Citation: Mengmeng SUN, Rui JIANG, Tianyi ZHAO, Jimin YANG. Fabrication of carboxyl-modified UiO-67 nanomaterials and their highly efficient removal mechanism of anionic dye[J]. Chinese Journal of Inorganic Chemistry, ;2026, 42(3): 499-506. doi: 10.11862/CJIC.20250281 shu

Fabrication of carboxyl-modified UiO-67 nanomaterials and their highly efficient removal mechanism of anionic dye

  • Corresponding author: Jimin YANG, yangjimin@lyu.edu.cn
  • Received Date: 8 September 2025
    Revised Date: 16 January 2026

Figures(7)

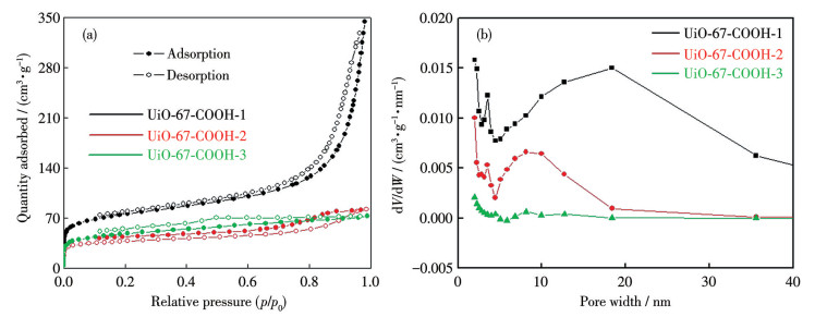
  • The carboxyl-modified UiO-67 nanomaterials (UiO-67-COOH) were synthesized by the solvothermal method, in which 4, 4′-biphenyldicarboxylic acid and 1, 1′-biphenyl-3, 4′, 4-tricarboxylic acid, and ZrCl4 were adopted as ligands and metal salt, respectively. The maximum adsorption capacities of carboxyl-modified UiO-67 were 698.7, 295.9, and 200.8 mg·g-1 for Congo red (CR), methyl orange (MO), and acid orange 7 (AO7), respectively, indicating that they exhibit superior dye removal performance. The removal efficiency of UiO-67-COOH toward CR, MO, and AO7 decreased with the electrostatic interaction, π-π interactions, adsorption space, and steric hindrance effect.
  • 加载中
    1. [1]

      JIN C, HAN B, LUO C H, QIN J W, LIU Y T, DAI Z C, SUN Y Q, GAN Z B, WANG C C, ZHENG X W, HU Z F. Precise synthesis of Fe single-atom catalysts on montmorillonite/g-C3N4 heterostructures for highly efficient fenton-like degradation of organic pollutants[J]. Water Res., 2025, 287: 124420  doi: 10.1016/j.watres.2025.124420

    2. [2]

      CHAI Y T, WANG F, GAO Y, WANG P, JIA Z Y, LI X J, DONG Y L, WANG C C. Ozone activation over core-shell nanoreactors for enhanced organic pollutants degradation: Surface-bound superoxide radicals induced by confinement effect[J]. Environ. Res., 2025, 282: 122099  doi: 10.1016/j.envres.2025.122099

    3. [3]

      ZHANG W, ZHANG R Z, HUANG Y Q, YANG J M. Effect of the synergetic interplay between the electrostatic interactions, size of the dye molecules, and adsorption sites of MIL-101(Cr) on the adsorption of organic dyes from aqueous solutions[J]. Cryst. Growth Des., 2018, 18: 7533-7540  doi: 10.1021/acs.cgd.8b01340

    4. [4]

      BHARTI V, VIKRANT K, GOSWAMI M, TIWARI H, SONWANI R K, LEE J, TSANG D C W, KIM K H, SAEED M, KUMAR S, RAI B N, GIRI B S, SINGH R S. Biodegradation of methylene blue dye in a batch and continuous mode using biochar as packing media[J]. Environ. Res., 2019, 171: 356-364  doi: 10.1016/j.envres.2019.01.051

    5. [5]

      IQBAL K, IQBAL A, KIRILLOV A M, LIU W S, TANG Y. Hybrid metal-organic-framework/inorganic nanocatalyst toward highly efficient discoloration of organic dyes in aqueous medium[J]. Inorg. Chem., 2018, 57: 13270-13278  doi: 10.1021/acs.inorgchem.8b01826

    6. [6]

      JIANG D N, CHEN M, WANG H, ZENG G M, HUANG D L, CHENG M, LIU Y, XUE W J, WANG Z W. The application of different typological and structural MOFs-based materials for the dyes adsorption[J]. Coord. Chem. Rev., 2019, 380: 471-483  doi: 10.1016/j.ccr.2018.11.002

    7. [7]

      BURTCH N C, JASUJA H, WALTON K S. Water stability and adsorption in metal-organic frameworks[J]. Chem. Rev., 2014, 114: 10575-10612  doi: 10.1021/cr5002589

    8. [8]

      ALUIGI A, ROMBALDONI F, TONETTI C, JANNOKE L. Study of methylene blue adsorption on keratin nanofibrous membranes[J]. J. Hazard. Mater., 2014, 268: 156-165  doi: 10.1016/j.jhazmat.2014.01.012

    9. [9]

      RAJENDRAN H K, DEEN M A, RAY J P, SINGH A, NARAYANASAMY S. Harnessing the chemical functionality of metal-organic frameworks toward removal of aqueous pollutants[J]. Langmuir, 2024, 40: 3963-3983  doi: 10.1021/acs.langmuir.3c02668

    10. [10]

      GAO Q, XU J, BU X H. Recent advances about metal-organic frameworks in the removal of pollutants from wastewater[J]. Coord. Chem. Rev., 2019, 378: 17-31  doi: 10.1016/j.ccr.2018.03.015

    11. [11]

      PURKAIT M K, MAITI A, GUPTA S D, DE S. Removal of Congo red using activated carbon and its regeneration[J]. J. Hazard. Mater., 2007, 145: 287-295  doi: 10.1016/j.jhazmat.2006.11.021

    12. [12]

      CHEN Z H, ZHANG J N, FU J W, WANG M H, WANG X Z, HAN R P, XU Q. Adsorption of methylene blue onto poly(cyclotriphosphazene-co-4, 4-sulfonyldiphenol) nanotubes: Kinetics, isotherm and thermodynamics analysis[J]. J. Hazard. Mater., 2014, 273: 263-271  doi: 10.1016/j.jhazmat.2014.03.053

    13. [13]

      WANG J Z, ZHAO G H, LI Y F, ZHU H, PENG X M, GAO X. One-step fabrication of functionalized magnetic adsorbents with large surface area and their adsorption for dye and heavy metal ions[J]. Dalton Trans., 2014, 43: 11637-11645  doi: 10.1039/C4DT00694A

    14. [14]

      WANG B, WU H, YU L, XU R, LIM T T, LOU X W. Template-free formation of uniform urchin-like α-FeOOH hollow spheres with superior capability for water treatment[J]. Adv. Mater., 2012, 24: 1111-1116  doi: 10.1002/adma.201104599

    15. [15]

      YANG J M. A facile approach to fabricate an immobilized-phosphate zirconium based metal-organic framework composite (UiO-66-P) and its activity in the adsorption and separation of organic dyes[J]. J. Colloid Interface Sci., 2017, 505: 178-185  doi: 10.1016/j.jcis.2017.05.040

    16. [16]

      QIU J H, FENG Y, ZHANG X F, JIA M M, YAO J F. Acid-promoted synthesis of UiO-66 for highly selective adsorption of anionic dyes: Adsorption performance and mechanisms[J]. J. Colloid and Interface Sci., 2017, 499: 151-158  doi: 10.1016/j.jcis.2017.03.101

    17. [17]

      LI T T, LIU Y M, WANG T, WU Y L. HE Y L, YANG R, ZHENG S R. Regulation of the surface area and surface charge property of MOFs by multivariate strategy: Synthesis, characterization, selective dye adsorption and separation[J]. Microporous Mesoporous Mat., 2018, 272: 101-108  doi: 10.1016/j.micromeso.2018.06.023

    18. [18]

      CHU H Y, HUANG Z M, SHEN G, DONG Y L, WANG C C. Microcystin-LR detection and removal using MOF based functional materials [J]. Environ. Sci.‒Nano, 2025, 12: 2901-2910  doi: 10.1039/D5EN00183H

    19. [19]

      HU P, ZHAO Z X, SUN X D, MUHAMMAD Y, LI J, CHEN S B, PANG C J, LIAO T T, ZHAO Z X. Construction of crystal defect sites in N-coordinated UiO-66 via mechanochemical in-situ N-doping strategy for highly selective adsorption of cationic dyes[J]. Chem. Eng. J., 2019, 356: 329-340  doi: 10.1016/j.cej.2018.09.060

    20. [20]

      JASMINA H C, SOREN J, UNNI O, NATHALIE G, CARLO L, SILVIA B, KARL P L. A new zirconium organic building brick forming metal organic frameworks with exceptional stability[J]. J. Am. Chem. Soc., 2008, 130: 13850-13851  doi: 10.1021/ja8057953

    21. [21]

      REN Z L, FANG Y L, WU Q, MA X. Magnetic β‑cyclodextrin/UiO-66 hybrid composites as high-performance adsorbents for organic dye removal [J]. Langmuir, 2025, 41: 22978-22990  doi: 10.1021/acs.langmuir.5c02591

    22. [22]

      KONNO H, TSUKADA A. Size- and ion-selective adsorption of organic dyes from aqueous solutions using functionalized UiO-66 frameworks[J]. Colloid Surface A, 2022, 651: 129749  doi: 10.1016/j.colsurfa.2022.129749

    23. [23]

      FAN Y H, ZHANG S W, QIN S B, LI X S, QI S H. An enhanced adsorption of organic dyes onto NH2 functionalization titanium-based metal‑organic frameworks and the mechanism investigation[J]. Microporous Mesoporous Mat., 2018, 263: 120-127  doi: 10.1016/j.micromeso.2017.12.016

    24. [24]

      YANG J M, YANG B C, ZHANG Y, YANG R N, JI S S, WANG Q, QUAN S, ZHANG R Z. Rapid adsorptive removal of cationic and anionic dyes from aqueous solution by a Ce(Ⅲ)-doped Zr-based metal-organic framework[J]. Microporous Mesoporous Mat., 2020, 292: 109764  doi: 10.1016/j.micromeso.2019.109764

    25. [25]

      RAJAK R, SARAF M, MOHAMMAD A, MOBIN S M. Design and construction of a ferrocene based inclined polycatenated Co-MOF for supercapacitor and dye adsorption applications[J]. J. Mater. Chem. A, 2017, 5: 17998-18011  doi: 10.1039/C7TA03773B

    26. [26]

      TONG M M, LIU D H, YANG Q Y, DEVAUTOUR-VINOT S, MAURIN G, ZHONG C L. Influence of framework metal ions on the dye capture behavior of MIL-100 (Fe, Cr) MOF type solids[J]. J. Mater. Chem. A, 2013, 1: 8534-8537  doi: 10.1039/c3ta11807j

    27. [27]

      TSURUOKA T, FURUKAWA S, TAKASHIMA Y, YOSHIDA K, ISODA S, KITAGAWA S. Nanoporous nanorods fabricated by coordination modulation and oriented attachment growth[J]. Angew. Chem.‒Int. Edit., 2009, 48: 4739-4743  doi: 10.1002/anie.200901177

    28. [28]

      LIL, LIU X L, GAO M, HONG W, LIU G Z, FAN L, HU B, XIA Q H, LIU L, SONG G W, XU Z S. The adsorption on magnetic hybrid Fe3O4/HKUST-1/GO of methylene blue from water solution[J]. J. Mater. Chem. A, 2014, 2: 1795-1801  doi: 10.1039/C3TA14225F

    29. [29]

      DECOSTE J B, PETERSON G W. Metal-organic frameworks for air purification of toxic chemicals[J]. Chem. Rev., 2014, 114: 5695-5727  doi: 10.1021/cr4006473

    30. [30]

      HASAN Z, JEON J, JHUNG S H. Adsorptive removal of naproxen and clofibric acid from water using metal-organic frameworks[J]. J. Hazard. Mater., 2012, 209: 151-157

    31. [31]

      ZHANG W, YANG J M, YANG R N, YANG B C, QUAN S, JIANG X. Effect of free carboxylic acid groups in UiO-66 analogues on the adsorption of dyes from water: Plausible mechanisms for adsorption and gate-opening behavior[J]. J. Mol. Liq., 2019, 283: 160-166  doi: 10.1016/j.molliq.2019.03.100

    32. [32]

      ABNEY C W, TAYLOR-PASHOW K M L, RUSSELL S R, CHEN Y, SAMANTARAY R, LOCKARD J V, LIN W B. Topotactic transformations of metal-organic frameworks to highly porous and stable inorganic sorbents for efficient radionuclide sequestration[J]. Chem. Mater., 2014, 26: 5231-5243  doi: 10.1021/cm501894h

    33. [33]

      QI Z P, YANG J M, LIU Q, KANG Y S, SUN W Y. Facile water-stability evaluation of metal-organic frameworks and the property of selective removal of dyes from aqueous solution[J]. Dalton Trans., 2016, 45: 8753-8759  doi: 10.1039/C6DT00886K

  • 加载中
    1. [1]

      Youlin SIShuquan SUNJunsong YANGZijun BIEYan CHENLi LUO . Synthesis and adsorption properties of Zn(Ⅱ) metal-organic framework based on 3, 3', 5, 5'-tetraimidazolyl biphenyl ligands. Chinese Journal of Inorganic Chemistry, 2024, 40(9): 1755-1762. doi: 10.11862/CJIC.20240061

    2. [2]

      Xiaogang YANGXinya ZHANGJing LIHuilin WANGMin LIXiaotian WEIXinci WULufang MA . Synthesis, structure, and photoelectric properties of Zinc(Ⅱ)-triphenylamine based metal-organic framework. Chinese Journal of Inorganic Chemistry, 2025, 41(10): 2078-2086. doi: 10.11862/CJIC.20250167

    3. [3]

      Wenjuan SHIYuke LUXiuyuan LILei HOUYaoyu WANG . Mg(Ⅱ) metal-organic frameworks based on biphenyltetracarboxylic acid: Synthesis and CO2 adsorption and catalytic conversion performance. Chinese Journal of Inorganic Chemistry, 2025, 41(12): 2455-2463. doi: 10.11862/CJIC.20250220

    4. [4]

      Jianding LIJunyang FENGHuimin RENGang LI . Proton conductive properties of a Hf(Ⅳ)-based metal-organic framework built by 2,5-dibromophenyl-4,6-dicarboxylic acid. Chinese Journal of Inorganic Chemistry, 2025, 41(6): 1094-1100. doi: 10.11862/CJIC.20240464

    5. [5]

      Zelong LIANGShijia QINPengfei GUOHang XUBin ZHAO . Synthesis and electrocatalytic CO2 reduction performance of metal-organic framework catalysts loaded with silver particles. Chinese Journal of Inorganic Chemistry, 2025, 41(1): 165-173. doi: 10.11862/CJIC.20240409

    6. [6]

      Kun JIANGYutong XUEKelin LIUMiao WANGTongming SUNYanfeng TANG . CeVO4 hollow microspheres: Fabrication and adsorption performance for dyes. Chinese Journal of Inorganic Chemistry, 2025, 41(11): 2229-2236. doi: 10.11862/CJIC.20250223

    7. [7]

      Ping LIGeng TANXin HUANGFuxing SUNJiangtao JIAGuangshan ZHUJia LIUJiyang LI . Green synthesis of metal-organic frameworks with open metal sites for efficient ammonia capture. Chinese Journal of Inorganic Chemistry, 2025, 41(10): 2063-2068. doi: 10.11862/CJIC.20250020

    8. [8]

      Ruige ZHANGZhe ZHANGHe ZHENGZhan SHI . Recent advances of metal-organic frameworks for alkaline electrocatalytic oxygen evolution reaction. Chinese Journal of Inorganic Chemistry, 2025, 41(10): 2011-2028. doi: 10.11862/CJIC.20250185

    9. [9]

      Yi DINGPeiyu LIAOJianhua JIAMingliang TONG . Structure and photoluminescence modulation of silver(Ⅰ)-tetra(pyridin-4-yl)ethene metal-organic frameworks by substituted benzoates. Chinese Journal of Inorganic Chemistry, 2025, 41(1): 141-148. doi: 10.11862/CJIC.20240393

    10. [10]

      Hong CAIJiewen WUJingyun LILixian CHENSiqi XIAODan LI . Synthesis of a zinc-cobalt bimetallic adenine metal-organic framework for the recognition of sulfur-containing amino acids. Chinese Journal of Inorganic Chemistry, 2025, 41(1): 114-122. doi: 10.11862/CJIC.20240382

    11. [11]

      Bizhu ShaoHuijun DongYunnan GongJianhua MeiFengshi CaiJinbiao LiuDichang ZhongTongbu Lu . Metal-Organic Framework-Derived Nickel Nanoparticles for Efficient CO2 Electroreduction in Wide Potential Windows. Acta Physico-Chimica Sinica, 2024, 40(4): 2305026-0. doi: 10.3866/PKU.WHXB202305026

    12. [12]

      Hui-Ying ChenHao-Lin ZhuPei-Qin LiaoXiao-Ming Chen . Integration of Ru(Ⅱ)-Bipyridyl and Zinc(Ⅱ)-Porphyrin Moieties in a Metal-Organic Framework for Efficient Overall CO2 Photoreduction. Acta Physico-Chimica Sinica, 2024, 40(4): 2306046-0. doi: 10.3866/PKU.WHXB202306046

    13. [13]

      Kexin YanZhaoqi YeLingtao KongHe LiXue YangYahong ZhangHongbin ZhangYi Tang . Seed-Induced Synthesis of Disc-Cluster Zeolite L Mesocrystals with Ultrashort c-Axis: Morphology Control, Decoupled Mechanism, and Enhanced Adsorption. Acta Physico-Chimica Sinica, 2024, 40(9): 2308019-0. doi: 10.3866/PKU.WHXB202308019

    14. [14]

      Xueqi YangJuntao ZhaoJiawei YeDesen ZhouTingmin DiJun Zhang . 调节NNU-55(Fe)的d带中心以增强CO2吸附和光催化活性. Acta Physico-Chimica Sinica, 2025, 41(7): 100074-0. doi: 10.1016/j.actphy.2025.100074

    15. [15]

      Wenxiu YangJinfeng ZhangQuanlong XuYun YangLijie Zhang . Bimetallic AuCu Alloy Decorated Covalent Organic Frameworks for Efficient Photocatalytic Hydrogen Production. Acta Physico-Chimica Sinica, 2024, 40(10): 2312014-0. doi: 10.3866/PKU.WHXB202312014

    16. [16]

      . Synthesis and properties of metal‐organic frameworks. Chinese Journal of Inorganic Chemistry, 2025, 41(10): 1-2.

    17. [17]

      Shasha Ma Zujin Yang Jianyong Zhang . Facile Synthesis of FeBTC Metal-Organic Gel and Its Adsorption of Cr2O72−: A Physical Chemistry Innovation Experiment. University Chemistry, 2024, 39(8): 314-323. doi: 10.3866/PKU.DXHX202401008

    18. [18]

      Shengbiao Zheng Liang Li Nini Zhang Ruimin Bao Ruizhang Hu Jing Tang . Metal-Organic Framework-Derived Materials Modified Electrode for Electrochemical Sensing of Tert-Butylhydroquinone: A Recommended Comprehensive Chemistry Experiment for Translating Research Results. University Chemistry, 2024, 39(7): 345-353. doi: 10.3866/PKU.DXHX202310096

    19. [19]

      Yinjie XuSuiqin LiLihao LiuJiahui HeKai LiMengxin WangShuying ZhaoChun LiZhengbin ZhangXing ZhongJianguo Wang . Enhanced Electrocatalytic Oxidation of Sterols using the Synergistic Effect of NiFe-MOF and Aminoxyl Radicals. Acta Physico-Chimica Sinica, 2024, 40(3): 2305012-0. doi: 10.3866/PKU.WHXB202305012

    20. [20]

      Zehao ZhangZheng WangHaibo Li . Preparation of 2D V2O3@Pourous Carbon Nanosheets Derived from V2CFx MXene for Capacitive Desalination. Acta Physico-Chimica Sinica, 2024, 40(8): 2308020-0. doi: 10.3866/PKU.WHXB202308020

Metrics
  • PDF Downloads(0)
  • Abstract views(3)
  • HTML views(0)

通讯作者: 陈斌, bchen63@163.com
  • 1. 

    沈阳化工大学材料科学与工程学院 沈阳 110142

  1. 本站搜索
  2. 百度学术搜索
  3. 万方数据库搜索
  4. CNKI搜索
Address:Zhongguancun North First Street 2,100190 Beijing, PR China Tel: +86-010-82449177-888
Powered By info@rhhz.net

/

DownLoad:  Full-Size Img  PowerPoint
Return