Citation: Yongchao ZHU, Wenjie LIANG, Hai XU. Raman spectroscopic layer-dependent of Bi2SeO5 nanosheets and their encapsulation performance for two-dimensional materials[J]. Chinese Journal of Inorganic Chemistry, ;2026, 42(3): 584-592. doi: 10.11862/CJIC.20250217 shu

Raman spectroscopic layer-dependent of Bi2SeO5 nanosheets and their encapsulation performance for two-dimensional materials

  • Corresponding author: Hai XU, xhisaac@csu.edu.cn
  • Received Date: 28 June 2025
    Revised Date: 22 January 2026

Figures(3)

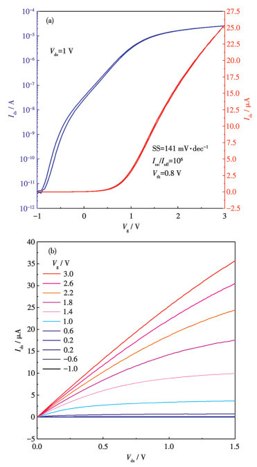
  • Systematic studies were conducted on the Raman spectroscopic properties of Bi2SeO5, revealing that Raman peak intensity increased with nanosheet thickness, exhibiting a distinct thickness dependence. Furthermore, Bi2SeO5 was integrated with typical 2D semiconductors, such as in back-gated field-effect transistors (FETs) with MoS2 as the channel, where Bi2SeO5 achieves efficient gate modulation due to its excellent dielectric properties. The devices demonstrated a high on/off ratio of up to 106 and a low subthreshold swing (SS) of 144 mV·dec-1, highlighting outstanding dielectric modulation capability. Meanwhile, as an encapsulation layer, Bi2SeO5 could effectively protect air-sensitive black phosphorus (BP) and indium selenide (InSe), significantly enhancing their stability in air. These results confirm that Bi2SeO5 can form smooth and dense interfaces with 2D materials, and that it possesses both excellent dielectric properties and efficient protective capabilities.
  • 加载中
    1. [1]

      IANNACCONE G, BONACCORSO F, COLOMBO L, FIORI G. Quantum engineering of transistors based on 2D materials heterostructures[J]. Nat. Nanotechnol., 2018, 13: 183-191  doi: 10.1038/s41565-018-0082-6

    2. [2]

      SCARLET S P, AMBIKA R, SRINIVASAN R. Effect of eccentricity on junction and junctionless based silicon nanowire and silicon nanotube FETs[J]. Superlattices Microstruct., 2017, 107: 178-188  doi: 10.1016/j.spmi.2017.04.015

    3. [3]

      INGERLY D B, AMIN S, ARYASOMAYAJULA L, BALANKUTTY A, BORST D, CHANDRA A, CHEEMALAPATI K, COOK C S, CRISS R, ENAMUL K, GOMES W, JONES D, KOLLURU K C, KANDAS A, KIM G S, MA H, PANTUSO D, PETERSBURG C F, PHEN-GIVONI M, PILLAI A M, SAIRAM A, SHEKHAR P, SINHA P, STOVER P, TELANG A, ZELL Z. Foveros: 3D integration and the use of face-to-face chip stacking for logic devices[C]. 2019 IEEE International Electron Devices Meeting (IEDM). San Francisco, CA, USA: IEEE, 2019: 466-469

    4. [4]

      AGARWAL R, CHENG P, SHAH P, WILKERSON B, SWAMINATHAN R, WUU J, MANDALAPU C. 3D packaging for heterogeneous integration[C]. 2022 IEEE 72nd Electronic Components and Technology Conference (ECTC). San Diego, CA, USA: IEEE, 2022: 1103-1107

    5. [5]

      AKINWANDE D, HUYGHEBAERT C, WANG C H, SERNA M I, GOOSSENS S, LI L J, WONG H S P, KOPPENS F H L. Graphene and two-dimensional materials for silicon technology[J]. Nature, 2019, 573: 507-518  doi: 10.1038/s41586-019-1573-9

    6. [6]

      ZHANG Q Z, ZHANG Y K, LUO Y N, YIN H X. New structure transistors for advanced technology node CMOS ICs[J]. Natl. Sci. Rev., 2024, 11(3): 24-41

    7. [7]

      LIU A H, ZHANG X W, LIU Z Y, LI Y N, PENG X Y, LI X, QIN Y, HU C, QIU Y Q, JIANG H, WANG Y, LI Y F, TANG J, LIU J, GUO H, DENG T, PENG S A, TIAN H, REN T L. The roadmap of 2D materials and devices toward chips[J]. Nano-Micro Lett., 2024, 16(1): 119  doi: 10.1007/s40820-023-01273-5

    8. [8]

      LIU C, CHEN H, WANG S, LIU Q, JIANG Y G, ZHANG D W, LIU M, ZHOU P. Two-dimensional materials for next-generation computing technologies[J]. Nat. Nanotechnol., 2020, 15: 545-557  doi: 10.1038/s41565-020-0724-3

    9. [9]

      LIU Y, DUAN X D, SHIN H J, PARK S, HUANG Y, DUAN X F. Promises and prospects of two-dimensional transistors[J]. Nature, 2021, 591: 43-53  doi: 10.1038/s41586-021-03339-z

    10. [10]

      ZENG S F, LIU C S, ZHOU P. Transistor engineering based on 2D materials in the post-silicon era[J]. Nat. Rev. Electr. Eng., 2024, 1(5): 335-348  doi: 10.1038/s44287-024-00045-6

    11. [11]

      CHEEMA S S, SHANKER N, WANG L C, HSU C H, HSU S L, LIAO Y H, SAN JOSE M, GOMEZ J, CHAKRABORTY W, LI W, BAE J H, VOLKMAN S K, KWON D, RHO Y, PINELLI G, RASTOGI R, PIPITONE D, STULL C, COOK M, TYRRELL B, STOICA V A, ZHANG Z, FREELAND J W, TASSONE C J, MEHTA A, SAHELI G, THOMPSON D, SUH D I, KOO W T, NAM K J, JUNG D J, SONG W B, LIN C H, NAM S, HEO J, PARIHAR N, GRIGOROPOULOS C P, SHAFER P, FAY P, RAMESH R, MAHAPATRA S, CISTON J, DATTA S, MOHAMED M, HU C, SALAHUDDIN S. Ultrathin ferroic HfO2-ZrO2 superlattice gate stack for advanced transistors[J]. Nature, 2022, 604: 65-71  doi: 10.1038/s41586-022-04425-6

    12. [12]

      ALI T, POLAKOWSKI S, RIEDEL S, BÜTTNER T, KAMPFE M, RUDOLPH B, PATZOLD K, SEIDEL D, LOHR R, HOFFMANN M, CZEROHORSKY K, KÜHNEL K, STEINKE P, CALVO J, ZIMMERMANN J, MILLER J. High endurance ferroelectric hafnium oxide-based FeFET memory without retention penalty[J]. IEEE Trans. Electron Device, 2018, 65: 3769-3774  doi: 10.1109/TED.2018.2856818

    13. [13]

      ROBERTSON J, WALLACE R M. High-K materials and metal gates for CMOS applications[J]. Mater. Sci. Eng. R, 2015, 88: 1-41

    14. [14]

      ZHANG H, ZHANG Y, CHEN X, LI C Y, DING X W. Low-voltage-drive and high output current InGaZnO thin-film transistors with novel SiO2/HfO2/SiO2 structure[J]. Mol. Cryst. Liq. Cryst., 2017, 651: 228-234  doi: 10.1080/15421406.2017.1338406

    15. [15]

      NOVOSELOV K S, GEIM A K, MOROZOV S V, JIANG D, ZHANG Y, DUBONOS S V, GRIGORIEVA I V, FIRSOV A A. Electric field effect in atomically thin carbon films[J]. Science, 2004, 306: 666-669  doi: 10.1126/science.1102896

    16. [16]

      DESAI S B, MADHVAPATHY S R, SACHID A B, LLINAS J P, WANG Q X, AHN G H, PITNER G, KIM M J, BOKOR J, HU C M, WONG H S P, JAVEY A. MoS2 transistors with 1-nanometer gate lengths[J]. Science, 2016, 354: 99-102  doi: 10.1126/science.aah4698

    17. [17]

      WANG X R, YASUDA K, ZHANG Y, LIU S, WATANABE K, TANIGUCHI T, HONE J, FU L, JARILLO-HERRERO P. Interfacial ferroelectricity in rhombohedral-stacked bilayer transition metal dichalcogenides[J]. Nat. Nanotechnol., 2022, 17: 367-371  doi: 10.1038/s41565-021-01059-z

    18. [18]

      CEBALLOS F, JU M G, LANE S D, ZENG X C, ZHAO H. Highly efficient and anomalous charge transfer in van der Waals trilayer semiconductors[J]. Nano Lett., 2017, 17: 1623-1628  doi: 10.1021/acs.nanolett.6b04815

    19. [19]

      JIANG J F, XU L, QIU C G, PENG L M. Ballistic two-dimensional InSe transistors[J]. Nature, 2023, 616: 470-475  doi: 10.1038/s41586-023-05819-w

    20. [20]

      TIAN J P, WANG S P, SHI D X, ZHANG G Y. Vertical short- channel MoS2 field-effect transistors[J]. Acta Phys. Sin., 2022, 71: 218502

    21. [21]

      QU-HE R G, LI Q H, YANG X Y, LÜ J. 2D fin field-effect transistors[J]. Sci. Bull., 2023, 68: 1213-1215

    22. [22]

      WU F, TIAN H, SHEN Y, HOU Z, REN J, GOU G Y, SUN Y B, YANG Y, REN T L. Vertical MoS2 transistors with sub-1-nm gate lengths[J]. Nature, 2022, 603: 259-264  doi: 10.1038/s41586-021-04323-3

    23. [23]

      ILLARIONOV Y Y, BANSHCHIKOV A G, POLYUSHKIN D K, WACHTER S, KNOBLOCH T, THESBERG M, MENNEL L, PAUR M, STÖGER-POLLACH M, STEIGER-THIRSFELD A, VEXLER M I, WALTL M, SOKOLOV N S, MUELLER T, GRASSER T. Ultrathin calcium fluoride insulators for two-dimensional field-effect transistors[J]. Nat. Electron., 2019, 2: 230-235  doi: 10.1038/s41928-019-0256-8

    24. [24]

      LIU K L, FIN B, HAN W, CHEN X, GONG P L, HUANG L, ZHAO Y H, LI L, YANG S J, HU X Z, DUAN J Y, LIU L X, WANG F K, ZHUGE F W, ZHAI T Y. A wafer-scale van der Waals dielectric made from an inorganic molecular crystal film[J]. Nat. Electron., 2021, 4: 906-913  doi: 10.1038/s41928-021-00683-w

    25. [25]

      HUANG J K, WAN Y, SHI J J, ZHANG J, WANG Z H, WANG W X, YANG N, LIU Y, LIN C H, GUAN X W, HU L, YANG Z L, HUANG B C, CHIU Y P, YANG J, TUNG V, WANG D Y, KALANTAR-ZADEH K, WU T, ZU X T, QIAO L, LI L J, LI S. High-κ perovskite membranes as insulators for two-dimensional transistors[J]. Nature, 2022, 605: 262-267  doi: 10.1038/s41586-022-04588-2

    26. [26]

      NING H K, YU Z H, ZHANG Q T, WEN H D, GAO B, MAO Y, LI Y K, ZHOU Y, ZHOU Y, CHEN J W, LIU L, WANG W F, LI T T, LI Y T, MENG W Q, LI W S, LI Y, QIU H, SHI Y, CHAI Y, WU H Q, WANG X R. An in-memory computing architecture based on a duplex two-dimensional material structure for in situ machine learning[J]. Nat. Nanotechnol, 2023, 18: 493-500  doi: 10.1038/s41565-023-01343-0

    27. [27]

      WANG Y, KIM J C, WU R J, MARTINEZ J, SONG X J, YANG J, ZHAO F, MKHOYAN A, JEONG H Y, CHHOWALLA M. Van der Waals contacts between three-dimensional metals and two- dimensional semiconductors[J]. Nature, 2019, 568: 70-74  doi: 10.1038/s41586-019-1052-3

    28. [28]

      ILLARIONOV Y Y, KNOBLOCH T, JECH M, LANZA M, AKINWANDE D, VEXLER M I, MUELLER T, LEMME M C, FIORI G, SCHWIERZ F, GRASSER T. Insulators for 2D nanoelectronics: The gap to bridge[J]. Nat. Commun., 2020, 11(1): 3385  doi: 10.1038/s41467-020-16640-8

    29. [29]

      ZENG D B, ZHANG Z Y, XUE Z Y, ZHANG M, CHU P K, MEI Y F, TIAN Z, DI Z F. Single-crystalline metal-oxide dielectrics for top-gate 2D transistors[J]. Nature, 2024, 632: 788-794  doi: 10.1038/s41586-024-07786-2

    30. [30]

      YUAN J S, JIAN C Y, SHANG Z H, YAO Y, WANG B C, LI Y X, WANG R T, FU Z P, LI M, HONG W T, HE X, CAI Q, LIU W. Controllable synthesis of nonlayered high-κ Mn3O4 single-crystal thin films for 2D electronics[J]. Nat. Commun., 2025, 16(1): 964  doi: 10.1038/s41467-025-56386-9

    31. [31]

      XU W T, JIANG J Y, CHEN Y J, TANG N, JIANG C B, YANG S X. Single-crystalline high-κ GdOCl dielectric for two-dimensional field-effect transistors[J]. Nat. Commun., 2024, 15(1): 9469  doi: 10.1038/s41467-024-53907-w

    32. [32]

      LIU L, LIU C S, JIANG L L, LI J Y, DING Y, WANG S Y, JIANG Y G, SUN Y B, WANG J L, CHEN S Y, ZHANG D W, ZHOU P. Ultrafast non-volatile flash memory based on van der Waals heterostructures[J]. Nat. Nanotechnol, 2021, 16: 874-881  doi: 10.1038/s41565-021-00921-4

    33. [33]

      LI W S, ZHOU J, CAI S H, YU Z H, ZHANG J L, FANG N, LI T T, WU Y, CHEN T S, XIE X Y, MA H B, YAN K, DAI N X, WU X J, ZHAO H J, WANG Z X, HE D W, PAN L J, SHI Y, WANG P, CHEN W, NAGASHIO K, DUAN X F, WANG X R. Uniform and ultrathin high-κ gate dielectrics for two-dimensional electronic devices[J]. Nat. Electron., 2019, 2: 563-571  doi: 10.1038/s41928-019-0334-y

    34. [34]

      JAYACHANDRAN D, PENDURTHI R, SADAF M U K, SAKIB N U, PANNONE A, CHEN C, HAN Y, TRAINOR N, KUMARI S, MC KNIGHT T V, REDWING J M, YANG Y, DAS S. Three-dimensional integration of two-dimensional field-effect transistors[J]. Nature, 2024, 625: 276-281  doi: 10.1038/s41586-023-06860-5

    35. [35]

      ZHU K C, PAZOS S, AGUIRRE F, SHEN Y Q, YUAN Y, ZHENG W W, ALHARBI O, VILLENA M A, FANG B, LI X Y, MILOZZI A, FARRONATO M, MUÑOZ-ROJO M, WANG T, LI R, FARIBORZI H, ROLDAN J B, BENSTETTER G, ZHANG X X, ALSHAREEF H N, GRASSER T, WU H Q, IELMINI D, LANZA M. Hybrid 2D-CMOS microchips for memristive applications[J]. Nature, 2023, 618: 57-62  doi: 10.1038/s41586-023-05973-1

    36. [36]

      YANG S J, LIU K L, XU Y S, LIU L X, LI H Q, ZHAI T Y. Gate dielectrics integration for 2D electronics: Challenges, advances, and outlook[J]. Adv. Mater., 2023, 35(18): 2207901  doi: 10.1002/adma.202207901

    37. [37]

      MA K Y, ZHANG L N, JIN S, WANG Y, YOON S I, HWANG H, OH J, JEONG D S, WANG M H, CHATTERJEE S, KIM G, JANG A R, YANG J, RYU S, JEONG H Y, RUOFF R S, CHHOWALLA M, DING F, SHIN H S. Epitaxial single-crystal hexagonal boron nitride multilayers on Ni(111)[J]. Nature, 2022, 606: 88-93  doi: 10.1038/s41586-022-04745-7

    38. [38]

      MAO J Y, JIN T Y, HOU X Y, TEO S L, LIN M, CHEN J S, CHEN W. Steep slope threshold switching field-effect transistors based on 2D heterostructure[J]. SmartMat, 2024, 5(6): e1283  doi: 10.1002/smm2.1283

    39. [39]

      ZHANG C C, TU T, WANG J Y, ZHU Y C, TAN C W, CHEN L, WU M, ZHU R X, LIU Y Z, FU H X, YU J, ZHANG Y C, CONG X Z, ZHOU X H, ZHAO J J, LI T R, LIAO Z N, WU X S, LAI K J, YAN B H, GAO P, HUANG Q Q, XU H, HU H P, LIU H T, YIN J B, PENG H L. Single-crystalline van der Waals layered dielectric with high dielectric constant[J]. Nat. Mater., 2023, 22: 832-837  doi: 10.1038/s41563-023-01502-7

    40. [40]

      LUO G, LI Z P, DAI J F, HE C, MA H, JIANG X M. Preparation and study on photocatalytic properties of Bi2O3/BiFeO3 heterojunction[J]. New Chemical Materials, 2025, 53(9): 256-261, 268

    41. [41]

      BOCHAROV V N, CHARYKOVA M V, KRIVOVICHEV V G. Raman spectroscopic characterization of the copper, cobalt, and nickel selenites: Synthetic analogs of chalcomenite, cobaltomenite, and ahlfeldite[J]. Spectrosc. Lett., 2017, 50: 539-544  doi: 10.1080/00387010.2017.1383921

    42. [42]

      LI H, ZHANG Q, YAP C C R, TAY B K, EDWIN T H T, OLIVIER A, BAILLARGEAT D. From bulk to monolayer MoS2: Evolution of Raman scattering[J]. Adv. Funct. Mater., 2012, 22: 1385-1390  doi: 10.1002/adfm.201102111

    43. [43]

      LEE C G, YAN H G, BRUS L E, HEINZ T F, HONE J, RYU S. Anomalous lattice vibrations of single- and few-layer MoS2[J]. ACS Nano, 2010, 4: 2695-2700  doi: 10.1021/nn1003937

    44. [44]

      PARK Y W, JERNG S K, JEON J H, ROY S B, AKBAR K, KIM J, SIM Y, SEONG M J, KIM J H, LEE Z, KIM M, YI Y, KIM J, NOH D Y, CHUN S H. Molecular beam epitaxy of large-area SnSe2 with monolayer thickness fluctuation[J]. 2D Mater., 2016, 4(1): 014006  doi: 10.1088/2053-1583/aa51a2

    45. [45]

      TERRONES H, CORRO E D, FENG S, POUMIROL J M, RHODES D, SMIRNOV D, PRADHAN N R, LIN Z, NGUYEN M A T, ELÍAS A L, MALLOUK T E, BALICAS L, PIMENTA M A, TERRONES M. New first order Raman-active modes in few layered transition metal dichalcogenides[J]. Sci. Rep., 2014, 4: 4215  doi: 10.1038/srep04215

    46. [46]

      ZHANG Z J. Multi-physics field strain induced modulation of optical characterization in two-dimensional transition metal dichalcogenides[D]. Chengdu: University of Electronic Science and Technology of China, 2024: 31-33

    47. [47]

      SHI Y, MA X F, LI X J, LI Y L, LIU M. Study on Raman spectra of two dimensional layered SnSe2 nanomaterial with different layers[J]. Shandong Science, 2018, 31(1): 43-47

    48. [48]

      XIE B. Chemical vapor deposition growth and thickness-dependent spectroscopic study of two-dimensional Bi2O2Se[D]. Nanjing: Southeast University, 2022: 54-55

    49. [49]

      LUCOVSKY G, WHITE R M, BENDA J A, REVELLI J F. Infrared-reflectance spectra of layered group-Ⅳ and group-Ⅵ transition-metal dichalcogenides[J]. Phys. Rev. B, 1973, 7: 3859-3870  doi: 10.1103/PhysRevB.7.3859

    50. [50]

      ZHAO Y Y, LUO X, LI H, ZHANG J, ARAUJO P T, GAN C K, WU J, ZHANG H, QUEK S Y, DRESSELHAUS M S, XIONG Q H. Interlayer breathing and shear modes in few-trilayer MoS2 and WSe2[J]. Nano Lett., 2013, 13: 1007-1015  doi: 10.1021/nl304169w

    51. [51]

      LI X S. Study of the preparation, layer number identification and optical properties of two-dimensional transition metal dichalcogenides[D]. Changchun: Northeast Normal University, 2018: 38-40

    52. [52]

      LIU X K, WANG J L, XU C Y, LUO J L, LIANG D S, CEN Y N, LÜ Y P, LI Z W. Temperature-dependent phonon shifts in mono-layer, few-layer, and bulk WS2 films[J]. Acta Phys. ‒Chim. Sin., 2019, 35(10): 1134-1141

    53. [53]

      WU C L, YANG M M, TAN L, MU Y X, ZHENG H, WANG J L, LAN F F, LI X L. Optical properties of WS2 with different thickness[J]. Journal of Hebei University (Natural Science Edition)[J]. 2024, 44(6): 613-618

    54. [54]

      ARORA H, FEKRI Z, VEKARIYA Y N, CHAVA P, WATANABE K, TANIGUCHI T, HELM M, ERBE A. Fully encapsulated and stable black phosphorus field-effect transistors[J]. Adv. Mater. Technol., 2022, 8(2): 2200546

  • 加载中
    1. [1]

      Kun RongCuilian WenJiansen WenXiong LiQiugang LiaoSiqing YanChao XuXiaoliang ZhangBaisheng SaZhimei Sun . Hierarchical MoS2/Ti3C2Tx heterostructure with excellent photothermal conversion performance for solar-driven vapor generation. Acta Physico-Chimica Sinica, 2025, 41(6): 100053-0. doi: 10.1016/j.actphy.2025.100053

    2. [2]

      Min WANGDehua XINWei ZHANGHaiying YANGYuchun WANGZhaorong LIUMeng SHILe SHI . Preparation and full-spectrum catalytic degradation performance of nitrogen vacancy g-C3N4/Bi/BiOBr/BiOI heterojunction material. Chinese Journal of Inorganic Chemistry, 2025, 41(11): 2283-2298. doi: 10.11862/CJIC.20250109

    3. [3]

      Chunling QinShuang ChenHassanien GomaaMohamed A. ShenashenSherif A. El-SaftyQian LiuCuihua AnXijun LiuQibo DengNing Hu . Regulating HER and OER Performances of 2D Materials by the External Physical Fields. Acta Physico-Chimica Sinica, 2024, 40(9): 2307059-0. doi: 10.3866/PKU.WHXB202307059

    4. [4]

      Huayan LiuYifei ChenMengzhao YangJiajun Gu . Strategies for enhancing capacity and rate performance of two-dimensional material-based supercapacitors. Acta Physico-Chimica Sinica, 2025, 41(6): 100063-0. doi: 10.1016/j.actphy.2025.100063

    5. [5]

      Mengfei HeChao ChenYue TangSi MengZunfa WangLiyu WangJiabao XingXinyu ZhangJiahui HuangJiangbo LuHongmei JingXiangyu LiuHua Xu . Epitaxial Growth of Nonlayered 2D MnTe Nanosheets with Thickness-Tunable Conduction for p-Type Field Effect Transistor and Superior Contact Electrode. Acta Physico-Chimica Sinica, 2025, 41(2): 100016-0. doi: 10.3866/PKU.WHXB202310029

    6. [6]

      Yuhang ZhangWeiwei ZhaoHongwei LiuJunpeng Lü . Progress on Self-Powered Photodetectors Based on Low-Dimensional Materials. Acta Physico-Chimica Sinica, 2025, 41(3): 100020-0. doi: 10.3866/PKU.WHXB202310004

    7. [7]

      Pengcheng YanPeng WangJing HuangZhao MoLi XuYun ChenYu ZhangZhichong QiHui XuHenan Li . Engineering Multiple Optimization Strategy on Bismuth Oxyhalide Photoactive Materials for Efficient Photoelectrochemical Applications. Acta Physico-Chimica Sinica, 2025, 41(2): 100014-0. doi: 10.3866/PKU.WHXB202309047

    8. [8]

      Yukai SHENZhaochao YANYangjun ZHOUMei HUANG . Nickel foam-supported NiFeP/NiFcDCA heterojunction electrocatalyst for efficient urea oxidation reaction. Chinese Journal of Inorganic Chemistry, 2026, 42(2): 237-246. doi: 10.11862/CJIC.20250257

    9. [9]

      Jia Zhou Huaying Zhong . Experimental Design of Computational Materials Science Combined with Machine Learning. University Chemistry, 2025, 40(3): 171-177. doi: 10.12461/PKU.DXHX202406004

    10. [10]

      Yujia LITianyu WANGFuxue WANGChongchen WANG . Direct Z-scheme MIL-100(Fe)/BiOBr heterojunctions: Construction and photo-Fenton degradation for sulfamethoxazole. Chinese Journal of Inorganic Chemistry, 2024, 40(3): 481-495. doi: 10.11862/CJIC.20230314

    11. [11]

      Yingqi BAIHua ZHAOHuipeng LIXinran RENJun LI . Perovskite LaCoO3/g-C3N4 heterojunction: Construction and photocatalytic degradation properties. Chinese Journal of Inorganic Chemistry, 2025, 41(3): 480-490. doi: 10.11862/CJIC.20240259

    12. [12]

      Jiawei HuKai XiaAo YangZhihao ZhangWen XiaoChao LiuQinfang Zhang . Interfacial Engineering of Ultrathin 2D/2D NiPS3/C3N5 Heterojunctions for Boosting Photocatalytic H2 Evolution. Acta Physico-Chimica Sinica, 2024, 40(5): 2305043-0. doi: 10.3866/PKU.WHXB202305043

    13. [13]

      Ke LiChuang LiuJingping LiGuohong WangKai Wang . Architecting Inorganic/Organic S-Scheme Heterojunction of Bi4Ti3O12 Coupling with g-C3N4 for Photocatalytic H2O2 Production from Pure Water. Acta Physico-Chimica Sinica, 2024, 40(11): 2403009-0. doi: 10.3866/PKU.WHXB202403009

    14. [14]

      Tong WANGQinyue ZHONGQiong HUANGWeimin GUOXinmei LIU . Mn-doped carbon quantum dots/Fe-doped ZnO flower-like microspheres heterojunction: Construction and photocatalytic performance. Chinese Journal of Inorganic Chemistry, 2025, 41(8): 1589-1600. doi: 10.11862/CJIC.20250011

    15. [15]

      Jingjing LiuAoqi WeiHao ZhangShuwang Duo . SnS2-based heterostructures: advances in photocatalytic and gas-sensing applications. Acta Physico-Chimica Sinica, 2025, 41(12): 100185-0. doi: 10.1016/j.actphy.2025.100185

    16. [16]

      Yushan CaiFang-Xing Xiao . Revisiting MXenes-based Photocatalysis Landscape: Progress, Challenges, and Future Perspectives. Acta Physico-Chimica Sinica, 2024, 40(8): 2306048-0. doi: 10.3866/PKU.WHXB202306048

    17. [17]

      Pengyu DongYue JiangZhengchi YangLicheng LiuGu LiXinyang WenZhen WangXinbo ShiGuofu ZhouJun-Ming LiuJinwei Gao . NbSe2 Nanosheets Improved the Buried Interface for Perovskite Solar Cells. Acta Physico-Chimica Sinica, 2025, 41(3): 100029-0. doi: 10.3866/PKU.WHXB202407025

    18. [18]

      Fangxuan LiuZiyan LiuGuowei ZhouTingting GaoWenyu LiuBin Sun . 中空结构光催化剂. Acta Physico-Chimica Sinica, 2025, 41(7): 100071-0. doi: 10.1016/j.actphy.2025.100071

    19. [19]

      Yajuan XingHui XueJing SunNiankun GuoTianshan SongJiawen SunYi-Ru HaoQin Wang . Cu3P-Induced Charge-Oriented Transfer and Surface Reconstruction of Ni2P to Achieve Efficient Oxygen Evolution Activity. Acta Physico-Chimica Sinica, 2024, 40(3): 2304046-0. doi: 10.3866/PKU.WHXB202304046

    20. [20]

      Yuanyin CuiJinfeng ZhangHailiang ChuLixian SunKai Dai . Rational Design of Bismuth Based Photocatalysts for Solar Energy Conversion. Acta Physico-Chimica Sinica, 2024, 40(12): 2405016-0. doi: 10.3866/PKU.WHXB202405016

Metrics
  • PDF Downloads(0)
  • Abstract views(3)
  • HTML views(0)

通讯作者: 陈斌, bchen63@163.com
  • 1. 

    沈阳化工大学材料科学与工程学院 沈阳 110142

  1. 本站搜索
  2. 百度学术搜索
  3. 万方数据库搜索
  4. CNKI搜索
Address:Zhongguancun North First Street 2,100190 Beijing, PR China Tel: +86-010-82449177-888
Powered By info@rhhz.net

/

DownLoad:  Full-Size Img  PowerPoint
Return