Citation: Lifang HE, Yaoze LUO, Qiying SHI, Jianxin TANG, Fuxing ZHANG, Xiaoming ZHU. Synthesis, structure, and properties of hydrated tricyclohexyltin theophylline-7-acetic acid complex[J]. Chinese Journal of Inorganic Chemistry, ;2026, 42(3): 632-640. doi: 10.11862/CJIC.20250244 shu

Synthesis, structure, and properties of hydrated tricyclohexyltin theophylline-7-acetic acid complex

  • Corresponding author: Fuxing ZHANG, zfx8056@163.com
  • Received Date: 29 July 2025
    Revised Date: 14 December 2025

Figures(6)

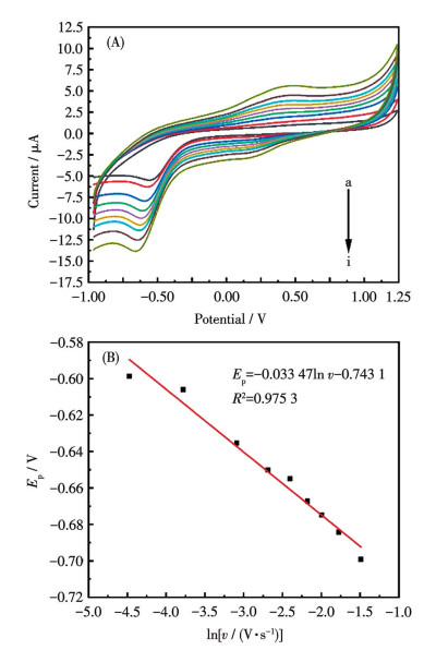
  • The hydrated tricyclohexyltin theophylline-7-acetic acid (tpH) complex [Sn(C6H11)3(tp)(H2O)] was synthesized via an ethanol solvothermal method using tricyclohexyltin hydroxide and tpH in a 1∶1 molar ratio. The complex was characterized by IR, 1H (13C) NMR, elemental analysis, and powder X-ray diffraction, and the crystal structure was determined by single-crystal X-ray diffraction. The crystal belongs to the orthorhombic system with space group Iba2, and the central tin atom is in a five-coordinated trigonal bipyramidal configuration. Quantum chemistry ab initio calculations were performed to investigate the stability, molecular orbital energy, and frontier molecular orbital characteristics of the complex. Additionally, its thermal stability, electrochemical properties, and in vitro anticancer activity were evaluated.
  • 加载中
    1. [1]

      YADAV V K, NATH M. Diorganotin (Ⅳ) derivatives of quinoline-2-carboxaldehyde 4-phenylthio-semicarbazone: Synthesis, spectroscopic characterization, the crystal structure of [Bu2Sn(QCP)Cl], DFT studies, CT-DNA binding, and plasmid-DNA cleavage studies[J]. J. Mol. Struct., 2025, 1319: 139594  doi: 10.1016/j.molstruc.2024.139594

    2. [2]

      PANDEY P, WALAWALKAR M G, MURUGAVEL R. Luminescent 8-hydroxyquinoline derived tin(Ⅳ) complexes[J]. J. Org. Chem., 2024, 1007: 123023  doi: 10.1016/j.jorganchem.2024.123023

    3. [3]

      TAN Y X, QIN Q Q, LI A D, FU W W, JIANG W J. Synthesis, characterization, and biological activity of six di-p-chlorobenzyltin complexes derived from ONO tridentate ligands[J]. J. Org. Chem., 2023, 1002: 122905  doi: 10.1016/j.jorganchem.2023.122905

    4. [4]

      PARVEEN B, SHAHZADI S, ALI S, FEIZI-DEHNAYEBI M, MUNAWAR K S, ASHFAQ M, TAHIR M N. Synthesis, spectral characterizations, computational studies and biological investigation of 4-(4-(2-hydroxyethyl)phenylamino)-4-oxobutanoic acid and its trimethyltin(Ⅳ) complex[J]. J. Mol. Struct., 2024, 1315: 138851  doi: 10.1016/j.molstruc.2024.138851

    5. [5]

      SU H Q, ZHANG R F, GUO Q, WANG J, LI Q L, DU X M, RU J, ZHANG Q F, MA C L. Five organotin complexes derived from hydroxycinnamic acid ligands: Synthesis, structure, in vitro cytostatic activity and binding interaction with BSA[J]. J. Mol. Struct., 2022, 247: 131290-131301

    6. [6]

      RUAN B F, TIAN Y P, ZHOU H P, WU J Y, HU R T, ZHU C H, YANG J X, ZHU H. Synthesis, characterization and in vitro antitumor activity of three organotin(Ⅳ) complexes with carbazole ligand[J]. Inorg. Chim. Acta, 2011, 365(1): 302-308  doi: 10.1016/j.ica.2010.09.024

    7. [7]

      FENG Y L, KUANG D Z, ZHANG F X, YU J X, JIANG W J, ZHU X M. Two di-n-butyltin carboxylates with a Sn4O4ladder-like framework: Microwave solvothermal syntheses, structures and in vitro antitumor activities[J]. Chinese J. Inorg. Chem., 2017, 33(5): 830-836

    8. [8]

      KUANG D Z, YU J X, FENG Y L, ZHU X M, JIANG W J, ZHANG F X. Syntheses, structures and in vitro antitumor activity of bis(tricyclohexyltin) pyridinedicarboxylate with macrocyclic supramolecular structure[J]. Chinese J. Inorg. Chem., 2018, 34(6): 1035-1042

    9. [9]

      JIANG W J, FAN S J, ZHU Z H, HUANG H F, TAN Y X, ENG Y Y. Design, synthesis and mechanistic studies of novel arylformylhydrazone butylphenyltin complexes as potential anticancer agents[J]. Bioorg. Chem., 2024, 149: 107502  doi: 10.1016/j.bioorg.2024.107502

    10. [10]

      TAN Y X, ZHANG Z J, LIU J Z, TAN Y J, JIANG W J. Syntheses, crystal structures, and anticancer activities of organotin carboxylates based on Alrestatin[J]. J. Mol. Struct., 2025, 1322: 140697  doi: 10.1016/j.molstruc.2024.140697

    11. [11]

      QING Q Q, HE F, LIU Z H, HOU S P, LIU Y, JIANG Y F, TAN M T, HE L F, ZHANG F X, ZHU X M. Synthesis, structure, and anticancer activity of two complexes of dimethylglyoximeorganotin[J]. Chinese J. Inorg. Chem., 2024, 40(7): 1301-1308

    12. [12]

      VIEIRA F T, LIMA G M, MAIA J R S, SPEZIALI N L, ARDISSON J D, RODRIGUES L, JUNIOR A C, ROMERO O B. Synthesis, characterization and biocidal activity of new organotin complexes of 2-(3-oxocyclohex-1-enyl)benzoic acid[J]. Eur. J. Med. Chem., 2010, 45: 883-889  doi: 10.1016/j.ejmech.2009.11.026

    13. [13]

      XIAO X, LIANG J W, XIE J Y, LIU X, ZHU D S, DONG Y. Organotin(Ⅳ) carboxylates based on 2-(1, 3-dioxo-1H-benzo[de]-isoquinolin-2(3H)-yl)acetic acid: Syntheses, crystal structures, luminescent properties and antitumor activities[J]. J. Mol. Struct., 2017, 1146: 233-241  doi: 10.1016/j.molstruc.2017.05.141

    14. [14]

      YUSOF E N M, LATIF M A M, TAHIR, M I M, SAKOFF J A, VEERAKUMARASIVAM A, PAGE A J, TIEKINK E R T, RAVOOF T B S A. Homoleptic tin(Ⅳ) compounds containing tridentate ONS dithiocarbazate Schiff bases: Synthesis, X-ray crystallography, DFT and cytotoxicity studies[J]. J. Mol. Struct., 2020, 1205: 127635-127643  doi: 10.1016/j.molstruc.2019.127635

    15. [15]

      DENG X, ZHANG F X, QING J J, YANG G, HE F, HE L F, LIU Z H, HOU S P. Synthesis, structure and anticancer activity of two benzohydroxamic acid organotin complexes[J]. Chinese J. Inorg. Chem., 2023, 39(11): 2083-2090

    16. [16]

      TAN Y X, HUANG H F, ZANG C W, YUAN S T, JIANG W J. Molecular structure regulation and herbicidal activity of dibutyltin aryloxyacetate complexes[J]. J. Mol. Struct., 2025, 1320: 139476  doi: 10.1016/j.molstruc.2024.139476

    17. [17]

      JIANG W J, LUO Q, HUANG W, TAN Y X, PENG Y Y. Synthesis, anticancer activity, and mechanistic investigations of aryl-alkyl diorganotin arylformylhydrazone complexes[J]. J. Inorg. Biochem., 2025, 262: 112756  doi: 10.1016/j.jinorgbio.2024.112756

    18. [18]

      SHU S, ZHANG F X, TANG R H, YAN S Y, ZHU X M, SHENG L B, KUANG D Z, FENG Y L, YU J X, JIANG W J. Syntheses, structures and antitumor activities of tri(o-bromobenzyl)tin diethyldithiocarbamate and tri(m-fluorobenzyl)tin pyrrolidine dithiocarbamate[J]. Chin. J. Struct. Chem., 2020, 39(3): 459-466

    19. [19]

      LIU J, LIN Y C, LIU M, WANG S Q, LI Y X, LIU X C, TIAN L J. Synthesis, structural characterization and cytotoxic activity of triorganotin 5-(salicylideneamino)salicylates[J]. Appl. Organomet. Chem., 2019, 33(3): e4715  doi: 10.1002/aoc.4715

    20. [20]

      PAUL A, KHAN R A, SHAIK G M, SHAIK J P, RAI A K, DA SILVA M F C G, POMBEIRO A J L. Anthracene appended organotin(Ⅳ) compounds: Synthesis, structure elucidation and their cytotoxicity against A549 and RBL cancer cell lines[J]. Appl. Organomet. Chem., 2023, 37(3): e7232

    21. [21]

      GUL R, MUHAMMAD N, SIRAJUDDIN M, NOOR A, TUMANOV N, WOUTERS J, CHAFIK A, SOLAK K, MAVI A, SHUJAH S, ALI S, KHAN G S, QAYYUM S. Design, physicochemical confirmation, single crystal structures as well as exploration of antibacterial and anticancer potential of organotin(Ⅳ) carboxylates[J]. J. Mol. Struct., 2024, 1300: 137306  doi: 10.1016/j.molstruc.2023.137306

    22. [22]

      SHI H L, MA J W, LI Q L, DU X M, MENG Z X, RU J, MA C L. Four organotin(Ⅳ) complexes derived from 2, 6-difluoro-3-(propylsulfona-mido)benzoic acid: Synthesis, structure, in vitro cytostatic activity and antifungal activity evaluation[J]. Inorg. Chim. Acta, 2023, 551: 121485  doi: 10.1016/j.ica.2023.121485

    23. [23]

      ZHANG F X, KUANG D Z, WANG J Q, FENG Y L, XU Z F, CHEN Z M, ZENG R Y. Synthesis, crystal structure and quantum chemistry of the ring-form dimer tris(o-methylbenzyl)tin hydroxide[J]. Chin. J. Org. Chem., 2008, 28(8): 1457-1461

    24. [24]

      CHANDRASEKHAR V, THIRUMOORTHI R. Facile, ambient temperature, double Sn—C bond cleavage: Synthesis, structure, and electrochemistry of organotin and organotellurium ferrocene carboxylates[J]. Eur. J. Inorg. Chem., 2008(29): 4578-4585

    25. [25]

      ZHANG J H, ZHANG R F, MA C L, WANG D Q, WANG H Z. New organotin carboxylates derived from 6-chloro-3-pyridineacetic acid exhibiting discrete molecular, drum-like, linear polymeric and ladder structures constructed from dimeric tetraorganodistannoxane units[J]. Polyhedron, 2011, 30: 624-631  doi: 10.1016/j.poly.2010.11.035

    26. [26]

      AIRAPETYAN D V, PETROSYAN V S, GRUENER S V, ZAITSEV K V, ARKHIPOV D E, KORLYUKOV A A. Disproportionation reactions within the series of coordinated monoorganostannanes[J]. J. Organomet. Chem., 2013, 747: 241-248  doi: 10.1016/j.jorganchem.2013.07.005

    27. [27]

      IQBAL M, ALI S, MUHAMMAD N, PARVEZ M, LANGER P, VILLINGER A. Synthesis, characterization, crystal structures and electrochemical studies of organotin(Ⅳ) carboxylates[J]. J. Organomet. Chem., 2013, 723: 214-223  doi: 10.1016/j.jorganchem.2012.10.006

    28. [28]

      HE L F, TANG W J, LUO Y Z, LIANG M S, TANG J X, WU Y X, ZHANG F X, ZHU X M. Synthesis, structure, and anticancer activity of two dialkyltin complexes constructed based on 2,2′-bipyridin-6,6′-dicarboxylic acid[J]. Chinese J. Inorg. Chem., 2025, 41(8): 1601-1609

    29. [29]

      SALAS J M, QUIRÓS M, ROMERO M A, SÁNCHEZ M P, SALAS M A. Metal complexes of theophylline-7-acetic acid. Crystal structure of a nickel(Ⅱ) compound containing noncoordinated theophylline-7-acetate ion[J]. Polyhedron, 1995, 14(5): 611-616  doi: 10.1016/0277-5387(94)00279-N

    30. [30]

      VIJAYANTHIMALA R, UDUPA M R. Complexes of palladium(Ⅱ) with theophylline-7-acetic acid[J]. Inorg. Chim. Acta, 1990, 175: 163-170  doi: 10.1016/S0020-1693(00)84823-9

  • 加载中
    1. [1]

      Liping GUO . Synthesis and crystal structure characterization of yttrium imido complex: The reactivity of 2-substituted-1-amino-o-carborane with yttrium dialkyl complex. Chinese Journal of Inorganic Chemistry, 2025, 41(7): 1409-1415. doi: 10.11862/CJIC.20250065

    2. [2]

      Yao HUANGYingshu WUZhichun BAOYue HUANGShangfeng TANGRuixue LIUYancheng LIUHong LIANG . Copper complexes of anthrahydrazone bearing pyridyl side chain: Synthesis, crystal structure, anticancer activity, and DNA binding. Chinese Journal of Inorganic Chemistry, 2025, 41(1): 213-224. doi: 10.11862/CJIC.20240359

    3. [3]

      Jiarong ZHUXiaohua ZHANGXinting XIONGXuliang NIEXiuying SONGMiaomiao ZHANGDayong PENGXiuguang YI . Crystal structure, Hirshfeld surface analysis, and antifungal activity of five complexes based on 2,5-bis(carboxymethoxy)terephthalic acid. Chinese Journal of Inorganic Chemistry, 2025, 41(11): 2358-2370. doi: 10.11862/CJIC.20250150

    4. [4]

      Lulu DONGJie LIUHua YANGYupei FUHongli LIUXiaoli CHENHuali CUILin LIUJijiang WANG . Synthesis, crystal structure, and fluorescence properties of Cd-based complex with pcu topology. Chinese Journal of Inorganic Chemistry, 2025, 41(4): 809-820. doi: 10.11862/CJIC.20240171

    5. [5]

      Xiaoling WANGHongwu ZHANGDaofu LIU . Synthesis, structure, and magnetic property of a cobalt(Ⅱ) complex based on pyridyl-substituted imino nitroxide radical. Chinese Journal of Inorganic Chemistry, 2025, 41(2): 407-412. doi: 10.11862/CJIC.20240214

    6. [6]

      Kaimin WANGXiong GUNa DENGHongmei YUYanqin YEYulu MA . Synthesis, structure, fluorescence properties, and Hirshfeld surface analysis of three Zn(Ⅱ)/Cu(Ⅱ) complexes based on 5-(dimethylamino) isophthalic acid. Chinese Journal of Inorganic Chemistry, 2024, 40(7): 1397-1408. doi: 10.11862/CJIC.20240009

    7. [7]

      Jia JIZhaoyang GUOWenni LEIJiawei ZHENGHaorong QINJiahong YANYinling HOUXiaoyan XINWenmin WANG . Two dinuclear Gd(Ⅲ)-based complexes constructed by a multidentate diacylhydrazone ligand: Crystal structure, magnetocaloric effect, and biological activity. Chinese Journal of Inorganic Chemistry, 2025, 41(4): 761-772. doi: 10.11862/CJIC.20240344

    8. [8]

      Yingyue ZHANGLiuqing KANGYating YANGXiaofen GUANWenmin WANG . Crystal structure and antibacterial activity of two Gd2 complexes based on polydentate Schiff-base ligands. Chinese Journal of Inorganic Chemistry, 2025, 41(9): 1867-1877. doi: 10.11862/CJIC.20250100

    9. [9]

      Lu LIUHuijie WANGHaitong WANGYing LI . Crystal structure of a two-dimensional Cd(Ⅱ) complex and its fluorescence recognition of p-nitrophenol, tetracycline, 2, 6-dichloro-4-nitroaniline. Chinese Journal of Inorganic Chemistry, 2024, 40(6): 1180-1188. doi: 10.11862/CJIC.20230489

    10. [10]

      Chao LIUJiang WUZhaolei JIN . Synthesis, crystal structures, and antibacterial activities of two zinc(Ⅱ) complexes bearing 5-phenyl-1H-pyrazole group. Chinese Journal of Inorganic Chemistry, 2024, 40(10): 1986-1994. doi: 10.11862/CJIC.20240153

    11. [11]

      Yinxia SUNLiping LIUXue BAIYu SUNWanhong SUNZhepeng DENGJianghai CHENJianjun WANGLi XUShuzhen ZHANG . Synthesis and crystal structures of Co(Ⅱ)/Cu(Ⅱ) coordination polymers based on solvent and ligand concentration regulation strategy. Chinese Journal of Inorganic Chemistry, 2026, 42(2): 340-354. doi: 10.11862/CJIC.20250226

    12. [12]

      Xiaoxia WANGYa'nan GUOFeng SUChun HANLong SUN . Synthesis, structure, and electrocatalytic oxygen reduction reaction properties of metal antimony-based chalcogenide clusters. Chinese Journal of Inorganic Chemistry, 2024, 40(6): 1201-1208. doi: 10.11862/CJIC.20230478

    13. [13]

      Chengyu JIANGXufeng LIU . Synthesis, structural characterization, electrocatalytic proton reduction, and fungicidal activity of thiazole-containing di-iron complexes. Chinese Journal of Inorganic Chemistry, 2026, 42(2): 355-364. doi: 10.11862/CJIC.20250253

    14. [14]

      Lifang HEWenjie TANGYaoze LUOMingsheng LIANGJianxin TANGYuxuan WUFuxing ZHANGXiaoming ZHU . Synthesis, structure, and anticancer activity of two dialkyltin complexes constructed based on 2, 2′-bipyridin-6, 6′-dicarboxylic acid. Chinese Journal of Inorganic Chemistry, 2025, 41(8): 1601-1609. doi: 10.11862/CJIC.20250012

    15. [15]

      Zihe SONGJinjin ZHAONing RENJianjun ZHANG . Crystal structure, thermal analysis, and luminescence properties of six heterocyclic lanthanide complexes. Chinese Journal of Inorganic Chemistry, 2026, 42(1): 181-192. doi: 10.11862/CJIC.20250126

    16. [16]

      Ruikui YANXiaoli CHENMiao CAIJing RENHuali CUIHua YANGJijiang WANG . Design, synthesis, and fluorescence sensing performance of highly sensitive and multi-response lanthanide metal-organic frameworks. Chinese Journal of Inorganic Chemistry, 2024, 40(4): 834-848. doi: 10.11862/CJIC.20230301

    17. [17]

      Ruiyan CHENYanping HEJian ZHANG . Synthesis and third-order nonlinear optical property of Ti4L6 cage-based metal-organic framework. Chinese Journal of Inorganic Chemistry, 2025, 41(10): 2149-2156. doi: 10.11862/CJIC.20250177

    18. [18]

      Yinling HOUJia JIHong YUXiaoyun BIANXiaofen GUANJing QIUShuyi RENMing FANG . A rhombic Dy4-based complex showing remarkable single-molecule magnet behavior. Chinese Journal of Inorganic Chemistry, 2025, 41(3): 605-612. doi: 10.11862/CJIC.20240251

    19. [19]

      Jing FENGRenshu WANGHu WANGHailong LIU . Co(Ⅱ) and Ni(Ⅱ) complexes of 3,3-diphenylpropionic acid and 2,2′-dipyridylamine: Structures and biological activities. Chinese Journal of Inorganic Chemistry, 2026, 42(3): 617-631. doi: 10.11862/CJIC.20250265

    20. [20]

      Xiumei LIYanju HUANGBo LIUYaru PAN . Syntheses, crystal structures, and quantum chemistry calculation of two Ni(Ⅱ) coordination polymers. Chinese Journal of Inorganic Chemistry, 2024, 40(10): 2031-2039. doi: 10.11862/CJIC.20240109

Metrics
  • PDF Downloads(0)
  • Abstract views(3)
  • HTML views(0)

通讯作者: 陈斌, bchen63@163.com
  • 1. 

    沈阳化工大学材料科学与工程学院 沈阳 110142

  1. 本站搜索
  2. 百度学术搜索
  3. 万方数据库搜索
  4. CNKI搜索
Address:Zhongguancun North First Street 2,100190 Beijing, PR China Tel: +86-010-82449177-888
Powered By info@rhhz.net

/

DownLoad:  Full-Size Img  PowerPoint
Return