Citation: Jing FENG, Renshu WANG, Hu WANG, Hailong LIU. Co(Ⅱ) and Ni(Ⅱ) complexes of 3,3-diphenylpropionic acid and 2,2′-dipyridylamine: Structures and biological activities[J]. Chinese Journal of Inorganic Chemistry, ;2026, 42(3): 617-631. doi: 10.11862/CJIC.20250265 shu

Co(Ⅱ) and Ni(Ⅱ) complexes of 3,3-diphenylpropionic acid and 2,2′-dipyridylamine: Structures and biological activities

  • Corresponding author: Renshu WANG, wangrenshu@lpssy.edu.cn
  • Received Date: 13 August 2025
    Revised Date: 16 November 2025

Figures(10)

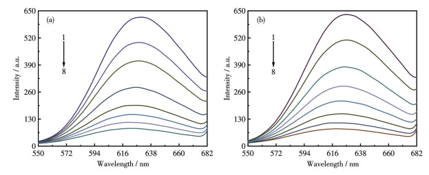
  • Two Co(Ⅱ) and Ni(Ⅱ) complexes were synthesized by synergistic coordination of 3,3-diphenylpropionic acid (HDPA) and 2,2′-bipyridylamine (PAm). The structures of complexes [Co(DPA)2(PAm)]·2H2O (1) and [Ni(DPA)2(PAm)]·2H2O (2) were determined by single-crystal X-ray diffraction, IR spectroscopy, and powder X-ray diffraction. Hirshfeld surface analysis provided quantitative insights into the intermolecular interactions within the complexes, while molecular docking studies elucidated their binding modes and affinities toward urease. Furthermore, the biological activities of both complexes were systematically evaluated through a range of assays, including DNA binding, urease inhibition, antibacterial activity, and in vitro cytotoxicity against cancer cells. Both complexes exhibited binding affinity for DNA and displayed notable urease inhibitory activity. Under in vitro conditions, both complexes showed appreciable cytotoxicity toward HepG2 cells with efficacy comparable to clinically used platinum-based anticancer agents.
  • 加载中
    1. [1]

      PAKULA R J, BERRY J F. Cobalt complexes of the chelating dicarboxylate ligand "esp": A paddlewheel-type dimer and a heptanuclear coordination cluster[J]. Dalton Trans., 2018, 47(39): 13887-13893  doi: 10.1039/C8DT03030H

    2. [2]

      BIÇER F A, ARICI M, YEŞILEL O Z. Syntheses, characterization of three new cobalt(Ⅱ) complexes with 2-phenylsuccinic acid and flexible bis(imidazole) linkers[J]. J. Mol. Struct., 2023, 1284: 135444  doi: 10.1016/j.molstruc.2023.135444

    3. [3]

      YEŞILEL O Z, GÜLER U, ÇIFTÇI E, ARICI M. A series of coordination polymers constructed by 2-phenylsuccinic acid and flexible bis(imidazole) ligands: Syntheses, structures, and photoluminescent properties[J]. J. Mol. Struct., 2022, 1262: 132991  doi: 10.1016/j.molstruc.2022.132991

    4. [4]

      HO P H, HUNG C C, WANG Y H, CHUANG G J. Intermolecular nitrene insertion by bimetallic catalysts[J]. Asian J. Org. Chem., 2019, 8(2): 275-278  doi: 10.1002/ajoc.201800641

    5. [5]

      PAKULA R J, MARTINEZ A M, NOTEN E A, HARRIS C F, BERRY J F. New chromium, molybdenum, and cobalt complexes of the chelating esp ligand[J]. Polyhedron, 2019, 161: 93-103  doi: 10.1016/j.poly.2018.12.045

    6. [6]

      SKIPPER H E, MAY C V, RHEINGOLD A L, DOERRER L H, KAMENETSKA M. Hard-soft chemistry design principles for predictive assembly of single molecule-metal junctions[J]. J. Am. Chem. Soc., 2021, 143(40): 16439-16447  doi: 10.1021/jacs.1c05142

    7. [7]

      ZAVAKHINA M S, SAMSONENKO D G, DYBTSEV D N, FEDIN V P. Rigid 1D coordination polymers with tunable metal cation and chiral pendant moieties[J]. Z. Anorg. Allg. Chem., 2015, 641(3/4): 590-595

    8. [8]

      FERNÁNDEZ C Y, ALVAREZ N, ROCHA A, MENDES L F S, COSTA-FILHO A J, ELLENA J, BATISTA A A, FACCHIN G. Phenanthroline and phenyl carboxylate mixed ligand copper complexes in developing drugs to treat cancer[J]. J. Inorg. Biochem., 2024, 260: 112700  doi: 10.1016/j.jinorgbio.2024.112700

    9. [9]

      ARUN P P, PATEL R R, SINGH S K, PARMAR K, SINGH M. Exploring metal complexes for cancer treatment: Mechanistic insights and therapeutic potential[J]. J. Organomet. Chem., 2025, 1035: 123682  doi: 10.1016/j.jorganchem.2025.123682

    10. [10]

      HAMER H M, JONKERS D, VENEMA K, VANHOUTVIN S, TROOST F J, BRUMMER R J. Review article: The role of butyrate on colonic function[J]. Aliment. Pharmacol. Ther., 2008, 27(2): 104-119  doi: 10.1111/j.1365-2036.2007.03562.x

    11. [11]

      PAUTOVA A K, BURNAKOVA N A, BELOBORODOVA N V, REVELSKY A I. Simultaneous determination of aromatic, short-chain fatty and dicarboxylic acids in blood serum and cerebrospinal fluid by gas chromatography-mass spectrometry[J]. J. Anal. Chem., 2023, 78(14): 1942-1954  doi: 10.1134/S1061934823140058

    12. [12]

      HAYS K E, PFAFFINGER J M, RYZNAR R. The interplay between gut microbiota, short-chain fatty acids, and implications for host health and disease[J]. Gut Microbes, 2024, 16(1): 2393270  doi: 10.1080/19490976.2024.2393270

    13. [13]

      AL-LAHHAM S H, PEPPELENBOSCH M P, ROELOFSEN H, VONK R J, VENEMA K. Biological effects of propionic acid in humans; metabolism, potential applications and underlying mechanisms[J]. Biochim. Biophys. Acta Mol. Cell Biol. Lipids, 2010, 1801(11): 1175-1183

    14. [14]

      COLLADO M S, ARMSTRONG A J, OLSON M, HOANG S A, DAY N, SUMMAR M, CHAPMAN K A, REARDON J, FIGLER R A, WAMHOFF B R. Biochemical and anaplerotic applications of in vitro models of propionic acidemia and methylmalonic acidemia using patient-derived primary hepatocytes[J]. Mol. Genet. Metab., 2020, 130(3): 183-196  doi: 10.1016/j.ymgme.2020.05.003

    15. [15]

      YANG Y L, LIU C M, ZHAO W Y, MAZARJI M, REN L H, LIU C, PAN J T, YAN B H. Anaerobic propionic acid production via succinate pathway at extremely low pH[J]. Chem. Eng. J., 2024, 486: 150190  doi: 10.1016/j.cej.2024.150190

    16. [16]

      LOREFICE L, ZOLEDZIEWSKA M. Propionic acid impact on multiple sclerosis: Evidence and challenges[J]. Nutrients, 2024, 16(22): 3887  doi: 10.3390/nu16223887

    17. [17]

      WANG Y N, LI M J, GUO J Y, KANG S G, HUANG K L, TONG T. Olfr78, a novel short-chain fatty acid receptor, regulates glucose homeostasis and gut GLP-1 secretion in mice[J]. Food Frontiers, 2023, 4(4): 1893-1912  doi: 10.1002/fft2.301

    18. [18]

      FOLEY K A, MACFABE D F, VAZ A, OSSENKOPP K P, KAVALIERS M. Sexually dimorphic effects of prenatal exposure to propionic acid and lipopolysaccharide on social behavior in neonatal, adolescent, and adult rats: Implications for autism spectrum disorders[J]. Int. J. Dev. Neurosci., 2014, 39(1): 68-78  doi: 10.1016/j.ijdevneu.2014.04.001

    19. [19]

      RETA G F, TONN C E, RÍOS-LUCI C, LEÓN L G, PÉREZ-ROTH E, PADRÓN J M, DONADEL O J. Cytotoxic bioactivity of some phenylpropanoic acid derivatives[J]. Nat. Prod. Commun., 2012, 7(10): 1341-1346

    20. [20]

      KINRA M, JOSEPH A, NAMPOOTHIRI M, ARORA D, MUDGAL J. Inhibition of NLRP3-inflammasome mediated IL-1β release by phenylpropanoic acid derivatives: In-silico and in-vitro approach[J]. Eur. J. Pharm. Sci., 2021, 157: 105637  doi: 10.1016/j.ejps.2020.105637

    21. [21]

      AYYADURAI G K, JAYAPRAKASH R, SHAJAHAN A, RATHIKA S. Studies on 2-((2, 4-dihydroxybenzylidene) amino)-3-phenylpropanoic acid include antimicrobial, antidiabetic, antioxidant, anticancer, hemolysis, and theoretical QSAR[J]. J. Biomol. Struct. Dyn., 2025, 43(6): 2864-2876  doi: 10.1080/07391102.2023.2294383

    22. [22]

      GENÇER H K, ÇEVIK U A, KAYA ÇAVUŞOĞLU B K, SAĞLIK B N, LEVENT S, ATLI Ö, ILGIN S, ÖZKAY Y, KAPLANCIKLI Z A. Design, synthesis, and evaluation of novel 2-phenylpropionic acid derivatives as dual COX inhibitory-antibacterial agents[J]. J. Enzym. Inhib. Med. Chem., 2017, 32(1): 732-745  doi: 10.1080/14756366.2017.1310726

    23. [23]

      YEHIA R S, OSMAN G H, ASSAGGAF H, SALEM R, MOHAMED M S M. Isolation of potential antimicrobial metabolites from endophytic fungus Cladosporium cladosporioides from endemic plant Zygophyllum mandavillei[J]. S. Afr. J. Bot., 2020, 134: 296-302  doi: 10.1016/j.sajb.2020.02.033

    24. [24]

      URBANI P, RAMUNNO A, FILOSA R, PINTO A, POPOLO A, BIANCHINO E, PIOTTO S, SATURNINO C, DE PRISCO R, NICOLAUS B, TOMMONARO G. Antioxidant activity of diphenylpropionamide derivatives: Synthesis, biological evaluation and computational analysis[J]. Molecules, 2008, 13(4): 749-761  doi: 10.3390/molecules13040749

    25. [25]

      SWANNER E D, PLANAVSKY N J, LALONDE S V, ROBBINS L J, BEKKER A, ROUXEL O J, SAITO M A, KAPPLER A, MOJZSIS S J, KONHAUSER K O. Cobalt and marine redox evolution[J]. Earth Planet. Sci. Lett., 2014, 390: 253-263  doi: 10.1016/j.epsl.2014.01.001

    26. [26]

      DING J, WEI Z M, LI F H, ZHANG J C, ZHANG Q, ZHOU J, WANG W J, LIU Y H, ZHANG Z, SU X Z, YANG R Z, LIU W, SU C L, YANG H B, HUANG Y Q, ZHAI Y M, LIU B. Atomic high-spin cobalt(Ⅱ) center for highly selective electrochemical CO reduction to CH3OH[J]. Nat. Commun., 2023, 14(1): 6550  doi: 10.1038/s41467-023-42307-1

    27. [27]

      LEONARD S, M. GANNETT P, ROJANASAKUL Y, SCHWEGLER-BERRY D, CASTRANOVA V, VALLYATHAN V, SHI X L. Cobalt-mediated generation of reactive oxygen species and its possible mechanism[J]. J. Inorg. Biochem., 1998, 70(3/4): 239-244

    28. [28]

      MANIKANDAN R, VISWANATHAMURTHI P, VELMURUGAN K, NANDHAKUMAR R, HASHIMOTO T, ENDO A. Synthesis, characterization and crystal structure of cobalt􀃮 complexes containing 2-acetylpyridine thiosemicarbazones: DNA/protein interaction, radical scavenging and cytotoxic activities[J]. J. Photochem. Photobiol. B‒Biol., 2014, 130: 205-216  doi: 10.1016/j.jphotobiol.2013.11.008

    29. [29]

      BANERJEE R, GHERASIM C, PADOVANI D. The tinker, tailor, soldier in intracellular B12 trafficking[J]. Curr. Opin. Chem. Biol., 2009, 13(4): 484-491  doi: 10.1016/j.cbpa.2009.07.007

    30. [30]

      GIEDYK M, GOLISZEWSKA K, GRYKO D. Vitamin B12 catalysed reactions[J]. Chem. Soc. Rev., 2015, 44(11): 3391-3404  doi: 10.1039/C5CS00165J

    31. [31]

      GRUBER K, PUFFER B, KRÄUTLER B. Vitamin B12-derivatives—Enzyme cofactors and ligands of proteins and nucleic acids[J]. Chem. Soc. Rev., 2011, 40(8): 4346-4363  doi: 10.1039/c1cs15118e

    32. [32]

      GREGOROWICZ W, PAJCHEL L. The role of cobalt ions in angiogenesis—A review[J]. Int. J. Mol. Sci., 2025, 26(15): 7236  doi: 10.3390/ijms26157236

    33. [33]

      BOER J L, MULROONEY S B, HAUSINGER R P. Nickel-dependent metalloenzymes[J]. Arch. Biochem. Biophys., 2014, 544: 142-152  doi: 10.1016/j.abb.2013.09.002

    34. [34]

      RAGSDALE S W. Nickel-based enzyme systems[J]. J. Biol. Chem., 2009, 284(28): 18571-18575  doi: 10.1074/jbc.R900020200

    35. [35]

      LIU Y C, LUO X M, PENG Y D, CAI L. Cardio-metabolic effects of nickel: A narrative review[J]. Cardiovasc. Toxicol., 2025, 25(7): 944-954  doi: 10.1007/s12012-025-10014-6

    36. [36]

      ZAMBELLI B, UVERSKY V N, CIURLI S. Nickel impact on human health: An intrinsic disorder perspective[J]. BBA‒Proteins Proteomics, 2016, 1864(12): 1714-1731  doi: 10.1016/j.bbapap.2016.09.008

    37. [37]

      SRIVASTAVA A K, SNAPPER D M, ZHENG J W, YILDRIM B S, SRIVASTAVA S, WOOD S C. Examining the role of nickel and NiTi nanoparticles promoting inflammation and angiogenesis[J]. J. Immunotoxicol., 2022, 19(1): 61-73  doi: 10.1080/1547691X.2022.2080307

    38. [38]

      YANG J F, FENG P Y, LING Z M, KHAN A, WANG X, CHEN Y L, ALI G, FANG Y T, SALAMA E S, WANG X M, LIU P, LI X K. Nickel exposure induces gut microbiome disorder and serum uric acid elevation[J]. Environ. Pollut., 2023, 324: 121349  doi: 10.1016/j.envpol.2023.121349

    39. [39]

      MARET W. Metalloproteomics, metalloproteomes, and the annotation of metalloproteins[J]. Metallomics, 2010, 2(2): 117-125  doi: 10.1039/B915804A

    40. [40]

      ZHANG L, JIANG C, GUO L F, ZHANG X L, LIN X Q, KANG J, SUN W M. Synthesis, characterization, antitumor activity, and theoretical calculations of Co(Ⅱ) complex based on pyridine-2, 6-dicarboxylic acid[J]. Chinese J. Inorg. Chem., 2021, 37(2): 368-374

    41. [41]

      LOUBALOVÁ I, KOPEL P. Coordination compounds of Cu, Zn, and Ni with dicarboxylic acids and N donor ligands, and their biological activity: A review[J]. Molecules, 2023, 28(3): 1445  doi: 10.3390/molecules28031445

    42. [42]

      RUTA L L, FARCASANU I C, BACALUM M, RĂILEANU M, ROSTAS A M, DANILIUC C, CHIFIRIUC M C, MĂRUȚESCU L, POPA M, BADEA M, IORGULESCU E E, OLAR R. Biological activity of triazolopyrimidine copper(Ⅱ) complexes modulated by an auxiliary N-N-chelating heterocycle ligands[J]. Molecules, 2021, 26(22): 6772  doi: 10.3390/molecules26226772

    43. [43]

      TAO Q, WU J, GE C, WANG M M, LÜ M D, XUE X L, LIU H K. Synthesis, characterization, fluorescence and interactions with DNA/BSA properties of ruthenium ferulate complexes[J]. Chinese J. Inorg. Chem., 2020, 36(10): 1853-1864

    44. [44]

      JAHANI S, KHORASANI-MOTLAGH M, NOROOZIFAR M. DNA interaction of europium􀃮 complex containing 2,2′-bipyridine and its antimicrobial activity[J]. J. Biomol. Struct. Dyn., 2016, 34(3): 612-624  doi: 10.1080/07391102.2015.1048481

    45. [45]

      PERONTSIS S, DIMITRIOU A, FOTIADOU P, HATZIDIMITRIOU A G, PAPADOPOULOS A N, PSOMAS G. Cobalt(Ⅱ) complexes with the non-steroidal anti-inflammatory drug diclofenac and nitrogen-donor ligands[J]. J. Inorg. Biochem., 2019, 196: 110688  doi: 10.1016/j.jinorgbio.2019.04.002

    46. [46]

      DU L Q, CHEN Z X, WEI Q C, CHEN Z L, YANG Y. Chlorquinaldol-zinc(Ⅱ)-bipyridine complexes: Design, synthesis, structure and anticancer evaluation[J]. Inorg. Chem. Commun., 2023, 156: 111238  doi: 10.1016/j.inoche.2023.111238

    47. [47]

      MESSINA M A, MAUGERI L, FORTE G, RUGGIERI M, PETRALIA S. A highly sensitive colorimetric approach based on tris (bipyridine) ruthenium (Ⅱ/Ⅲ) mediator for the enzymatic detection of phenylalanine[J]. Front. Chem., 2023, 11: 1164014  doi: 10.3389/fchem.2023.1164014

    48. [48]

      CHEN Z Q, ZHANG X B, PENG C, WANG J A, XU Z J, CHEN K X, SHI J Y, ZHU W L. D3Pockets: A method and web server for systematic analysis of protein pocket dynamics[J]. J. Chem. Inf. Model., 2019, 59(8): 3353-3358  doi: 10.1021/acs.jcim.9b00332

    49. [49]

      CHEN T, LIAO X, GAO L E. Hydrogen bonding and Hirshfeld surface analysis of gallic acid and its monohydrate based on terahertz spectroscopy[J]. Chem. Phys., 2024, 578: 112159  doi: 10.1016/j.chemphys.2023.112159

    50. [50]

      YUAN H, XUE B, YANG D Y, RENCUS-LAZAR S, CAO Y, GAZIT E, TAN D, YANG R S. Rational design of biological crystals with enhanced physical properties by hydrogen bonding interactions[J]. Research, 2023, 6: 0046  doi: 10.34133/research.0046

    51. [51]

      PHAN C Y, SHEN J, YU K X, LIU J Y, TANG G P. Hydrogen bonds, topologies, energy frameworks and solubilities of five sorafenib salts[J]. Int. J. Mol. Sci., 2021, 22(13): 6682  doi: 10.3390/ijms22136682

    52. [52]

      SARANYA K, MUHILDHARANI E, RAJA C R. Growth, structural confirmation and the effect of hydrogen bond on the third-order nonlinear optical properties of diisopropylammonium 4-aminobenzenesulfonate crystal[J]. J. Mater. Sci. ‒Mater. Electron., 2023, 34(7): 661  doi: 10.1007/s10854-023-10088-4

    53. [53]

      PRAJAPATI P, PANDEY J, TANDON P, SINHA K, SHIMPI M R. Molecular structural, hydrogen bonding interactions, and chemical reactivity studies of ezetimibe-L-proline cocrystal using spectroscopic and quantum chemical approach[J]. Front. Chem., 2022, 10: 848014  doi: 10.3389/fchem.2022.848014

    54. [54]

      LI C J, LI R Y, CHU Z T, LIU H T, LU J, WANG S N, LI Y W. Synthesis, structure and proton conduction of a crystalline Ni(Ⅱ)-MOF with continuous hydrogen bonds[J]. Chinese J. Inorg. Chem., 2021, 37(4): 645-652

    55. [55]

      PUNIYA R R, TAKHAR P, CHHAPOLIYA M, DEKA R, KALITA D J, SINGH D. Development of photoluminescent hydrogen-bonded frameworks based on pyromellitic diimide-tethered carboxylic acid hosts and multi-bonding solvent guests[J]. Mater. Adv., 2024, 5(19): 7817-7829  doi: 10.1039/D4MA00634H

    56. [56]

      MAHAPATRA A D, SHAIK A, THIRUVENKATAM V, DATTA B. Supramolecular architecture in sulfonylurea, sulfonyldiurea and sulfonyltriurea drugs: Synthesis, X-ray structure and Hirshfeld surface analysis[J]. J. Mol. Struct., 2021, 1233: 130158  doi: 10.1016/j.molstruc.2021.130158

    57. [57]

      LEÓN A C D, ECHEVERRÍA G A, PIRO O E, ULIC S E, JIOS J L, TAPIA L C A, GUZMÁN M M F. New thiourea and urea derivatives containing trifluoromethyl- and bis-triflouromethyl-4H-chromen-3-yl substituents[J]. Mol. Phys., 2019, 117(3): 368-381  doi: 10.1080/00268976.2018.1514132

    58. [58]

      FEIJOO M G, FERNÁNDEZ-LIENCRES M P, GIL D M, GÓMEZ M I, ALTABEF A B, NAVARRO A, TUTTOLOMONDO M E. A detailed study of intermolecular interactions, electronic and vibrational properties of the metal complex bis(uracilato)diammine copper(Ⅱ) dihydrate[J]. J. Mol. Struct., 2018, 1155: 424-433  doi: 10.1016/j.molstruc.2017.11.030

    59. [59]

      WEI Q, DONG J F, LI W B, ZHAO P R, DING F F, LI L Z. Syntheses, crystal structures, DNA interactions and SOD activities of two nickel(Ⅱ) complexes with L-histidine Schiff base[J]. Chinese J. Inorg. Chem., 2016, 32(05): 789-798

    60. [60]

      FERNÁNDEZ C Y, ROCHA A, AZAM M, ALVAREZ N, MIN K, BATISTA A A, COSTA-FILHO A J, ELLENA J, FACCHIN G. Synthesis, characterization, DNA binding and cytotoxicity of copper(Ⅱ) phenylcarboxylate complexes[J]. Inorganics, 2023, 11(10): 398  doi: 10.3390/inorganics11100398

    61. [61]

      ALEM M B, DAMENA T, DESALEGN T, KOOBOTSE M, ESWARAMOORTHY R, NGWIRA K J, OMBITO J O, ZACHARIAH M, DEMISSIE T B. Cytotoxic mixed-ligand complexes of Cu(Ⅱ): A combined experimental and computational study[J]. Front. Chem., 2022, 10: 1028957  doi: 10.3389/fchem.2022.1028957

    62. [62]

      PEÑA Q, SCIORTINO G, MARÉCHAL J D, BERTAINA S, SIMAAN A J, LORENZO J, CAPDEVILA M, BAYÓN P, IRANZO O, PALACIOS Ò. Copper(Ⅱ) N, N, O-chelating complexes as potential anticancer agents[J]. Inorg. Chem., 2021, 60(5): 2939-2952  doi: 10.1021/acs.inorgchem.0c02932

  • 加载中
    1. [1]

      Yingyue ZHANGLiuqing KANGYating YANGXiaofen GUANWenmin WANG . Crystal structure and antibacterial activity of two Gd2 complexes based on polydentate Schiff-base ligands. Chinese Journal of Inorganic Chemistry, 2025, 41(9): 1867-1877. doi: 10.11862/CJIC.20250100

    2. [2]

      Jia JIZhaoyang GUOWenni LEIJiawei ZHENGHaorong QINJiahong YANYinling HOUXiaoyan XINWenmin WANG . Two dinuclear Gd(Ⅲ)-based complexes constructed by a multidentate diacylhydrazone ligand: Crystal structure, magnetocaloric effect, and biological activity. Chinese Journal of Inorganic Chemistry, 2025, 41(4): 761-772. doi: 10.11862/CJIC.20240344

    3. [3]

      Xinzhe ZHANGJiarong XUMochou GAOYage LIUYanbao ZHAOJingzeng CUIXueyan ZOU . Silver chloride/chitosan-based chloramine nanohybrid with excellent antibacterial activity: Design and structure characterization as well as Ag+-Cl- synergistic antibacterial effect. Chinese Journal of Inorganic Chemistry, 2026, 42(2): 428-438. doi: 10.11862/CJIC.20250123

    4. [4]

      Jiarong ZHUXiaohua ZHANGXinting XIONGXuliang NIEXiuying SONGMiaomiao ZHANGDayong PENGXiuguang YI . Crystal structure, Hirshfeld surface analysis, and antifungal activity of five complexes based on 2,5-bis(carboxymethoxy)terephthalic acid. Chinese Journal of Inorganic Chemistry, 2025, 41(11): 2358-2370. doi: 10.11862/CJIC.20250150

    5. [5]

      Peipei CUIYawen ZHENGPan LIPeiyan GUANZhaohong QIAN . Praseodymium-organic framework with 4, 4′-oxybis(benzoic acid): Rare broken layer structure, antibacterial activity, and sensing for Cd2+ ions. Chinese Journal of Inorganic Chemistry, 2025, 41(8): 1641-1649. doi: 10.11862/CJIC.20250152

    6. [6]

      Zihe SONGJinjin ZHAONing RENJianjun ZHANG . Crystal structure, thermal analysis, and luminescence properties of six heterocyclic lanthanide complexes. Chinese Journal of Inorganic Chemistry, 2026, 42(1): 181-192. doi: 10.11862/CJIC.20250126

    7. [7]

      Jing JINZhuming GUOZhiyin XIAOXiujuan JIANGYi HEXiaoming LIU . Tuning the stability and cytotoxicity of fac-[Fe(CO)3I3]- anion by its counter ions: From aminiums to inorganic cations. Chinese Journal of Inorganic Chemistry, 2024, 40(5): 991-1004. doi: 10.11862/CJIC.20230458

    8. [8]

      Yao HUANGYingshu WUZhichun BAOYue HUANGShangfeng TANGRuixue LIUYancheng LIUHong LIANG . Copper complexes of anthrahydrazone bearing pyridyl side chain: Synthesis, crystal structure, anticancer activity, and DNA binding. Chinese Journal of Inorganic Chemistry, 2025, 41(1): 213-224. doi: 10.11862/CJIC.20240359

    9. [9]

      Chao LIUJiang WUZhaolei JIN . Synthesis, crystal structures, and antibacterial activities of two zinc(Ⅱ) complexes bearing 5-phenyl-1H-pyrazole group. Chinese Journal of Inorganic Chemistry, 2024, 40(10): 1986-1994. doi: 10.11862/CJIC.20240153

    10. [10]

      Kaimin WANGXiong GUNa DENGHongmei YUYanqin YEYulu MA . Synthesis, structure, fluorescence properties, and Hirshfeld surface analysis of three Zn(Ⅱ)/Cu(Ⅱ) complexes based on 5-(dimethylamino) isophthalic acid. Chinese Journal of Inorganic Chemistry, 2024, 40(7): 1397-1408. doi: 10.11862/CJIC.20240009

    11. [11]

      Chengyu JIANGXufeng LIU . Synthesis, structural characterization, electrocatalytic proton reduction, and fungicidal activity of thiazole-containing di-iron complexes. Chinese Journal of Inorganic Chemistry, 2026, 42(2): 355-364. doi: 10.11862/CJIC.20250253

    12. [12]

      Lu LIUHuijie WANGHaitong WANGYing LI . Crystal structure of a two-dimensional Cd(Ⅱ) complex and its fluorescence recognition of p-nitrophenol, tetracycline, 2, 6-dichloro-4-nitroaniline. Chinese Journal of Inorganic Chemistry, 2024, 40(6): 1180-1188. doi: 10.11862/CJIC.20230489

    13. [13]

      Lulu DONGJie LIUHua YANGYupei FUHongli LIUXiaoli CHENHuali CUILin LIUJijiang WANG . Synthesis, crystal structure, and fluorescence properties of Cd-based complex with pcu topology. Chinese Journal of Inorganic Chemistry, 2025, 41(4): 809-820. doi: 10.11862/CJIC.20240171

    14. [14]

      Xiumei LIYanju HUANGBo LIUYaru PAN . Syntheses, crystal structures, and quantum chemistry calculation of two Ni(Ⅱ) coordination polymers. Chinese Journal of Inorganic Chemistry, 2024, 40(10): 2031-2039. doi: 10.11862/CJIC.20240109

    15. [15]

      Xiumei LILinlin LIBo LIUYaru PAN . Syntheses, crystal structures, and characterizations of two cadmium(Ⅱ) coordination polymers. Chinese Journal of Inorganic Chemistry, 2025, 41(3): 613-623. doi: 10.11862/CJIC.20240273

    16. [16]

      Yukun CHENKexin FENGBolun ZHANGWentao SONGJianjun ZHANG . Syntheses, crystal structures, and diametrically opposed mechanically-stimulated luminescence response of two Mg(Ⅱ) metal-organic frameworks. Chinese Journal of Inorganic Chemistry, 2025, 41(6): 1227-1234. doi: 10.11862/CJIC.20240448

    17. [17]

      Yinxia SUNLiping LIUXue BAIYu SUNWanhong SUNZhepeng DENGJianghai CHENJianjun WANGLi XUShuzhen ZHANG . Synthesis and crystal structures of Co(Ⅱ)/Cu(Ⅱ) coordination polymers based on solvent and ligand concentration regulation strategy. Chinese Journal of Inorganic Chemistry, 2026, 42(2): 340-354. doi: 10.11862/CJIC.20250226

    18. [18]

      Xiaoxia WANGYa'nan GUOFeng SUChun HANLong SUN . Synthesis, structure, and electrocatalytic oxygen reduction reaction properties of metal antimony-based chalcogenide clusters. Chinese Journal of Inorganic Chemistry, 2024, 40(6): 1201-1208. doi: 10.11862/CJIC.20230478

    19. [19]

      Xiaoling WANGHongwu ZHANGDaofu LIU . Synthesis, structure, and magnetic property of a cobalt(Ⅱ) complex based on pyridyl-substituted imino nitroxide radical. Chinese Journal of Inorganic Chemistry, 2025, 41(2): 407-412. doi: 10.11862/CJIC.20240214

    20. [20]

      Yan XUSuzhi LIYan LILushun FENGWentao SUNXinxing LI . Structure variation of cadmium naphthalene-diphosphonates with the changing rigidity of N-donor auxiliary ligands. Chinese Journal of Inorganic Chemistry, 2025, 41(2): 395-406. doi: 10.11862/CJIC.20240226

Metrics
  • PDF Downloads(0)
  • Abstract views(3)
  • HTML views(0)

通讯作者: 陈斌, bchen63@163.com
  • 1. 

    沈阳化工大学材料科学与工程学院 沈阳 110142

  1. 本站搜索
  2. 百度学术搜索
  3. 万方数据库搜索
  4. CNKI搜索
Address:Zhongguancun North First Street 2,100190 Beijing, PR China Tel: +86-010-82449177-888
Powered By info@rhhz.net

/

DownLoad:  Full-Size Img  PowerPoint
Return