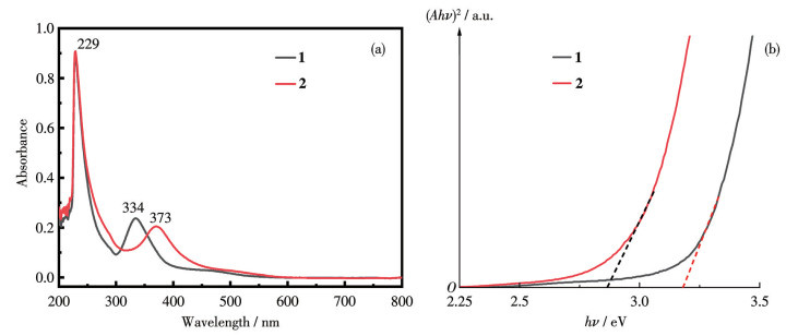
  • Two [FeFe]-hydrogenase compounds with 2-cyanobenzyl groups, {Fe2[(SCH2CH3)(SR)](CO)6} (1 or 1′, which are the crystalline states from petroleum ether and dichloromethane solution, respectively) and {Fe2[(SCH2CH3)(SR)](CO)5(PPh3)} (2) (R=2-cyanobenzyl), were synthesized and characterized by infrared spectroscopy, UV-Vis spectroscopy, single-crystal diffraction, powder X-ray diffraction, etc. Their performances as photocatalysts for H2 production through water splitting were evaluated. The results showed that 316.8 μmol of H2 was produced on compound 1 after 3 h of illumination, with a catalytic efficiency of 25.1 μmol·mg-1·h-1 and a turnover number (TON) of 36.8. The replacement of carbonyl with PPh3 could significantly improve the catalytic performance of the complex, and 705.0 μmol of H2 was produced on 2 after 3 h of illumination, with a catalytic efficiency of 37.9 μmol·mg-1·h-1 and a TON of 81.8.
  • 加载中
    1. [1]

      ALI S, ASHRAF J, GHUFRAN M, PENG X B. The role of market forces and regulatory factors on green innovation in China: A panel data analysis[J]. Environ. Dev. Sustain., 2025, DOI:10.1007/s10668-025-06475-y  doi: 10.1007/s10668-025-06475-y

    2. [2]

      MIDILLI A, AY M, DINCER I, ROSEN M A. On hydrogen and hydrogen energy strategies Ⅰ: Current status and needs[J]. Renewable Sustainable Energy Rev., 2005, 9(3): 255-271  doi: 10.1016/j.rser.2004.05.003

    3. [3]

      NOCERA D G. Solar fuels and solar chemicals industry[J]. Accounts Chem. Res., 2017, 50(3): 616-619  doi: 10.1021/acs.accounts.6b00615

    4. [4]

      GRAY H B. Powering the planet with solar fuel[J]. Abstracts of papers of the American Chemical Society, 2013, 246: 9-motion

    5. [5]

      MAEDA K, TERAMURA K, LU D L, TAKATA T, SAITO N, INOUE Y, DOMEN K. Photocatalyst releasing hydrogen from water‒Enhancing catalytic performance holds promise for hydrogen production by water splitting in sunlight[J]. Nature, 2006, 440(7082): 295  doi: 10.1038/440295a

    6. [6]

      ZOU Z G, YE J H, SAYAMA K, ARAKAWA H. Direct splitting of water under visible light irradiation with an oxide semiconductor photocatalyst[J]. Nature, 2001, 414(6864): 625-627  doi: 10.1038/414625a

    7. [7]

      SIDABRAS J W, STRIPP S T. A personal account on 25 years of scientific literature on [FeFe]-hydrogenase[J]. J. Biol. Inorg. Chem., 2023, 28(4): 355-378  doi: 10.1007/s00775-023-01992-5

    8. [8]

      CASTNER A T, JOHNSON B A, COHEN S M, OTT S. Mimicking the electron transport chain and active site of [FeFe] hydrogenases in one metal-organic framework: Factors that influence charge transport[J]. J. Am. Chem. Soc., 2021, 143(21): 7991-7999  doi: 10.1021/jacs.1c01361

    9. [9]

      HESSLER T, HARRISON S T L, BANFIELD J F, HUDDY R J. Harnessing fermentation may enhance the performance of biological sulfate-reducing bioreactors[J]. Environ. Sci. Technol., 2024, 58(6): 2830-2846  doi: 10.1021/acs.est.3c04187

    10. [10]

      YADAV S, HAAS R, BOYDAS E B, REOMELT M, HAPPE T, APFEL U P, STRIPP S T. Oxygen sensitivity of [FeFe]-hydrogenase: A comparative study of active site mimics inside vs. outside the enzyme[J]. Phys. Chem. Chem. Phys., 2024, 26(28): 19105-19116  doi: 10.1039/D3CP06048A

    11. [11]

      REALINI F, ELLEOUET C, PÉTILLOM F Y, SCHOLLHAMMER P. Tri- and tetra-substituted derivatives of [Fe2(CO)6(μ-dithiolate)] as novel dinuclear platforms related to the H-cluster of [FeFe]H2ases[J]. Eur. J. Inorg. Chem., 2022(19): e202200133

    12. [12]

      AGUADO S, GÓMEZ-GALLEGO M, GARCÍA-ÁLVAREZ P, CABEZA J A, SIERRAM A. Transition metal-NHC complexes with embedded [FeFe]-hydrogenase mimics[J]. Organometallics, 2025, 44(14): 1576-1585  doi: 10.1021/acs.organomet.5c00197

    13. [13]

      SANO Y, ONODA A, HAYASHI T. A hydrogenase model system based on the sequence of cytochrome c: Photochemical hydrogen evolution in aqueous media[J]. Chem. Commun., 2011, 47(29): 8229-8231  doi: 10.1039/c1cc11157d

    14. [14]

      PULLEN S, FEI H H, ORTHABER A, COHEN S M, OTT S. Enhanced photochemical hydrogen production by a molecular diiron catalyst incorporated into a metal-organic framework[J]. J. Am. Chem. Soc., 2013, 135(45): 16997-17003  doi: 10.1021/ja407176p

    15. [15]

      VÖLLER J S. Air-stable [FeFe] hydrogenases[J]. Nat. Catal., 2018, 1(8): 564  doi: 10.1038/s41929-018-0137-y

    16. [16]

      KARAYILAN M, BREZINSKI W P, CLARY K E, LICHTENBERGER D L, GLASS R S, PYUN J. Catalytic metallopolymers from [2Fe-2S] clusters: Artificial metalloenzymes for hydrogen production[J]. Angew. Chem. ‒Int. Edit., 2019, 58(23): 7537-7550  doi: 10.1002/anie.201813776

    17. [17]

      GAO S, LIU Y, SHAO Y D, JIANG D Y, DUAN Q. Iron carbonyl compounds with aromatic dithiolate bridges as organometallic mimics of [FeFe] hydrogenises[J]. Coord. Chem. Rev., 2020, 402: 213081  doi: 10.1016/j.ccr.2019.213081

    18. [18]

      JIN G X, WANG F B, ZHAO H R, WANG X H, LI Y L, SUN Y, CHENG J Y, SHENG X H, WANG H Y, MA J P, LIU Q K. [Fe2S2]-hydrogenase-mimic-containing supramolecule and coordination polymers: Syntheses, H2 evolution properties, and their structure-function relationship study[J]. Cryst. Growth Des., 2024, 24(7): 2667-2671  doi: 10.1021/acs.cgd.4c00144

    19. [19]

      MERINERO A D, COLLADO A, CASARRUBIOS L, GÓMEZ- GALLEGO M, RAMÍREZ DE ARELLANO C, ARELLANO C, CABALLERO A, ZAPATA F, SIERRA M A. Triazole-containing [FeFe] hydrogenase mimics: Synthesis and electrocatalytic behavior[J]. Inorg. Chem., 2019, 58(23): 16267-16278  doi: 10.1021/acs.inorgchem.9b02813

    20. [20]

      LU L X, LIU S X, XU J, JIN Z Q, CHENG J J, ZHAO J Y, WANG F B, WANG H Y. [FeFe]-hydrogenase-containing compound and its photocatalytic H2-production performance[J]. Chinese J. Inorg. Chem., 2025, 41(12): 2584-2590

    21. [21]

      JIN G X, HAN C C, ZHAO H R, WU X W, LI Y L, WANG H Y, MA J P. Small-molecules-induced metal-organic-framework-based photosensitizer for greatly enhancing H2 production efficiency[J]. ACS Mater. Lett., 2024, 6(2): 375-383  doi: 10.1021/acsmaterialslett.3c01286

    22. [22]

      CHEN X H, YANG F, HAN C C, HAN L C, WANG F B, JIN G X, WANG H Y, MA J P. [Fe2S2-Agx]-hydrogenase active-site-containing coordination polymers and their photocatalytic H2 evolution reaction properties[J]. Inorg. Chem., 2022, 61(34): 13261-13265  doi: 10.1021/acs.inorgchem.2c01818

    23. [23]

      COSTENTIN C, DROUET S, ROBERT M, SAVÉANT J M. Turnover numbers, turnover frequencies, and overpotential in molecular catalysis of electrochemical reactions. Cyclic voltammetry and preparative-scale electrolysis[J]. J. Am. Chem. Soc., 2012, 134(27): 11235-11242  doi: 10.1021/ja303560c

  • 加载中
    1. [1]

      Lixing LUShaoxian LIUJian XUZiqi JINJiongjia CHENGJiyang ZHAOFubo WANGHaiying WANG . [FeFe]-hydrogenase-containing compound and its photocatalytic H2-production performance. Chinese Journal of Inorganic Chemistry, 2025, 41(12): 2584-2590. doi: 10.11862/CJIC.20250200

    2. [2]

      Mingze ANBingbing ZHANGZhao YANGHao PUWeijie CHENBin XUESheng WANGXiaoyan DINGLulu SHI . Construction of an S-scheme g-C3N4/TiO2 heterostructure for tetracycline degradation and hydrogen production. Chinese Journal of Inorganic Chemistry, 2026, 42(4): 843-860. doi: 10.11862/CJIC.20250301

    3. [3]

      Hao WANGKun TANGJiangyang SHAOKezhi WANGYuwu ZHONG . Electro-copolymerized film of ruthenium catalyst and redox mediator for electrocatalytic water oxidation. Chinese Journal of Inorganic Chemistry, 2024, 40(11): 2193-2202. doi: 10.11862/CJIC.20240176

    4. [4]

      Jun LIHuipeng LIHua ZHAOQinlong LIU . Preparation and photocatalytic performance of AgNi bimetallic modified polyhedral bismuth vanadate. Chinese Journal of Inorganic Chemistry, 2024, 40(3): 601-612. doi: 10.11862/CJIC.20230401

    5. [5]

      Wenda WANGJinku MAYuzhu WEIShuaishuai MA . Waste biomass-derived carbon modified porous graphite carbon nitride heterojunction for efficient photodegradation of oxytetracycline in seawater. Chinese Journal of Inorganic Chemistry, 2024, 40(4): 809-822. doi: 10.11862/CJIC.20230353

    6. [6]

      Huirong LIUHao XUDunru ZHUJunyong ZHANGChunhua GONGJingli XIE . Syntheses, structures, photochromic and photocatalytic properties of two viologen-polyoxometalate hybrid materials. Chinese Journal of Inorganic Chemistry, 2024, 40(7): 1368-1376. doi: 10.11862/CJIC.20240066

    7. [7]

      Fei ZHOUXiaolin JIA . Co3O4/TiO2 composite photocatalyst: Preparation and synergistic degradation performance of toluene. Chinese Journal of Inorganic Chemistry, 2024, 40(11): 2232-2240. doi: 10.11862/CJIC.20240236

    8. [8]

      Min ZHUYuxin WANGXiao LIYaxu XUJunwen ZHUZihao WANGYu ZHUXiaochen HUANGDan XUMonsur Showkot Hossain Abul . Construction of AgVO3/ZIF-8 composites for enhanced degradation of tetracycline. Chinese Journal of Inorganic Chemistry, 2025, 41(5): 994-1006. doi: 10.11862/CJIC.20240392

    9. [9]

      Jin ZHANGYuting WANGBin YUYuxin ZHONGYufeng ZHANG . Corn straw-derived carbon/BiOBr composite: Synthesis and photocatalytic degradation performance for rhodamine B. Chinese Journal of Inorganic Chemistry, 2025, 41(7): 1397-1408. doi: 10.11862/CJIC.20250028

    10. [10]

      Xiaofan ZHANGYu DUANMeijie SHINan LURenhong LIXiaoqing YAN . Z-scheme Co3O4/BiOBr heterojunction for efficient photoreduction CO2 reduction. Chinese Journal of Inorganic Chemistry, 2025, 41(9): 1878-1888. doi: 10.11862/CJIC.20250079

    11. [11]

      Qi HUANGYouyi WANGZhujian MAOZhonghui YEWeihan CHENJui-yeh RAUJian HUANG . Enhanced photocatalytic tetracycline degradation via 2D CdS/Ti3AlC2 MAX heterostructure. Chinese Journal of Inorganic Chemistry, 2025, 41(11): 2385-2398. doi: 10.11862/CJIC.20250159

    12. [12]

      Ruolin CHENGYue WANGFei YANGHuagen LIANGShijian LU . Application of metal-organic frameworks (MOFs) in photocatalytic CO2 cycloaddition reaction: A mini review. Chinese Journal of Inorganic Chemistry, 2025, 41(12): 2429-2440. doi: 10.11862/CJIC.20250242

    13. [13]

      Ruru MAYingjie SONGYahui LIErmin ZHOUDeqiang LIXiaojuan HUANGJun LI . Synergistic nitrogen doping and carbon support in TiO2 for enhanced photocatalytic degradation of methylene blue and oxytetracycline. Chinese Journal of Inorganic Chemistry, 2026, 42(3): 641-656. doi: 10.11862/CJIC.20250221

    14. [14]

      Siyi ZouAli HammadJiahao HuangYuzhuo JiangBin TianFandi NingWei LiQinglin WenXingyu ZhuXiaochun Zhou . Gel/nonwoven composite membrane with dual water transport pathways for controlling hydrogen production by regulating water vapor absorption and diffusion. Chinese Chemical Letters, 2026, 37(4): 111619-. doi: 10.1016/j.cclet.2025.111619

    15. [15]

      Chunru Liu Ligang Feng . Advances in anode catalysts of methanol-assisted water-splitting reactions for hydrogen generation. Chinese Journal of Structural Chemistry, 2023, 42(10): 100136-100136. doi: 10.1016/j.cjsc.2023.100136

    16. [16]

      Yifan ZHAOQiyun MAOMeijing GUOGuoying ZHANGTongliang HU . Z-scheme bismuth-based multi-site heterojunction: Synthesis and hydrogen production from photocatalytic hydrogen production. Chinese Journal of Inorganic Chemistry, 2025, 41(7): 1318-1330. doi: 10.11862/CJIC.20250001

    17. [17]

      Deqi FanYicheng TangYemei LiaoYan MiYi LuXiaofei Yang . Two birds with one stone: Functionalized wood composites for efficient photocatalytic hydrogen production and solar water evaporation. Chinese Chemical Letters, 2024, 35(9): 109441-. doi: 10.1016/j.cclet.2023.109441

    18. [18]

      Miaosen YangJunyang DingZhiwei WangJingwen ZhangZimo PengXijun Liu . NiMo-based alloy and its sulfides for energy-saving hydrogen production via sulfion oxidation assisted alkaline seawater splitting. Chinese Chemical Letters, 2025, 36(9): 110861-. doi: 10.1016/j.cclet.2025.110861

    19. [19]

      Hao GUOTong WEIQingqing SHENAnqi HONGZeting DENGZheng FANGJichao SHIRenhong LI . Electrocatalytic decoupling of urea solution for hydrogen production by nickel foam-supported Co9S8/Ni3S2 heterojunction. Chinese Journal of Inorganic Chemistry, 2024, 40(11): 2141-2154. doi: 10.11862/CJIC.20240085

    20. [20]

      Kai PENGXinyi ZHAOZixi CHENXuhai ZHANGYuqiao ZENGJianqing JIANG . Progress in the application of high-entropy alloys and high-entropy ceramics in water electrolysis. Chinese Journal of Inorganic Chemistry, 2025, 41(7): 1257-1275. doi: 10.11862/CJIC.20240454

Metrics
  • PDF Downloads(0)
  • Abstract views(3)
  • HTML views(2)

通讯作者: 陈斌, bchen63@163.com
  • 1. 

    沈阳化工大学材料科学与工程学院 沈阳 110142

  1. 本站搜索
  2. 百度学术搜索
  3. 万方数据库搜索
  4. CNKI搜索
Address:Zhongguancun North First Street 2,100190 Beijing, PR China Tel: +86-010-82449177-888
Powered By info@rhhz.net

/

DownLoad:  Full-Size Img  PowerPoint
Return