Citation: Jinlian SHI, Xiaoru LIU, Zhongxuan XU. Ligand-directed construction of cobalt-oxo cluster-based organic frameworks: Structural modulation, semiconductor, and antiferromagnetic properties[J]. Chinese Journal of Inorganic Chemistry, ;2026, 42(1): 45-54. doi: 10.11862/CJIC.20250196 shu

Ligand-directed construction of cobalt-oxo cluster-based organic frameworks: Structural modulation, semiconductor, and antiferromagnetic properties

  • Corresponding author: Zhongxuan XU, xuzhongxuan4201@163.com
  • Received Date: 9 June 2025
    Revised Date: 3 November 2025

Figures(6)

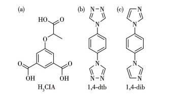
  • Under hydrothermal and solvothermal conditions, two novel cobalt-based complexes, {[Co2(CIA)(OH)(1, 4-dtb)]·2H2O}n (HU23) and {[Co2(CIA)(OH)(1, 4-dib)]·3.5H2O·DMF}n (HU24), were successfully constructed by coordinatively assembling the semi-rigid multidentate ligand 5-(1-carboxyethoxy)isophthalic acid (H3CIA) with the N-heterocyclic ligands 1, 4-di(4H-1, 2, 4-triazol-4-yl)benzene (1, 4-dtb) and 1, 4-di(1H-imidazol-1-yl)benzene (1, 4-dib), respectively, around Co2+ ions. Single-crystal X-ray diffraction analysis revealed that in both complexes HU23 and HU24, the CIA3- anions adopt a κ7-coordination mode, bridging six Co2+ ions via their five carboxylate oxygen atoms and one ether oxygen atom. This linkage forms tetranuclear [Co4(μ3-OH)2]6+ units. These Co-oxo cluster units were interconnected by CIA3- anions to assemble into 2D kgd-type structures featuring a 3, 6-connected topology. The 2D layers were further connected by 1, 4-dtb and 1, 4-dib, resulting in 3D pillar-layered frameworks for HU23 and HU24. Notably, despite the similar configurations of 1, 4-dtb and 1, 4-dib, differences in their coordination spatial orientations lead to topological divergence in the 3D frameworks of HU23 and HU24. Topological analysis indicates that the frameworks of HU23 and HU24 can be simplified into a 3, 10-connected net (point symbol: (410.63.82)(43)2) and a 3, 8-connected tfz-d net (point symbol: (43)2(46.618.84)), respectively. This structural differentiation confirms the precise regulatory role of ligands on the topology of metal-organic frameworks. Moreover, the ultraviolet-visible absorption spectra confirmed that HU23 and HU24 have strong absorption capabilities for ultraviolet and visible light. According to the Kubelka-Munk method, their bandwidths were 2.15 and 2.08 eV, respectively, which are consistent with those of typical semiconductor materials. Variable-temperature magnetic susceptibility measurements (2-300 K) revealed significant antiferromagnetic coupling in both complexes, with their effective magnetic moments decreasing markedly as the temperature lowered.
  • 加载中
    1. [1]

      CHU J Q, LI L, LIU L, HAN Z B. A twelve-connected 3D mixed valence Ni(Ⅱ)/Ni(Ⅲ) metal-organic framework based on hexnuclear nickel clusters building unit: Synthesis, structure and magnetic properties[J]. Inorg. Chem. Commun., 2022, 140: 109431  doi: 10.1016/j.inoche.2022.109431

    2. [2]

      BERA M K, SARMAH S, SANTRA D C, HIGUCHI M H. Heterometallic supramolecular polymers: From synthesis to properties and applications[J]. Coord. Chem. Rev., 2024, 501: 215573  doi: 10.1016/j.ccr.2023.215573

    3. [3]

      DONG J Q, LIU Y, CUI Y. Supramolecular chirality in metal-organic complexes[J]. Accounts Chem. Res., 2021, 54: 194-206  doi: 10.1021/acs.accounts.0c00604

    4. [4]

      CHEN D M, ZHENG Y P, SHI D Y, FANG S M. An acid-base resistant polyoxometalate-based metal-organic framework constructed from {Cu4Cl}7+ and {Cu2(CO2)4} clusters for photocatalytic degradation of organic dye[J]. J. Solid State Chem., 2020, 287: 121384  doi: 10.1016/j.jssc.2020.121384

    5. [5]

      GU Z G, ZHANG C H, ZHANG J, BU X H. Chiral chemistry of metal-camphorate frameworks[J]. Chem. Soc. Rev., 2016, 45: 3122-3144  doi: 10.1039/C6CS00051G

    6. [6]

      GHEORGHE A, TEPASKE M A, TANASE S. Homochiral metal-organic frameworks as heterogeneous catalysts[J]. Inorg. Chem. Front., 2018, 5: 1512-1523  doi: 10.1039/C8QI00063H

    7. [7]

      LAN G X, LI Z, VERONEAU S S, ZHU Y Y, XU Z W, WANG C, LIN W B. Photosensitizing metal-organic layers for efficient sunlight-driven carbon dioxide reduction[J]. J. Am. Chem. Soc., 2018, 140: 12369-12373  doi: 10.1021/jacs.8b08357

    8. [8]

      PAN Z H, WENG Z Z, KONG X J, LONG L S, ZHENG L S. Lanthanide-containing clusters for catalytic water splitting and CO2 conversion[J]. Coord. Chem. Rev., 2022, 457: 214419  doi: 10.1016/j.ccr.2022.214419

    9. [9]

      LI T, ZHANG R R, FANG N J, SHI Y B, LI J H, HE C S, CHU Y H. Metal cluster-mediated photocatalysis: Synthesis, characterization and application[J]. Nanoscale, 2025, 17: 9834-9869  doi: 10.1039/D5NR00506J

    10. [10]

      ZHANG R W, LI X F, ZHOU H, ZHAO Y J, ZHAO J Q, WU P, HUANG Q, TIAN D. A Cu-modified Th6-based framework for regulating products in photocatalytic oxidation of tetrahydroisoquinoline[J]. New J. Chem., 2025, 49: 6694-6701  doi: 10.1039/D5NJ00330J

    11. [11]

      YU X J, KHAN S U, JIN Z X, WU Q, PANG H J, MA H Y, WANG X M, TAN L C, YANG G X. Water cluster encapsulated polyoxometalate-based hydrogen-bonded supramolecular frameworks (PHSFs) as a new family of high-capacity electrode materials[J]. J. Energy Storage, 2022, 53: 105192  doi: 10.1016/j.est.2022.105192

    12. [12]

      MAHAJAN S, LAHTINEN M. 3D zinc-organic frameworks based on mixed thiophene dicarboxylate and 4-amino-3, 5-bis(4-pyridyl)-1, 2, 4-triazole linkers: Syntheses, structural diversity, and single-crystal-to-single-crystal transformations[J]. Cryst. Growth Des., 2024, 24: 747-762  doi: 10.1021/acs.cgd.3c01172

    13. [13]

      LUO X L, LAN D, LIN Y, PAN Z Z, YANG T, LU R M. A two-dimensional framework with U-shaped Cu4I4 cluster linked by semi-rigid ligand: Synthesis, crystal structure and luminescent properties[J]. J. Mol. Struct., 2022, 1251: 131958  doi: 10.1016/j.molstruc.2021.131958

    14. [14]

      JIANG G M, LIU X Y, JIAN H L, LU P, BAI J W, ZHANG G Z, YUN W, LI S Q, HE Y Z. Cu-clusters nodes of 2D metal-organic frameworks as a cost-effective noble-metal-free cocatalyst with high atom-utilization efficiency for efficient photocatalytic hydrogen evolution[J]. Chin. Chem. Lett., 2022, 33: 3049-3052  doi: 10.1016/j.cclet.2021.09.047

    15. [15]

      LV W, HAN S D, LI X Y, WANG G M. Coordination chemistry and magnetic properties of polynuclear metal clusters/cluster-based frameworks with tripodal alcohol ligands[J]. Coord. Chem. Rev., 2023, 495: 215376  doi: 10.1016/j.ccr.2023.215376

    16. [16]

      ZHANG M M, ZHAO J S, LI S Q, LUO X L, ZHANG S T, SHAO Y Z, ZHU X F. Cu-based metal-organic frameworks characterized by Ⅴ-shaped ligands and application to efficient separation of C2H2/CO2 and C2H2/CH4[J]. Cryst. Growth Des., 2025, 25: 2002-2012  doi: 10.1021/acs.cgd.4c01524

    17. [17]

      WANG S J, ALAVI M A, KARIZI F Z, TEHRAIN A A, YAN X W, MORSALI A, HU M L. A pillar-layered metal-organic framework based on pinwheel trinuclear zinc-carboxylate clusters: Synthesis and characterization[J]. Mater. Lett., 2021, 287: 129261  doi: 10.1016/j.matlet.2020.129261

    18. [18]

      XU Z X, XIAO Y, KANG Y, ZHANG L, ZHANG J. Homochiral cluster-organic frameworks constructed from enantiopure lactate derivatives[J]. Cryst. Growth Des., 2015, 15: 4676-4686  doi: 10.1021/acs.cgd.5b00958

    19. [19]

      XU Z X, AO K H, ZHANG J. A pair of novel Cd(Ⅱ) enantiomers based on lactate derivatives: Synthesis, crystal structures and properties[J]. J. Solid State Chem., 2016, 241: 105-109  doi: 10.1016/j.jssc.2016.06.001

    20. [20]

      XU Z X, YANG J, XU Y Y, ZHENG Y J, LIU X R, FEI F. Chiral Ca-Mn-frameworks with double helical chains and one-dimensional channels constructed from enantiomorphous lactate synthons[J]. J. Solid State Chem., 2024, 339: 124917  doi: 10.1016/j.jssc.2024.124917

    21. [21]

      ZHAO F H, ZHAO Z H, LI Y S, FENG R, HAN T, HE Y C, LI Z L. Two diverse 3D 6-connected Cd(Ⅱ)/Co(Ⅱ) MOFs based on binuclear clusters as fluorescence sensors for detection of Fe3+, Cr2O72- and nitrobenzene[J]. J. Mol. Struct., 2024, 1298: 137051  doi: 10.1016/j.molstruc.2023.137051

    22. [22]

      XIE C Z, LUO R, GAO Q, ZHANG X, ZHANG D M, FAN Y H, BI S Y, SHAO F. Photocatalytic degradation of dyes and magnetic properties in two one-dimensional coordination polymers[J]. Polyhedron, 2024, 250: 116825  doi: 10.1016/j.poly.2024.116825

    23. [23]

      SALAH M B, VILMINOT S, ANDRÉ G, RICHARD-PLOUET M, MHIRI T, TAKAGI S, KURMOOK M. Nuclear and magnetic structures and magnetic properties of the layered cobalt hydroxysulfate Co5(OH)6(SO4)2(H2O)4 and its deuterated analogue, Co5(OD)6(SO4)2(D2O)4[J]. J. Am. Chem. Soc., 2006, 128: 7972-7981  doi: 10.1021/ja061302p

    24. [24]

      LINES M E. Orbital angular momentum in the theory of paramagnetic cluster[J]. J. Chem. Phys., 1971, 55: 2977-2984  doi: 10.1063/1.1676524

  • 加载中
    1. [1]

      Xiaoru LIUJinlian SHIYajia ZHENGShuangcun MOZhongxuan XU . Two Ni-based frameworks with helices and dinuclear units constructed from semi-rigid carboxylic acid and imidazole derivatives. Chinese Journal of Inorganic Chemistry, 2025, 41(4): 797-808. doi: 10.11862/CJIC.20240328

    2. [2]

      Xuetian WANGJijiang WANGLong TANGErlin YUEXiao WANGYuqi ZHANG . A three-dimensional zinc(Ⅱ) metal-organic framework based on nitrogen-containing ligands for the detection of 2,4-dinitrophenylhydrazine and tetracycline. Chinese Journal of Inorganic Chemistry, 2026, 42(4): 861-871. doi: 10.11862/CJIC.20250294

    3. [3]

      Wenhao ChenMuxuan WuHan ChenLue MoYirong Zhu . Cu2Se@C thin film with three-dimensional braided structure as a cathode material for enhanced Cu2+ storage. Chinese Chemical Letters, 2024, 35(5): 108698-. doi: 10.1016/j.cclet.2023.108698

    4. [4]

      Yuhang Li Yang Ling Yanhang Ma . Application of three-dimensional electron diffraction in structure determination of zeolites. Chinese Journal of Structural Chemistry, 2024, 43(4): 100237-100237. doi: 10.1016/j.cjsc.2024.100237

    5. [5]

      Jun-Jie Fang Yun-Peng Xie Xing Lu . Organooxotin and cobalt/manganese heterometallic nanoclusters exhibiting single-molecule magnetism. Chinese Journal of Structural Chemistry, 2025, 44(4): 100515-100515. doi: 10.1016/j.cjsc.2025.100515

    6. [6]

      Chao Ma Peng Guo Zhongmin Liu . DNL-16: A new zeolitic layered silicate unraveled by three-dimensional electron diffraction. Chinese Journal of Structural Chemistry, 2024, 43(4): 100235-100235. doi: 10.1016/j.cjsc.2024.100235

    7. [7]

      Shiyu HouMaolin SunLiming CaoChaoming LiangJiaxin YangXinggui ZhouJinxing YeRuihua Cheng . Computational fluid dynamics simulation and experimental study on mixing performance of a three-dimensional circular cyclone-type microreactor. Chinese Chemical Letters, 2024, 35(4): 108761-. doi: 10.1016/j.cclet.2023.108761

    8. [8]

      Yang LULiangliang HUANGWei ZHAOXin WANGYanfeng BI . Syntheses, proton conduction, and transport mechanism of two three-dimensional lanthanum phosphite-oxalates. Chinese Journal of Inorganic Chemistry, 2025, 41(10): 2127-2137. doi: 10.11862/CJIC.20250149

    9. [9]

      Runtan GaoYang ZongTingting LiNa LiuZongquan Wu . Three-dimensional supramolecular polymer frameworks with precisely tunable and large apertures for enzyme encapsulation. Chinese Chemical Letters, 2026, 37(1): 111582-. doi: 10.1016/j.cclet.2025.111582

    10. [10]

      Yifan LIUZhan ZHANGRongmei ZHUZiming QIUHuan PANG . A three-dimensional flower-like Cu-based composite and its low-temperature calcination derivatives for efficient oxygen evolution reaction. Chinese Journal of Inorganic Chemistry, 2024, 40(5): 979-990. doi: 10.11862/CJIC.20240008

    11. [11]

      Hui GuMingyue GaoKuan ShenTianli ZhangJunhao ZhangXiangjun ZhengXingmei GuoYuanjun LiuFu CaoHongxing GuQinghong KongShenglin Xiong . F127 assisted fabrication of Ge/rGO/CNTs nanocomposites with three-dimensional network structure for efficient lithium storage. Chinese Chemical Letters, 2024, 35(9): 109273-. doi: 10.1016/j.cclet.2023.109273

    12. [12]

      Bangdi GEXiaowei SONGZhiqiang LIANG . A bifunctional three-dimensional Eu-MOF fluorescent probe for highly sensitive detection of 2, 4, 6-trinitrophenol and tetracycline. Chinese Journal of Inorganic Chemistry, 2025, 41(10): 2165-2174. doi: 10.11862/CJIC.20250190

    13. [13]

      Xin HeFeng LiuTao Tu . Double redox-mediated intrinsic semiconductor photocatalysis: Practical semi-heterogeneous synthesis. Chinese Chemical Letters, 2025, 36(3): 110621-. doi: 10.1016/j.cclet.2024.110621

    14. [14]

      Muhammad Riaz Rakesh Kumar Gupta Di Sun Mohammad Azam Ping Cui . Selective adsorption of organic dyes and iodine by a two-dimensional cobalt(II) metal-organic framework. Chinese Journal of Structural Chemistry, 2024, 43(12): 100427-100427. doi: 10.1016/j.cjsc.2024.100427

    15. [15]

      Ning LiuMan TianYe ZhangJinming YangZhihao WangWangxi DaiGuixiang QuanJianqiu LeiXiaodong ZhangLiang Tang . Three-dimensional MIL-88A(Fe)-derived α-Fe2O3 and graphene composite for efficient photo-Fenton-like degradation of ciprofloxacin. Chinese Chemical Letters, 2025, 36(12): 111063-. doi: 10.1016/j.cclet.2025.111063

    16. [16]

      Qingyan JIANGYanyong SHAChen CHENXiaojuan CHENWenlong LIUHao HUANGHongjiang LIUQi LIU . Constructing a one-dimensional Cu-coordination polymer-based cathode material for Li-ion batteries. Chinese Journal of Inorganic Chemistry, 2024, 40(4): 657-668. doi: 10.11862/CJIC.20240004

    17. [17]

      Xin-Tong ZhaoJin-Zhi GuoWen-Liang LiJing-Ping ZhangXing-Long Wu . Two-dimensional conjugated coordination polymer monolayer as anode material for lithium-ion batteries: A DFT study. Chinese Chemical Letters, 2024, 35(6): 108715-. doi: 10.1016/j.cclet.2023.108715

    18. [18]

      Dan PENGHao WANGYanyan WANGHongpeng YOUWuping LIAO . Synthesis and fluorescent properties of a one-dimensional Tb-calixarene complex as a luminescent thermometer material. Chinese Journal of Inorganic Chemistry, 2025, 41(9): 1859-1866. doi: 10.11862/CJIC.20250128

    19. [19]

      Weizhong LINGXiangyun CHENWenjing LIUYingkai HUANGYu LI . Syntheses, crystal structures, and catalytic properties of three zinc(Ⅱ), cobalt(Ⅱ) and nickel(Ⅱ) coordination polymers constructed from 5-(4-carboxyphenoxy)nicotinic acid. Chinese Journal of Inorganic Chemistry, 2024, 40(9): 1803-1810. doi: 10.11862/CJIC.20240068

    20. [20]

      Yue QianZhoujia LiuHaixin SongRuize YinHanni YangSiyang LiWeiwei XiongSaisai YuanJunhao ZhangHuan Pang . Imide-based covalent organic framework with excellent cyclability as an anode material for lithium-ion battery. Chinese Chemical Letters, 2024, 35(6): 108785-. doi: 10.1016/j.cclet.2023.108785

Metrics
  • PDF Downloads(8)
  • Abstract views(1102)
  • HTML views(95)

通讯作者: 陈斌, bchen63@163.com
  • 1. 

    沈阳化工大学材料科学与工程学院 沈阳 110142

  1. 本站搜索
  2. 百度学术搜索
  3. 万方数据库搜索
  4. CNKI搜索
Address:Zhongguancun North First Street 2,100190 Beijing, PR China Tel: +86-010-82449177-888
Powered By info@rhhz.net

/

DownLoad:  Full-Size Img  PowerPoint
Return