Citation: Fangxiang SUN, Qing ZHANG, Yifan ZHANG, Haoyi SUN, Akim V. Shmal′ko, Sergey A. Anufriev, Igor B. Sivaev, Deshuang TU, Hong YAN. Pd-catalyzed B—H bond activation and annulation of nido-carborane with terminal olefins: Facile construction of 2D-3D fused polycyclic compounds[J]. Chinese Journal of Inorganic Chemistry, ;2026, 42(3): 467-478. doi: 10.11862/CJIC.20250347 shu

Pd-catalyzed B—H bond activation and annulation of nido-carborane with terminal olefins: Facile construction of 2D-3D fused polycyclic compounds

Figures(5)

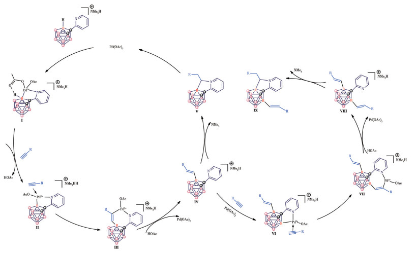
  • To address the longstanding challenge in traditional carborane methodology of rapidly and efficiently constructing carboranyl-based polycyclic frameworks, Pd-catalyzed one-pot reactions between pyridyl-substituted nido-carboranes and alkynes directly afford two distinct types of 2D-3D fused carboranyl polycyclic compounds: 3a-3f, 4a-4d. The structures of this series of compounds were characterized by nuclear magnetic resonance spectroscopy, single-crystal X-ray diffraction, and high-resolution mass spectrometry, and a plausible reaction mechanism was proposed. Crystal structures reveal that the multiple rings in such 2D-3D fused carboranyl polycyclic compounds exhibit a certain degree of coplanarity. Furthermore, these compounds exhibited properties distinct from those of conventional 2D polycyclic systems.
  • 加载中
    1. [1]

      ITO H, OZAKI K, ITAMI K. Annulative π-extension (APEX): Rapid access to fused arenes, heteroarenes, and nanographenes[J]. Angew. Chem. ‒Int. Edit., 2017,56(37):11144-11164. doi: 10.1002/anie.201701058

    2. [2]

      VON GROTTHUSS E, JOHN A, KAESE T, WAGNER M. Doping polycyclic aromatics with boron for superior performance in materials science and catalysis[J]. Asian J. Org. Chem., 2017,7(1):37-53.

    3. [3]

      WANG Z S, JIANG L F, JI J W, ZHOU F L, LAN J B, YOU J S. Construction of cationic azahelicenes: Regioselective three-component annulation using in situ activation strategy[J]. Angew. Chem. ‒Int. Edit., 2020,59(52):23532-23536. doi: 10.1002/anie.202010051

    4. [4]

      BORISSOV A, MAURYA Y K, MOSHNIAHA L, WONG WS, ŻYŁA-KARWOWSKA M, STĘPIEŃ M. Recent advances in heterocyclic nanographenes and other polycyclic heteroaromatic compounds[J]. Chem. Rev., 2021,122(1):565-788.

    5. [5]

      ALZAHRANI A Z. First-principles study on the structural and electronic properties of graphene upon benzene and naphthalene adsorption[J]. Appl. Surf. Sci., 2010,257(3):807-810. doi: 10.1016/j.apsusc.2010.07.069

    6. [6]

      CHEN F, TAO N J. Electron transport in single molecules: From benzene to graphene[J]. Accounts Chem. Res., 2009,42(3):429-438. doi: 10.1021/ar800199a

    7. [7]

      DOMENICO J, SCHNEIDER A M, SOHLBERG K. From benzene to graphene: Exploring the electronic structure of single-layer and bilayer graphene using polycyclic aromatic hydrocarbons[J]. J. Chem. Educ., 2019,96(10):2225-2237. doi: 10.1021/acs.jchemed.9b00331

    8. [8]

      CHI X, ZHANG Z X, LI M Q, JIAO Y, LI X M, MENG F C, XUE B, WU D Q, ZHANG F. Vinylene-linking of polycyclic aromatic hydrocarbons to π-extended two-dimensional covalent organic framework photocatalyst for H2O2 synthesis[J]. Angew. Chem. ‒Int. Edit., 2024,64(7)e202418895.

    9. [9]

      GRIMES R N. Carboranes[M]. [S. l. ]: Academic Press, 2016: 7-17

    10. [10]

      SOLA M. Aromaticity rules[J]. Nat. Chem., 2022,14(6):585-590. doi: 10.1038/s41557-022-00961-w

    11. [11]

      POATER J, VIÑAS C, OLID D, SOLÀ M, TEIXIDOR F. Aromaticity and extrusion of benzenoids linked to [o-COSAN]-: Clar has the answer[J]. Angew. Chem. ‒Int. Edit., 2022,61(22)e202200672. doi: 10.1002/anie.202200672

    12. [12]

      GAO Y H, SZATHMÁRI B, BUZSÁKI D, KELEMEN Z. Reassessing the possibility of π-σ-π full electron delocalization through 3D aromatic carboranes[J]. Chem. Eur. J., 2025,31(41)e202501806. doi: 10.1002/chem.202501806

    13. [13]

      MUKHERJEE S, THILAGAR P. Boron clusters in luminescent materials[J]. Chem. Commun., 2016,52(6):1070-1093. doi: 10.1039/C5CC08213G

    14. [14]

      OCHI J, TANAKA K, CHUJO Y. Recent progress in the development of solid-state luminescent o-carboranes with stimuli responsivity[J]. Angew. Chem. ‒Int. Edit., 2020,59(25):9841-9855. doi: 10.1002/anie.201916666

    15. [15]

      FISHER S P, TOMICH A W, LOVERA S O, KLEINSASSER J F, GUO J, ASAY M J, NELSON H M, LAVALLO V. Nonclassical applications of closo-carborane anions: From main group chemistry and catalysis to energy storage[J]. Chem. Rev., 2019,119(14):8262-8290. doi: 10.1021/acs.chemrev.8b00551

    16. [16]

      WANG Q Y, WANG J, WANG S, WANG Z Y, CAO M, HE C L, YANG J Q, ZANG S Q, MAK T C W. o-Carborane-based and atomically precise metal clusters as hypergolic materials[J]. J. Am. Chem. Soc., 2020,142(28):12010-12014. doi: 10.1021/jacs.0c04638

    17. [17]

      WANG Z L, GOU X Y, SHI Q Y, LIU K, CHANG X M, WANG G, XU W J, LIN S M, LIU T H, FANG Y. Through-space charge transfer: A new way to develop a high-performance fluorescence sensing film towards opto-electronically inert alkanes[J]. Angew. Chem. ‒Int. Edit., 2022,61(35)e202207619. doi: 10.1002/anie.202207619

    18. [18]

      CHEN M, SUN Z F, WANG L Y, ZONG J B, WEI G F, LU C S, TANG S, TU D S, YAN H. Direct B—H bond activation polymerization of boron clusters[J]. J. Am. Chem. Soc., 2025,147(47):43946-43956. doi: 10.1021/jacs.5c16451

    19. [19]

      ZHOU Y T, CHENG K, LIU B, CAO Y C, FAN J X, LIU Z G, ZHAO Y D. Recent progress of nano-drugs in neutron capture therapy[J]. Theranostics, 2024,14(8):3193-3212. doi: 10.7150/thno.95034

    20. [20]

      MA W L, WANG Y Y, XUE Y L, WANG M M, LU C S, GUO W H, LIU Y H, SHU D Y, SHAO G Q, XU Q F, TU D S, YAN H. Molecular engineering of AIE-active boron clustoluminogens for enhanced boron neutron capture therapy[J]. Chem. Sci., 2024,15(11):4019-4030. doi: 10.1039/D3SC06222H

    21. [21]

      MA W L, ZHANG J Y, ZONG J B, REN H Y, TU D S, XU Q F, ZHONG TANG B, YAN H. Luminescence modulation in boron-cluster-based luminogens via boron isotope effects[J]. Angew. Chem. ‒Int. Edit., 2024,63(52)e202410430. doi: 10.1002/anie.202410430

    22. [22]

      KREBS J, HÄFNER A, FUCHS S, GUO X, RAUCH F, EICHHORN A, KRUMMENACHER I, FRIEDRICH A, JI L, FINZE M, LIN Z, BRAUNSCHWEIG H, MARDER T B. Backbone-controlled LUMO energy induces intramolecular C—H activation in ortho-bis-9-borafluorene-substituted phenyl and o-carboranyl compounds leading to novel 9, 10-diboraanthracene derivatives[J]. Chem. Sci., 2022,13(47):14165-14178. doi: 10.1039/D2SC06057D

    23. [23]

      JI L, RIESE S, SCHMIEDEL A, HOLZAPFEL M, FEST M, NITSCH J, CURCHOD B F E, FRIEDRICH A, WU L, AL MAMARI H H, HAMMER S, PFLAUM J, FOX M A, TOZER D J, FINZE M, LAMBERT C, MARDER T B. Thermodynamic equilibrium between locally excited and charge-transfer states through thermally activated charge transfer in 1-(pyren-2′-yl)-o-carborane[J]. Chem. Sci., 2022,13(18):5205-5219. doi: 10.1039/D1SC06867A

    24. [24]

      ZHANG C H, LIU X C, WANG J Y, YE Q. A three-dimensional inorganic analogue of 9, 10-diazido-9, 10-diboraanthracene: A Lewis superacidic azido borane with reactivity and stability[J]. Angew. Chem. ‒Int. Edit., 2022,61(36)e202205506. doi: 10.1002/anie.202205506

    25. [25]

      YRUEGAS S, AXTELL J C, KIRLIKOVALI K O, SPOKOYNY A M, MARTIN C D. Synthesis of 9-borafluorene analogues featuring a three‑dimensional 1, 1′‑bis(o‑carborane) backbone[J]. Chem. Commun., 2019,55(20):2892-2895. doi: 10.1039/C8CC10087J

    26. [26]

      AXTELL J C, KIRLIKOVALI K O, DJUROVICH P I, JUNG D, NGUYEN V T, MUNEKIYO B, ROYAPPA A T, RHEINGOLD A L, SPOKOYNY A M. Blue phosphorescent zwitterionic iridium􀃮 complexes featuring weakly coordinating nido-carborane-based ligands[J]. J. Am. Chem. Soc., 2016,138(48):15758-15765. doi: 10.1021/jacs.6b10232

    27. [27]

      PARK K, BAE G, MOON J, CHOE J, SONG K H, LEE S. Synthesis of symmetrical and unsymmetrical diarylalkynes from propiolic acid using palladium-catalyzed decarboxylative coupling[J]. Org. Chem., 2010,75(18):6244-6251. doi: 10.1021/jo101398a

    28. [28]

      DOUCET H, HIERSO J C. Palladium-based catalytic systems for the synthesis of conjugated enynes by Sonogashira reactions and related alkynylations[J]. Angew. Chem. ‒Int. Edit., 2007,46(6):834-871. doi: 10.1002/anie.200602761

    29. [29]

      DOLOMANOV O V, BOURHIS L J, GILDEA R J, HOWARD J A K, PUSCHMANN H. OLEX2: A complete structure solution, refinement and analysis program[J]. J. Appl. Crystallogr., 2009,42(2):339-341. doi: 10.1107/S0021889808042726

    30. [30]

      DOLOMANOV O V, BOURHIS L J, GILDEA R J, HOWARD J A K, PUSCHMANN H. Tables of bond lengths determined by X-ray and neutron diffraction. Part 1. Bond lengths in organic compounds[J]. J. Chem. Soc. Perkin Trans. 2, 1987,12:S1-S19.

    31. [31]

      SUN F X, TAN S M, CAO H J, XU J K, BREGADZE V I, TU D S, LU C S, YAN H. Palladium-catalyzed hydroboration of alkynes with carboranes: Facile construction of a library of boron cluster-based AIE-active luminogens[J]. Angew. Chem. ‒Int. Edit., 2022,61(33)e202207125. doi: 10.1002/anie.202207125

    32. [32]

      SUN F X, TAN S M, CAO H J, LU C S, TU D S, POATER J, SOLÀ M, YAN H. Facile construction of new hybrid conjugation via boron cage extension[J]. J. Am. Chem. Soc., 2023,145(6):3577-3587. doi: 10.1021/jacs.2c12526

    33. [33]

      AL MASUM M, MEGURO M, YAMAMOTO Y. The two component palladium catalyst system for intermolecular hydroamination of allenes[J]. Tetrahedron Lett., 1997,38(34):6071-6074. doi: 10.1016/S0040-4039(97)01370-1

    34. [34]

      WARRATZ S, KORNHAASS C, CAJARAVILLE A, NIEPÖTTER B, STALKE D, ACKERMANN L. Ruthenium(Ⅱ)-catalyzed C—H activation/alkyne annulation by weak coordination with O2 as the sole oxidant[J]. Angew. Chem. ‒Int. Edit., 2015,54(18):5513-5517. doi: 10.1002/anie.201500600

    35. [35]

      MATHER B D, VISWANATHAN K, MILLER K M, LONG T E. Michael addition reactions in macromolecular design for emerging technologies[J]. Prog. Polym. Sci., 2006,31(5):487-531. doi: 10.1016/j.progpolymsci.2006.03.001

    36. [36]

      TEJEDOR D, MÉNDEZ-ABT G, COTOS L, GARCÍA-TELLADO F. Propargyl Claisen rearrangement: Allene synthesis and beyond[J]. Chem. Soc. Rev., 2013,42(2):458-471. doi: 10.1039/C2CS35311C

    37. [37]

      MURAI M, NISHIMURA K, TAKAI K. Palladium-catalyzed double-bond migration of unsaturated hydrocarbons accelerated by tantalum chloride[J]. Chem. Commun., 2019,55(19):2769-2772. doi: 10.1039/C9CC00223E

  • 加载中
    1. [1]

      Rongjian ChenJiahui LiuCaixia LinYuanming LiYanhou GengYaofeng Yuan . Synthesis and properties of tetraphenylethene cationic cyclophanes based on o-carborane skeleton. Chinese Chemical Letters, 2024, 35(12): 110074-. doi: 10.1016/j.cclet.2024.110074

    2. [2]

      Junhua LiYu FuYian Shi . A rapid access to fused polycyclic indolo[2,1-a]isoquinolins via Pd-catalyzed sequential Heck/C-H activation/amination reaction with diaziridinone. Chinese Chemical Letters, 2026, 37(3): 111376-. doi: 10.1016/j.cclet.2025.111376

    3. [3]

      Yunkang TongHaiqiao HuangHaolan LiMingle LiWen SunJianjun DuJiangli FanLei WangBin LiuXiaoqiang ChenXiaojun Peng . Cooperative bond scission by HRP/H2O2 for targeted prodrug activation. Chinese Chemical Letters, 2024, 35(12): 109663-. doi: 10.1016/j.cclet.2024.109663

    4. [4]

      Xiangyang JiYishuang ChenPeng ZhangShaojia SongJian LiuWeiyu Song . Boosting the first C–H bond activation of propane on rod-like V/CeO2 catalyst by photo-assisted thermal catalysis. Chinese Chemical Letters, 2025, 36(5): 110719-. doi: 10.1016/j.cclet.2024.110719

    5. [5]

      Shuai TangZian WangMengyi ZhuXinyun ZhaoXiaoyun HuHua Zhang . Synthesis of organoboron compounds via heterogeneous C–H and C–X borylation. Chinese Chemical Letters, 2025, 36(5): 110503-. doi: 10.1016/j.cclet.2024.110503

    6. [6]

      Liping GUO . Synthesis and crystal structure characterization of yttrium imido complex: The reactivity of 2-substituted-1-amino-o-carborane with yttrium dialkyl complex. Chinese Journal of Inorganic Chemistry, 2025, 41(7): 1409-1415. doi: 10.11862/CJIC.20250065

    7. [7]

      Cong-Bin JiDing-Xiong XieMei ChenYe-Ying LanBao-Hua ZhangJi-Ying YangZheng-Hui KangShu-Jie ChenYu-Wei ZhangYun-Lin Liu . Green synthesis of 2-trifluoromethylquinoline skeletons via organocatalytic N-[(α-trifluoromethyl)vinyl]isatins CN bond activation. Chinese Chemical Letters, 2025, 36(7): 110598-. doi: 10.1016/j.cclet.2024.110598

    8. [8]

      Tian-Zhang WangLe-Yu TangYu-Qiu GuanLingfei HuGang LuYu-Feng Liang . Nickel-catalyzed reductive alkynylation of ketoimines via unstrained C–C bond activation. Chinese Chemical Letters, 2025, 36(11): 111050-. doi: 10.1016/j.cclet.2025.111050

    9. [9]

      Jingyuan YangXinyu TianLiuzhong YuanYu LiuYue WangChuandong Dou . Enhancing stability of diradical polycyclic hydrocarbons via P=O-attaching. Chinese Chemical Letters, 2024, 35(8): 109745-. doi: 10.1016/j.cclet.2024.109745

    10. [10]

      Guoju GuoXufeng LiJie MaYongjia ShiJian LvDaoshan Yang . Photocatalyst/metal-free sequential C–N/C–S bond formation: Synthesis of S-arylisothioureas via photoinduced EDA complex activation. Chinese Chemical Letters, 2024, 35(11): 110024-. doi: 10.1016/j.cclet.2024.110024

    11. [11]

      Yi LuoLin Dong . Multicomponent remote C(sp2)-H bond addition by Ru catalysis: An efficient access to the alkylarylation of 2H-imidazoles. Chinese Chemical Letters, 2024, 35(10): 109648-. doi: 10.1016/j.cclet.2024.109648

    12. [12]

      Xin LiJia-Min LuBo LiChen ZhaoBei-Bei YangLi Li . Chiroptical sensing for remote chiral amines via a C–H activation reaction. Chinese Chemical Letters, 2025, 36(5): 110310-. doi: 10.1016/j.cclet.2024.110310

    13. [13]

      Mei PengWei-Min He . Photochemical synthesis and group transfer reactions of azoxy compounds. Chinese Chemical Letters, 2024, 35(8): 109899-. doi: 10.1016/j.cclet.2024.109899

    14. [14]

      Wei SunAnjing LiaoLi LeiXu TangYa WangJian Wu . Research progress on piperidine-containing compounds as agrochemicals. Chinese Chemical Letters, 2025, 36(1): 109855-. doi: 10.1016/j.cclet.2024.109855

    15. [15]

      Xinlong HanHuiying ZengChao-Jun Li . Trifluoromethylative homo-coupling of carbonyl compounds. Chinese Chemical Letters, 2025, 36(1): 109817-. doi: 10.1016/j.cclet.2024.109817

    16. [16]

      Zhi-Lin WuRong-Nan YiChunlin Zhuang . Electrochemical synthesis strategy for the development of antitumor selenoheterocyclic compounds. Chinese Chemical Letters, 2025, 36(10): 111408-. doi: 10.1016/j.cclet.2025.111408

    17. [17]

      Zhengyi ShiJie YinYang XiaoZhangrong HouFei SongJianping WangQingyi TongChangxing QiYonghui Zhang . Unprecedented sesquiterpene-polycyclic polyprenylated acylphloroglucinol adduct against acute myeloid leukemia via inhibiting mitochondrial complex Ⅴ. Chinese Chemical Letters, 2024, 35(10): 109458-. doi: 10.1016/j.cclet.2023.109458

    18. [18]

      Chunmao YuanYanrong ZengLei HuangYu MouJun JinPing YiYanmei LiXiaojiang Hao . Hymoins A–C, three unusual polycyclic polyprenylated acylphloroglucinols with lipid-lowering activity from Hypericum monogynum. Chinese Chemical Letters, 2025, 36(3): 109859-. doi: 10.1016/j.cclet.2024.109859

    19. [19]

      Zhenguo ZhangLanyang LiXinlong ZongYongheng LvShuanglei LiuLiang JiXuefei ZhaoZhenhua JiaTeck-Peng Loh . "Water" accelerated B(C6F5)3-catalyzed Mukaiyama-aldol reaction: Outer-sphere activation model. Chinese Chemical Letters, 2025, 36(7): 110504-. doi: 10.1016/j.cclet.2024.110504

    20. [20]

      Peng WangJianjun WangNi SongXin ZhouMing Li . Radical dehydroxymethylative fluorination of aliphatic primary alcohols and diverse functionalization of α-fluoroimides via BF3·OEt2-catalyzed C‒F bond activation. Chinese Chemical Letters, 2025, 36(1): 109748-. doi: 10.1016/j.cclet.2024.109748

Metrics
  • PDF Downloads(0)
  • Abstract views(4)
  • HTML views(0)

通讯作者: 陈斌, bchen63@163.com
  • 1. 

    沈阳化工大学材料科学与工程学院 沈阳 110142

  1. 本站搜索
  2. 百度学术搜索
  3. 万方数据库搜索
  4. CNKI搜索
Address:Zhongguancun North First Street 2,100190 Beijing, PR China Tel: +86-010-82449177-888
Powered By info@rhhz.net

/

DownLoad:  Full-Size Img  PowerPoint
Return