Citation: Wang CHEN, Guixian WU, Yingying XIONG, Ming CHENG, Mingming ZHOU, Hui ZHANG, Zhengyun LIANG, Dejin HUANG, Minghua CHEN. Crystal structures of complexes of cyclobutanocucurbit[5]uril with Na+/K+: Coordination state in different anionic environments[J]. Chinese Journal of Inorganic Chemistry, ;2026, 42(1): 161-169. doi: 10.11862/CJIC.20250195 shu

Crystal structures of complexes of cyclobutanocucurbit[5]uril with Na+/K+: Coordination state in different anionic environments

  • Corresponding author: Minghua CHEN, gui_zhou_chen@163.com
  • Received Date: 9 June 2025
    Revised Date: 23 September 2025

Figures(6)

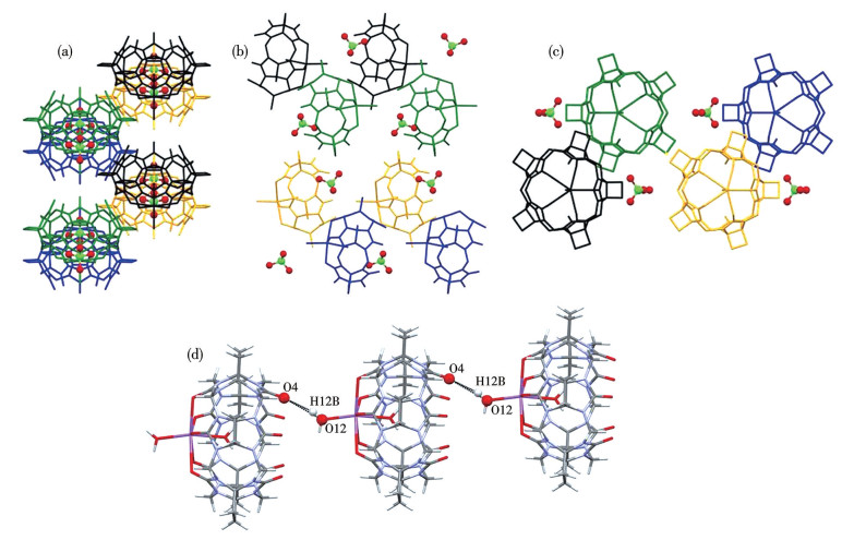
  • The complexes 1-4 of cyclobutanocucurbit[5]uril (CyB5Q[5]) with Na+/K+ have been synthesized and characterized by single-crystal X-ray diffraction. The results show that although the inorganic salts are used when the cations are the same and the anions are different, in complex 1, Na+ closes one port of CyB5Q[5] through Na—O seven coordination bonds to form a molecular bowl; in complex 3, Na+ completely closes the two ports of CyB5Q[5] to form a molecular capsule with six Na—O coordination bonds; in complexes 2 and 4, the two ports of CyB5Q[5] are completely closed to form K—O coordinated molecular capsules, but the K+ of complex 2 is six-coordinated and that of complex 4 is eight-/nine-coordinated. and complex 4 are connected by three oxygen bridges to form a 1D molecular chain.
  • 加载中
    1. [1]

      DAI X Y, HUO M, LIU Y. Phosphorescence resonance energy transfer from purely organic supramolecular assembly[J]. Nat. Rev. Chem., 2023, 7: 854-874  doi: 10.1038/s41570-023-00555-1

    2. [2]

      SONG S Q, ZHANG H Z, LIU Y. Light-controlled macrocyclic supramolecular assemblies and luminescent behaviors[J]. Accounts Mater. Res., 2024, 5(9): 1109-1120  doi: 10.1021/accountsmr.4c00157

    3. [3]

      WU Y F, HUA H J, WANG Q C. CB[5] analogue based supramolecular polymer with AIE behaviors[J]. New J. Chem., 2018, 42: 8320-8324  doi: 10.1039/C8NJ00633D

    4. [4]

      SHEN F F, ZHANG Y M, DAI X Y, ZHANG H Y, LIU Y. Alkyl-substituted cucurbit[6]uril bridged β-cyclodextrin dimer mediated intramolecular FRET behavior[J]. J. Org. Chem., 2020, 85(9): 6131-6136  doi: 10.1021/acs.joc.9b03513

    5. [5]

      LIU P P, XING J B, LIU Y Y, FENG K, WANG H, ZHANG D W, ZHOU W, ZHAO G, ZHANG J H, LI Z T. Sulfonatoproxylated cucurbit[7]urils as highly water-soluble and biocompatible excipients for solubilizing poorly soluble drugs and improving the bioavailability of indomethacin[J]. Chin. Chem. Lett., 2025: 110831

    6. [6]

      LIU Y, QIAN Y W, CHEN L Y, GE C Q, ZHANG Y M, TANG H, FANG S A, LI Q, HUANG F H, LI H. Self-sorting via macrocyclization by external templation in water[J]. Org. Lett., 2025, 27(19): 5027-5031  doi: 10.1021/acs.orglett.5c01426

    7. [7]

      LUO Y, ZHANG W, ZHAO J, YANG M X, REN Q, REDSHAW C, TAO Z, XIAO X. A novel pillar[5]arene-cucurbit[10]uril based host-guest complex: Synthesis, characterization and detection of paraquat[J]. Chin. Chem. Lett., 2023, 34(3): 107780  doi: 10.1016/j.cclet.2022.107780

    8. [8]

      LONG Z H, PENG C, DONG K W, JIANG H K, ZHU M Z, YAN W J, DONG Y F, JIANG W J, WEN L R, JIANG X Q, ZHOU Z M. Supramolecular cucurbit[5]uril modulates the buried SnO2/perovskite interface for efficient and stable perovskite solar cells[J]. Adv. Funct. Mater., 2024, 34(48): 2408818  doi: 10.1002/adfm.202408818

    9. [9]

      SHAO T, SONG X M, WEI Z N, YANG S B, ZHANG S Y, CAO R, CAO M N. Enhancing CO2 electroreduction with decamethylcucurbit[5]uril-alkaline earth metal modified Pd nanoparticles[J]. Inorg. Chem. Front., 2024, 11(24): 8671-8678  doi: 10.1039/D4QI02135E

    10. [10]

      CHEN R R, CAO M N, WANG J Y, LI H F, CAO R. Decamethylcucurbit[5]uril based supramolecular assemblies as efficient electrocatalysts for oxygen reduction reaction[J]. Chem. Commun., 2019, 55(78): 11687-11690  doi: 10.1039/C9CC05899K

    11. [11]

      SUNDARARAJAN M, PARK B, BAIK M H. Regioselective oxidation of C-H bonds in unactivated alkanes by a vanadium superoxo catalyst bound to a supramolecular host[J]. Inorg. Chem., 2019, 58(23): 16250-16255  doi: 10.1021/acs.inorgchem.9b02803

    12. [12]

      TIAN F Y, CHENG R X, SHANG Y J, PAN L, CUI X Y, JIANG X K, CHEN K, ZHAO H J, WANG K Y. Preparation of Ni/Co composite materials based on cucurbit[6]uril and their photothermal synergistic catalysis of nitrogen reduction to ammonia under mild conditions[J]. Dalton Trans., 2025, 54(19): 7753-7764  doi: 10.1039/D5DT00418G

    13. [13]

      LI F S, YANG H, ZHOU Q M, ZHOU D H, WU X J, ZHANG P L, YAO Z Y, SUN L C. A cobalt@cucurbit[5]uril complex as a highly efficient supramolecular catalyst for electrochemical and photoelectrochemical water splitting[J]. Angew. Chem.‒Int. Edit., 2021, 133(4): 2004-2013  doi: 10.1002/ange.202011069

    14. [14]

      ZHANG Y, ZHANG G W, XIAO X, LI Q, TAO Z. Cucurbit[n]uril-based supramolecular separation materials[J]. Coord. Chem. Rev., 2024, 514: 215889  doi: 10.1016/j.ccr.2024.215889

    15. [15]

      SUN X R, YANG H P, ZHANG W, ZHANG S, HU J H, LIU M, ZENG X, LI Q, REDSHAW C, TAO Z, XIAO X. Supramolecular room-temperature phosphorescent hydrogel based on hexamethyl cucurbit[5]uril for cell imaging[J]. ACS Appl. Mater. Interfaces, 2023, 15(3): 4668-4676  doi: 10.1021/acsami.2c17891

    16. [16]

      YANG D, YANG X N, LIU M, CHEN L X, LI Q, CONG H, TAO Z, XIAO X. Cucurbit[5]uril-based porous polymer material for removing organic micropollutants in water[J]. Microporous Mesoporous Mat., 2022, 341: 112023  doi: 10.1016/j.micromeso.2022.112023

    17. [17]

      YANG M L, ZHAO J L, WANG K Y, CHEN K. Preparation of cucurbit[5]uril-Ln3+-based supramolecular assemblies and its effective detection of L-tryptophan[J]. J. Mol. Struct., 2025, 1322: 140432  doi: 10.1016/j.molstruc.2024.140432

    18. [18]

      HU J X, HU Y F, XIAO X, ZHANG Y Q, TAO Z, XUE S F, LIU J X, ZHU Q J. Coordination of pentacyclohexanocucurbit[5]uril with alkali metal ions and supramolecular self-assembly in the absence and presence of inorganic anions[J]. Eur. J. Inorg. Chem., 2013(21): 3632-3640

    19. [19]

      LI Z F, WU F, ZHOU F G, NI X L, FENG X, XIAO X, ZHANG Y Q, XUE S F, ZHU Q J, LEONARD F L, JACK K C, TAO Z, WEI G. Approach to 10-unit "bracelet" frameworks based on coordination of alkyl-substituted cucurbit[5]urils and potassium ions[J]. Cryst. Growth. Des., 2010, 10(12): 5113-5116  doi: 10.1021/cg100805z

    20. [20]

      LI Z F, LIANG L L, WU F, ZHOU F G, NI X L, FENG X, XIAO X, ZHANG Y Q, XUE S F, ZHU Q J, JACK K C, TAO Z, LEONARG F L, WEI G. An approach to networks based on coordination of alkyl-substituted cucurbit[5]urils and potassium ions[J]. CrystEngComm, 2013, 15(10): 1994-2001  doi: 10.1039/c3ce26491b

    21. [21]

      NI X L, XIAO X, CONG H, ZHU Q J, XUE S F, TAO Z. Self-assemblies based on the "outer-surface interactions" of cucurbit[n]urils: New opportunities for supramolecular architectures and materials[J]. Accounts Chem. Res., 2014, 47(4): 1386-1395  doi: 10.1021/ar5000133

    22. [22]

      NI X L, XIAO X, CONG H, LIANG L L, CHEN K, CHEN X J, JI N N, ZHU Q J, XUE S F, TAO Z. Cucurbit[n]uril-based coordination chemistry: From simple coordination complexes to novel poly-dimensional coordination polymers[J]. Chem. Soc. Rev., 2013, 42(24): 9480-9508  doi: 10.1039/c3cs60261c

    23. [23]

      NI X L, XUE S F, TAO Z, ZHU Q J, LEONARD F L, WEI G. Advances in the lanthanide metallosupramolecular chemistry of the cucurbit[n]urils[J]. Coord. Chem. Rev., 2015, 287: 89-113  doi: 10.1016/j.ccr.2014.12.018

    24. [24]

      ZHAO Y, MANDADAPU V, IRANMANESH H, BEVES J E, DAY A I. The inheritance angle: A determinant for the number of members in the substituted cucurbit[n]uril family[J]. Org. Lett., 2017, 19(15): 4034-4037  doi: 10.1021/acs.orglett.7b01786

    25. [25]

      CHEN M H, LV N X, ZHAO W W, DAY A I. The cyclobutanocucurbit[5-8]uril family: Electronegative cavities in contrast to classical cucurbituril while the electropositive outer surface acts as a crystal packing driver[J]. Molecules, 2021, 26(23): 7343  doi: 10.3390/molecules26237343

    26. [26]

      DENG D P, CHEN M H, LIU Y D, QIAN B F, XIA W M, YI J M. Crystal structure of four CyB5Q[5]-Ca complexes: The different coordination states in different anionic environments[J]. Chinese J. Inorg. Chem., 2022, 389(10): 1927-1938

    27. [27]

      LONG S Y, MA P H, XIAO X, ZHENG J, MA Y, YANG X N, CHEN M H. Construction of supramolecular self-assembly of cyclobutanocucurbit[5]uril and six aromatic amines[J]. J. Mol. Struct., 2024, 1302: 137487  doi: 10.1016/j.molstruc.2024.137487

    28. [28]

      SHELDRICK G M. SHELXS-97, Program for the solution of crystal structures[CP]. University of Göttingen, Germany, 2015.

  • 加载中
    1. [1]

      Lijun MaoShuo LiXin ZhangZhan-Ting LiDa Ma . Cucurbit[n]uril-based nanostructure construction and modification. Chinese Chemical Letters, 2024, 35(8): 109363-. doi: 10.1016/j.cclet.2023.109363

    2. [2]

      Shaojie DengPeihua MaQinghong BaiXin Xiao . The transformation of nor-seco-cucurbit[10]uril to cucurbit[5]uril and cucurbit[8]uril controlled by its own concentration. Chinese Chemical Letters, 2025, 36(2): 109878-. doi: 10.1016/j.cclet.2024.109878

    3. [3]

      Qian RenXue DaiRan CenYang LuoMingyang LiZiyun ZhangQinghong BaiZhu TaoXin Xiao . A cucurbit[8]uril-based supramolecular phosphorescent assembly: Cell imaging and sensing of amino acids in aqueous solution. Chinese Chemical Letters, 2024, 35(12): 110022-. doi: 10.1016/j.cclet.2024.110022

    4. [4]

      Ran CenYan-Yan TangLi-Xia ChenZhu TaoXin Xiao . A novel supramolecular assembly based on nor-seco-cucurbit[10]uril for spermine sensing and artificial light-harvesting. Chinese Chemical Letters, 2025, 36(1): 109744-. doi: 10.1016/j.cclet.2024.109744

    5. [5]

      Yu XiaYangming JiangXin-Long NiQiaochun WangDaoping Wang . A macrocycle-based "Russian doll": The smallest cucurbit[4]uril in cucurbit[10]uril. Chinese Chemical Letters, 2024, 35(12): 109782-. doi: 10.1016/j.cclet.2024.109782

    6. [6]

      Yongqing ZengCaijun LiangXin LuLingxue ZhaoFangting WuTao HouAnting ZhaoMenglan LvZhu TaoQing Li . Perfect separation of pyridine and 3-methylpyridine by cucurbit[6]uril. Chinese Chemical Letters, 2025, 36(9): 110807-. doi: 10.1016/j.cclet.2024.110807

    7. [7]

      Hui-Juan WangWen-Wen XingZhen-Hai YuYong-Xue LiHeng-Yi ZhangQilin YuHongjie ZhuYao-Yao WangYu Liu . Cucurbit[7]uril confined phenothiazine bridged bis(bromophenyl pyridine) activated NIR luminescence for lysosome imaging. Chinese Chemical Letters, 2024, 35(6): 109183-. doi: 10.1016/j.cclet.2023.109183

    8. [8]

      Qingyu NiuYulu ZhangZerong GeJiabao LiuZhiqiang LiYong ChenYu Liu . Competitive binding based on cucurbit[8]uril for florescence/phosphorescence ratiometric detection of 3-nitrotyrosine. Chinese Chemical Letters, 2025, 36(11): 110935-. doi: 10.1016/j.cclet.2025.110935

    9. [9]

      Jianqiu LiYi ZhangSongen LiuJie NiuRong ZhangYong ChenYu Liu . Cucurbit[8]uril-based non-covalent heterodimer realized NIR cell imaging through topological transformation from nanowire to nanorod. Chinese Chemical Letters, 2024, 35(10): 109645-. doi: 10.1016/j.cclet.2024.109645

    10. [10]

      Hao ZhangHaonan QuEhsan Bahojb NoruziHaibing LiFeng Liang . A nanocomposite film with layer-by-layer self-assembled gold nanospheres driven by cucurbit[7]uril for the selective transport of L-tryptophan and lysozyme. Chinese Chemical Letters, 2025, 36(1): 109731-. doi: 10.1016/j.cclet.2024.109731

    11. [11]

      Xianchen HuJunli YangFang GaoZhiyong ZhaoSimin Liu . Highly selective [4+4] cross-photodimerization of (4a-azonia)anthracenes driven by confinement of D-A hetero-guest pair in cucurbit[10]uril host. Chinese Chemical Letters, 2025, 36(3): 109967-. doi: 10.1016/j.cclet.2024.109967

    12. [12]

      Xingyue YuanLi WuQiuyu PengYanyan TangMingxu WangYuhang WeiZhu TaoXin Xiao . Developing color-tunable long afterglow anti-counterfeiting materials using cucurbit[6]uril and classical aggregation-caused quenching compounds through multiple non-covalent interactions. Chinese Chemical Letters, 2025, 36(9): 110821-. doi: 10.1016/j.cclet.2025.110821

    13. [13]

      Ke ZhangYajing WeiLinhua XieSha KangFei LiChuanyi Wang . Amorphous titanium carbide on N-defective g-C3N5 for high-efficiency photocatalytic NO removal. Chinese Chemical Letters, 2025, 36(3): 110086-. doi: 10.1016/j.cclet.2024.110086

    14. [14]

      Congzhao DongYajun ZhangYingpu BiZeyu LiYong Ding . Band structure engineering of phosphorus doped Ta3N5 for efficient photoelectrochemical water oxidation. Chinese Chemical Letters, 2025, 36(12): 111449-. doi: 10.1016/j.cclet.2025.111449

    15. [15]

      Zhu ShuXin LeiYeye AiKe ShaoJianliang ShenZhegang HuangYongguang Li . ATP-induced supramolecular assembly based on chromophoric organic molecules and metal complexes. Chinese Chemical Letters, 2024, 35(11): 109585-. doi: 10.1016/j.cclet.2024.109585

    16. [16]

      Yu Tian Yijun Lin Siyu Deng Yinghe Tan Xuanyi Bie Zhaoyang Chen Pangkuan Chen . Metal-Coordinate Complexes (M = 3d, 4f) with Enhanced Circularly Polarized Luminescence in Planar Chiral Pillar[5]arenes. Chinese Journal of Structural Chemistry, 2025, 44(8): 100626-100626. doi: 10.1016/j.cjsc.2025.100626

    17. [17]

      Huihua GONGTianhua CUILi JIJichuan ZHANGLiyuan ZHANGYan CHENZhenye WANGJiaqi XURuixiang LI . Hydrogenation of CO2 to formate catalyzed by N-heterocyclic carbene-nitrogen-phosphine chelated iridium(Ⅰ) complexes. Chinese Journal of Inorganic Chemistry, 2025, 41(12): 2609-2620. doi: 10.11862/CJIC.20250170

    18. [18]

      Ke Wang Jia Wu Shuyi Zheng Shibin Yin . NiCo Alloy Nanoparticles Anchored on Mesoporous Mo2N Nanosheets as Efficient Catalysts for 5-Hydroxymethylfurfural Electrooxidation and Hydrogen Generation. Chinese Journal of Structural Chemistry, 2023, 42(10): 100104-100104. doi: 10.1016/j.cjsc.2023.100104

    19. [19]

      Long TANGYaxin BIANLuyuan CHENXiangyang HOUXiao WANGJijiang WANG . Syntheses, structures, and properties of three coordination polymers based on 5-ethylpyridine-2,3-dicarboxylic acid and N-containing ligands. Chinese Journal of Inorganic Chemistry, 2024, 40(10): 1975-1985. doi: 10.11862/CJIC.20240180

    20. [20]

      Hui LiYanxing QiJia ChenJuanjuan WangMin YangHongdeng Qiu . Synthesis of amine-pillar[5]arene porous adsorbent for adsorption of CO2 and selectivity over N2 and CH4. Chinese Chemical Letters, 2024, 35(11): 109659-. doi: 10.1016/j.cclet.2024.109659

Metrics
  • PDF Downloads(0)
  • Abstract views(88)
  • HTML views(18)

通讯作者: 陈斌, bchen63@163.com
  • 1. 

    沈阳化工大学材料科学与工程学院 沈阳 110142

  1. 本站搜索
  2. 百度学术搜索
  3. 万方数据库搜索
  4. CNKI搜索
Address:Zhongguancun North First Street 2,100190 Beijing, PR China Tel: +86-010-82449177-888
Powered By info@rhhz.net

/

DownLoad:  Full-Size Img  PowerPoint
Return