Citation: Mingze AN, Bingbing ZHANG, Zhao YANG, Hao PU, Weijie CHEN, Bin XUE, Sheng WANG, Xiaoyan DING, Lulu SHI. Construction of an S-scheme g-C3N4/TiO2 heterostructure for tetracycline degradation and hydrogen production[J]. Chinese Journal of Inorganic Chemistry, ;2026, 42(4): 843-860. doi: 10.11862/CJIC.20250301 shu

Construction of an S-scheme g-C3N4/TiO2 heterostructure for tetracycline degradation and hydrogen production

Figures(10)

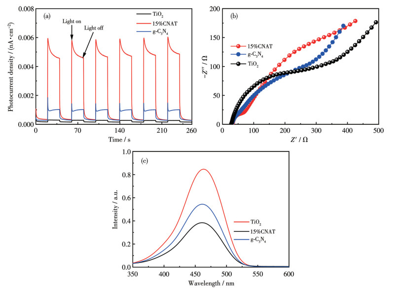
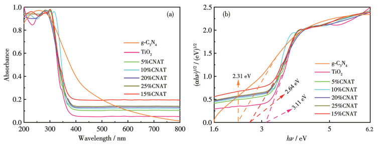
  • To overcome the limitations of traditional photocatalysts, such as inefficient separation of charge carriers and poor visible-light absorption, S-scheme g-C3N4/TiO2 heterojunction photocatalysts were synthesized via a combined method of thermal polymerization, hydrothermal synthesis, and calcination. The crystal structures, morphological features, and optical properties of the composites were systematically characterized, and their photocatalytic performance was evaluated through tetracycline (TC) degradation and hydrogen evolution experiments. Trapping experiments and electron paramagnetic resonance (EPR) measurements were conducted to elucidate the reaction mechanisms. The results demonstrate that the S-scheme heterojunction effectively extends the visible-light absorption range and facilitates the efficient separation of photogenerated electron-hole pairs. Under optimal conditions, the composite achieved a TC degradation rate of 94.5% and a hydrogen evolution rate of 329.1 μmol·h-1·g-1 after 8 h of irradiation, both values being significantly higher than those of pristine g-C3N4 or TiO2. Moreover, the S-scheme g-C3N4/TiO2 heterojunction retained high photocatalytic activity over five consecutive cycles, confirming its excellent stability. Mechanistic investigations revealed that the S-scheme heterojunction maintained strong redox capacities, with superoxide radicals (·O2-), hydroxyl radicals (·OH), electrons (e-), and holes (h+) serving as the primary active species responsible for TC degradation and H2 production.
  • 加载中
    1. [1]

      ZHAO M, LI W J, YANG M W, ZHAO Z H, YE R G, MAO X W, PADGETT P, CHEN P. Long-range enhancement of micropollutant adsorption on metal-promoted photocatalysts[J]. Nat. Catal., 2024, 7(8): 912-920  doi: 10.1038/s41929-024-01199-0

    2. [2]

      KLEIN E Y, IMPALLI I, POLEON S, DENOEL P, CIPRIANO M, VAN BOECKEL T P, PECETTA S, BLOOM D E, NANDI A. Global trends in antibiotic consumption during 2016—2023 and future projections through 2030[J]. Proc. Nat. Acad. Sci., 2024, 121(49): 1-12

    3. [3]

      HISATOMI T, YAMADA T, NISHIYAMA H, TAKATA T, DOMEN K. Materials and systems for large-scale photocatalytic water splitting[J]. Nat. Rev. Mater., 2025, 10(10): 769-782  doi: 10.1038/s41578-025-00823-0

    4. [4]

      XU Z S, ZHANG H B, ZHOU J Y, HUANG T, SUN J, CHANG C, CHEN Z, LIU K, TONG Z F. Sunlight-driven peroxydisulfate activation by floating Ca/Fe-TiO2@polystyrene spheres for efficient moxifloxacin degradation in circulated water: Critical roles of Ca/Fe bimetallic ions crosslinking on the stability of catalyst structure and electron transfer of system[J]. Chem. Eng. J., 2025, 513: 162750  doi: 10.1016/j.cej.2025.162750

    5. [5]

      WANG X S, YUAN Z Y. Insights into semiconductor heterojunctions for enhanced photocatalytic performance and applications[J]. Coordin. Chem. Rev., 2026, 548(Part 1): 217184

    6. [6]

      YANG P H, YANG J Q, ZEN X Y, GONG Y Y, ZHONG J B. Construction of S-scheme Sb2O3/g-C3N4 heterojunctions for photocatalytic CO2 and Cr(Ⅵ) reduction[J]. J. Colloid Interface Sci., 2025, 700(Part 3): 138648

    7. [7]

      SHAWKY A, MOHAMED R M. S-scheme heterojunctions: Emerging designed photocatalysts toward green energy and environmental remediation redox reactions[J]. J. Environ. Chem. Eng., 2022, 10(5): 108249  doi: 10.1016/j.jece.2022.108249

    8. [8]

      SONG C H, ZHANG Y T, ZHANG Z F, WANG H T, ZOU J. Synergistic carbonyl/vacancy engineering of aspartic acid-modified g-C3N4 nanorods for exceptional photocatalytic H2 production[J]. Chem. Eng. J., 2025, 525: 170465  doi: 10.1016/j.cej.2025.170465

    9. [9]

      GU S M, LI Y F, LIU Z P. Optimal interface structure in anatase-rutile mixed TiO2 for enhanced charge separation and prolonged carrier lifetime[J]. J. Chem. Phys., 2025, 163(21): 214701  doi: 10.1063/5.0299972

    10. [10]

      YANG Y Q, MA G S, AN Z J, WANG W, HU X L, WANG Y, DU Z L, GONG X Z, TAN H Y, GUO F X, TANG J G. Preparation of recyclable g-C3N4/TiO2 heterojunction/alginate hydrogelmicrobeads and investigation of their adsorption-photocatalytic properties[J]. J. Hazard. Mater. Adv., 2025, 18: 100650

    11. [11]

      QU W B, LOUANGSOUPHOM B, YE X L, LIU H M, WANG X. Rare earth/N co-dopants embedded g-C3N4/TiO2-macroporous resin composites for efficient adsorption-photocatalytic removal of microcystin-LR[J]. J. Environ. Chem. Eng., 2025, 13(5): 118632  doi: 10.1016/j.jece.2025.118632

    12. [12]

      HU C, HAO Y K, CHANG Y T, KAO L H, CHUANG K S, HUANG J H, WIBOWO A. Type-Ⅱ heterojunction of g-C3N4/TiO2 hollow spheres for photocatalytic H2 production and degradation of organic contaminants in water[J]. J. Alloy. Compd., 2025, 1032: 181104

    13. [13]

      GAN W, CHEN R X, ZHANG L, GUO J, ZHANG M, LU Y Q, SUN Z Q. Construction of S-scheme cyano-modified g-C3N4/TiO2 film with boosted charge transfer and highly hydrophilic surface for enhanced photocatalytic degradation of norfloxacin[J]. J. Mater. Sci. Technol., 2025, 206: 74-87  doi: 10.1016/j.jmst.2024.03.039

    14. [14]

      YANG Y Y, LIU X F, ZHOU Q, GAO T Y, WU X H, WANG G H. Dual roles of MHCNF in microwave-antenna induced synthesis and efficient photogenerated carriers transfer of g-C3N4/TiO2 heterojunction photocatalyst[J]. Appl. Surf. Sci., 2025, 712: 164186  doi: 10.1016/j.apsusc.2025.164186

    15. [15]

      LIU S R, YE Q J, LI Q, MA Z Z, YANG R, LI D, JIANG D L. Enhancing interfacial charge transfer efficiency via π-π interaction in PTA/VC-CN S-scheme heterojunction for efficient photocatalytic CO2 conversion[J]. Chem. Eng. J., 2025, 519: 164987  doi: 10.1016/j.cej.2025.164987

    16. [16]

      GUO Z X, QIN H Y, SHAN P N, XIONG B, WANG L J, SHI W L, SUN Y, GUO F. Photo-activated piezoelectric-catalyzed hydrogen peroxide production in pure water by carbon-modified graphitic carbon nitride[J]. Chem. Eng. J., 2025, 520: 165829  doi: 10.1016/j.cej.2025.165829

    17. [17]

      AI L S, ZHAO Z B, SONG X D, TANG Y C, FENG K, WANG X Z, ZHANG B L, BI H H, QIU J S. Curved-slit effect induced nucleation for g-C3N4 nanorings with double concaves and enhanced photocatalysis[J]. Adv. Funct. Mater., 2025, 35(37): 2506395  doi: 10.1002/adfm.202506395

    18. [18]

      ZOU Y D, YANG B B, LIU Y, REN Y, MA J H, ZHOU X R, CHENG X W, DENG Y H. Controllable interface-induced co-assembly toward highly ordered mesoporous Pt@TiO2/g-C3N4 heterojunctions with enhanced photocatalytic performance[J]. Adv. Funct. Mater., 2018, 50: 1806214

    19. [19]

      ZHOU Y M, YANG W L, FENG L J, HONG J, ABBAS M, KAWI S. Sunflower-disc-inspired vertical growth of 2D ZnIn2S4 on ultra-thin TiO2: Constructing a 3D porous photocatalytic glass film for ultra-efficient organic pollutant degradation[J]. Appl. Catal. B‒Environ., 2025, 363: 124782  doi: 10.1016/j.apcatb.2024.124782

    20. [20]

      XIN S S, MA X M, LU J R, ZHANG G S, HUO S Y, GAO M C, XU P, LIU W J, FU W X. Enhanced visible light photoelectrocatalytic degradation of o-chloronitrobenzene through surface plasmonic Au nanoparticles and g-C3N4 co-modified TiO2 nanotube arrays photoanode[J]. Appl. Catal. B‒Environ., 2023, 323: 122174  doi: 10.1016/j.apcatb.2022.122174

    21. [21]

      YOOM M, PARK Y, SIM H, KWON H, LEE Y, JANG H, CHOI S, SON J. 2D vacancy confinement in anatase TiO2 for enhanced photocatalytic activities[J]. Adv. Mater., 2025, 37(15): 2413062  doi: 10.1002/adma.202413062

    22. [22]

      YANG D X, XIA Y W, XIAO T, XU Z P, LEI Y F, JIAO Y, ZHU X D, FENG W. Constructing Ag-TiO2-g-C3N4 S-scheme heterojunctions for photocatalytic degradation of malachite green[J]. Opt. Mater., 2025, 159: 116652  doi: 10.1016/j.optmat.2025.116652

    23. [23]

      ABDALLAH S S, MARIDEVARU M C, MARZOUQI F, SELVARJ R. Green synthesis of TiO2@g-C3N4 nanocomposites for the photocatalytic degradation of pesticides and toxic organics present in water and wastewater[J]. J. Photochem. Photobiol. A‒Chem., 2025, 459: 116015  doi: 10.1016/j.jphotochem.2024.116015

    24. [24]

      SANTOS G, TIAN L, GONCALVES R, GARCIA H, ROSSI L. Boosting CO2 photoreduction efficiency of carbon nitride via S-scheme g-C3N4/Fe2TiO5 heterojunction[J]. Adv. Funct. Mater., 2025, 35(29): 2422055  doi: 10.1002/adfm.202422055

    25. [25]

      WU Q Q, LV D D, HU T Y, LI L, ZHANG W J, WANG H X, GAO Q Y, ZHAO Z N. Enhanced photocatalytic performance of gully-like AgI/Cu-TiO2 composites with synergistic effects of phase junction and S-scheme heterojunction[J]. J. Phys. Chem. Solids, 2026, 208(Part 2): 113197

    26. [26]

      ERDEM N G, CAGLAR B, LNAB E, TUNA Ö, ERTIS İ F, SIMSEK E B. Incorporation of CuWO4 with hollow tubular g-C3N4: Harnessing the potential in photocatalytic degradation, hydrogen production, and supercapacitor applications[J]. Renew. Energy, 2026, 256(Part D): 124235

    27. [27]

      HAZARAIMI M H, GOH P S, WANG L Y, LAU W J, SUBRAMANIAM M, NAIDUD M, ISMAIL A F, HASHIM N, KERISNAN N D, YAHAYA N M, MAMAT R R. Multifunctional roles of g-C3N4 in synthesizing N-TiO2/g-C3N4 heterojunction photocatalyst for photodegradation of bisphenol A[J]. Arab. J. Sci. Eng., 2025, 50(6): 1-15

    28. [28]

      ATACAN K, GUY N, SEMERCI A B. Designing green synthesis of silver nanoparticles from Citrus reticulata onto g-C3N4/TiO2 for antibacterial and photocatalytic activities[J]. Biocatal. Agric. Biotechnol., 2025, 64: 103524  doi: 10.1016/j.bcab.2025.103524

    29. [29]

      WANG M M, LI Q Y, LIU J G, GAO X, WEI Q, CHEN W J. Facile synthesis of novel 2D mesoporous g-C3N4/TiO2 heterojunction composites with high photocatalytic performance[J]. Ceram. Int., 2025, 51(20): 30948-30958  doi: 10.1016/j.ceramint.2025.04.287

    30. [30]

      HAN Y, LI Y J, LI T Y, ZHANG Q R, JIAO T F. Electrically enhanced adsorption and photocatalytic properties of g-C3N4/TiO2 heterostructure for removal of tetracycline in water: A study by molecular dynamics simulation and experiment[J]. J. Mol. Liq., 2024, 415(Part B): 126412

    31. [31]

      XUE X L, WANG C Y, ZHU X, YE D D, YANG Y, WANG H, CHEN R, LIAO Q. Visible-light responsive photocatalytic fuel cell with gas-diffusion g-C3N4/TiO2 heterojunction photoanode for simultaneously degrading VOCs and generating electricity[J]. J. Environ. Chem. Eng., 2025, 5: 114087

    32. [32]

      MUHAMMAD T. Well-designed V2AlC MAX supported g-C3N4/TiO2 Z-scheme heterojunction for photocatalytic CO2 reduction through bi-reforming to produce CO and CH4[J]. Energy, 2024, 310: 133231  doi: 10.1016/j.energy.2024.133231

    33. [33]

      XU Y F, LI Y, WEI Y J, LIANG H O, XU T, SUN Y H, BAI J. Facile synthesis of Pd loaded g-C3N4/TiO2 heterojunction catalyst with enhanced photothermal catalytic performance in Suzuki coupling under moderate condition[J]. Colloid. Surface A, 2024, 690: 133751  doi: 10.1016/j.colsurfa.2024.133751

    34. [34]

      LIANG S R, AN M Z, XIA S N, ZHANG B B, XUE B, XU G M. Enhanced photocatalytic degradation of methyl orange by TiO2/biochar composites under simulated sunlight irradiation[J]. Opt. Mater., 2023, 142: 114105  doi: 10.1016/j.optmat.2023.114105

    35. [35]

      JIANG X, JIANG H, TANG Y M, ZHANG H Z, YANG L B, WANG X W, ZHAO B. g-C3N4/TiO2-X heterojunction with high-efficiency carrier separation and multiple charge transfer paths for ultrasensitive SERS sensing[J]. Chin. Chem. Lett., 2024, 35(10): 109415  doi: 10.1016/j.cclet.2023.109415

    36. [36]

      MAITLO H A, YOUNIS S A, KIM K. Understanding oxidation potential and degradation mechanism of acid-treated TiO2 coupled g-C3N4 S-scheme heterojunction photocatalyst for the removal of gaseous formaldehyde[J]. Sep. Purif. Technol., 2025, 356(Part A): 129862

    37. [37]

      WANG J, WANG G H, CHENG B, YU J G, FAN J J. Sulfur-doped g-C3N4/TiO2 S-scheme heterojunction photocatalyst for Congo red photodegradation[J]. Chin. J. Catal., 2021, 42(1): 56-68  doi: 10.1016/S1872-2067(20)63634-8

  • 加载中
    1. [1]

      Wanxin Hu Yan Shi Junxia Yu Haiyang Shi Yingping Huang Ruiping Li . Engineering 2D/2D FeOOH/BiOCl S-scheme heterojunction toward efficient and stable tetracycline photodegradation. Chinese Journal of Structural Chemistry, 2026, 45(3): 100832-100832. doi: 10.1016/j.cjsc.2025.100832

    2. [2]

      Fei Jin Bolin Yang Xuanpu Wang Teng Li Noritatsu Tsubaki Zhiliang Jin . Facilitating efficient photocatalytic hydrogen evolution via enhanced carrier migration at MOF-on-MOF S-scheme heterojunction interfaces through a graphdiyne (CnH2n-2) electron transport layer. Chinese Journal of Structural Chemistry, 2023, 42(12): 100198-100198. doi: 10.1016/j.cjsc.2023.100198

    3. [3]

      Kaihui Huang Boning Feng Xinghua Wen Lei Hao Difa Xu Guijie Liang Rongchen Shen Xin Li . Effective photocatalytic hydrogen evolution by Ti3C2-modified CdS synergized with N-doped C-coated Cu2O in S-scheme heterojunctions. Chinese Journal of Structural Chemistry, 2023, 42(12): 100204-100204. doi: 10.1016/j.cjsc.2023.100204

    4. [4]

      Zhi Zhu Xiaohan Xing Qi Qi Wenjing Shen Hongyue Wu Dongyi Li Binrong Li Jialin Liang Xu Tang Jun Zhao Hongping Li Pengwei Huo . Fabrication of graphene modified CeO2/g-C3N4 heterostructures for photocatalytic degradation of organic pollutants. Chinese Journal of Structural Chemistry, 2023, 42(12): 100194-100194. doi: 10.1016/j.cjsc.2023.100194

    5. [5]

      Yihu Ke Shuai Wang Fei Jin Guangbo Liu Zhiliang Jin Noritatsu Tsubaki . Charge transfer optimization: Role of Cu-graphdiyne/NiCoMoO4 S-scheme heterojunction and Ohmic junction. Chinese Journal of Structural Chemistry, 2024, 43(12): 100458-100458. doi: 10.1016/j.cjsc.2024.100458

    6. [6]

      Linping Li Junhui Su Yanping Qiu Yangqin Gao Ning Li Lei Ge . Design and fabrication of ternary Au/Co3O4/ZnCdS spherical composite photocatalyst for facilitating efficient photocatalytic hydrogen production. Chinese Journal of Structural Chemistry, 2024, 43(12): 100472-100472. doi: 10.1016/j.cjsc.2024.100472

    7. [7]

      Entian CuiYulian LuZhaoxia LiZhilei ChenChengyan GeJizhou Jiang . Interfacial B-O bonding modulated S-scheme B-doped N-deficient C3N4/O-doped-C3N5 for efficient photocatalytic overall water splitting. Chinese Chemical Letters, 2025, 36(1): 110288-. doi: 10.1016/j.cclet.2024.110288

    8. [8]

      Qi HUANGYouyi WANGZhujian MAOZhonghui YEWeihan CHENJui-yeh RAUJian HUANG . Enhanced photocatalytic tetracycline degradation via 2D CdS/Ti3AlC2 MAX heterostructure. Chinese Journal of Inorganic Chemistry, 2025, 41(11): 2385-2398. doi: 10.11862/CJIC.20250159

    9. [9]

      Ruru MAYingjie SONGYahui LIErmin ZHOUDeqiang LIXiaojuan HUANGJun LI . Synergistic nitrogen doping and carbon support in TiO2 for enhanced photocatalytic degradation of methylene blue and oxytetracycline. Chinese Journal of Inorganic Chemistry, 2026, 42(3): 641-656. doi: 10.11862/CJIC.20250221

    10. [10]

      Zhijie ZhangXun LiHuiling TangJunhao WuChunxia YaoKui Li . Cs2CuBr4 perovskite quantum dots confined in mesoporous CuO framework as a p-n type S-scheme heterojunction for efficient CO2 photoconversion. Chinese Chemical Letters, 2024, 35(11): 109700-. doi: 10.1016/j.cclet.2024.109700

    11. [11]

      Fei ZHOUXiaolin JIA . Co3O4/TiO2 composite photocatalyst: Preparation and synergistic degradation performance of toluene. Chinese Journal of Inorganic Chemistry, 2024, 40(11): 2232-2240. doi: 10.11862/CJIC.20240236

    12. [12]

      Min ZHUYuxin WANGXiao LIYaxu XUJunwen ZHUZihao WANGYu ZHUXiaochen HUANGDan XUMonsur Showkot Hossain Abul . Construction of AgVO3/ZIF-8 composites for enhanced degradation of tetracycline. Chinese Journal of Inorganic Chemistry, 2025, 41(5): 994-1006. doi: 10.11862/CJIC.20240392

    13. [13]

      Xiaofan ZHANGYu DUANMeijie SHINan LURenhong LIXiaoqing YAN . Z-scheme Co3O4/BiOBr heterojunction for efficient photoreduction CO2 reduction. Chinese Journal of Inorganic Chemistry, 2025, 41(9): 1878-1888. doi: 10.11862/CJIC.20250079

    14. [14]

      Ruilong WANGJinlong MAOGuoxia JINJianping MAHaiying WANGJie QIN . 2-Cyanobenzyl-substituted [FeFe]-hydrogenase compounds: Preparation, characterization, and photocatalytic H2-production performance. Chinese Journal of Inorganic Chemistry, 2026, 42(4): 817-825. doi: 10.11862/CJIC.20250376

    15. [15]

      Lixing LUShaoxian LIUJian XUZiqi JINJiongjia CHENGJiyang ZHAOFubo WANGHaiying WANG . [FeFe]-hydrogenase-containing compound and its photocatalytic H2-production performance. Chinese Journal of Inorganic Chemistry, 2025, 41(12): 2584-2590. doi: 10.11862/CJIC.20250200

    16. [16]

      Jin ZHANGYuting WANGBin YUYuxin ZHONGYufeng ZHANG . Corn straw-derived carbon/BiOBr composite: Synthesis and photocatalytic degradation performance for rhodamine B. Chinese Journal of Inorganic Chemistry, 2025, 41(7): 1397-1408. doi: 10.11862/CJIC.20250028

    17. [17]

      Ruolin CHENGYue WANGFei YANGHuagen LIANGShijian LU . Application of metal-organic frameworks (MOFs) in photocatalytic CO2 cycloaddition reaction: A mini review. Chinese Journal of Inorganic Chemistry, 2025, 41(12): 2429-2440. doi: 10.11862/CJIC.20250242

    18. [18]

      Yun Wang Huage Lin Jiaxiang Zong Mengjiao Yu Guangyu Wu Weinan Xing . Interface design of S-scheme Co9S8/flower-like g-C3N4 van der Waals heterojunction with enhanced photocatalytic hydrogen production and tetracycline hydrochloride degradation. Chinese Journal of Structural Chemistry, 2026, 45(2): 100798-100798. doi: 10.1016/j.cjsc.2025.100798

    19. [19]

      Jun LIHuipeng LIHua ZHAOQinlong LIU . Preparation and photocatalytic performance of AgNi bimetallic modified polyhedral bismuth vanadate. Chinese Journal of Inorganic Chemistry, 2024, 40(3): 601-612. doi: 10.11862/CJIC.20230401

    20. [20]

      Wenda WANGJinku MAYuzhu WEIShuaishuai MA . Waste biomass-derived carbon modified porous graphite carbon nitride heterojunction for efficient photodegradation of oxytetracycline in seawater. Chinese Journal of Inorganic Chemistry, 2024, 40(4): 809-822. doi: 10.11862/CJIC.20230353

Metrics
  • PDF Downloads(0)
  • Abstract views(1)
  • HTML views(0)

通讯作者: 陈斌, bchen63@163.com
  • 1. 

    沈阳化工大学材料科学与工程学院 沈阳 110142

  1. 本站搜索
  2. 百度学术搜索
  3. 万方数据库搜索
  4. CNKI搜索
Address:Zhongguancun North First Street 2,100190 Beijing, PR China Tel: +86-010-82449177-888
Powered By info@rhhz.net

/

DownLoad:  Full-Size Img  PowerPoint
Return