Citation: Chuansong LIN, Chuqing ZHANG, Shixiong LI. A Ni(Ⅱ) metal-organic framework based on the 4, 4′-biphenyldicarboxylic acid ligand and its adsorption performance for tetracycline[J]. Chinese Journal of Inorganic Chemistry, ;2026, 42(3): 593-605. doi: 10.11862/CJIC.20250278 shu

A Ni(Ⅱ) metal-organic framework based on the 4, 4′-biphenyldicarboxylic acid ligand and its adsorption performance for tetracycline

  • Corresponding author: Shixiong LI, lsx1324@163.com
  • Received Date: 5 September 2025
    Revised Date: 9 November 2025

Figures(7)

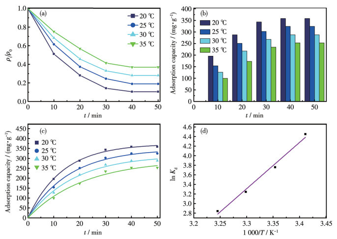
  • In this study, a nickel-based MOF {(NH2(CH3)2)2[Ni3(O)(L)3(NH(CH3)2)3]}n (Ni3-MOF), with pore sizes of approximately 1.6 nm×1.6 nm, was synthesized by reacting 4, 4′-biphenyldicarboxylic acid (H2L) with Ni(NO3)2·6H2O in an N, N-dimethylformamide (DMF) solution. The nanoscale adsorbent Ni3-MOF-N with a particle diameter of approximately 200 nm was prepared using Ni3-MOF. It exhibited a maximum equilibrium tetracycline (TC) adsorption capacity of 358.2 mg·g-1 at its isoelectric point (pH=6.50), outperforming most reported MOF-based adsorbents. This exceptional performance is likely attributed to the well-matched pore size of Ni3-MOF-N (1.6 nm×1.6 nm) and the molecular dimensions of TC (0.8 nm×1.2 nm), combined with the presence of partial Ni(Ⅱ) sites on the surface of Ni3-MOF-N. These features collectively facilitate effective TC adsorption through a combination of pore filling, electrostatic attraction, hydrogen bonding, surface complexation, and π-π interactions. Recycling experiments demonstrated that Ni3-MOF-N possesses excellent structural stability and consistent adsorption performance.
  • 加载中
    1. [1]

      LI C N, AWASTHI MK, LIU J, YAO T. Veterinary tetracycline residues: Environmental occurrence, ecotoxicity, and degradation mechanism[J]. Environ. Res., 2025, 266(2): 120417

    2. [2]

      LI Y, LIU X Y, WANG J, LI S. High-generation tetracyclines shifted microbial community composition and induced the emergence of antibiotic resistant bacteria in soil[J]. J. Hazard. Mater., 2024, 480(12): 135757

    3. [3]

      KAYANI K F. Tetracycline in the environment: Toxicity, uses, occurrence, detection, and removal by covalent organic frameworks‒Recent advances and challenges[J]. Sep. Purif. Technol., 2025, 364(1): 132418

    4. [4]

      SELVARAJ R, PRABHU D, KUMAR P S, RANGASAMY G, MURUGESAN G, RAJESH M, GOVEAS L C, VARADAVENKATRSAN T, SAMANTH A, BALAKRISHNARAJA R, VINAYAGAM R. Adsorptive removal of tetracycline from aqueous solutions using magnetic Fe2O3/activated carbon prepared from Cynometra ramiflora fruit waste[J]. Chemosphere, 2023, 310(1): 136892

    5. [5]

      ORTIZ-RAMOS U, LEYVA-RAMOS R, MENDOZA-MENDOZA E, CARRASCO-MARÍN F, BAILÓN-GARCÍA E, VILLELA- MARTÍNEZ D E, VALDEZ-GARCÍA G D. Modeling adsorption rate of trimethoprim, tetracycline and chlorphenamine from aqueous solutions onto natural bentonite clay. Elucidating mass transfer mechanisms[J]. Chem. Eng. J., 2024, 493(8): 152666

    6. [6]

      NGUYEN T L, LE PHAN Q N, VO O K, LE T K, PHAM V V. Evaluating the antibiotic adsorption ability of diatomite minerals: The role of treatment agents[J]. J. Porous Mat., 2025, 32(1): 155-168  doi: 10.1007/s10934-024-01684-8

    7. [7]

      ORTIZ-RAMOS U, LEYVA-RAMOS R, MENDOZA-MENDOZA E, ARAGÓN-PIÑA A. Removal of tetracycline from aqueous solutions by adsorption on raw Ca-bentonite. Effect of operating conditions and adsorption mechanism[J]. Chem. Eng. J., 2022, 432(3): 134428

    8. [8]

      JI L J, CHEN W, DUAN L, ZHU D Q. Mechanisms for strong adsorption of tetracycline to carbon nanotubes: A comparative study using activated carbon and graphite as adsorbents[J]. Environ. Sci. Technol., 2009, 43(7): 2322-2327  doi: 10.1021/es803268b

    9. [9]

      YIN Z, WANG Q X, ZENG M H. Iodine release and recovery, influence of polyiodide anions on electrical conductivity and nonlinear optical activity in an interdigitated and interpenetrated bipillared- bilayer metal-organic framework[J]. J. Am. Chem. Soc., 2012, 134(10): 4857-4863  doi: 10.1021/ja211381e

    10. [10]

      WANG T C, BURY W, GÓMEZ-GUALDRÓN D A, VERMEULEN N A, MONDLOCH J E, DERIA P, ZHANG K, MOGHADAM P Z, SARJEANT A A, SNURR R Q, STODDART J F. Ultrahigh surface area zirconium MOFs and insights into the applicability of the BET theory[J]. J. Am. Chem. Soc., 2015, 137(10): 3585-3591  doi: 10.1021/ja512973b

    11. [11]

      YIN Z, ZHAO Y, WAN S, YANG J, SHI Z, PENG S X, CHEN M Z, XIE T Y, ZENG T W, YAMAMURO O, NIREI M, AKIBA H, ZHANG Y B, YU H B, ZENG M H. Synergistic stimulation of metal-organic frameworks for stable super-cooled liquid and quenched glass[J]. J. Am. Chem. Soc., 2022, 144(29): 13021-13025  doi: 10.1021/jacs.2c04532

    12. [12]

      KONG Q P, SONG B B, YU J, ZHANG H Z, LI S X, LAN Y L, MA W W, SHI X Q, YU T, XIAO L P. Regulation mechanism of ligand engineering on the adsorption performance of bimetallic Ni/Co- MOFcarboxymethylcellulose composite towards Cu2+[J]. J. Environ. Chem. Eng., 2025, 13(5): 118451  doi: 10.1016/j.jece.2025.118451

    13. [13]

      ROUHANI F, AYEDI M, SAFARI N. Dual nature brilliant adsorbent engineering by converting an Al-based MOF to defect rich quasi-MOF[J]. Sep. Purif. Technol., 2024, 331: 125611  doi: 10.1016/j.seppur.2023.125611

    14. [14]

      LI J X, XIONG L Y, FU L L, BO W B, DU Z X, FENG X. Structural diversity of Mn(Ⅱ) and Cu(Ⅱ) complexes based on 2-carboxyphenoxyacetate linker: Syntheses, conformation comparison and magnetic properties[J]. J. Solid State Chem., 2022, 305: 122636  doi: 10.1016/j.jssc.2021.122636

    15. [15]

      LI S X, FENG X J, CHEN H Y, XU S H. Zinc complexes with mixed ligands and the effect on excitation and emission spectra by changing the binding sites[J]. ChemistrySelect, 2025, 10(1): e202404957  doi: 10.1002/slct.202404957

    16. [16]

      LI S X, CHEN Y H, YANG S L, YAN M L, WEI C T. Synthesis, structure and fluorescence analysis of three Zn(Ⅱ) complexes based on (1-methyl-1H-benzimidazol-2-yl) methanol[J]. Chinese J. Inorg. Chem., 2023, 39(9): 1782-1790

    17. [17]

      CAI Y Y, DONG T, IAN Z H, LIU H, LIU X, LIU A H. Metal-organic frameworks based fluorescent sensing: Mechanisms and detection applications[J]. Coord. Chem. Rev., 2025, 529: 216470  doi: 10.1016/j.ccr.2025.216470

    18. [18]

      LI S X, WU X, CAO Y Z, SHI P, LIAO B L. Mechanism of coordinated anions regulating the photocatalytic performance of Cu􀃬 metal-organic frameworks[J]. Inorg. Chem. Commun., 2025, 176: 114321  doi: 10.1016/j.inoche.2025.114321

    19. [19]

      LI S X, YAN M L, WEI C T, CHEN Y H, LIAO B L. Effect and mechanism of inorganic ions on the photocatalytic performance of amino modified UIO-67 type metal-organic framework[J]. Inorg. Chem. Commun., 2024, 168: 112934  doi: 10.1016/j.inoche.2024.112934

    20. [20]

      CHEN H J, LIN J R, LI S X. Manganese-based metal-organic framework preferentially photocatalytically degraded high electronegativity groups in methyl orange[J]. J. Solid State Chem., 2025, 351: 125546  doi: 10.1016/j.jssc.2025.125546

    21. [21]

      GUO W, LI S X. An iron-based metal-organic framework with strong water stability and effective adsorption of methylene blue from wastewater[J]. J. Solid State Chem., 2025, 344: 125174  doi: 10.1016/j.jssc.2024.125174

    22. [22]

      CHEN H J, LI X L, LI T, LU F Y, LAO D T, LI S X. A two- dimensional cobalt-based metal-organic framework efficiently adsorbs Cr􀃱 from wastewater[J]. Inorg. Chem. Commun., 2024, 169: 113052  doi: 10.1016/j.inoche.2024.113052

    23. [23]

      LI S X, HUANG L C, GUO W, FENG X J, CAO Y Z, LIAO B L. Two-dimensional copper-based metal-organic framework for efficient removal of methylene blue from wastewater[J]. Eur. J. Inorg. Chem., 2024, 27(26): e202400240  doi: 10.1002/ejic.202400240

    24. [24]

      LIU W, LI Y, WANG Y C, FENG Y K. Bioactive metal-organic frameworks as a distinctive platform to diagnosis and treat vascular diseases[J]. Small, 2024, 20(27): 2310249  doi: 10.1002/smll.202310249

    25. [25]

      LI S X, FENG M L, LIU X L, ZHANG C Q, LIAO B L. Manganese-based metal-organic framework with high specific surface area and porosity for efficient adsorption of tetracycline in wastewater[J]. Inorg. Chem. Commun., 2025, 179: 114715  doi: 10.1016/j.inoche.2025.114715

    26. [26]

      ZHANG Z Y, SUN K, GAO B, ZHANG G X, LIU X T, ZHAO Y. Adsorption of tetracycline on soil and sediment: Effects of pH and the presence of Cu(Ⅱ)[J]. J. Hazard. Mater., 2011, 190(1/2/3): 856-862

    27. [27]

      DOLOMANOV O V, BOURHIS L J, GILDEA R J, HOWARD J A, PUSCHMANN H. OLEX2: A complete structure solution, refinement and analysis program[J]. J. Appl. Crystallogr., 2009, 42(2): 339-341  doi: 10.1107/S0021889808042726

    28. [28]

      DINKU D, DEMISSIE T B, BEAS I N, ESWARAMOORTHY R, ABDI B, DESALEGN T. Antimicrobial activities and docking studies of new Schiff base ligand and its Cu(Ⅱ), Zn(Ⅱ) and Ni(Ⅱ) complexes: Synthesis and characterization[J]. Inorg. Chem. Commun., 2024, 160: 111903  doi: 10.1016/j.inoche.2023.111903

    29. [29]

      LI S X, HUANG L C, JIA B J, FENG X J, CAO Y Z, CHEN Y F, BIN Y J. Effect and mechanism of inorganic anions on the adsorption of Cd2+ on two-dimensional copper-based metal-organic framework[J]. Inorg. Chem. Commun., 2024, 159: 111819  doi: 10.1016/j.inoche.2023.111819

    30. [30]

      CHENG S A, LI Y X, YU Z, GU R N, WU W, SU Y Q. Waste PET-derived MOF-5 for high-efficiency removal of tetracycline[J]. Sep. Purif. Technol., 2024, 339: 126490  doi: 10.1016/j.seppur.2024.126490

    31. [31]

      ZHOU Y P, WANG J, YANG J W, DUAN L H, LIU H B, WU J F, GAO L N. Mesoporous silica-confined MOF-525 for stable adsorption of tetracycline over a wide pH application range[J]. ACS Appl. Nano Mater., 2024, 7: 3806-3816  doi: 10.1021/acsanm.3c05407

    32. [32]

      OBSO J L, FLORES C V, BOUJNAH M, VILTRES H, CELAYA C A, ROSAS P M, LEYVA C. Al􀃮-based MOF for tetracycline removal from water: Adsorption performance and mechanism[J]. J. Solid State Chem., 2024, 338: 124908  doi: 10.1016/j.jssc.2024.124908

    33. [33]

      WU J F, LIU H B, WANG J. In-situ growth of Fe-MOF on magnetic materials by self-template method to enhance practicality and removal of tetracycline antibiotics from aqueous solution[J]. Appl. Surf. Sci., 2025, 681: 161520  doi: 10.1016/j.apsusc.2024.161520

    34. [34]

      XIONG W P, ZENG G M, YANG Z H, ZHOU Y Y, ZHANG C, CHENG M, LIU Y, HU L, WAN J, ZHOU C Y, XU R, LI X. Adsorption of tetracycline antibiotics from aqueous solutions on nanocomposite multi-walled carbon nanotube functionalized MIL-53(Fe) as new adsorbent[J]. Sci. Total Environ., 2018, 627: 235-244  doi: 10.1016/j.scitotenv.2018.01.249

    35. [35]

      YANG Q F, HONG H, LUO Y K. Heterogeneous nucleation and synthesis of carbon dots hybrid Zr-based MOFs for simultaneous recognition and effective removal of tetracycline[J]. Chem. Eng. J., 2020, 392: 123680  doi: 10.1016/j.cej.2019.123680

    36. [36]

      XIONG W P, ZENG Z T, LI X, ZENG G M, XIAO R, YANG Z H, ZHOU Y Y, ZHANG C, CHENG M, HU L, ZHOU C Y, QIN L, XU R, ZHANG Y R. Multi-walled carbon nanotube/aminofunctionalized MIL-53(Fe) composites: Remarkable adsorptive removal of antibiotics from aqueous solutions[J]. Chemosphere, 2018, 210: 1061-1069  doi: 10.1016/j.chemosphere.2018.07.084

    37. [37]

      WEI F H, ZHANG H, REN Q H, CHEN H L, YANG L L, DING B, YU M J, LIANG Z. Removal of organic contaminants from wastewater with GO/MOFs composites[J]. PLoS One, 2021, 16(7): 1-12

    38. [38]

      AHMADIJOKANI F, MOLAVI H, TAJAHMADI S, REZAKAZEMI M, AMINI M, KAMKAR M, ROJAS O J, ARJMAND M. Coordination chemistry of metal-organic frameworks: Detection, adsorption, and photodegradation of tetracycline antibiotics and beyond[J]. Coord. Chem. Rev., 2022, 464: 214562  doi: 10.1016/j.ccr.2022.214562

  • 加载中
    1. [1]

      Huan ZHANGJijiang WANGGuang FANLong TANGErlin YUEChao BAIXiao WANGYuqi ZHANG . A highly stable cadmium(Ⅱ) metal-organic framework for detecting tetracycline and p-nitrophenol. Chinese Journal of Inorganic Chemistry, 2024, 40(3): 646-654. doi: 10.11862/CJIC.20230291

    2. [2]

      Min ZHUYuxin WANGXiao LIYaxu XUJunwen ZHUZihao WANGYu ZHUXiaochen HUANGDan XUMonsur Showkot Hossain Abul . Construction of AgVO3/ZIF-8 composites for enhanced degradation of tetracycline. Chinese Journal of Inorganic Chemistry, 2025, 41(5): 994-1006. doi: 10.11862/CJIC.20240392

    3. [3]

      Bangdi GEXiaowei SONGZhiqiang LIANG . A bifunctional three-dimensional Eu-MOF fluorescent probe for highly sensitive detection of 2, 4, 6-trinitrophenol and tetracycline. Chinese Journal of Inorganic Chemistry, 2025, 41(10): 2165-2174. doi: 10.11862/CJIC.20250190

    4. [4]

      Shuanglin TIANTinghong GAOYutao LIUQian CHENQuan XIEQingquan XIAOYongchao LIANG . First-principles study of adsorption of Cl2 and CO gas molecules by transition metal-doped g-GaN. Chinese Journal of Inorganic Chemistry, 2024, 40(6): 1189-1200. doi: 10.11862/CJIC.20230482

    5. [5]

      Shanqing YANGLulu WANGQiang ZHANGJiajia LIYilong LITongliang HU . A propane-selective metal-organic framework for inverse selective adsorption propane/propylene separation. Chinese Journal of Inorganic Chemistry, 2025, 41(10): 2138-2148. doi: 10.11862/CJIC.20250154

    6. [6]

      Qi HUANGYouyi WANGZhujian MAOZhonghui YEWeihan CHENJui-yeh RAUJian HUANG . Enhanced photocatalytic tetracycline degradation via 2D CdS/Ti3AlC2 MAX heterostructure. Chinese Journal of Inorganic Chemistry, 2025, 41(11): 2385-2398. doi: 10.11862/CJIC.20250159

    7. [7]

      Hongzhe GUOSen WANGLu YANGFucheng LIUJiongpeng ZHAOZhaoquan YAO . Highly selective acetylene capture by a pacs-type metal-organic framework constructed using metal-formate complexes as pore partition units. Chinese Journal of Inorganic Chemistry, 2025, 41(10): 2157-2164. doi: 10.11862/CJIC.20250179

    8. [8]

      Zhinan GUOJunli WANGQiang ZHAOZhifang JIAZuopeng LIKewei WANGYong GUO . Cu2O/Bi2CrO6 Z-scheme heterojunction: Construction and photocatalytic degradation properties for tetracycline. Chinese Journal of Inorganic Chemistry, 2025, 41(4): 741-752. doi: 10.11862/CJIC.20240403

    9. [9]

      Haoying ZHAILanzong WENWenjie LIAOQin LIWenjun ZHOUKun CAO . Metal-organic framework-derived sulfur-doped iron-cobalt tannate nanorods for efficient oxygen evolution reaction performance. Chinese Journal of Inorganic Chemistry, 2025, 41(5): 1037-1048. doi: 10.11862/CJIC.20240320

    10. [10]

      Xinnan XIEBoyu ZHANGJianxun YANGYi ZHONGYounis OsamaJianxiao YANGXinchun YANG . Ultrafine platinum clusters achieved by metal-organic framework derived cobalt nanoparticle/porous carbon: Remarkable catalytic performance in dehydrogenation of ammonia borane. Chinese Journal of Inorganic Chemistry, 2025, 41(10): 2095-2102. doi: 10.11862/CJIC.20250025

    11. [11]

      Ruiyan CHENYanping HEJian ZHANG . Synthesis and third-order nonlinear optical property of Ti4L6 cage-based metal-organic framework. Chinese Journal of Inorganic Chemistry, 2025, 41(10): 2149-2156. doi: 10.11862/CJIC.20250177

    12. [12]

      Huaihao CHENLingwen ZHANGYukun CHENJianjun ZHANG . A water-stable metal-organic framework probe for Al3+/Ga3+/In3+ detection. Chinese Journal of Inorganic Chemistry, 2025, 41(12): 2601-2608. doi: 10.11862/CJIC.20250184

    13. [13]

      Jie ZHANGXin LIUZhixin LIYuting PEIYuqi YANGHuimin LIZhiqiang LIU . Assembling a luminescence silencing system based on post-synthetic modification strategy: A highly sensitive and selective turn-on metal-organic framework probe for ascorbic acid detection. Chinese Journal of Inorganic Chemistry, 2024, 40(4): 823-833. doi: 10.11862/CJIC.20230310

    14. [14]

      Yukun CHENKexin FENGBolun ZHANGWentao SONGJianjun ZHANG . Syntheses, crystal structures, and diametrically opposed mechanically-stimulated luminescence response of two Mg(Ⅱ) metal-organic frameworks. Chinese Journal of Inorganic Chemistry, 2025, 41(6): 1227-1234. doi: 10.11862/CJIC.20240448

    15. [15]

      Weichen WANGChunhua GONGJunyong ZHANGYanfeng BIHao XUJingli XIE . Construction of two metal-organic frameworks by rigid bis(triazole) and carboxylate mixed-ligands and their catalytic properties for CO2 cycloaddition reaction. Chinese Journal of Inorganic Chemistry, 2024, 40(7): 1377-1386. doi: 10.11862/CJIC.20230415

    16. [16]

      Fugui XIDu LIZhourui YANHui WANGJunyu XIANGZhiyun DONG . Functionalized zirconium metal-organic frameworks for the removal of tetracycline from water. Chinese Journal of Inorganic Chemistry, 2025, 41(4): 683-694. doi: 10.11862/CJIC.20240291

    17. [17]

      Tian TIANMeng ZHOUJiale WEIYize LIUYifan MOYuhan YEWenzhi JIABin HE . Ru-doped Co3O4/reduced graphene oxide: Preparation and electrocatalytic oxygen evolution property. Chinese Journal of Inorganic Chemistry, 2025, 41(2): 385-394. doi: 10.11862/CJIC.20240298

    18. [18]

      Ri PENGYingxiang BAIYuxin XIEDunru ZHUcis/trans-Octahedral configuration induced topologically different MOFs: Syntheses, structures, and Hirshfeld surface analyses. Chinese Journal of Inorganic Chemistry, 2025, 41(8): 1650-1660. doi: 10.11862/CJIC.20250143

    19. [19]

      Muhammad Riaz Rakesh Kumar Gupta Di Sun Mohammad Azam Ping Cui . Selective adsorption of organic dyes and iodine by a two-dimensional cobalt(II) metal-organic framework. Chinese Journal of Structural Chemistry, 2024, 43(12): 100427-100427. doi: 10.1016/j.cjsc.2024.100427

    20. [20]

      Xifeng LuPei Su . Design and application of metal-organic frameworks derivatives as 3-electron ORR electrocatalysts for OH generation in wastewater treatment: A review. Chinese Chemical Letters, 2025, 36(11): 110909-. doi: 10.1016/j.cclet.2025.110909

Metrics
  • PDF Downloads(0)
  • Abstract views(3)
  • HTML views(0)

通讯作者: 陈斌, bchen63@163.com
  • 1. 

    沈阳化工大学材料科学与工程学院 沈阳 110142

  1. 本站搜索
  2. 百度学术搜索
  3. 万方数据库搜索
  4. CNKI搜索
Address:Zhongguancun North First Street 2,100190 Beijing, PR China Tel: +86-010-82449177-888
Powered By info@rhhz.net

/

DownLoad:  Full-Size Img  PowerPoint
Return