Citation: Weizhong LING, Jingyi LIN, Jianglin ZHU, Yuyi LIANG, Shanshan DAI, Yu LI. Syntheses, structures, and catalytic performances of complexes with 4,4′-dihydroxy-[1,1′-biphenyl]-3,3′-dicarboxylic acid ligands[J]. Chinese Journal of Inorganic Chemistry, ;2026, 42(1): 152-160. doi: 10.11862/CJIC.20250204 shu

Syntheses, structures, and catalytic performances of complexes with 4,4′-dihydroxy-[1,1′-biphenyl]-3,3′-dicarboxylic acid ligands

  • Corresponding author: Yu LI, liyuletter@163.com
  • Received Date: 13 June 2025
    Revised Date: 25 September 2025

Figures(12)

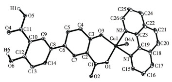
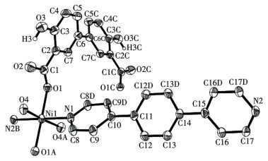
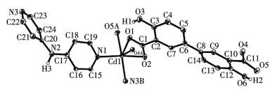
  • Three copper(Ⅱ), nickel and cadmium(Ⅱ) complexes, namely [Cu2(μ-H2dbda)2(phen)2]·2H2O (1), [Ni(μ-H2dbda)(μ-bpb)(H2O)2]n (2), and [Cd(μ-H2dbda)(μ-bpa)]n (3), have been constructed hydrothermally using H4dbda (4,4′-dihydroxy-[1,1′-biphenyl]-3,3′-dicarboxylic acid), phen (1,10-phenanthroline), bpb (1,4-bis(pyrid-4-yl)benzene), bpa (bis(4-pyridyl)amine), and copper, nickel and cadmium chlorides at 160 ℃. The products were isolated as stable crystalline solids and were characterized by IR spectra, elemental analyses, thermogravimetric analyses, and single-crystal X-ray diffraction analyses. Single-crystal X-ray diffraction analyses revealed that three complexes crystallize in the monoclinic P21/n, tetragonal I42d, and orthorhombic P21212 space groups. The complexes exhibit molecular dimers (1) or 2D metal-organic networks (2 and 3). The catalytic performances in the Knoevenagel reaction of these complexes were investigated. Complex 1 exhibits an effective catalytic activity and excellent reusability as a heterogeneous catalyst in the Knoevenagel reaction at room temperature.
  • 加载中
    1. [1]

      KUMAR S, MOHAN B, MUSIKAVANHU B, WANG X, MUHAMMAD R, YANG X, REN P. Metal-polymer-coordinated complexes: An expedient class of hybrid functional materials[J]. Coord. Chem. Rev., 2025, 524: 216286  doi: 10.1016/j.ccr.2024.216286

    2. [2]

      RAJESH R U, MATHEW T, KUMAR H, SINGHAI A, THOMAS L. Metal-organic frameworks: Recent advances in synthesis strategies and applications[J]. Inorg. Chem. Commun., 2024, 162: 112223  doi: 10.1016/j.inoche.2024.112223

    3. [3]

      CHAKRABORTY G, PARK I, MEDISHETTY R, VITTAL J J. Two-dimensional metal-organic framework materials: Synthesis, structures, properties and applications[J]. Chem. Rev., 2021, 121: 3751-3891  doi: 10.1021/acs.chemrev.0c01049

    4. [4]

      MAURIN G, SERRE C, COOPER A, FEREY G. The new age of MOFs and their porous-related solids[J]. Chem. Soc. Rev., 2017, 46(11): 3104-3017  doi: 10.1039/C7CS90049J

    5. [5]

      CHEN Z J, KIRLIKOVALI K O, LI P, FARHA O K. Reticular chemistry for highly porous metal-organic frameworks: The chemistry and applications[J]. Accounts Chem. Res., 2022, 55(4): 579-591  doi: 10.1021/acs.accounts.1c00707

    6. [6]

      FAN L M, LIU Z J, ZHANG Y J, ZHAO D S, YANG J D, ZHANG X T. p-Terphenyl-2,2″,5″,5‴-tetracarboxylate acid based bifunctional 1D zinc(Ⅱ) metal-organic platform for luminescent sensing and gas adsorption[J]. Inorg. Chem. Commun., 2019, 107: 107463  doi: 10.1016/j.inoche.2019.107463

    7. [7]

      WU D, LIU J, JIN J, CHENG J G, WANG M, YANG G P, WANG Y Y. New doubly interpenetrated MOF with [Zn4O] clusters and its doped isomorphic MOF: Sensing, dye, and gas adsorption capacity[J]. Cryst. Growth Des., 2019, 19(11): 6774-6783  doi: 10.1021/acs.cgd.9b01193

    8. [8]

      FAN W D, YUAN S, WANG W J, FENG L, LIU X P, ZHANG X R, WANG X, KANG Z X, DAI F N, YUAN D Q, SUN D F, ZHOU H C. Optimizing multivariate metal-organic frameworks for efficient C2H2/CO2 separation[J]. J. Am. Chem. Soc., 2020, 142(19): 8728-8737  doi: 10.1021/jacs.0c00805

    9. [9]

      FAN W D, WANG X, LIU X P, XU R, ZHANG X R, WANG W J, WANG X K, WANG Y T, DAI F N, YUAN D Q, SUN D F. Regulating C2H2 and CO2 storage and separation through pore environment modification in a microporous Ni-MOF[J]. ACS Sustain. Chem. Eng., 2019, 7(2): 2134-2140  doi: 10.1021/acssuschemeng.8b04783

    10. [10]

      SALIMI S, AKHBARI K F, FARNIA S M, TYLIANAKIS E E, FROUDAKIS G M, WHITE J. Nanoporous metal-organic framework based on furan-2,5-dicarboxylic acid with high potential in selective adsorption and separation of gas mixtures[J]. Cryst. Growth Des., 2024, 24(10): 4220-4231  doi: 10.1021/acs.cgd.4c00349

    11. [11]

      KAVAK E, ŞEVIK M, DEĞIRMENCI G, ALP ARICI T, ÖZDEMIR R, ARICI M. Multifunctional anionic Zn(Ⅱ)-MOF for selective CO2 adsorption, cationic dye removal, and luminescence-based pH sensing[J]. Crys. Growth Des., 2024, 24(6): 2415-2424  doi: 10.1021/acs.cgd.3c01311

    12. [12]

      ANDRADE L S, LIMA H H L B, SILVA C T P, AMORIM W L N, POCO J G R, LOPEZ-CASTILLO A, KIRILLOVA M V, CARVALHO W A, KIRILLOV A M, MANDELLI D. Metal-organic frameworks as catalysts and biocatalysts for methane oxidation: The current state of the art[J]. Coord. Chem. Rev., 2023, 481: 215042  doi: 10.1016/j.ccr.2023.215042

    13. [13]

      KANG X Q, REN C, MEI Z Z, FAN X X, XUE J J, SHAO Y L, GU J Z. Hydrothermal assembly, structural multiplicity, and catalytic Knoevenagel condensation reaction of a series of coordination polymers based on a pyridine-tricarboxylic acid[J]. Molecules, 2023, 28: 7474  doi: 10.3390/molecules28227474

    14. [14]

      ZHENG Y, SHEN Q, LI Z, JING X, DUAN C. Two copper-containing polyoxometalate-based metal-organic complexes as heterogeneous catalysts for the C—H bond oxidation of benzylic compounds and olefin epoxidation[J]. Inorg. Chem., 2022, 61(29): 11156-11164  doi: 10.1021/acs.inorgchem.2c01073

    15. [15]

      MARKAD D, MANDAL S K. Synthesis and structural characterization of a novel dinuclear Cu(Ⅱ) complex: An efficient and recyclable bifunctional heterogeneous catalyst for the diastereoselective Henry reaction[J]. Dalton Trans., 2018, 47(17): 5928-5932  doi: 10.1039/C8DT00708J

    16. [16]

      ZHAO L, DU Z G, JI G F, WANG Y F, CAI W, HE C, DUAN C Y. Eosin Y-containing metal-organic framework as a heterogeneous catalyst for direct photoactivation of inert C—H bonds[J]. Inorg. Chem., 2022, 61(19): 7256-7265  doi: 10.1021/acs.inorgchem.1c03813

    17. [17]

      LI K, LIU Y F, LIN X L, YANG G P. Copper-containing polyoxometalate-based metal-organic frameworks as heterogeneous catalysts for the synthesis of N-heterocycles[J]. Inorg. Chem., 2022, 61(18): 6934-6942  doi: 10.1021/acs.inorgchem.2c00287

    18. [18]

      REN M Y, LI C, HU T P, FAN L M, ZHANG X T. Robust nitro-functionalized {Zn3}-organic framework for excellent catalytic performance on cycloaddition reaction of CO2 with epoxides and Knoevenagel condensation[J]. Cryst. Growth Des., 2024, 24(8): 3473-3482  doi: 10.1021/acs.cgd.4c00209

    19. [19]

      KUMARI P, PANDA T. Role of N-rich coordination environment in metal-organic frameworks for enhanced photocatalytic dye degradation[J]. Cryst. Growth Des., 2024, 24(11): 4493-4500  doi: 10.1021/acs.cgd.4c00141

    20. [20]

      PATEL N, SHUKLA P, LAMA P, DAS S, PAL T K. Engineering of metal-organic frameworks as ratiometric sensors[J]. Cryst. Growth Des., 2022, 22(5): 3518-3564  doi: 10.1021/acs.cgd.1c01268

    21. [21]

      MÖRTEL M, OSCHWALD J, SCHEURER A, DREWELLO T, KHUSNIYAROV M M. Molecular valence tautomeric metal complexes for chemosensing[J]. Inorg. Chem., 2021, 60(18): 14230-14237  doi: 10.1021/acs.inorgchem.1c01731

    22. [22]

      SARKAR S, DAGA P, MONDAL S K, MAHATA P. Functional three-dimensional Ce-based coordination polymer: Synthesis, structure, and selective sensing of lysine and arginine based on the luminescence turn-on effect[J]. Cryst. Growth Des., 2024, 24(11): 4748-4757  doi: 10.1021/acs.cgd.4c00354

    23. [23]

      SHEN S, LIU Y, HUANG K, ZHANG X Y, QIN D B, ZHAO B. Developing a bifunctional copper-organic framework for fluorescence turn-on Hg2+ sensing and catalyzing CO2 cycloaddition reaction[J]. Cryst. Growth Des., 2024, 24(11): 4333-4341  doi: 10.1021/acs.cgd.3c01447

    24. [24]

      HUNG P Q, LIN P Y, WANG X H, HO J A. Metal-organic frameworks in diagnostics, therapeutics, and other biomedical applications[J]. J. Chin. Chem. Soc., 2023, 70: 1284-1296  doi: 10.1002/jccs.202300101

    25. [25]

      MEI Z Z, WANG H Y, KANG X Q, SHAO Y L, GU J Z. Syntheses, crystal structures, and catalytic properties of three zinc(Ⅱ), nickel(Ⅱ) and cobalt(Ⅱ) coordination polymers constructed from 4,4′-(pyridin-3,5-diyl)dibenzoic acid[J]. Chinese J. Inorg. Chem., 2024, 40(9): 1795-1802

    26. [26]

      GU J Z, WEN M, CAI Y, SHI Z F, AROL A S, KIRILLOVA M V, M. KIRILLOV A. Metal-organic architectures assembled from multifunctional polycarboxylates: Hydrothermal self-assembly, structures, and catalytic activity in alkane oxidation[J]. Inorg. Chem., 2019, 58(4): 2403-2412  doi: 10.1021/acs.inorgchem.8b02926

    27. [27]

      LOUKOPOULOS E, KOSTAKIS G E. Review: Recent advances of one-dimensional coordination polymers as catalysts[J]. J. Coord. Chem., 2018, 71: 371-410  doi: 10.1080/00958972.2018.1439163

    28. [28]

      HARTMANN M, FISCHER M. Amino-functionalized basic catalysts with MIL-101[J]. Microporous Mesoporous Mat., 2012, 164: 38-43  doi: 10.1016/j.micromeso.2012.06.044

    29. [29]

      LIN X M, LI T T, CHEN L F, ZHANG L, SU C Y. Two ligand-functionalized Pb(Ⅱ) metal-organic frameworks: Structures and catalytic performances[J]. Dalton Trans., 2012, 41(34): 10422-10429  doi: 10.1039/c2dt30935a

    30. [30]

      GASCON J, AKTAY U, HERNANDEZ-ALONSO M D, VAN KLINK G P M, KAPTEIJN F. Amino-based metal-organic frameworks as stable, highly active basic catalysts[J]. J. Catal., 2009, 261: 75-87  doi: 10.1016/j.jcat.2008.11.010

    31. [31]

      BIAN Y J, QIN Y, XIAO L W, LI J T. New advances of Knoevenagel condensation reactions[J]. Chin. J. Org. Chem., 2006, 26(9): 1165-1172

    32. [32]

      CHENG X Y, GUO L R, WANG H Y, GU J Z, YANG Y, KIRILLOVA M V, KIRILLOV A M. Coordination polymers from biphenyl-dicarboxylate linkers: Synthesis, structural divisity, interpenetration, and catalytic properties[J]. Inorg. Chem., 2022, 61(32): 12577-12590  doi: 10.1021/acs.inorgchem.2c01488

    33. [33]

      ZHANG H R, KANG X Q, GU J Z. Synthesis of coordination compounds with 4′-(carboxymethoxy)-[1,1′-biphenyl]-4-carboxylate ligand and their catalytic activities towards the Knoevenagel condensation and cyanosilylation reactions[J]. J. Saudi Chem. Soc., 2024, 28: 101817  doi: 10.1016/j.jscs.2024.101817

    34. [34]

      FAN W D, WANG Y T, XIAO Z Y, ZHANG L L, GONG Y Q, DAI F N, WANG R M, SUN D F. A stable amino-functionalized interpenetrated metal-organic framework exhibiting gas selectivity and pore-size-dependent catalytic performance[J]. Inorg. Chem., 2017, 56(22): 13634-13637  doi: 10.1021/acs.inorgchem.7b02148

    35. [35]

      WANG X F, ZHOU S B, DU C C, WANG D Z, JIA D. Seven new Zn(Ⅱ)/Cd(Ⅱ) coordination polymers with 2-(hydroxymethyl)-1H-benzo dimidazole-5-carboxylic acid: Synthesis, structures and properties[J]. J. Solid State Chem., 2017, 252: 72-85  doi: 10.1016/j.jssc.2017.04.039

    36. [36]

      YAO C, ZHOU S L, KANG X J, ZHAO Y, YAN R, ZHANG Y, WEN L L. A cationic zinc-organic framework with Lewis acidic and basic bifunctional sites as an efficient solvent-free catalyst: CO2 fixation and Knoevenagel condensation reaction[J]. Inorg. Chem., 2018, 57(17): 11157-11164  doi: 10.1021/acs.inorgchem.8b01713

    37. [37]

      LAHA B, KHULLAR S, GOGIA A, MANDAL S K. Effecting structural diversity in a series of Co(Ⅱ)-organic frameworks by the interplay between rigidity of a dicarboxylate and flexibility of bis (tridentate) spanning ligands[J]. Dalton Trans., 2020, 49(35): 12298-12310  doi: 10.1039/D0DT02153A

  • 加载中
    1. [1]

      Zhenghua ZHAOQin ZHANGYufeng LIUZifa SHIJinzhong GU . Syntheses, crystal structures, catalytic and anti-wear properties of nickel(Ⅱ) and zinc(Ⅱ) coordination polymers based on 5-(2-carboxyphenyl)nicotinic acid. Chinese Journal of Inorganic Chemistry, 2024, 40(3): 621-628. doi: 10.11862/CJIC.20230342

    2. [2]

      Weizhong LINGXiangyun CHENWenjing LIUYingkai HUANGYu LI . Syntheses, crystal structures, and catalytic properties of three zinc(Ⅱ), cobalt(Ⅱ) and nickel(Ⅱ) coordination polymers constructed from 5-(4-carboxyphenoxy)nicotinic acid. Chinese Journal of Inorganic Chemistry, 2024, 40(9): 1803-1810. doi: 10.11862/CJIC.20240068

    3. [3]

      Kaimin WANGXiong GUNa DENGHongmei YUYanqin YEYulu MA . Synthesis, structure, fluorescence properties, and Hirshfeld surface analysis of three Zn(Ⅱ)/Cu(Ⅱ) complexes based on 5-(dimethylamino) isophthalic acid. Chinese Journal of Inorganic Chemistry, 2024, 40(7): 1397-1408. doi: 10.11862/CJIC.20240009

    4. [4]

      Lulu DONGJie LIUHua YANGYupei FUHongli LIUXiaoli CHENHuali CUILin LIUJijiang WANG . Synthesis, crystal structure, and fluorescence properties of Cd-based complex with pcu topology. Chinese Journal of Inorganic Chemistry, 2025, 41(4): 809-820. doi: 10.11862/CJIC.20240171

    5. [5]

      Jiarong ZHUXiaohua ZHANGXinting XIONGXuliang NIEXiuying SONGMiaomiao ZHANGDayong PENGXiuguang YI . Crystal structure, Hirshfeld surface analysis, and antifungal activity of five complexes based on 2,5-bis(carboxymethoxy)terephthalic acid. Chinese Journal of Inorganic Chemistry, 2025, 41(11): 2358-2370. doi: 10.11862/CJIC.20250150

    6. [6]

      Zhenghua ZHAOYufeng LIUQing ZHANGZifa SHIJinzhong GU . Syntheses, crystal structures, catalytic and anti-wear properties of zinc(Ⅱ), nickel(Ⅱ) and cadmium(Ⅱ) complexes constructed from a terphenyl-tricarboxylate ligand. Chinese Journal of Inorganic Chemistry, 2026, 42(1): 170-180. doi: 10.11862/CJIC.20250161

    7. [7]

      Zhenzhong MEIHongyu WANGXiuqi KANGYongliang SHAOJinzhong GU . Syntheses and catalytic performances of three coordination polymers with tetracarboxylate ligands. Chinese Journal of Inorganic Chemistry, 2024, 40(9): 1795-1802. doi: 10.11862/CJIC.20240081

    8. [8]

      Long TANGYaxin BIANLuyuan CHENXiangyang HOUXiao WANGJijiang WANG . Syntheses, structures, and properties of three coordination polymers based on 5-ethylpyridine-2,3-dicarboxylic acid and N-containing ligands. Chinese Journal of Inorganic Chemistry, 2024, 40(10): 1975-1985. doi: 10.11862/CJIC.20240180

    9. [9]

      Xuyu WANGXinran XIEDengke CAO . Photoreaction characteristics and luminescence modulation in phosphine-anthracene-based Au(Ⅰ) and Ir(Ⅲ) complexes. Chinese Journal of Inorganic Chemistry, 2025, 41(8): 1513-1522. doi: 10.11862/CJIC.20250113

    10. [10]

      Shuixing Dai Jilei Jiang Yuxiao Wang Jinqi Hu Minghua Huang . Application of Knoevenagel Reaction in Organic Chemistry Teaching. University Chemistry, 2025, 40(5): 334-341. doi: 10.12461/PKU.DXHX202405208

    11. [11]

      Weichen WANGChunhua GONGJunyong ZHANGYanfeng BIHao XUJingli XIE . Construction of two metal-organic frameworks by rigid bis(triazole) and carboxylate mixed-ligands and their catalytic properties for CO2 cycloaddition reaction. Chinese Journal of Inorganic Chemistry, 2024, 40(7): 1377-1386. doi: 10.11862/CJIC.20230415

    12. [12]

      Xinting XIONGZhiqiang XIONGPanlei XIAOXuliang NIEXiuying SONGXiuguang YI . Synthesis, crystal structures, Hirshfeld surface analysis, and antifungal activity of two complexes Na(Ⅰ)/Cd(Ⅱ) assembled by 5-bromo-2-hydroxybenzoic acid ligands. Chinese Journal of Inorganic Chemistry, 2024, 40(9): 1661-1670. doi: 10.11862/CJIC.20240145

    13. [13]

      Xiaotong LUPan ZHANGZijie ZHAOLei HUANGHongwei ZUOLili LIANG . Antitumor and antibacterial activities of pyridyl Schiff base indium and dysprosium complexes. Chinese Journal of Inorganic Chemistry, 2025, 41(8): 1523-1532. doi: 10.11862/CJIC.20250073

    14. [14]

      Dan PENGHao WANGYanyan WANGHongpeng YOUWuping LIAO . Synthesis and fluorescent properties of a one-dimensional Tb-calixarene complex as a luminescent thermometer material. Chinese Journal of Inorganic Chemistry, 2025, 41(9): 1859-1866. doi: 10.11862/CJIC.20250128

    15. [15]

      Yingjian Shang Xuefeng Zhao Tao Wu Yanhui He Xing Guo Hongwei Si Lijuan Jiao Erhong Hao Wei Miao . A stereochemically stable double-helical trinuclear bis(tridipyrrin) complex exhibiting near-infrared chiroptical properties. Chinese Journal of Structural Chemistry, 2025, 44(12): 100722-100722. doi: 10.1016/j.cjsc.2025.100722

    16. [16]

      Hongping ZhaoWeiming Yuan . Merging catalytic electron donor-acceptor complex and copper catalysis: Enantioselective radical carbocyanation of alkenes. Chinese Chemical Letters, 2025, 36(10): 110894-. doi: 10.1016/j.cclet.2025.110894

    17. [17]

      Yingying YanWanhe JiaRui CaiChun Liu . An AIPE-active fluorinated cationic Pt(Ⅱ) complex for efficient detection of picric acid in aqueous media. Chinese Chemical Letters, 2024, 35(5): 108819-. doi: 10.1016/j.cclet.2023.108819

    18. [18]

      Ting ZhangBaojing HuangHong HuangAiling YanShiqiang LuXufang Qian . Visible light boosted Fenton-like reaction of carbon dot-Fe(Ⅲ) complex: Kinetics and mechanism insights. Chinese Chemical Letters, 2025, 36(11): 110885-. doi: 10.1016/j.cclet.2025.110885

    19. [19]

      Boyuan HuJian ZhangYulin YangYayu DongJiaqi WangWei WangKaifeng LinDebin Xia . Dual-functional POM@IL complex modulate hole transport layer properties and interfacial charge dynamics for highly efficient and stable perovskite solar cells. Chinese Chemical Letters, 2024, 35(7): 108933-. doi: 10.1016/j.cclet.2023.108933

    20. [20]

      Jimin HOUMengyang LIChunhua GONGShaozhuang ZHANGCaihong ZHANHao XUJingli XIE . Synthesis, structures, and properties of metal-organic frameworks based on bipyridyl ligands and isophthalic acid. Chinese Journal of Inorganic Chemistry, 2025, 41(3): 549-560. doi: 10.11862/CJIC.20240348

Metrics
  • PDF Downloads(0)
  • Abstract views(50)
  • HTML views(10)

通讯作者: 陈斌, bchen63@163.com
  • 1. 

    沈阳化工大学材料科学与工程学院 沈阳 110142

  1. 本站搜索
  2. 百度学术搜索
  3. 万方数据库搜索
  4. CNKI搜索
Address:Zhongguancun North First Street 2,100190 Beijing, PR China Tel: +86-010-82449177-888
Powered By info@rhhz.net

/

DownLoad:  Full-Size Img  PowerPoint
Return