Citation: Huiying ZHANG, Ping LI, Weixia DONG, Zhiwen HU, Qifu BAO, Qizheng DONG, Mingmin BAI, Wenqi LI. Photocatalytic performance of spheroidal nano Bi4Ti3O12 prepared by surfactant-assisted hydrothermal reaction[J]. Chinese Journal of Inorganic Chemistry, ;2026, 42(3): 551-561. doi: 10.11862/CJIC.20250269 shu

Photocatalytic performance of spheroidal nano Bi4Ti3O12 prepared by surfactant-assisted hydrothermal reaction

  • Corresponding author: Weixia DONG, weixia_dong@sina.com
  • Received Date: 23 August 2025
    Revised Date: 11 December 2025

Figures(10)

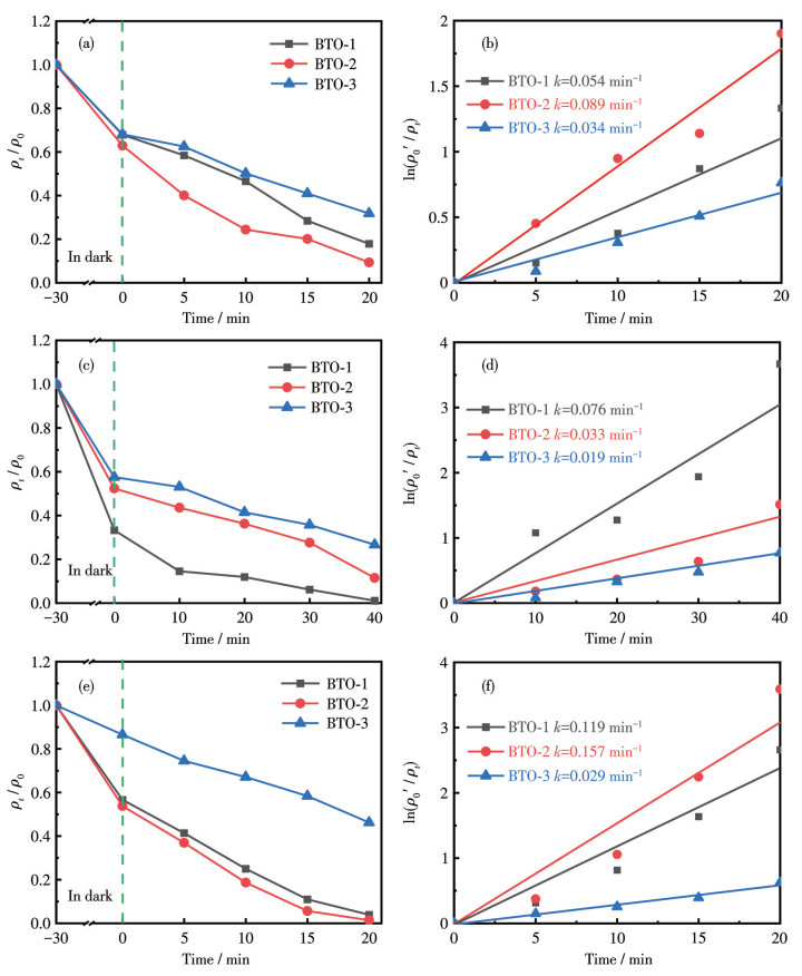
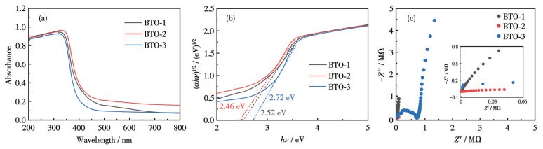
  • The spherical Bi4Ti3O12 photocatalyst formed by self-assembly of nanosheets was successfully prepared via the hydrothermal method using tetrabutyl titanate (TBOT) and bismuth nitrate pentahydrate (Bi(NO3)3·5H2O) as precursors, assisted by two surfactants, sodium dodecyl sulfate (SDS) or sodium oleate. The structure and properties of the as-prepared materials were characterized by X-ray diffraction (XRD), scanning electron microscopy (SEM), ultraviolet-visible absorption spectroscopy (UV-Vis), Fourier transform infrared spectroscopy (FTIR), and electrochemical impedance spectroscopy (EIS). The results indicated that the sample modified with surface surfactants reduced the band gap from 2.72 to 2.46 eV, thereby significantly enhancing light absorption. The photocatalytic performance of the catalysts was evaluated under UV light irradiation for the degradation of methylene blue (MB), rhodamine B (RhB), and methyl orange (MO). The Bi4Ti3O12 (BTO-1) prepared with SDS assistance exhibited the highest degradation rate of 98.9% for MB, while the Bi4Ti3O12 (BTO-2) prepared with sodium oleate assistance achieved the degradation rate of 98.5% for RhB, and kept the degradation rate of over 96% after five cyclic runs. Mechanism studies revealed that surface chemical modification effectively regulated the surface charge and hydrophobicity of the materials, leading to enhanced dye adsorption capacity. A synergistic mechanism of "surface modification-adsorption-photocatalysis" was therefore proposed.
  • 加载中
    1. [1]

      LAGHRIB F, BAKASSE M, LAHRICH S, MHAMMEDI M A E. Advanced oxidation processes: Photo-electro-Fenton remediation process for wastewater contaminated by organic azo dyes[J]. Int. J. Environ. Anal. Chem., 2021, 101(15): 2947-2962  doi: 10.1080/03067319.2020.1711892

    2. [2]

      ZHOU F, REN X H, LIU J Y, LIU P. Development of photocatalytic degradation of organic pollutants in water[J]. J. Mater. Eng., 2018, 46(10): 9-19

    3. [3]

      ZHANG P, ZHAO C C, CUI X Y, XIE B, LIU Y H, LIN H Y, ZHANG J L, CHEN Y N. Preparation and adsorption-photocatalytic performance of ZnAl@layered double oxides[J]. Chinese J. Inorg. Chem., 2024, 40(10): 1965-1974  doi: 10.11862/CJIC.20240014

    4. [4]

      QIAN M C, YANG L Y, CHEN X K, LIN K, XUE W B, LI Y J, ZHAO H H, CAO G M, GUAN X H, SHEN G X. The treatment of veterinary antibiotics in swine wastewater by biodegradation and Fenton-like oxidation[J]. Sci. Total Environ., 2020, 710: 136299  doi: 10.1016/j.scitotenv.2019.136299

    5. [5]

      HAIROM N H H, SOON C F, MOHAMED R M S R, MORSIN M, ZAINAL N, NAYAN N, ZULKIFLI C Z, HARUN N H. A review of nanotechnological applications to detect and control surface water pollution[J]. Environ. Technol. Innov., 2021, 24: 102032  doi: 10.1016/j.eti.2021.102032

    6. [6]

      WU Z H, JING J F, ZHANG K F, LI W L, YANG J, SHEN J, ZHANG S M, XU K Q, ZHANG S Y, ZHU Y F. Epitaxial BiP5O14 layer on BiOI nanosheets enhancing the photocatalytic degradation of phenol via interfacial internal-electric-field[J]. Appl. Catal. B‒Environ. Energy, 2022, 307: 121153  doi: 10.1016/j.apcatb.2022.121153

    7. [7]

      LONG X X, FENG C P, YANG S J, DING D H, FENG J P, LIU M, CHEN Y, TAN J H, PENG X J, SHI J N, CHEN R Z. Oxygen doped graphitic carbon nitride with regulatable local electron density and band structure for improved photocatalytic degradation of bisphenol A[J]. Chem. Eng. J., 2022, 435: 134835  doi: 10.1016/j.cej.2022.134835

    8. [8]

      TONG W S, ZHANG Y H, HUANG H W, XIAO K, YU S X, ZHOU Y, LIU L P, LI H T, LIU L, HUANG T, LI M, ZHANG Q, DU R F, AN Q. A highly sensitive hybridized soft piezophotocatalyst driven by gentle mechanical disturbances in water[J]. Nano Energy, 2018, 53: 513-523  doi: 10.1016/j.nanoen.2018.08.069

    9. [9]

      HE R A, XU D F, CHENG B, YU J G, HO W K. Review on nanoscale Bi-based photocatalysts[J]. Nanoscale Horiz., 2018, 3(5): 464-504  doi: 10.1039/C8NH00062J

    10. [10]

      ONG W J, TAN L L, CHAI S P, YONG S T, MOHAMED A R. Facet-dependent photocatalytic properties of TiO2-based composites for energy conversion and environmental remediation[J]. ChemSusChem, 2014, 7(3): 690-719  doi: 10.1002/cssc.201300924

    11. [11]

      SHI J L, RUBINSTEIN E A, LI W W, ZHANG J Y, YANG Y, LEE T L, QIN C D, YAN P F, DRISCOLL M M, SCANLON D O, KELVIN H L. Modulation of the Bi3+6s2 lone pair state in perovskites for high-mobility p-type oxide semiconductors[J]. Adv. Sci., 2022, 9(6): 2104141  doi: 10.1002/advs.202104141

    12. [12]

      CHENG X G, GAO T C, LI X Y, LUO G Q, CAO S W, WANG C B, GUO D Y. Enhanced visible-light photocatalytic performance of hollow Bi/Bi4Ti3O12 microspheres assembled with Bi4Ti3O12 nanosheets and Bi nanodots synthesized by hydrothermal method[J]. J. Alloy. Compd., 2025, 1010: 177483

    13. [13]

      KALLAWAR G A, BARAI D P, BHANVASE B A. Bismuth titanate based photocatalysts for degradation of persistent organic compounds in wastewater: A comprehensive review on synthesis methods, performance as photocatalyst and challenges[J]. J. Cleaner Prod., 2021, 318: 128563  doi: 10.1016/j.jclepro.2021.128563

    14. [14]

      XIE Z S, TANG X L, SHI J F, WANG Y J, YUAN G L, LIU J M. Excellent piezo-photocatalytic performance of Bi4Ti3O12 nanoplates synthesized by molten-salt method[J]. Nano Energy, 2022, 98: 107247  doi: 10.1016/j.nanoen.2022.107247

    15. [15]

      SUN S, DONG Q, CHEN Z. Macroscopic polarization enhancement boosting piezo-photocatalytic performance of Bi4Ti3O12 via La-doping[J]. Ceram. Int., 2025, 51(3): 3846-3856  doi: 10.1016/j.ceramint.2024.11.360

    16. [16]

      ZHANG Z X, LI X Y, HUANG Z X, ZHANG L M, HAN J J, ZHOU X D, GUO D Y, JU Y. Low-temperature synthesis of Bi4Ti3O12 nanocrystals by hydrothermal method[J]. J. Mater. Sci. ‒Mater. Electron., 2018, 29: 7453-7457  doi: 10.1007/s10854-018-8736-6

    17. [17]

      MENG A, XING J, GUO W L, LI Z J, WANG X M. Electrospinning synthesis of porous Bi12TiO20/Bi4Ti3O12 composite nanofibers and their photocatalytic property under simulated sunlight[J]. J. Mater. Sci., 2018, 53(20): 14328-14336  doi: 10.1007/s10853-018-2628-2

    18. [18]

      JIA P W, LI Y L, ZHENG Z S, WANG Y, LIU T. Ferroelectric polarization promotes the excellent CO2 photoreduction performance of Bi4Ti3O12 synthesized by molten salt method[J]. J. Alloy. Compd., 2022, 920: 165880  doi: 10.1016/j.jallcom.2022.165880

    19. [19]

      LIANG Q H, LIU X J, ZENG G M, LIU Z F, TANG L, SHAO B B, ZENG Z T, ZHANG W, LIU Y, CHENG M, TANG W W, GONG S X. Surfactant-assisted synthesis of photocatalysts: Mechanism, synthesis, recent advances and environmental application[J]. Chem. Eng. J., 2019, 372: 429-451  doi: 10.1016/j.cej.2019.04.168

    20. [20]

      AHMAD S, ASHRAF I, ASGHAR M A, BIBI M, IQBAL M. Surfactant-assisted synthesis of nickel sulfide as bi-functional catalyst for water splitting application[J]. Inorg. Chem. Commun., 2023, 156: 111142  doi: 10.1016/j.inoche.2023.111142

    21. [21]

      TAMAM N, AADIL M, HASSAN W, EJAZ S R, NAIM Z M, ALSAFARI I A, AMAN S, TRUKHANOV A V, BURIAHI M S A, BOUKHRIS I. Surfactant assisted synthesis of nanostructured Mn-doped CuO: An efficient photocatalyst for environmental remediation[J]. Ceram. Int., 2022, 48(20): 29589-29600  doi: 10.1016/j.ceramint.2022.06.213

    22. [22]

      RAULA M, RASHID M H, PAIRA T K, DINDA E, MANDAL T K. Ascorbate‑assisted growth of hierarchical ZnO nanostructures: Sphere, spindle, and flower and their catalytic properties[J]. Langmuir, 2010, 26(11): 8769-8782  doi: 10.1021/la904507q

    23. [23]

      LIANG Q H, LIU X J, ZENG G M, LIU Z F, TANG L, SHAO B B, ZENG Z T, ZHANG W, LIU Y, CHENG M, TANG W W, GONG S X. Surfactant-assisted synthesis of photocatalysts: Mechanism, synthesis, recent advances and environmental application[J]. Chem. Eng. J., 2019, 372: 429-451  doi: 10.1016/j.cej.2019.04.168

    24. [24]

      UPADHYAY R, SINGH S, KAUR G. Sorption of pharmaceuticals over microplastics′ surfaces: Interaction mechanisms and governing factors[J]. Environ. Monit. Assess., 2022, 194(11): 803  doi: 10.1007/s10661-022-10475-0

    25. [25]

      ABDUL AZIZ M M H, MOHAMED A, ARDYANI T, BAKAR S A, SAGISAKA M, SATO K, AHMAD M K, NURYADI R, ROGERS S E. A facile surfactant-assisted synthesis of graphene oxide/zinc oxide catalyst for the degradation of methylene blue dye[J]. Water Air Soil Pollut., 2024, 235(2): 134  doi: 10.1007/s11270-024-06930-y

    26. [26]

      RAO F, ZHU G Q, ZHANG W B, GAO J Z, ZHANG F C, HUANG Y, HOJAMBERDIEV M. In-situ generation of oxygen vacancies and metallic bismuth from (BiO)2CO3 via N2-assisted thermal-treatment for efficient selective photocatalytic NO removal[J]. Appl. Catal. B‒Environ., 2021, 281: 119481  doi: 10.1016/j.apcatb.2020.119481

    27. [27]

      GUPTA Y, ARUN P, NAUDI A A, WALZ M V, ALBANESI E A. Grain size and lattice parameter′s influence on band gap of SnS thin nano-crystalline films[J]. Thin Solid Films, 2016, 612: 310-316  doi: 10.1016/j.tsf.2016.05.056

    28. [28]

      LOTFI S, OUARDI M E, AHSAINE H A, ASSANI A. Recent progress on the synthesis, morphology and photocatalytic dye degradation of BiVO4 photocatalysts: A review[J]. Catal. Rev., 2024, 66(1): 214-258  doi: 10.1080/01614940.2022.2057044

    29. [29]

      WANG C Y. Morphology regulation of ZnO micro-/nano-structuresby anionic surfactants[D]. Shijiazhuang: Hebei Normal University, 2016: 3-21

    30. [30]

      SUN S H, WANG X, CHEN Z W, DENG B, SUN T L. Piezoelectric enhanced photocatalytic degradation of levofloxacin by La doped Bi4Ti3O12 nanosheets[J]. J. Water Process. Eng., 2014, 65: 105787

    31. [31]

      WU J R, WANG W W, TIAN Y, SONG C X, QIU H, XUE H. Piezotronic effect boosted photocatalytic performance of heterostructured BaTiO3/TiO2 nanofibers for degradation of organic pollutants[J]. Nano Energy, 2020, 77: 105122  doi: 10.1016/j.nanoen.2020.105122

    32. [32]

      ZHOU X F, SUN Q W, ZHAI D, XUE G L, LUO H, ZHANG D. Excellent catalytic performance of molten‑salt‑synthesized Bi0.5Na0.5TiO3 nanorods by the piezo-phototronic coupling effect[J]. Nano Energy, 2021, 84: 105936  doi: 10.1016/j.nanoen.2021.105936

    33. [33]

      HE Y Q, JI M W, HU Y, YANG Q H, YAN C X, CHEN Y X, CHANG S D, LI B, WANG J. Impact of ferroelectricity on the photodegradation of charged dye species: Significance of polarity match[J]. J. Mater. Chem. C, 2018, 6: 7745-7749  doi: 10.1039/C8TC01081A

    34. [34]

      LIU D M, SONG Y W, XIN Z J, LIU G X, JIN C C, SHAN F. High-piezocatalytic performance of eco-friendly (Bi1/2Na1/2)TiO3-based nanofibers by electrospinning[J]. Nano Energy, 2019, 65: 104024  doi: 10.1016/j.nanoen.2019.104024

    35. [35]

      HONG K S, XU H F, KONISHI H, LI X C. Piezoelectrochemical effect: A new mechanism for azo dye decolorization in aqueous solution through vibrating piezoelectric microfibers[J]. J. Mater. Chem. C, 2012, 116: 13045-13051

    36. [36]

      CHEN Q H, XIN Y J, ZHU X W. Au-Pd nanoparticles-decorated TiO2 nanobelts for photocatalytic degradation of antibiotic levofloxacin in aqueous solution[J]. Electrochim. Acta, 2015, 186: 34-42  doi: 10.1016/j.electacta.2015.10.095

    37. [37]

      TU S C, HUANG H W, ZHANG T R, ZHANG Y H. Controllable synthesis of multi‑responsive ferroelectric layered perovskite‑like Bi4Ti3O12: Photocatalysis and piezoelectric-catalysis and mechanism insight[J]. Appl. Catal. B‒Eniviron., 2017, 219: 550-562  doi: 10.1016/j.apcatb.2017.08.001

    38. [38]

      ZHANG N, WU R, ZHANG Y, YUE J Y, JING H T, WEI S H, OUYANG F P. CuS as bifunctional catalyst for enhancing photocatalytic degradation efficiency of Bi4Ti3O12[J]. Opt. Mater., 2023, 138: 113700  doi: 10.1016/j.optmat.2023.113700

    39. [39]

      JIANG Y, CHEN W F, MA H Y, REN H J, LIM S, LU X X, BAHMANROKH G, MOFARAH S S, WANG D Y, KOSHY P, SORRELL C C. Effect of Bi/Ti ratio on (Na0.5Bi0.5)TiO3/Bi4Ti3O12 heterojunction formation and photocatalytic performance[J]. J. Environ. Chem. Eng., 2021, 9: 106532  doi: 10.1016/j.jece.2021.106532

    40. [40]

      LIU Z D, MA Z. Promoting the photocatalytic activity of Bi4Ti3O12 microspheres by incorporating iron[J]. RSC Adv., 2020, 10: 19232-19239  doi: 10.1039/D0RA03305G

    41. [41]

      CHEN K S, HU R, FENG X R, XIE K, LI Y, GU H S. Bi4Ti3O12/TiO2 heterostructure: Synthesis, characterization and enhanced photocatalytic activity[J]. Ceram. Int., 2013, 39(8): 9109-9114  doi: 10.1016/j.ceramint.2013.05.007

    42. [42]

      SEKULIC M T, BOSKOVIC N, SLAVKOVIC A, GARUNOVIC J, KOLAKOVIC S, PAP S. Surface functionalised adsorbent for emerging pharmaceutical removal: Adsorption performance and mechanisms[J]. Process Saf. Environ. Protect., 2019, 125: 50-63  doi: 10.1016/j.psep.2019.03.007

    43. [43]

      TU S C. Study on preparation of layered perovskites Bi-based titanate and their photo/piezocatalytic properties[D]. Beijing: China University of Geosciences (Beijing), 2020: 11-37

    44. [44]

      SONG G B. Adsorption mechanisms of dyes in water on functionalized carbon nanotube composites[D]. Dalian: Dalian Maritime University, 2024: 103-115

    45. [45]

      HUAN Y Y, WANG G L, LI C Q, LI G F. Acrylic acid grafted-multi-walled carbon nanotubes and their high efficiency adsorption of methylene blue[J]. J. Mater. Sci., 2020, 55(11): 4656-4670  doi: 10.1007/s10853-019-04167-3

  • 加载中
    1. [1]

      Yuanqing WangYusong PanHongwu ZhuYanlei XiangRong HanRun HuangChao DuChengling Pan . Enhanced Catalytic Activity of Bi2WO6 for Organic Pollutants Degradation under the Synergism between Advanced Oxidative Processes and Visible Light Irradiation. Acta Physico-Chimica Sinica, 2024, 40(4): 2304050-0. doi: 10.3866/PKU.WHXB202304050

    2. [2]

      Jingping LiSuding YanJiaxi WuQiang ChengKai Wang . Improving hydrogen peroxide photosynthesis over inorganic/organic S-scheme photocatalyst with LiFePO4. Acta Physico-Chimica Sinica, 2025, 41(9): 100104-0. doi: 10.1016/j.actphy.2025.100104

    3. [3]

      Yu WangHaiyang ShiZihan ChenFeng ChenPing WangXuefei Wang . 具有富电子Ptδ壳层的空心AgPt@Pt核壳催化剂:提升光催化H2O2生成选择性与活性. Acta Physico-Chimica Sinica, 2025, 41(7): 100081-0. doi: 10.1016/j.actphy.2025.100081

    4. [4]

      Yukai Jiang Yihan Wang Yunkai Zhang Yunping Wei Ying Ma Na Du . Characterization and Phase Diagram of Surfactant Lyotropic Liquid Crystal. University Chemistry, 2024, 39(4): 114-118. doi: 10.3866/PKU.DXHX202309033

    5. [5]

      Heng ChenLonghui NieKai XuYiqiong YangCaihong Fang . Remarkable Photocatalytic H2O2 Production Efficiency over Ultrathin g-C3N4 Nanosheet with Large Surface Area and Enhanced Crystallinity by Two-Step Calcination. Acta Physico-Chimica Sinica, 2024, 40(11): 2406019-0. doi: 10.3866/PKU.WHXB202406019

    6. [6]

      Congying Lu Fei Zhong Zhenyu Yuan Shuaibing Li Jiayao Li Jiewen Liu Xianyang Hu Liqun Sun Rui Li Meijuan Hu . Experimental Improvement of Surfactant Interface Chemistry: An Integrated Design for the Fusion of Experiment and Simulation. University Chemistry, 2024, 39(3): 283-293. doi: 10.3866/PKU.DXHX202308097

    7. [7]

      Wenjie HeLin JingWendong ZhangXing'an DongYan ZouXin LiuXin LvPeng ChenJiazhen LiaoXiao ZhangRong XiaoYuechang Wei . Plasmonic metallic Bi-modified defective Bi4Ti3O12 nanosheets with upward migrating electrons for efficient photocatalytic NO removal and NO2 inhibition. Chinese Chemical Letters, 2026, 37(2): 111357-. doi: 10.1016/j.cclet.2025.111357

    8. [8]

      Kun WANGWenrui LIUPeng JIANGYuhang SONGLihua CHENZhao DENG . Hierarchical hollow structured BiOBr-Pt catalysts for photocatalytic CO2 reduction. Chinese Journal of Inorganic Chemistry, 2024, 40(7): 1270-1278. doi: 10.11862/CJIC.20240037

    9. [9]

      Linfeng XiaoWanlu RenShishi ShenMengshan ChenRunhua LiaoYingtang ZhouXibao Li . Enhancing Photocatalytic Hydrogen Evolution through Electronic Structure and Wettability Adjustment of ZnIn2S4/Bi2O3 S-Scheme Heterojunction. Acta Physico-Chimica Sinica, 2024, 40(8): 2308036-0. doi: 10.3866/PKU.WHXB202308036

    10. [10]

      Lewang YuanYaoyao PengZong-Jie GuanYu Fang . Insights into the development of 2D covalent organic frameworks as photocatalysts in organic synthesis. Acta Physico-Chimica Sinica, 2025, 41(8): 100086-0. doi: 10.1016/j.actphy.2025.100086

    11. [11]

      Guoqiang ChenZixuan ZhengWei ZhongGuohong WangXinhe Wu . Molten Intermediate Transportation-Oriented Synthesis of Amino-Rich g-C3N4 Nanosheets for Efficient Photocatalytic H2O2 Production. Acta Physico-Chimica Sinica, 2024, 40(11): 2406021-0. doi: 10.3866/PKU.WHXB202406021

    12. [12]

      Yadan LuoHao ZhengXin LiFengmin LiHua TangXilin She . Modulating reactive oxygen species in O, S co-doped C3N4 to enhance photocatalytic degradation of microplastics. Acta Physico-Chimica Sinica, 2025, 41(6): 100052-0. doi: 10.1016/j.actphy.2025.100052

    13. [13]

      Ruolin CHENGHaoran WANGJing RENYingying MAHuagen LIANG . Efficient photocatalytic CO2 cycloaddition over W18O49/NH2-UiO-66 composite catalyst. Chinese Journal of Inorganic Chemistry, 2024, 40(3): 523-532. doi: 10.11862/CJIC.20230349

    14. [14]

      Xinyu XuJiale LuBo SuJiayi ChenXiong ChenSibo Wang . Steering charge dynamics and surface reactivity for photocatalytic selective methane oxidation to ethane over Au/Ti-CeO2. Acta Physico-Chimica Sinica, 2025, 41(11): 100153-0. doi: 10.1016/j.actphy.2025.100153

    15. [15]

      Qin LiHuihui ZhangHuajun GuYuanyuan CuiRuihua GaoWei-Lin DaiIn situ Growth of Cd0.5Zn0.5S Nanorods on Ti3C2 MXene Nanosheet for Efficient Visible-Light-Driven Photocatalytic Hydrogen Evolution. Acta Physico-Chimica Sinica, 2025, 41(4): 100031-0. doi: 10.3866/PKU.WHXB202402016

    16. [16]

      Hui WangAbdelkader LabidiMenghan RenFeroz ShaikChuanyi Wang . Recent Progress of Microstructure-Regulated g-C3N4 in Photocatalytic NO Conversion: The Pivotal Roles of Adsorption/Activation Sites. Acta Physico-Chimica Sinica, 2025, 41(5): 100039-0. doi: 10.1016/j.actphy.2024.100039

    17. [17]

      Changjun YouChunchun WangMingjie CaiYanping LiuBaikang ZhuShijie Li . Improved Photo-Carrier Transfer by an Internal Electric Field in BiOBr/N-rich C3N5 3D/2D S-Scheme Heterojunction for Efficiently Photocatalytic Micropollutant Removal. Acta Physico-Chimica Sinica, 2024, 40(11): 2407014-0. doi: 10.3866/PKU.WHXB202407014

    18. [18]

      Ruolin CHENGYue WANGXiyao NIUHuagen LIANGLing LIUShijian LU . Efficient photothermal catalytic CO2 cycloaddition over W18O49/rGO composites. Chinese Journal of Inorganic Chemistry, 2025, 41(7): 1276-1284. doi: 10.11862/CJIC.20240424

    19. [19]

      Xi YANGChunxiang CHANGYingpeng XIEYang LIYuhui CHENBorao WANGLudong YIZhonghao HAN . Co-catalyst Ni3N supported Al-doped SrTiO3: Synthesis and application to hydrogen evolution from photocatalytic water splitting. Chinese Journal of Inorganic Chemistry, 2025, 41(3): 440-452. doi: 10.11862/CJIC.20240371

    20. [20]

      Wenxiu YangJinfeng ZhangQuanlong XuYun YangLijie Zhang . Bimetallic AuCu Alloy Decorated Covalent Organic Frameworks for Efficient Photocatalytic Hydrogen Production. Acta Physico-Chimica Sinica, 2024, 40(10): 2312014-0. doi: 10.3866/PKU.WHXB202312014

Metrics
  • PDF Downloads(0)
  • Abstract views(3)
  • HTML views(0)

通讯作者: 陈斌, bchen63@163.com
  • 1. 

    沈阳化工大学材料科学与工程学院 沈阳 110142

  1. 本站搜索
  2. 百度学术搜索
  3. 万方数据库搜索
  4. CNKI搜索
Address:Zhongguancun North First Street 2,100190 Beijing, PR China Tel: +86-010-82449177-888
Powered By info@rhhz.net

/

DownLoad:  Full-Size Img  PowerPoint
Return