Citation: Guangnan SHAN, Yuhui WANG, Yueru WU. Preparation and electrochemical performance of α-MnO2 electrode material for aqueous zinc ion battery[J]. Chinese Journal of Inorganic Chemistry, ;2026, 42(3): 479-487. doi: 10.11862/CJIC.20250292 shu

Preparation and electrochemical performance of α-MnO2 electrode material for aqueous zinc ion battery

  • Corresponding author: Yuhui WANG, wangyuhui19860604@163.com
  • Received Date: 18 September 2025
    Revised Date: 25 December 2025

Figures(8)

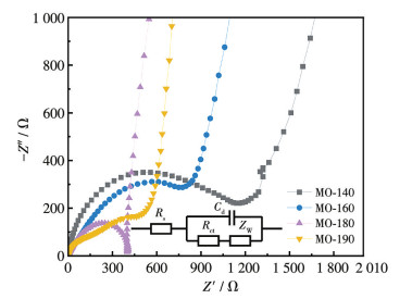
  • The α-MnO2 cathode material was prepared using a simple one-step hydrothermal method, and the effect of preparation temperature on its morphology and electrochemical performance was investigated. The experimental results indicated that α-MnO2 synthesized at different temperatures all exhibited a nanowire structure. It was found that the α-MnO2 prepared at 180 ℃ exhibited superior electrochemical performance: at a current density of 0.1 A·g-1, it achieved a discharge specific capacity of 229.2 mAh·g-1, which was higher than those prepared at other temperatures, and after 110 cycles, its capacity remained at 90 mAh·g-1; at a current density of 1 A·g-1, after 1 000 cycles, it still maintained a discharge specific capacity of 38 mAh·g-1. Additionally, its charge transfer resistance was significantly lower than that of samples prepared at other temperatures.
  • 加载中
    1. [1]

      JIANG C L, FANG Y, ZHANG W Y, SONG X H, LANG J H, SHI L, TANG Y B. A multi-ion strategy towards rechargeable sodium-ion full batteries with high working voltage and rate capability[J]. Angew. Chem. ‒Int. Edit., 2018,130(50):16608-16612. doi: 10.1002/ange.201810575

    2. [2]

      LI H F, MA L T, HAN C P, WANG Z F, LIU Z X, TANG Z J, ZHI C Y. Advanced rechargeable zinc-based batteries: Recent progress and future perspectives[J]. Nano Energy, 2019,62:550-587. doi: 10.1016/j.nanoen.2019.05.059

    3. [3]

      HE P, QUAN Y L, XU X, YAN M Y, YANG W, AN Q Y, HE L, MAI L Q. High-performance aqueous zinc-ion battery based on layered H2V3O8 nanowire cathode[J]. Small, 2017,13(47)1702551. doi: 10.1002/smll.201702551

    4. [4]

      ZHANG N, CHENG F, LIU Y C, ZHAO Q, LEI K X, CHEN C C, LIU X S, CHEN J. Cation-deficient spinel ZnMn2O4 cathode in Zn(CF3SO3)2 electrolyte for rechargeable aqueous Zn-ion battery[J]. J. Am. Chem. Soc., 2016,138(39):12894-12901. doi: 10.1021/jacs.6b05958

    5. [5]

      QUILTY C D, WU D, LI W, BOCK D C, WANG L, HOUSEL L M, ABRAHAM A, TAKEUCHI K J, MARSCHILOK A C, TAKEUCHI E S. Electron and ion transport in lithium and lithium-ion battery negative and positive composite electrodes[J]. Chem. Rev., 2023,123(4):1327-1363. doi: 10.1021/acs.chemrev.2c00214

    6. [6]

      LIU S D, KANG L, KIM J M, CHUN Y T, ZHANG J, JUN S J. Recent advances in vanadium-based aqueous rechargeable zinc-ion batteries[J]. Adv. Energy Mater., 2020,10(25)2000477. doi: 10.1002/aenm.202000477

    7. [7]

      ZHAO C L, WANG Q D, YAO Z P, ANG J L, LENGELING B S, DING F, QI X G, LU Y X, BAI X D, LI B H, LI H, GUZIK A A, HUANG X J, DELMAS C, WAGEMARKER M, CHEN L Q, HU Y S. Rational design of layered oxide materials for sodium-ion batteries[J]. Science, 2020,370(6517):708-711. doi: 10.1126/science.aay9972

    8. [8]

      INNOCENTI A, ERESSER D, GARCHE J, PASSERINI S. A critical discussion of the current availability of lithium and zinc for use in batteries[J]. Nat. Commun., 2024,15(1)4068. doi: 10.1038/s41467-024-48368-0

    9. [9]

      ZHU J H, TIE H W, BI S S, NIU Z Q. Towards more sustainable aqueous zinc-ion batteries[J]. Angew. Chem. ‒Int. Edit., 2024,136(22)e202403712. doi: 10.1002/ange.202403712

    10. [10]

      LI Z H, TAN J, WANG Y, GAO C Y, WANG Y G, YE M X, SHEN J F. Building better aqueous Zn-organic batteries[J]. Energy Environ. Sci., 2023,16(6):2398-2431. doi: 10.1039/D3EE00211J

    11. [11]

      GOURLEY S W D, BROWN R, ADAMS B D. Zinc-ion batteries for stationary energy storage[J]. Joule, 2023,7(7):1415-1436. doi: 10.1016/j.joule.2023.06.007

    12. [12]

      LIU S L, ZHANG R Z, WANG C, MAO J F, CHAO D L, ZHANG H F, ZHANG S L, GUO Z P. Zinc ion batteries: Bridging the gap from academia to industry for grid-scale energy storage[J]. Angew. Chem. ‒Int. Edit., 2024,136(17)e202400045. doi: 10.1002/ange.202400045

    13. [13]

      CHEN H, MA W B, GUO J D, XIONG J Y, HOU F, SI W P, SANG Z Y, YANG D Y. PEDOT-intercalated MnO2 layers as a high-performance cathode material for aqueous Zn-ion batteries[J]. J. Alloy. Compd., 2023,932167688. doi: 10.1016/j.jallcom.2022.167688

    14. [14]

      ZHANG N, CHENG F Y, LIU J X, WANG L B, LONG X H, LIU X S, LI F J, CHEN J. Rechargeable aqueous zinc-manganese dioxide batteries with high energy and power densities[J]. Nat. Commun., 2017,8(1):1-9. doi: 10.1038/s41467-016-0009-6

    15. [15]

      PAN H L, SHAO Y Y, YAN P F, CHENG Y W, HAN K S, NIE Z M, WANG C M, YANG J H, LI X L, BHATTACHARYA P, MUELLER K T, LIU J. Reversible aqueous zinc/manganese oxide energy storage from conversion reactions[J]. Nat. Energy, 2016,116039. doi: 10.1038/nenergy.2016.39

    16. [16]

      HAO J W, MOU J, ZHANG J W, DONG L B, LIU W B, XU C J, KANG F Y. Electrochemically induced spinel-layered phase transition of Mn3O4 in high performance neutral aqueous rechargeable zinc battery[J]. Electrochim. Acta, 2018,259:170-178. doi: 10.1016/j.electacta.2017.10.166

    17. [17]

      BISCHOFF C F, FITZ O S, BURNS J, BAUER M, GENTISCHER H, BIRKE K P, HENNING H M, BIRO D. Revealing the local pH value changes of acidic aqueous zinc ion batteries with a manganese dioxide electrode during cycling[J]. J. Electrochem. Soc., 2020,167(2)020545. doi: 10.1149/1945-7111/ab6c57

    18. [18]

      GEMEINER P, KULICEK J, MIKULA M, HATALA M, ŠYORC L, HLAVATA L, MIC UŠIK M, OMASTOVA M. Polypyrrole-coated multi-walled carbon nanotubes for the simple preparation of counter electrodes in dye-sensitized solar cells[J]. Synth. Met., 2015,210:323-331. doi: 10.1016/j.synthmet.2015.10.020

    19. [19]

      DING Y, PENG Y, CHEN S, ZHANG X, LI Z, ZHU L, MO L E, HU L. Hierarchical porous metallic V2O3@C for advanced aqueous zinc-ion batteries[J]. ACS Appl Mater. Interfaces, 2019,11(47):44109-44117. doi: 10.1021/acsami.9b13729

    20. [20]

      LEE J, JU J B, CHO W I. Todorokite-type MnO2 as a zinc-ion intercalating material[J]. Electrochim. Acta, 2013,112:138-143. doi: 10.1016/j.electacta.2013.08.136

    21. [21]

      AZMI Z, SENAOATI K C, GOSWAMI K A, MOHAPATRA S R. A comprehensive review of strategies to augment the performance of MnO2 cathode by structural modifications for aqueous zinc ion battery[J]. J. Power Sources, 2024,613234816. doi: 10.1016/j.jpowsour.2024.234816

    22. [22]

      WANG L, ZHENG L, AN Q Y, MAI L Q. Recent advances and prospects of cathode materials for rechargeable aqueous zinc-ion batteries[J]. Adv. Mater. Interfaces, 2019,6(17)1900387. doi: 10.1002/admi.201900387

    23. [23]

      CHEN Y W, LI J B, ZHANG S M, CUI J Y, SHAO M F. Highly reversible zinc anode enhanced by ultrathin MnO2 cathode material film for high-performance zinc-ion batteries[J]. Adv. Mater. Interfaces, 2020,7(15)2000510. doi: 10.1002/admi.202000510

    24. [24]

      HUANG C M, LIU S H, FENG J J, WANG Y, FAN Q H, KUANG Q, DONG Y Z, ZHAO Y M. Optimizing engineering of rechargeable aqueous zinc ion batteries to enhance the zinc ions storage properties of cathode material[J]. J. Power Sources, 2021,490229528. doi: 10.1016/j.jpowsour.2021.229528

    25. [25]

      KIM S J, WU D, SADIQUE N, QUILTY C D, WU L J, MARSCHILOK A C, TAKEUCHI K J, TAKEUCHI E S, ZHU Y M. Unraveling the dissolution-mediated reaction mechanism of α-MnO2 cathodes for aqueous Zn-ion batteries[J]. Small, 2020,16(48)2005406. doi: 10.1002/smll.202005406

    26. [26]

      SUN W, WANG F, HOU S Y, YANG C Y, FAN X L, MA Z H, GAO T, HAN F D, HU R Z, ZHU M, WANG C S. Zn/MnO2 battery chemistry with H+ and Zn2+ coinsertion[J]. J. Am. Chem. Soc., 2017(139):9775-9778.

    27. [27]

      Q H, CAO Z X, WU A H, ZHANG X Y, ZHANG J Q, GU J J, SONG Z C, MAO W T, BAO K Y. Construction of MnO2 with oxygen defects as cathode material for aqueous zinc ion batteries[J]. J. Solid State Electrochem., 2024,28(8):2927-2935. doi: 10.1007/s10008-024-05856-z

    28. [28]

      ZHAO X R, ZHANG F, LI H, LI H Z, DONG H T, YAN C C, MENG C, SANG Y H, LIU H, YU G G, WANG S H. Dynamic heterostructure design of MnO2 for high-performance aqueous zinc-ion batteries[J]. Energy Environ. Sci., 2024,17(10):3629-3640. doi: 10.1039/D4EE00341A

    29. [29]

      YU J, ZHU X J, PENG J X, LI M, ZHU F, ZHANG H, WANG T. The synergistic effect of PVA-based gel electrolyte and Cu2+ on the optimization of zinc anode[J]. Vacuum, 2024,227113365. doi: 10.1016/j.vacuum.2024.113365

    30. [30]

      CUI S H, ZHANG D, ZHANG G X, GAN Y. Reaction mechanism for the α-MnO2 cathode in aqueous Zn ion batteries revisited: Elucidating the irreversible transformation of α-MnO2 into Zn-vernadite[J]. J. Mater. Chem. A, 2022,10(48):25620-25632. doi: 10.1039/D2TA07608J

    31. [31]

      WANG L L, CAO X, XU L H, CHEN J T, ZHENG J R. Transformed akhtenskite MnO2 from Mn3O4 as cathode for a rechargeable aqueous zinc ion battery[J]. ACS Sustain. Chem. Eng., 2018,6(12):16055-16063. doi: 10.1021/acssuschemeng.8b02502

    32. [32]

      WU J, CHI X W, LIU Y Z, YANG J H, LIU Y. Electrochemical characterization of hollow urchin-like MnO2 as high-performance cathode for aqueous zinc ion batteries[J]. J. Electroanal. Chem., 2020,871114242. doi: 10.1016/j.jelechem.2020.114242

    33. [33]

      WANG Y H. Synthesis and characterizations of Li-excess layered cathode materials for Li-ion battereis[D]. Changchun: Jilin University, 2014: 32-54

    34. [34]

      LV X X, WANG Y, ZHANG W J, WANG T F. High valence MnO2 as an aqueous zinc ion battery cathode prepared using a secondary hydrothermal method[J]. Dalton. Trans., 2025,54(3):1182-1190. doi: 10.1039/D4DT02724H

    35. [35]

      MOSTAFA M M, YUDA P H, ARSHAD H, SAHEED A G, GONDAL M A, ABDUL A. Laser modified MnO2 cathode for augmented performance aqueous zinc ion batteries[J]. Appl. Surf. Sci., 2024,669160472. doi: 10.1016/j.apsusc.2024.160472

    36. [36]

      PAM M E, YAN D, YU J Z, FAN D L, GUO L, LI C T, LU X Y, ANG L K, AMAL R, HAN Z J, YANG H Y. Microstructural engineering of cathode materials for advanced zinc-ion aqueous batteries[J]. Adv. Sci., 2021,8(1)2002722. doi: 10.1002/advs.202002722

    37. [37]

      XU P, YI H M, SHI G Y, XIONG Z N, HU Y Y, WANG R L, ZHANG H H, WANG B. Mg ion pre-intercalated MnO2 nanospheres as high-performance cathode materials for aqueous Zn-ion batteries[J]. Dalton Trans., 2022,51(12):4695-4703. doi: 10.1039/D2DT00047D

    38. [38]

      ZHAO Y J, ZHANG P J, LIANG J R, XIA X Y, REN L T, SONG L, LIU W, SUN X M. Uncovering sulfur doping effect in MnO2 nanosheets as an efficient cathode for aqueous zinc ion battery[J]. Energy Storage Mater., 2022,48:456-464.

  • 加载中
    1. [1]

      Zhuo WangXue BaiKexin ZhangHongzhi WangJiabao DongYuan GaoBin Zhao . MOF-Templated Synthesis of Nitrogen-Doped Carbon for Enhanced Electrochemical Sodium Ion Storage and Removal. Acta Physico-Chimica Sinica, 2025, 41(3): 100026-0. doi: 10.3866/PKU.WHXB202405002

    2. [2]

      Vanita VanitaRoland SchochPascal PuphalHasan YilmazMatthias BauerOliver Clemens . Structural and electrochemical behaviour of bilayer manganite LaSr2Mn2O6.96 cathode for all-solid-state fluoride ion batteries. Acta Physico-Chimica Sinica, 2026, 42(3): 100181-0. doi: 10.1016/j.actphy.2025.100181

    3. [3]

      Kun Xu Xinxin Song Zhilei Yin Jian Yang Qisheng Song . Comprehensive Experimental Design of Preferential Orientation of Zinc Metal by Heat Treatment for Enhanced Electrochemical Performance. University Chemistry, 2024, 39(4): 192-197. doi: 10.3866/PKU.DXHX202309050

    4. [4]

      Xinpeng LIULiuyang ZHAOHongyi LIYatu CHENAimin WUAikui LIHao HUANG . Ga2O3 coated modification and electrochemical performance of Li1.2Mn0.54Ni0.13Co0.13O2 cathode material. Chinese Journal of Inorganic Chemistry, 2024, 40(6): 1105-1113. doi: 10.11862/CJIC.20230488

    5. [5]

      Yuting ZHANGZunyi LIUNing LIDongqiang ZHANGShiling ZHAOYu ZHAO . Nickel vanadate anode material with high specific surface area through improved co-precipitation method: Preparation and electrochemical properties. Chinese Journal of Inorganic Chemistry, 2024, 40(11): 2163-2174. doi: 10.11862/CJIC.20240204

    6. [6]

      Jiahong ZHENGJiajun SHENXin BAI . Preparation and electrochemical properties of nickel foam loaded NiMoO4/NiMoS4 composites. Chinese Journal of Inorganic Chemistry, 2024, 40(3): 581-590. doi: 10.11862/CJIC.20230253

    7. [7]

      Zhaoxuan ZHULixin WANGXiaoning TANGLong LIYan SHIJiaojing SHAO . Application of poly(vinyl alcohol) conductive hydrogel electrolytes in zinc ion batteries. Chinese Journal of Inorganic Chemistry, 2025, 41(5): 893-902. doi: 10.11862/CJIC.20240368

    8. [8]

      Qi LiPingan LiZetong LiuJiahui ZhangHao ZhangWeilai YuXianluo Hu . Fabricating Micro/Nanostructured Separators and Electrode Materials by Coaxial Electrospinning for Lithium-Ion Batteries: From Fundamentals to Applications. Acta Physico-Chimica Sinica, 2024, 40(10): 2311030-0. doi: 10.3866/PKU.WHXB202311030

    9. [9]

      Yuyao WangZhitao CaoZeyu DuXinxin CaoShuquan Liang . Research Progress of Iron-based Polyanionic Cathode Materials for Sodium-Ion Batteries. Acta Physico-Chimica Sinica, 2025, 41(4): 100035-0. doi: 10.3866/PKU.WHXB202406014

    10. [10]

      Xiangyu CAOJiaying ZHANGYun FENGLinkun SHENXiuling ZHANGJuanzhi YAN . Synthesis and electrochemical properties of bimetallic-doped porous carbon cathode material. Chinese Journal of Inorganic Chemistry, 2025, 41(3): 509-520. doi: 10.11862/CJIC.20240270

    11. [11]

      Huirong BAOJun YANGXiaomiao FENG . Preparation and electrochemical properties of NiCoP/polypyrrole/carbon cloth by electrodeposition. Chinese Journal of Inorganic Chemistry, 2025, 41(6): 1083-1093. doi: 10.11862/CJIC.20250008

    12. [12]

      Yuanyuan JIANGFangfang TUYuhong ZHANGShi CHENJiayuan XIANGXinhui XIA . Preparation and electrochemical properties of high-stability cathode prelithiation additive. Chinese Journal of Inorganic Chemistry, 2025, 41(6): 1101-1111. doi: 10.11862/CJIC.20240441

    13. [13]

      Ao XIABotao YUJun CHENGuoqiang TAN . Preparation and electrochemical property of Ce-doped MnO2. Chinese Journal of Inorganic Chemistry, 2025, 41(12): 2514-2526. doi: 10.11862/CJIC.20250163

    14. [14]

      Bingliang Li Yuying Han Dianyang Li Dandan Liu Wenbin Shang . One-Step Synthesis of Benorilate Guided by Green Chemistry Principles and in vivo Dynamic Evaluation. University Chemistry, 2024, 39(6): 342-349. doi: 10.3866/PKU.DXHX202311070

    15. [15]

      Zhihuan XUQing KANGYuzhen LONGQian YUANCidong LIUXin LIGenghuai TANGYuqing LIAO . Effect of graphene oxide concentration on the electrochemical properties of reduced graphene oxide/ZnS. Chinese Journal of Inorganic Chemistry, 2024, 40(7): 1329-1336. doi: 10.11862/CJIC.20230447

    16. [16]

      Qin ZHUJiao MAZhihui QIANYuxu LUOYujiao GUOMingwu XIANGXiaofang LIUPing NINGJunming GUO . Morphological evolution and electrochemical properties of cathode material LiAl0.08Mn1.92O4 single crystal particles. Chinese Journal of Inorganic Chemistry, 2024, 40(8): 1549-1562. doi: 10.11862/CJIC.20240022

    17. [17]

      Qingtang ZHANGXiaoyu WUZheng WANGXiaomei WANG . Performance of nano Li2FeSiO4/C cathode material co-doped by potassium and chlorine ions. Chinese Journal of Inorganic Chemistry, 2024, 40(9): 1689-1696. doi: 10.11862/CJIC.20240115

    18. [18]

      Xuechen HuQiuying XiaFan YueXinyi HeZhenghao MeiJinshi WangHui XiaXiaodong Huang . Electrochemical Characteristics of LiNbO3 Anode Film and Its Applications in All-Solid-State Thin-Film Lithium-Ion Battery. Acta Physico-Chimica Sinica, 2024, 40(2): 2309046-0. doi: 10.3866/PKU.WHXB202309046

    19. [19]

      Feng Lin Zhongxin Jin Caiying Li Cheng Shao Yang Xu Fangze Li Siqi Liu Ruining Gu . Preparation and Electrochemical Properties of Nickel Foam-Supported Ni(OH)2-NiMoO4 Electrode Material. University Chemistry, 2025, 40(10): 225-232. doi: 10.12461/PKU.DXHX202412017

    20. [20]

      Lingbang QiuJiangmin JiangLibo WangLang BaiFei ZhouGaoyu ZhouQuanchao ZhuangYanhua CuiIn Situ Electrochemical Impedance Spectroscopy Monitoring of the High-Temperature Double-Discharge Mechanism of Nb12WO33 Cathode Material for Long-Life Thermal Batteries. Acta Physico-Chimica Sinica, 2025, 41(5): 100040-0. doi: 10.1016/j.actphy.2024.100040

Metrics
  • PDF Downloads(0)
  • Abstract views(3)
  • HTML views(0)

通讯作者: 陈斌, bchen63@163.com
  • 1. 

    沈阳化工大学材料科学与工程学院 沈阳 110142

  1. 本站搜索
  2. 百度学术搜索
  3. 万方数据库搜索
  4. CNKI搜索
Address:Zhongguancun North First Street 2,100190 Beijing, PR China Tel: +86-010-82449177-888
Powered By info@rhhz.net

/

DownLoad:  Full-Size Img  PowerPoint
Return