Citation: Qin′ai FENG, Jianjun LI, Lili ZHANG, Linxin WU, Huiling WANG, Wenjing HOU, Lei WANG, Mingjie REN. Amphiphilic surface modification of magnetic adsorbents and its adsorption properties of two microplastics[J]. Chinese Journal of Inorganic Chemistry, ;2026, 42(4): 789-807. doi: 10.11862/CJIC.20250208 shu

Amphiphilic surface modification of magnetic adsorbents and its adsorption properties of two microplastics

  • Corresponding author: Jianjun LI, lijj3@aust.edu.cn
  • Received Date: 12 November 2025
    Revised Date: 3 February 2026

Figures(20)

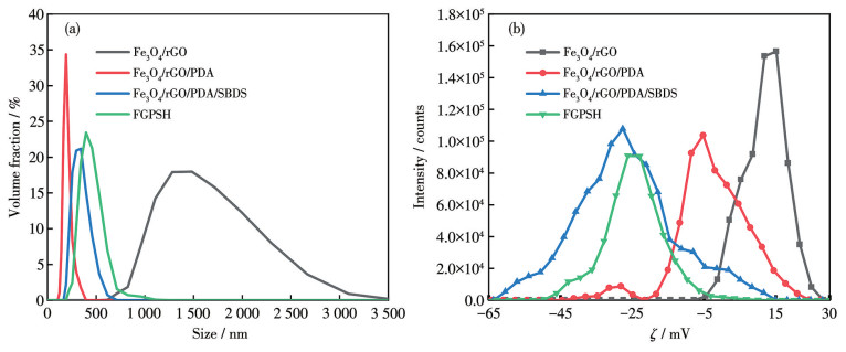
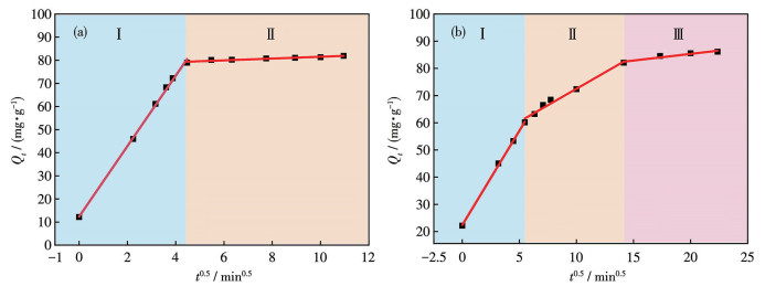
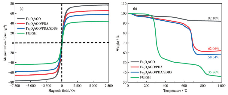
  • This study fabricated an amphiphilic magnetic composite Fe3O4/rGO/PDA (polydopamine)/SDBS/HSB, denoted as FGPSH, via a one-step solvothermal method followed by multi-surface modification. The composite was constructed using Fe3O4 and reduced graphene oxide (rGO) as core materials, grafted with dopamine hydrochloride (DA), sodium dodecylbenzenesulfonate (SDBS), and hexadecyl dimethyl hydroxypropyl sulfonated betaine (HSB1618). Its adsorption behavior toward polyvinyl chloride (PVC) and polyethylene terephthalate (PET) microplastics (MPs) in aqueous solutions was systematically investigated. Results showed that FGPSH exhibited a nanoporous spherical structure with an average particle size of 426.15 nm and an average pore size of 33.02 nm. It displayed excellent superparamagnetism, with a saturation magnetization of 44.15 emu·g-1, enabling efficient magnetic separation. The multilayer surface modification imparts both hydrophilic and hydrophobic properties, allowing high dispersibility in water while offering matched adsorption sites for MPs of different polarities, thereby achieving broad-spectrum and selective adsorption. Under optimized conditions (initial MPs mass concentration: 25 mg·L-1 for both PVC and PET; solution pH: 9.0; FGPSH dosage: 0.50 g·L-1 for PVC and 0.40 g·L-1 for PET; adsorption time: 30 min for PVC and 80 min for PET), the adsorption rates for PVC and PET reached 97.58% and 95.30%, respectively, with equilibrium capacities of 48.75 and 60.33 mg·g-1. After five adsorption-desorption cycles, the material maintained an adsorption efficiency exceeding 85%. Thermodynamic studies indicated that the adsorption of hydrophilic PVC followed pseudo-second-order kinetics and the Freundlich model, whereas the adsorption of hydrophobic PET conformed to the Langmuir model, reflecting distinct adsorption mechanisms based on MPs polarity.
  • 加载中
    1. [1]

      HU D F, SHEN M C, ZHANG Y X, ZENG G M. Micro(nano)plastics: An un-ignorable carbon source?[J]. Sci. Total Environ., 2019, 657: 108-110  doi: 10.1016/j.scitotenv.2018.12.046

    2. [2]

      REAL L E P. Recycled materials for construction applications: Plastic products and composites[M]. Lisbon: Springer Nature, 2022: 103-113

    3. [3]

      JOHNSTONE I. 10. Organisation for economic Co-operation and development (OECD)[J]. Yearbook of International Environmental Law, 2022, 33(1): 271-276

    4. [4]

      VETHAAK A D, LEGLER J. Microplastics and human health[J]. Science, 2021, 371(6530): 672-674  doi: 10.1126/science.abe5041

    5. [5]

      KHALID N, AQEEL M, NOMAN A. Microplastics could be a threat to plants in terrestrial systems directly or indirectly[J]. Environ. Pollut., 2020, 267: 115653  doi: 10.1016/j.envpol.2020.115653

    6. [6]

      REBELEIN A, INT-VEEN I, KAMMANN U, SCHARSACK J P. Microplastic fibers—Underestimated threat to aquatic organisms?[J]. Sci. Total Environ., 2021, 777: 146045  doi: 10.1016/j.scitotenv.2021.146045

    7. [7]

      LESLIE H A, VAN VELZEN M J, BRANDSMA S H, VETHAAK A D, GARCIA-VALLEJO J J, LAMOREE M H. Discovery and quantification of plastic particle pollution in human blood[J]. Environ. int., 2022, 163: 107199  doi: 10.1016/j.envint.2022.107199

    8. [8]

      KUTRALAM-MUNIASAMY G, SHRUTI V C, PEREZ-GUEVARA F, ROY P D. Microplastic diagnostics in humans: “The 3Ps” progress, problems, and prospects[J]. Sci. Total Environ., 2023, 856: 159164  doi: 10.1016/j.scitotenv.2022.159164

    9. [9]

      WU D, FENG Y D, WANG R, JIANG J, GUAN Q Q, YANG X, WEI H C, XIA Y K, LUO Y M. Pigment microparticles and microplastics found in human thrombi based on Raman spectral evidence[J]. J. Adv. Res., 2023, 49: 141-150  doi: 10.1016/j.jare.2022.09.004

    10. [10]

      ANDRADY A L. Microplastics in the marine environment[J]. Mar. Pollut. Bull., 2011, 62(8): 1596-1605  doi: 10.1016/j.marpolbul.2011.05.030

    11. [11]

      THOMPSON R C, OLSEN Y, MITCHELL R P, DAVIS A, ROWLAND S J, JOHN A W G, MCGONIGLE D, RUSSELL A E. Lost at sea: Where is all the plastic?[J]. Science, 2004, 304(5672): 838  doi: 10.1126/science.1094559

    12. [12]

      DING G G, WANG J S, WANG Y Z, WANG X, ZHAO K, LI R Z, GENG X F, WEN J, CHEN B, ZHAO X, WU X D. An innovative miniaturized cell imaging system based on integrated coaxial dual optical path structure and microfluidic fixed frequency sample loading strategy[J]. IEEE Trans. Instrum. Meas., 2023, 72: 1-17

    13. [13]

      HANIF M A, IBRAHIM N, DAHALAN F A, ALI U F M, HASAN M, JALIL A A. Microplastics and nanoplastics: Recent literature studies and patents on their removal from aqueous environment[J]. Sci. Total Environ., 2022, 810: 152115  doi: 10.1016/j.scitotenv.2021.152115

    14. [14]

      ASENSIO-MONTESINOS F, RAMÍREZ M O, GONZÁLEZ-LEAL J M, CARRIZO D, ANFUSO G. Characterization of plastic beach litter by Raman spectroscopy in south‑western Spain[J]. Sci. Total Environ., 2020, 744: 140890  doi: 10.1016/j.scitotenv.2020.140890

    15. [15]

      DÜMICHEN E, EISENTRAUT P, BANNICK C G, BARTHEL A K, SENZ R, BRAUN U. Fast identification of microplastics in complex environmental samples by a thermal degradation method[J]. Chemosphere, 2017, 174: 572-584  doi: 10.1016/j.chemosphere.2017.02.010

    16. [16]

      SIMON-SÁNCHEZ L, GRELAUD M, GARCIA-ORELLANA J, ZIVERI P. River deltas as hotspots of microplastic accumulation[J]. Sci. Total Environ., 2019, 687: 1186-1196  doi: 10.1016/j.scitotenv.2019.06.168

    17. [17]

      KUMAR R, VERMA A, RAKIB M R J, GUPTA P K, SHARMA P, GARG A, GIRARD P, AMINABHAVI T M. Adsorptive behavior of micro (nano) plastics through biochar: Co-existence, consequences, and challenges in contaminated ecosystems[J]. Sci. Total Environ., 2023, 856: 159097  doi: 10.1016/j.scitotenv.2022.159097

    18. [18]

      SUN C Z, WANG Z G, ZHENG H, CHEN L Y, LI F M. Biodegradable and re-usable sponge materials made from chitin for efficient removal of microplastics[J]. J. Hazard. Mater., 2021, 420: 126599  doi: 10.1016/j.jhazmat.2021.126599

    19. [19]

      GUO X, WANG J L. The chemical behaviors of microplastics in marine environment: A review[J]. Mar. Pollut. Bull., 2019, 142: 1-14

    20. [20]

      CAO Y T, SATHISH C, GUAN X W, WANG S B, PALANISAMI T, VINU A, YI J B. Advances in magnetic materials for microplastic separation and degradation[J]. J. Hazard. Mater., 2024, 461: 132537  doi: 10.1016/j.jhazmat.2023.132537

    21. [21]

      LI J, CHEN X H, YU S G, CUI M. Removal of pristine and aged microplastics from water by magnetic biochar: Adsorption and magnetization[J]. Sci. Total Environ., 2023, 875: 162647  doi: 10.1016/j.scitotenv.2023.162647

    22. [22]

      HE D F, ZHANG X T, HU J N. Methods for separating microplastics from complex solid matrices: Comparative analysis[J]. J. Hazard. Mater., 2021, 409: 124640  doi: 10.1016/j.jhazmat.2020.124640

    23. [23]

      GRBIC J, NGUYEN B, GUO E, YOU J B, SINTON D, ROCHMAN C M. Magnetic extraction of microplastics from environmental samples[J]. Environ. Sci. Technol. Lett., 2019, 6(2): 68-72  doi: 10.1021/acs.estlett.8b00671

    24. [24]

      ELMACI G. Microwave-assisted rapid synthesis of C@Fe3O4 composite for removal of microplastics from drinking water[J]. ADYU. J. Sci., 2020, 10(1): 207-217

    25. [25]

      MULLAIMALAR A, JEYALAKSHMI R. Fabrication of superhydrophobic copper slag-based inorganic polymer adsorbents by silane grafting using response surface methodology for the removal of microplastics from aqueous solutions[J]. J. Water Process Eng., 2025, 69: 106620  doi: 10.1016/j.jwpe.2024.106620

    26. [26]

      LI Y Y, ZHANG S J, LIU S H, CHEN Y H, LUO M Q, LI J H, XU S, HOU X H. Eco-friendly hydrophobic ZIF-8/sodium alginate monolithic adsorbent: An efficient trap for microplastics in the aqueous environment[J]. J. Colloid Interface Sci., 2024, 661: 259-270  doi: 10.1016/j.jcis.2024.01.182

    27. [27]

      LI X C, XU X Y, XIA F L, BU L X, QIU H X, CHEN M X, ZHANG L, GAO J P. Electrochemically active MnO2/RGO nanocomposites using Mn powder as the reducing agent of GO and the MnO2 precursor[J]. Electrochim. Acta, 2014, 130: 305-313  doi: 10.1016/j.electacta.2014.03.040

    28. [28]

      SHI C L, GENG J J, QU X X, NIU F L, YANG J J, WANG J. Experimental study on enhanced magnetic removal of microplastics in water using modified maifanite[J]. J. Environ. Chem. Eng, 2025, 13(2): 116014  doi: 10.1016/j.jece.2025.116014

    29. [29]

      LI W H, LIU S H, HUANG K, QIN S B, LIANG B, WANG J. Preparation of magnetic Janus microparticles for the rapid removal of microplastics from water[J]. Sci. Total Environ., 2023, 903: 166627  doi: 10.1016/j.scitotenv.2023.166627

    30. [30]

      PEREZ-GARNES M, MORALES V, SANZ R, GARCIA-MUNOZ R A. Cytostatic and cytotoxic effects of hollow-shell mesoporous silica nanoparticles containing magnetic iron oxide[J]. Nanomaterials, 2021, 11(9): 2455  doi: 10.3390/nano11092455

    31. [31]

      KOO H Y, LEE H J, NOH Y Y, LEE E S, KIM Y H, CHOI W S. Gold nanoparticle-doped graphene nanosheets: Sub-nanosized gold clusters nucleate and grow at the nitrogen-induced defects on graphene surfaces[J]. J. Mater. Chem., 2012, 22(15): 7130-7135  doi: 10.1039/c2jm16195h

    32. [32]

      LEE Y S, BAE J Y, KOO H Y, LEE Y B, CHOI W S. A remote- controlled generation of gold@polydopamine (core@shell) nanoparticles via physical-chemical stimuli of polydopamine/gold composites[J]. Sci. Rep., 2016, 6(1): 22650  doi: 10.1038/srep22650

    33. [33]

      OLATUNJI M A, KHANDAKER M U, MAHMUD H N M E. Adsorption kinetics, equilibrium and radiation effect studies of radioactive cesium by polymer-based adsorbent[J]. J. Vinyl Addit. Technol., 2018, 24(4): 347-357  doi: 10.1002/vnl.21620

    34. [34]

      WANG H P, HUANG X H, CHEN J N, DONG M, NIE C Z, QIN L. Modified superhydrophobic magnetic Fe3O4 nanoparticles for removal of microplastics in liquid foods[J]. Chem. Eng. J., 2023, 476: 146562  doi: 10.1016/j.cej.2023.146562

    35. [35]

      PARASHAR N, HAIT S. Cetyl trimethyl ammonium bromide-modified magnetic biochar-integrated sand filter for microplastics removal from secondary-treated sewage effluents: Performance evaluation and mechanistic insights[J]. J. Water Process. Eng., 2024, 59: 105035  doi: 10.1016/j.jwpe.2024.105035

    36. [36]

      SING K S W. Reporting physisorption data for gas/solid systems with special reference to the determination of surface area and porosity[J]. Pure Appl. Chem., 1982, 54(11): 2201-2218  doi: 10.1351/pac198254112201

    37. [37]

      ELMOBARAK W F, ALMOMANI F. A new insight into the separation of oil from oil/water emulsion by Fe3O4-SiO2 nanoparticles[J]. Environ. Res., 2021, 202: 111645  doi: 10.1016/j.envres.2021.111645

    38. [38]

      ZHANG Y F, DUAN J J, LIU R Q, PETROPOULO E, FENG Y F, XUE L H, YANG L Z, HE S Y. Efficient magnetic capture of PE microplastic from water by PEG modified Fe3O4 nanoparticles: Performance, kinetics, isotherms and influence factors[J]. J. Environ. Sci., 2025, 147: 677-687  doi: 10.1016/j.jes.2023.07.025

    39. [39]

      SEIDENSTICKER S, GRATHWOHL P, LAAMPRECHT J, ZZARFL C. A combined experimental and modeling study to evaluate pH-dependent sorption of polar and non-polar compounds to polyethylene and polystyrene microplastics[J]. Environ. Sci Eur., 2018, 30: 30  doi: 10.1186/s12302-018-0155-z

    40. [40]

      RIZWAN M, LIN Q M, CHEN X J, LI Y Y, LI G T, ZHAO X R, TIAN Y F. Synthesis, characterization and application of magnetic and acid modified biochars following alkaline pretreatment of rice and cotton straws[J]. Sci. Total Environ., 2020, 714: 136532  doi: 10.1016/j.scitotenv.2020.136532

    41. [41]

      TANG Y, ZHANG S H, SU Y L, WU D, ZHAO Y P, XIE B. Removal of microplastics from aqueous solutions by magnetic carbon nanotubes[J]. Chem. Eng. J., 2021, 406: 126804  doi: 10.1016/j.cej.2020.126804

    42. [42]

      DUAN X T, CHEN X, SHI L L, CAO Y R, LIANG Y C, HUANG C, CAO Y X. Functionality-dependent removal efficiency and mechanisms of polystyrene microplastics by a robust magnetic biochar[J]. J. Environ. Chem. Eng., 2025, 13(2): 115509  doi: 10.1016/j.jece.2025.115509

    43. [43]

      GANIE Z A, KHANDELWAL N, TIWARI E, SINGH N, DARBHA G K. Biochar-facilitated remediation of nanoplastic contaminated water: Effect of pyrolysis temperature induced surface modifications[J]. J. Hazard. Mater., 2021, 417: 126096  doi: 10.1016/j.jhazmat.2021.126096

    44. [44]

      ULLAH H, ALOMAR T S, TARIQ M, ALMASOUD N, BHATTI M H, AJMAL M, NAZAR Z, NADEEM M, ASIF H M, SOHAIL M. Nanoarchitectonics of molybdenum rich crown shaped polyoxometalates based ionic liquids reinforced on magnetic nanoparticles for the removal of microplastics and heavy metals from water[J]. J. Environ. Chem. Eng., 2024, 12(6): 114257  doi: 10.1016/j.jece.2024.114257

    45. [45]

      ZHANG L, SUN M Y, LI X Y, LIU M Y, CHU H Y, WANG C C, WANG P, YI X Y, WANG Y, DENG J. Uranium extraction from radioactive wastewater by NH2-MIL-125 immobilized in a double-network aerogel microsphere[J]. ACS Sustainable Chem. Eng., 2025, 13(14): 5345-5354  doi: 10.1021/acssuschemeng.5c00543

    46. [46]

      JIN R T, ZHAO C L, SONG Y X, QIU X J, LI C X, ZHAO Y X. Competitive adsorption of sulfamethoxazole and bisphenol A on magnetic biochar: Mechanism and site energy distribution[J]. Environ. Pollut., 2023, 329: 121662  doi: 10.1016/j.envpol.2023.121662

    47. [47]

      ZHAO H H, CUI W Q, YANG S Q, ZHENG K, SONG F M, LIU Z F, JI P H. Potential of a novel magnetic gangue material for remediating wastewater and field co-polluted by microplastics and heavy metals[J]. Sep. Purif. Technol., 2025, 368: 133030  doi: 10.1016/j.seppur.2025.133030

    48. [48]

      YI X H, WANG C C. Metal-organic frameworks on 3D interconnected macroporous sponge foams for large-scale water decontamination: A mini review[J]. Chin. Chem. Lett., 2024, 35(5): 109094  doi: 10.1016/j.cclet.2023.109094

    49. [49]

      ARAGÓN D, GARCÍA-MERINO B, BARQUÍN C, BRINGAS E, RIVERO M J, ORTIZ I. Advanced green capture of microplastics from different water matrices by surface-modified magnetic nanoparticles[J]. Sep. Purif. Technol., 2025, 354: 128813  doi: 10.1016/j.seppur.2024.128813

    50. [50]

      YU Y, MO W Y, LUUKKONEN T. Adsorption behaviour and interaction of organic micropollutants with nano and microplastics—A review[J]. Sci. Total Environ., 2021, 797: 149140  doi: 10.1016/j.scitotenv.2021.149140

    51. [51]

      SUN Y Z, JI J H, TAO J G, YANG Y Y, WU D, HAN L F, LI S, WANG J. Current advances in interactions between microplastics and dissolved organic matters in aquatic and terrestrial ecosystems[J]. Trac-Trends Anal. Chem., 2023, 158: 116882  doi: 10.1016/j.trac.2022.116882

  • 加载中
    1. [1]

      Jingke LIUJia CHENYingchao HAN . Nano hydroxyapatite stable suspension system: Preparation and cobalt adsorption performance. Chinese Journal of Inorganic Chemistry, 2024, 40(9): 1763-1774. doi: 10.11862/CJIC.20240060

    2. [2]

      Hui WangAbdelkader LabidiMenghan RenFeroz ShaikChuanyi Wang . Recent Progress of Microstructure-Regulated g-C3N4 in Photocatalytic NO Conversion: The Pivotal Roles of Adsorption/Activation Sites. Acta Physico-Chimica Sinica, 2025, 41(5): 100039-0. doi: 10.1016/j.actphy.2024.100039

    3. [3]

      Peng XUShasha WANGNannan CHENAo WANGDongmei YU . Preparation of three-layer magnetic composite Fe3O4@polyacrylic acid@ZiF-8 for efficient removal of malachite green in water. Chinese Journal of Inorganic Chemistry, 2024, 40(3): 544-554. doi: 10.11862/CJIC.20230239

    4. [4]

      Yadan LuoHao ZhengXin LiFengmin LiHua TangXilin She . Modulating reactive oxygen species in O, S co-doped C3N4 to enhance photocatalytic degradation of microplastics. Acta Physico-Chimica Sinica, 2025, 41(6): 100052-0. doi: 10.1016/j.actphy.2025.100052

    5. [5]

      Shuting Zhuang Lida Zhao . Teaching through Research: A Comprehensive Experiment on Carbon Quantum Dots from Microplastic Waste. University Chemistry, 2025, 40(10): 217-224. doi: 10.12461/PKU.DXHX202412010

    6. [6]

      Guang Huang Lei Li Dingyi Zhang Xingze Wang Yugai Huang Wenhui Liang Zhifen Guo Wenmei Jiao . Cobalt’s Valor, Nickel’s Foe: A Comprehensive Chemical Experiment Utilizing a Cobalt-based Imidazolate Framework for Nickel Ion Removal. University Chemistry, 2024, 39(8): 174-183. doi: 10.3866/PKU.DXHX202311051

    7. [7]

      Fugui XIDu LIZhourui YANHui WANGJunyu XIANGZhiyun DONG . Functionalized zirconium metal-organic frameworks for the removal of tetracycline from water. Chinese Journal of Inorganic Chemistry, 2025, 41(4): 683-694. doi: 10.11862/CJIC.20240291

    8. [8]

      Wei Li Jinfan Xu Yongjun Zhang Ying Guan . 共价有机框架整体材料的制备及食品安全非靶向筛查应用——推荐一个仪器分析综合化学实验. University Chemistry, 2025, 40(6): 276-285. doi: 10.12461/PKU.DXHX202406013

    9. [9]

      Shiyi ChenJialong FuJianping QiuGuoju ChangShiyou Hao . Waste medical mask-derived carbon quantum dots enhance the photocatalytic degradation of polyethylene terephthalate (PET) over BiOBr/g-C3N4 S-scheme heterojunction. Acta Physico-Chimica Sinica, 2026, 42(1): 100135-0. doi: 10.1016/j.actphy.2025.100135

    10. [10]

      Zeyu XUAnlei DANGBihua DENGXiaoxin ZUOYu LUPing YANGWenzhu YIN . Evaluation of the efficacy of graphene oxide quantum dots as an ovalbumin delivery platform and adjuvant for immune enhancement. Chinese Journal of Inorganic Chemistry, 2024, 40(6): 1065-1078. doi: 10.11862/CJIC.20240099

    11. [11]

      Jing Wang Pingping Li Yuehui Wang Yifan Xiu Bingqian Zhang Shuwen Wang Hongtao Gao . Treatment and Discharge Evaluation of Phosphorus-Containing Wastewater. University Chemistry, 2024, 39(5): 52-62. doi: 10.3866/PKU.DXHX202309097

    12. [12]

      Ting YANGJia ANJinyu ZHANGRuonan FANRong YANXiaoxia JINGPanpan CHANGWei YAN . Synergistic enhancement of ion migration and sulfur conversion kinetics in lithium-sulfur batteries by CeO2/g-C3N4. Chinese Journal of Inorganic Chemistry, 2026, 42(3): 519-530. doi: 10.11862/CJIC.20250274

    13. [13]

      Ningyuan Chen Qingyi Zeng Zhiqiang Kuang Peicong Tian Dazhi Yan Weiliang Jin Deming Kong . Digital-Assisted Experimental Study on Dye Adsorption by Porous Materials. University Chemistry, 2026, 41(1): 321-331. doi: 10.12461/PKU.DXHX202504072

    14. [14]

      Qianqian Zhong Yucui Hao Guotao Yu Lijuan Zhao Jingfu Wang Jian Liu Xiaohua Ren . Comprehensive Experimental Design for the Preparation of the Magnetic Adsorbent Based on Enteromorpha Prolifera and Its Utilization in the Purification of Heavy Metal Ions Wastewater. University Chemistry, 2024, 39(8): 184-190. doi: 10.3866/PKU.DXHX202312013

    15. [15]

      Jie ZHAOSen LIUQikang YINXiaoqing LUZhaojie WANG . Theoretical calculation of selective adsorption and separation of CO2 by alkali metal modified naphthalene/naphthalenediyne. Chinese Journal of Inorganic Chemistry, 2024, 40(3): 515-522. doi: 10.11862/CJIC.20230385

    16. [16]

      Jianan Zhang Mengzhen Xu Jiamin Liu Yufei He . 面向“双碳”目标的脱氯吸附剂开发研究型综合实验设计. University Chemistry, 2025, 40(6): 248-255. doi: 10.12461/PKU.DXHX202408068

    17. [17]

      Shuhong XiangLv YangYingsheng XuGuoxin CaoHongjian Zhou . Selective electrosorption of Cs(Ⅰ) from high-salinity radioactive wastewater using CNT-interspersed potassium zinc ferrocyanide electrodes. Acta Physico-Chimica Sinica, 2025, 41(9): 100097-0. doi: 10.1016/j.actphy.2025.100097

    18. [18]

      Yanyan ZhaoZhen WuYong ZhangBicheng ZhuJianjun Zhang . Enhancing photocatalytic H2O2 production via dual optimization of charge separation and O2 adsorption in Au-decorated S-vacancy-rich CdIn2S4. Acta Physico-Chimica Sinica, 2025, 41(11): 100142-0. doi: 10.1016/j.actphy.2025.100142

    19. [19]

      Qiuting Zhang Fan Wu Jin Liu Zian Lin . Chromatographic Stationary Phase and Chiral Separation Using Frame Materials. University Chemistry, 2025, 40(4): 291-298. doi: 10.12461/PKU.DXHX202405174

    20. [20]

      Shuanglin TIANTinghong GAOYutao LIUQian CHENQuan XIEQingquan XIAOYongchao LIANG . First-principles study of adsorption of Cl2 and CO gas molecules by transition metal-doped g-GaN. Chinese Journal of Inorganic Chemistry, 2024, 40(6): 1189-1200. doi: 10.11862/CJIC.20230482

Metrics
  • PDF Downloads(1)
  • Abstract views(2)
  • HTML views(0)

通讯作者: 陈斌, bchen63@163.com
  • 1. 

    沈阳化工大学材料科学与工程学院 沈阳 110142

  1. 本站搜索
  2. 百度学术搜索
  3. 万方数据库搜索
  4. CNKI搜索
Address:Zhongguancun North First Street 2,100190 Beijing, PR China Tel: +86-010-82449177-888
Powered By info@rhhz.net

/

DownLoad:  Full-Size Img  PowerPoint
Return