Citation: Shaohua YANG, Na'na GAO, Yaqiong GONG. Metal-organic framework-templated construction of FeOOH@CoMoO4/nickel foam heterostructure for enhanced oxygen evolution reaction[J]. Chinese Journal of Inorganic Chemistry, ;2025, 41(10): 2175-2185. doi: 10.11862/CJIC.20250218 shu

Metal-organic framework-templated construction of FeOOH@CoMoO4/nickel foam heterostructure for enhanced oxygen evolution reaction

  • Corresponding author: Yaqiong GONG, gyq@nuc.edu.cn
  • Received Date: 29 June 2025
    Revised Date: 2 September 2025

Figures(7)

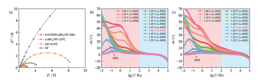
  • Through employing zeolitic imidazolate framework-67 (ZIF-67) templates, the straightforward hydrothermal and electrodeposition methods were applied to synthesize FeOOH@CoMoO4 heterostructure attached to the surface of nickel foam (NF). The specific structure of the as-prepared FeOOH@CoMoO4/NF-400s provided pronounced porosity and extensive surface area, enhancing rapid electron transport and exposing abundant active sites to improve catalytic reactions. Furthermore, the introduction of FeOOH, which induces electron transfer from FeOOH to CoMoO4, confirms their strong electronic interaction, thereby leading to an accelerated surface catalytic reaction. Consequently, the constructed FeOOH@CoMoO4/NF-400s heterostructure demonstrated exceptional oxygen evolution reaction (OER) activity, requiring an overpotential of 199 mV to deliver the current density of 10 mA·cm-2, coupled with the superior Tafel slope value of 49.56 mV·dec-1 and outstanding stability over 20 h under the current densities of both 10 and 100 mA·cm-2.
  • 加载中
    1. [1]

      SU H, JIANG J, LI N, GAO Y Q, GE L. NiCu alloys anchored defect-rich NiFe layered double-hydroxides as efficient electrocatalysts for overall water splitting[J]. Chem. Eng. J., 2022, 446: 137226  doi: 10.1016/j.cej.2022.137226

    2. [2]

      RADWAN A, JIN H H, LIU B S, CHEN Z B, WU Q, ZHAO X, HE D P, MU S C. 3D-ZIF scaffold derived carbon encapsulated iron nitride as a synergistic catalyst for ORR and zinc-air battery cathodes[J]. Carbon, 2021, 171: 368-375  doi: 10.1016/j.carbon.2020.09.024

    3. [3]

      WANG D K, HUAI X Y, ABDUKADER A, UMAR A, WU X. Highly active and durable NiCoP electrocatalyst through Ga ion intercalation strategy for long-lasting water electrolysis[J]. Appl. Surf. Sci., 2024, 660: 159972  doi: 10.1016/j.apsusc.2024.159972

    4. [4]

      YANG M S, DING J Y, WANG Z W, ZHANG J W, PENG Z M, LIU X J. NiMo-based alloy and its sulfides for energy-saving hydrogen production via sulfion oxidation assisted alkaline seawater splitting[J]. Chin. Chem. Lett., 2025, 36(9): 110861  doi: 10.1016/j.cclet.2025.110861

    5. [5]

      LIU Y D, LI L, WANG L, LI N, ZHAO X X, CHEN Y, SAKTHIVEL T, DAI Z F. Janus electronic state of supported iridium nanoclusters for sustainable alkaline water electrolysis[J]. Nat. Commun., 2024, 15(1): 2851  doi: 10.1038/s41467-024-47045-6

    6. [6]

      ZHENG Y W, CHEN B, YE P, FENG K, WANG W G, MENG Q Y, WU L Z, TUNG C H. Photocatalytic hydrogen-evolution cross-couplings: Benzene C—H amination and hydroxylation[J]. J. Am. Chem. Soc., 2016, 138: 10080-10083  doi: 10.1021/jacs.6b05498

    7. [7]

      YIN R L, WANG Z W, ZHANG J, LIU W X, HE J, HU G Z, LIU X J. Tunable NiSe-Ni3Se2 heterojunction for energy-efficient hydrogen production by coupling urea degradation[J]. Small Methods, 2025, 9(7): 2401976  doi: 10.1002/smtd.202401976

    8. [8]

      KANG W J, FENG Y, LI Z, YANG W Q, CHENG C Q, SHI Z Z, YIN P F, SHEN G R, YANG J, DONG C K, LIU H, YE F X, DU X W. Strain-activated copper catalyst for pH-universal hydrogen evolution reaction[J]. Adv. Funct. Mater., 2022, 32(18): 2112367  doi: 10.1002/adfm.202112367

    9. [9]

      WANG M D, LIU X Y, WU X. Realizing efficient electrochemical overall water electrolysis through hierarchical CoP@NiCo-LDH nanohybrids[J]. Nano Energy, 2023, 114: 108681  doi: 10.1016/j.nanoen.2023.108681

    10. [10]

      ZHOU Y S, WANG Z T, CUI M G, WU H Y, LIU Y J, OU Q R, TIAN X L, ZHANG S Y. NiFe-based electrocatalysts for alkaline oxygen evolution: Challenges, strategies, and advances toward industrial-scale deployment[J]. Adv. Funct. Mater., 2024, 34(52): 2410618  doi: 10.1002/adfm.202410618

    11. [11]

      ZHANG L, ZHU Y X, NIE Z C, LI Z Y, YE Y, LI L H, HONG J, BI Z H, ZHOU Y T, HU G Z. Co/MoC nanoparticles embedded in carbon nanoboxes as robust trifunctional electrocatalysts for a Zn-air battery and water electrocatalysis[J]. ACS Nano, 2021, 15(8): 13399-13414  doi: 10.1021/acsnano.1c03766

    12. [12]

      DENG Y P, JIANG Y, LIANG R L, CHEN N, CHEN W W, YIN Z W, KING G, SU D, WANG X, CHEN Z W. Reconstructing 3d-metal electrocatalysts through anionic evolution in zinc-air batteries[J]. J. Am. Chem. Soc., 2023, 145(37): 20248-20260  doi: 10.1021/jacs.3c03214

    13. [13]

      SULTAN S, TIWARI J N, SINGH A N, ZHUMAGALI S, HA M, MYUNG C W, THANGAVEL P, KIM K S. Single atoms and clusters based nanomaterials for hydrogen evolution, oxygen evolution reactions, and full water splitting[J]. Adv. Energy Mater., 2019, 9(22): 1900624  doi: 10.1002/aenm.201900624

    14. [14]

      GONG C, ZHAO L, LI D M, HE X, CHEN H, DU X, WANG D H, FANG W, ZENG X H, LI W X. In-situ interfacial engineering of Co(OH)2/Fe7Se8 nanosheets to boost electrocatalytic water splitting[J]. Chem. Eng. J., 2023, 466: 143124  doi: 10.1016/j.cej.2023.143124

    15. [15]

      KARMAKAR A, KARTHICK K, SANKAR S S, KUMARAVEL S, RAGUNATH M, KUNDU S. Oxygen vacancy enriched NiMoO4 nanorods via microwave heating: A promising highly stable electrocatalyst for total water splitting[J]. J. Mater. Chem. A, 2021, 9(19): 11691-11704  doi: 10.1039/D1TA02165F

    16. [16]

      GUO T T, CHEN L Y, LI Y W, SHEN K. Controllable synthesis of ultrathin defect-rich LDH nanoarrays coupled with MOF-derived Co-NC microarrays for efficient overall water splitting[J]. Small, 2022, 18(29): 2107739  doi: 10.1002/smll.202107739

    17. [17]

      HUANG H F, WEI X C, WEI G, YAN F X, YAN L Q, HAN Y, XU S K, LIANG X Q, ZHOU W Z, GUO J. Construction of vertically aligned Ni-Co-Mo hybrid oxides nanosheet array for high-performance hybrid supercapacitors[J]. J. Alloy. Compd., 2022, 899: 163267  doi: 10.1016/j.jallcom.2021.163267

    18. [18]

      GUO Y H, LIU X L, LI Y, MA F H, ZHANG Q Q, WANG Z Y, LIU Y Y, ZHENG Z K, CHENG H F, HUANG B B, DAI Y, WANG P. Anion-modulation in CoMoO4 electrocatalyst for urea-assisted energy-saving hydrogen production[J]. Int. J. Hydrog. Energy, 2022, 47(78): 33167-33176  doi: 10.1016/j.ijhydene.2022.07.219

    19. [19]

      XU Y, XIE L J, LI D, YANG R, JIANG D L, CHEN M. Engineering Ni(OH)2 nanosheet on CoMoO4 nanoplate array as efficient electrocatalyst for oxygen evolution reaction[J]. ACS Sustain. Chem. Eng., 2018, 6(12): 16086-16095  doi: 10.1021/acssuschemeng.8b02663

    20. [20]

      GAO Z Y, CHEN C, CHANG J L, CHEN L M, WANG P Y, WU D P, XU F, JIANG K. Porous Co3S4@Ni3S4 heterostructure arrays electrode with vertical electrons and ions channels for efficient hybrid supercapacitor[J]. Chem. Eng. J., 2018, 343: 572-582  doi: 10.1016/j.cej.2018.03.042

    21. [21]

      ZHANG W D, HU Q T, WANG L L, GAO J, ZHU H Y, YAN X D, GU Z G. In-situ generated Ni-MOF/LDH heterostructures with abundant phase interfaces for enhanced oxygen evolution reaction[J]. Appl. Catal. B‒Environ., 2021, 286: 119906  doi: 10.1016/j.apcatb.2021.119906

    22. [22]

      XU G, XU G C, BAN J J, ZHANG L, LIN H, QI C L, SUN Z P, JIA D Z. Cobalt and cobalt oxides N-codoped porous carbon derived from metal-organic framework as bifunctional catalyst for oxygen reduction and oxygen evolution reactions[J]. J. Colloid Interface Sci., 2018, 521: 141-149  doi: 10.1016/j.jcis.2018.03.036

    23. [23]

      LU X F, FANG Y J, LUAN D Y, LOU X W. Metal-organic frameworks derived functional materials for electrochemical energy storage and conversion: A mini review[J]. Nano Lett., 2021, 21(4): 1555-1565

    24. [24]

      WANG Y A, JING L, JIANG W, WU Y Y, LIU B, SUN Y T, CHU X Y, LIU C B. Rich oxygen vacancy and amorphous/crystalline ruthenium-doped CoCu-layered double hydroxide electrocatalysts for enhanced oxygen evolution reactions[J]. J. Colloid Interface Sci., 2024, 671: 283-293

    25. [25]

      ZHANG H Q, ZHANG Q Q, ZENG X J. Construction of multiple heterogeneous interfaces and oxygen evolution reaction of hollow CoFe bimetallic phosphides derived from MOF template[J]. Prog. Nat. Sci. Mater. Int., 2024, 34(5): 913-920  doi: 10.1016/j.pnsc.2024.09.001

    26. [26]

      LI J T, GADIPELLI S. Synthesis and optimization of zeolitic imidazolate frameworks for the oxygen evolution reaction[J]. Chem. Eur. J., 2020, 26(62): 14167-14172

    27. [27]

      ZHU R M, DING J W, YANG J P, PANG H, XU Q, ZHANG D L, BRAUNSTEIN P. Quasi-ZIF-67 for boosted oxygen evolution reaction catalytic activity via a low temperature calcination[J]. ACS Appl. Mater. Interfaces, 2020, 12(22): 25037-25041

    28. [28]

      LU X F, XIA B Y, ZANG S Q, LOU X W. Metal-organic frameworks based electrocatalysts for the oxygen reduction reaction[J]. Angew. Chem.‒Int. Ed., 2019, 59(12): 4634-4650

    29. [29]

      GU X C, LIU Z, LIU H, PEI C G, FENG L G. Fluorination of ZIF-67 framework templated prussian blue analogue nano-box for efficient electrochemical oxygen evolution reaction[J]. Chem. Eng. J., 2021, 403: 12637

    30. [30]

      LI F, DU J, LI X N, SHEN J Y, WANG Y, ZHU Y, SUN L C. Integration of FeOOH and zeolitic imidazolate framework-derived nanoporous carbon as an efficient electrocatalyst for water oxidation[J]. Adv. Energy Mater., 2018, 8(10): 1702598  doi: 10.1002/aenm.201702598

    31. [31]

      YIN X L, CAI R, DAI XP, NIE F, GAN Y H, YE Y, REN Z T, LIU Y J, WU B Q, CAO Y H, ZHANG X. Electronic modulation and surface reconstruction of cactus-like CoB2O4@FeOOH heterojunctions for synergistically triggering oxygen evolution reactions[J]. J. Mater. Chem. A, 2022, 10(21): 11386-11393  doi: 10.1039/D2TA01929A

    32. [32]

      WANG Y C, GU Y, LI H M, YE M X, QIN W X, ZHANG H M, WANG G Z, ZHANG Y X, ZHAO H J. Electrodeposition of hierarchically amorphous FeOOH nanosheets on carbonized bamboo as an efficient filter membrane for As(Ⅲ) removal[J]. Chem. Eng. J., 2020, 392: 123773  doi: 10.1016/j.cej.2019.123773

    33. [33]

      ZHANG H W, LIU S X, HU E L, YANG Y F, ZHANG H M, ZHU Y T, YAN L J, GAO X H, ZHANG J, LIN Z. Iron-doped Ag/Ni2(CO3)(OH)2 hierarchical microtubes for highly efficient water oxidation[J]. Carbon Energy, 2022, 4(5): 939-949  doi: 10.1002/cey2.210

    34. [34]

      QIAO X S, KANG H J, LI Y, CUI K, JIA X, WU X H, QIN W. Novel FeNi-based nanowires network catalyst involving hydrophilic channel for oxygen evolution reaction[J]. Small, 2022, 18(10): 2106378  doi: 10.1002/smll.202106378

    35. [35]

      GAO P, ZENG Y, TANG P, WANG Z X, YANG J F, HU A P, LIU J L. Understanding the synergistic effects and structural evolution of Co(OH)2 and Co3O4 toward boosting electrochemical charge storage[J]. Adv. Funct. Mater., 2021, 32(6): 2108644

    36. [36]

      WEI X C, CAI M, YUAN F L, LI C, HUANG H F, XU S K, LIANG X Q, ZHOU W Z, GUO J. Construction of CoMoO4 nanosheets arrays modified by Ti3C2Tx MXene and their enhanced charge storage performance for hybrid supercapacitor[J]. Colloid. Surf. A‒ Physicochem. Eng. Asp., 2023, 658: 130637  doi: 10.1016/j.colsurfa.2022.130637

    37. [37]

      CHEN Y X, JING C, FU X, SHEN M, LI K L, LIU X Y, YAO H C, ZHANG Y X, YAO K X. Synthesis of porous NiCoS nanosheets with Al leaching on ordered mesoporous carbon for high-performance supercapacitors[J]. Chem. Eng. J., 2020, 384: 123367  doi: 10.1016/j.cej.2019.123367

    38. [38]

      LI C Z, YANG X L, KOU Y N, SONG H Y, LI X W, WU C Y, FANG T, GOU J M, MA J P, GUAN X L, TONG J H. Low-level Fe doping in CoMoO4 enhances surface reconstruction and electronic modulation creating an outstanding OER electrocatalyst for water splitting[J]. Inorg. Chem., 2025, 64(5): 2508-2517  doi: 10.1021/acs.inorgchem.4c05100

    39. [39]

      ZHANG T, ZHAO H F, WANG K Y, CHEN Z J, LI L, PENG J, PENG X, HUANG Y J, YU H B. Three factors make bulk high-entropy alloys as effective electrocatalysts for oxygen evolution[J]. Mater. Futures, 2023, 2(4): 045101  doi: 10.1088/2752-5724/aceef3

    40. [40]

      HUANG J W, SUN Y H, ZHANG Y D, ZOU G F, YAN C Y, CONG S, LEI T Y, DAI X, GUO J, LU R F, LI Y R, XIONG J. A new member of electrocatalysts based on nickel metaphosphate nanocrystals for efficient water oxidation[J]. Adv. Mater., 2017, 30(5): 1705045

    41. [41]

      YANG M, ZHANG S L, WANG T, SHI B B, LIU J Y, TANG Y L, XU Z L, SARWAR M T, TANG A D, YANG H M. Multiple interface Ni(PO3)2-CoP4/CoMoO4 nanorods for highly efficient hydrogen evolution in alkaline water/seawater electrolysis[J]. ACS Sustain. Chem. Eng., 2022, 10(37): 12423-12432  doi: 10.1021/acssuschemeng.2c04034

    42. [42]

      XIE W W, HUANG J H, HUANG L T, GENG S P, SONG S Q, TSIAKARAS P, WANG Y. Novel fluorine-doped cobalt molybdate nanosheets with enriched oxygen-vacancies for improved oxygen evolution reaction activity[J]. Appl. Catal. B‒Environ., 2022, 303: 120871  doi: 10.1016/j.apcatb.2021.120871

    43. [43]

      VASILOPOULOU M, DOUVAS A M, GEORGIADOU D G, PALILIS L C, KENNOU S, SYGELLOU L, SOULTATI A, KOSTIS I, PAPADIMITROPOULOS G, DAVAZOGLOU D, ARGITIS P. The Influence of hydrogenation and oxygen vacancies on molybdenum oxides work function and gap states for application in organic optoelectronics[J]. J. Am. Chem. Soc., 2012, 134(39): 16178-16187  doi: 10.1021/ja3026906

    44. [44]

      HUANG C Q, ZHOU Q C, DUAN D S, YU L, ZHANG W, WANG Z Z, LIU J, PENG B W, AN P F, ZHANG J, LI L P, YU J G, YU Y. The rapid self-reconstruction of Fe-modified Ni hydroxysulfide for efficient and stable large-current-density water/seawater oxidation[J]. Energy Environ. Sci., 2022, 15(11): 4647-4658  doi: 10.1039/D2EE01478E

    45. [45]

      ZHANG Y, TENG X A, MA Z Q, WANG R M, LAU W M, SHAN A X. Synthesis of FeOOH scaly hollow tubes based on Cu2O wire templates toward high-efficiency oxygen evolution reaction[J]. Rare Met., 2023, 42(6): 1836-1846  doi: 10.1007/s12598-023-02284-2

    46. [46]

      QIAO W, DING P, PAN J, YAN S M, WANG D H, XU X Y. Thermal-driven coordination adaption of metal sites in layered double hydroxides towards high-performance water oxidation[J]. Mater. Today Commun., 2021, 29: 102836  doi: 10.1016/j.mtcomm.2021.102836

    47. [47]

      LI R C, GUO Y G, CHEN H X, WANG K, TAN R T, LONG B, TONG Y X, TSIAKARAS P, SONG S Q, WANG Y. Anion-cation double doped Co3O4 microtube architecture to promote high-valence Co species formation for enhanced oxygen evolution reaction[J]. ACS Sustain. Chem. Eng., 2019, 7(13): 11901-11910  doi: 10.1021/acssuschemeng.9b02558

    48. [48]

      LIANG Z J, SHEN D, WEI Y, SUN F F, XIE Y, WANG L, FU H G. Modulating the electronic structure of cobalt-vanadium bimetal catalysts for high-stable anion exchange membrane water electrolyzer[J]. Adv. Mater., 2024, 36(41): 2408634  doi: 10.1002/adma.202408634

    49. [49]

      WEI K, LIU Z P, FENG G Y, WANG Y Z, ZHANG S F, LI X J, ZHANG M, LI H E, ZHOU J S, LEI S B, GAO F M. Molecular nanojunction catalyst for oxygen evolution reaction[J]. Adv. Energy Mater., 2025, 15: 2405366  doi: 10.1002/aenm.202405366

    50. [50]

      CHENG NY, REN L, XU X, DU Y, DOU S X. Recent development of zeolitic imidazolate frameworks (ZIFs) derived porous carbon based materials as electrocatalysts[J]. Adv. Energy Mater., 2018, 8(25): 1801257  doi: 10.1002/aenm.201801257

    51. [51]

      JAYARAMULU K, MASA J, MORALES D M, TOMANEC O, RANC V, PETR M, WILDE P, CHEN Y T, ZBORIL R, SCHUHMANN W, FISCHER R A. Ultrathin 2D cobalt zeolite-imidazole framework nanosheets for electrocatalytic oxygen evolution[J]. Adv. Sci., 2018, 5(11): 1801029  doi: 10.1002/advs.201801029

    52. [52]

      WANG T T, WANG P Y, ZANG W J, LI X, CHEN D, KOU Z K, MU S C, WANG J. Nanoframes of Co3O4-Mo2N heterointerfaces enable high-performance bifunctionality toward both electrocatalytic HER and OER[J]. Adv. Funct. Mater., 2021, 32(7): 2107382

  • 加载中
    1. [1]

      Haoying ZHAILanzong WENWenjie LIAOQin LIWenjun ZHOUKun CAO . Metal-organic framework-derived sulfur-doped iron-cobalt tannate nanorods for efficient oxygen evolution reaction performance. Chinese Journal of Inorganic Chemistry, 2025, 41(5): 1037-1048. doi: 10.11862/CJIC.20240320

    2. [2]

      Yifan LIUZhan ZHANGRongmei ZHUZiming QIUHuan PANG . A three-dimensional flower-like Cu-based composite and its low-temperature calcination derivatives for efficient oxygen evolution reaction. Chinese Journal of Inorganic Chemistry, 2024, 40(5): 979-990. doi: 10.11862/CJIC.20240008

    3. [3]

      Tian TIANMeng ZHOUJiale WEIYize LIUYifan MOYuhan YEWenzhi JIABin HE . Ru-doped Co3O4/reduced graphene oxide: Preparation and electrocatalytic oxygen evolution property. Chinese Journal of Inorganic Chemistry, 2025, 41(2): 385-394. doi: 10.11862/CJIC.20240298

    4. [4]

      Qiyan WuRuixin ZhouZhangyi YaoTanyuan WangQing Li . Effective approaches for enhancing the stability of ruthenium-based electrocatalysts towards acidic oxygen evolution reaction. Chinese Chemical Letters, 2024, 35(10): 109416-. doi: 10.1016/j.cclet.2023.109416

    5. [5]

      Guoliang GaoGuangzhen ZhaoGuang ZhuBowen SunZixu SunShunli LiYa-Qian Lan . Recent advancements in noble-metal electrocatalysts for alkaline hydrogen evolution reaction. Chinese Chemical Letters, 2025, 36(1): 109557-. doi: 10.1016/j.cclet.2024.109557

    6. [6]

      Yanan ZhouLi ShengLanlan ChenWenhua ZhangJinlong Yang . Axial coordinated iron-nitrogen-carbon as efficient electrocatalysts for hydrogen evolution and oxygen redox reactions. Chinese Chemical Letters, 2025, 36(1): 109588-. doi: 10.1016/j.cclet.2024.109588

    7. [7]

      Tengjia Ni Xianbiao Hou Huanlei Wang Lei Chu Shuixing Dai Minghua Huang . Controllable defect engineering based on cobalt metal-organic framework for boosting oxygen evolution reaction. Chinese Journal of Structural Chemistry, 2024, 43(1): 100210-100210. doi: 10.1016/j.cjsc.2023.100210

    8. [8]

      Jiao LiChenyang ZhangChuhan WuYan LiuXuejian ZhangXiao LiYongtao LiJing SunZhongmin Su . Defined organic-octamolybdate crystalline superstructures derived Mo2C@C as efficient hydrogen evolution electrocatalysts. Chinese Chemical Letters, 2024, 35(6): 108782-. doi: 10.1016/j.cclet.2023.108782

    9. [9]

      Shaojie Ding Henan Wang Xiaojing Dai Yuru Lv Xinxin Niu Ruilian Yin Fangfang Wu Wenhui Shi Wenxian Liu Xiehong Cao . Mn-modulated Co–N–C oxygen electrocatalysts for robust and temperature-adaptative zinc-air batteries. Chinese Journal of Structural Chemistry, 2024, 43(7): 100302-100302. doi: 10.1016/j.cjsc.2024.100302

    10. [10]

      Endong YANGHaoze TIANKe ZHANGYongbing LOU . Efficient oxygen evolution reaction of CuCo2O4/NiFe-layered bimetallic hydroxide core-shell nanoflower sphere arrays. Chinese Journal of Inorganic Chemistry, 2024, 40(5): 930-940. doi: 10.11862/CJIC.20230369

    11. [11]

      Chuanming GUOKaiyang ZHANGYun WURui YAOQiang ZHAOJinping LIGuang LIU . Performance of MnO2-0.39IrOx composite oxides for water oxidation reaction in acidic media. Chinese Journal of Inorganic Chemistry, 2024, 40(6): 1135-1142. doi: 10.11862/CJIC.20230459

    12. [12]

      Qiangqiang SUNPengcheng ZHAORuoyu WUBaoyue CAO . Multistage microporous bifunctional catalyst constructed by P-doped nickel-based sulfide ultra-thin nanosheets for energy-efficient hydrogen production from water electrolysis. Chinese Journal of Inorganic Chemistry, 2024, 40(6): 1151-1161. doi: 10.11862/CJIC.20230454

    13. [13]

      Yang WANGXiaoqin ZHENGYang LIUKai ZHANGJiahui KOULinbing SUN . Mn single-atom catalysts based on confined space: Fabrication and the electrocatalytic oxygen evolution reaction performance. Chinese Journal of Inorganic Chemistry, 2024, 40(11): 2175-2185. doi: 10.11862/CJIC.20240165

    14. [14]

      Huafeng SHI . Construction of MnCoNi layered double hydroxide@Co-Ni-S amorphous hollow polyhedron composite with excellent electrocatalytic oxygen evolution performance. Chinese Journal of Inorganic Chemistry, 2025, 41(7): 1380-1386. doi: 10.11862/CJIC.20240378

    15. [15]

      Kai PENGXinyi ZHAOZixi CHENXuhai ZHANGYuqiao ZENGJianqing JIANG . Progress in the application of high-entropy alloys and high-entropy ceramics in water electrolysis. Chinese Journal of Inorganic Chemistry, 2025, 41(7): 1257-1275. doi: 10.11862/CJIC.20240454

    16. [16]

      Hailang JIAPengcheng JIHongcheng LI . Preparation and performance of nickel doped ruthenium dioxide electrocatalyst for oxygen evolution. Chinese Journal of Inorganic Chemistry, 2025, 41(8): 1632-1640. doi: 10.11862/CJIC.20240398

    17. [17]

      Shiqian WEIXinyu TIANHong LIUMaoxia CHENFan TANGQiang FANWeifeng FANYu HU . Oxygen reduction reaction/oxygen evolution reaction catalytic performances of different active sites on nitrogen-doped graphene loaded with iron single atoms. Chinese Journal of Inorganic Chemistry, 2025, 41(9): 1776-1788. doi: 10.11862/CJIC.20250102

    18. [18]

      Hui YangGuangxun ZhangYueyao SunHuijie ZhouHuan Pang . Bimetallic zeolitic imidazolate framework derived hollow layered double hydroxide with tailorable interlayer spacing for nickel-zinc batteries. Chinese Chemical Letters, 2025, 36(6): 110016-. doi: 10.1016/j.cclet.2024.110016

    19. [19]

      Ling Tang Yan Wan Yangming Lin . Lowering the kinetic barrier via enhancing electrophilicity of surface oxygen to boost acidic oxygen evolution reaction. Chinese Journal of Structural Chemistry, 2024, 43(11): 100345-100345. doi: 10.1016/j.cjsc.2024.100345

    20. [20]

      Jing CaoDezheng ZhangBianqing RenPing SongWeilin Xu . Mn incorporated RuO2 nanocrystals as an efficient and stable bifunctional electrocatalyst for oxygen evolution reaction and hydrogen evolution reaction in acid and alkaline. Chinese Chemical Letters, 2024, 35(10): 109863-. doi: 10.1016/j.cclet.2024.109863

Metrics
  • PDF Downloads(1)
  • Abstract views(25)
  • HTML views(2)

通讯作者: 陈斌, bchen63@163.com
  • 1. 

    沈阳化工大学材料科学与工程学院 沈阳 110142

  1. 本站搜索
  2. 百度学术搜索
  3. 万方数据库搜索
  4. CNKI搜索
Address:Zhongguancun North First Street 2,100190 Beijing, PR China Tel: +86-010-82449177-888
Powered By info@rhhz.net

/

DownLoad:  Full-Size Img  PowerPoint
Return