Citation: Zhenghua ZHAO, Yufeng LIU, Qing ZHANG, Zifa SHI, Jinzhong GU. Syntheses, crystal structures, catalytic and anti-wear properties of zinc(Ⅱ), nickel(Ⅱ) and cadmium(Ⅱ) complexes constructed from a terphenyl-tricarboxylate ligand[J]. Chinese Journal of Inorganic Chemistry, ;2026, 42(1): 170-180. doi: 10.11862/CJIC.20250161 shu

Syntheses, crystal structures, catalytic and anti-wear properties of zinc(Ⅱ), nickel(Ⅱ) and cadmium(Ⅱ) complexes constructed from a terphenyl-tricarboxylate ligand

Figures(13)

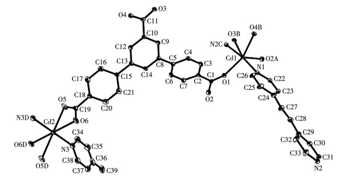
  • Three zinc(Ⅱ), nickel(Ⅱ), and cadmium(Ⅱ) complexes, namely [Zn(μ-Htpta)(py)2]n (1), [Ni(H2biim)2(H2O)2][Ni(tpta)(H2biim)2(H2O)]2·3H2O (2), and [Cd3(μ4-tpta)2(μ-dpe)3]n (3), have been constructed hydrothermally at 160 ℃ using H3tpta ([1, 1′: 3′, 1″-terphenyl]-4, 4′, 5′-tricarboxylic acid), py (pyridine), H2biim (2, 2′-biimidazole), dpe (1, 2-di (4-pyridyl)ethylene), and zinc, nickel and cadmium chlorides, resulting in the formation of stable crystalline solids which were subsequently analyzed using infrared spectroscopy, element analysis, thermogravimetric analysis, as well as structural analyses conducted via single-crystal X-ray diffraction. The findings from these single-crystal X-ray diffraction studies indicate that complexes 1-3 form crystals within the monoclinic system P21/c space group (1) or triclinic system P1 space group (2 and 3), and possess 1D, 0D, and 3D structures, respectively. Complex 1 demonstrated substantial catalytic efficiency and excellent reusability as a heterogeneous catalyst in the reaction of Knoevenagel condensation under ambient temperature conditions. In addition, complex 1 also showcased notable anti-wear performance when used in polyalphaolefin synthetic lubricants.
  • 加载中
    1. [1]

      GONG W, CHEN Z J, DONG J Q, LIU Y, CUI Y. Chiral metal-organic frameworks[J]. Chem. Rev., 2022, 122(9): 9078-9144  doi: 10.1021/acs.chemrev.1c00740

    2. [2]

      GLASBY L T, CORDINER J L, COLE J C, MOGHADAM P Z. Topological characterization of metal-organic frameworks: A perspective[J]. Chem. Mat., 2024, 36(19): 9013-9030  doi: 10.1021/acs.chemmater.4c00762

    3. [3]

      CHAKRABORTY G, PARK I H, MEDISHETTY R, VITTAL J J. Two-dimensional metal-organic framework materials: Synthesis, structures, properties and applications[J]. Chem. Rev., 2021, 121(7): 3751-3891  doi: 10.1021/acs.chemrev.0c01049

    4. [4]

      ZHENG J, LU Z, WU K, NING G H, LI D. Coinage-metal-based cyclic trinuclear complexes with metal-metal interactions: Theories to experiments and structures to functions[J]. Chem. Rev., 2020, 120(17): 9675-9742  doi: 10.1021/acs.chemrev.0c00011

    5. [5]

      GU J Z, LU W G, JIANG L, ZHOU H C, LU T B. 3D porous metal-organic framework exhibiting selective adsorption of water over organic solvents[J]. Inorg. Chem., 2007, 46(15): 5835-5837  doi: 10.1021/ic7004908

    6. [6]

      DEBSHARMA K, DUTTA S B, DEY S, SINHA C. Metal-organic coordination polymers: A review of electrochemical sensing of environmental pollutants[J]. Cryst. Growth Des., 2024, 24(10): 6503-6530

    7. [7]

      ALSHARABASY A M, PANDIT A, FARRAS P. Recent advances in the design and sensing applications of hemin/coordination polymer-based nanocomposites[J]. Adv. Mater., 2021, 33(2): 2003883  doi: 10.1002/adma.202003883

    8. [8]

      GU Y F, ZHENG J J, OTAKE K I, SHIVANNA M, SAKAKI S, YOSHINO H, OHBA M, KAWAGUCHI S, WANG Y, LI F T, KITAGAWA S. Host-guest interaction modulation in porous coordination polymers for inverse selective CO2/C2H2 separation[J]. Angew. Chem.‒Int. Edit., 2021, 60(21): 11688-11694  doi: 10.1002/anie.202016673

    9. [9]

      ZHAO X, WANG Y X, LI D S, BU X H, FENG P Y. Metal-organic frameworks for separation[J]. Adv. Mater., 2018, 30(37): 1705189  doi: 10.1002/adma.201705189

    10. [10]

      CHAUHAN N P S, PERUMAL P, CHUNDAWAT N S, JADOUN S. Achiral and chiral metal-organic frameworks (MOFs) as an efficient catalyst for organic synthesis[J]. Coord. Chem. Rev., 2025, 533: 216536  doi: 10.1016/j.ccr.2025.216536

    11. [11]

      WEI Y S, ZHANG M, ZOU R Q, XU Q. Metal-organic framework-based catalysts with single metal sites[J]. Chem. Rev., 2020, 120(21): 12089-12174  doi: 10.1021/acs.chemrev.9b00757

    12. [12]

      GU J Z, WEN M, CAI Y, SHI Z F, NESTEROV D S, KIRILLOVA M V, KIRILLOV A M. Cobalt(Ⅱ) coordination polymers assembled from unexplored pyridine-carboxylic acids: Structural diversity and catalytic oxidation of alcohols[J]. Inorg. Chem., 2019, 58(9): 5875-5885  doi: 10.1021/acs.inorgchem.9b00242

    13. [13]

      MEI Z Z, WANG H Y, KANG X Q, SHAO Y L, GU J Z. Syntheses and catalytic performances of three coordination polymers with tetracarboxylate ligands[J]. Chinese J. Inorg. Chem., 2024, 40(9): 1795-1802

    14. [14]

      WANG Y J, WANG S Y, ZHANG Y, XIA B, LI Q W, WANG Q L, MA Y. Two zinc coordination polymers with photochromic behaviors and photo-controlled luminescence properties[J]. CrystEngComm, 2020, 22(31): 5162-5169  doi: 10.1039/D0CE00725K

    15. [15]

      JEONG A R, SHIN J W, JEONG J H, JEOUNG S, MOON H R, KANG S, MIN K S. Porous and nonporous coordination polymers induced by pseudohalide ions for luminescence and gas sorption[J]. Inorg. Chem., 2020, 59(21): 15987-15999  doi: 10.1021/acs.inorgchem.0c02503

    16. [16]

      ZHANG Q L, XIONG Y, LIU J Q, ZHANG T T, LIU L L, HUANG Y W. Porous coordination/covalent hybridized polymers synthesized from pyridine-zinc coordination compound and their CO2 capture ability, fluorescence and selective response properties[J]. Chem. Commun., 2018, 54(85): 12025-12028  doi: 10.1039/C8CC05930F

    17. [17]

      CHEN Y, KANG X Q, WANG H Y, GU J Z, AZAM M. Co(Ⅱ), Ni(Ⅱ), Mn(Ⅱ) and Cd(Ⅱ) coordination polymers constructed with tetracarboxylic linker: Syntheses, structural investigation and catalytic application[J]. Cryst. Growth Des., 2025, 25(2): 347-358  doi: 10.1021/acs.cgd.4c01394

    18. [18]

      CHENG X Y, GUO L R, WANG H Y, GU J Z, YANG Y, KIRILLOVA M V, KIRILLOV A M. Coordination polymers from biphenyl-dicarboxylate linkers: Synthesis, structural diversity, interpenetration, and catalytic properties[J]. Inorg. Chem., 2022, 61(32): 12577-12590  doi: 10.1021/acs.inorgchem.2c01488

    19. [19]

      WEI L Q, CHEN Q, TANG L L, ZHUANG C, ZHU W R, LIN N. A porous metal-organic framework with a unique hendecahedron-shaped cage: Structure and controlled drug release[J]. Dalton Trans., 2016, 45(9): 3694-3697  doi: 10.1039/C5DT04379D

    20. [20]

      WEI L Q, LI Y, MAO L Y, CHEN Q, LIN N. A series of porous metal organic frameworks with hendecahedron cage: Structural variation and drug slow release properties[J]. J. Solid State Chem., 2018, 257: 58-63  doi: 10.1016/j.jssc.2017.09.021

    21. [21]

      ZHANG X T, CHEN H T, LIU G Z, LI B, LIU X Z. Assembly of one novel coordination polymer built from rigid tricarboxylate ligand and bis(imidazole) linker: Synthesis, structure, and fluorescence sensing property[J]. Inorg. Chem. Commun., 2018, 96: 139-144  doi: 10.1016/j.inoche.2018.04.012

    22. [22]

      WEI L Q, YE B H. Efficient conversion of CO2 via grafting urea group into a Cu2(COO)4-based metal-organic framework with hierarchical porosity[J]. Inorg. Chem., 2019, 58(7): 4385-4393  doi: 10.1021/acs.inorgchem.8b03525

    23. [23]

      LOUZADA L D T, BATALHA P N, DE ALMEIDA F B. Coordination polymers as catalysts in Knoevenagel condensation‒A critical review analysis under synthesis conditions and green chemistry[J]. Cryst. Growth Des., 2025, 25(5): 1708-1723  doi: 10.1021/acs.cgd.5c00033

    24. [24]

      WANG J H, ZHUANG W P, LIANG W F, YAN T T, LI T, ZHANG L X, LI S. Inorganic nanomaterial lubricant additives for base fluids, to improve tribological performance: Recent developments[J]. Friction, 2022, 10(5): 645-676  doi: 10.1007/s40544-021-0511-7

  • 加载中
    1. [1]

      Zhenghua ZHAOQin ZHANGYufeng LIUZifa SHIJinzhong GU . Syntheses, crystal structures, catalytic and anti-wear properties of nickel(Ⅱ) and zinc(Ⅱ) coordination polymers based on 5-(2-carboxyphenyl)nicotinic acid. Chinese Journal of Inorganic Chemistry, 2024, 40(3): 621-628. doi: 10.11862/CJIC.20230342

    2. [2]

      Weizhong LINGJingyi LINJianglin ZHUYuyi LIANGShanshan DAIYu LI . Syntheses, structures, and catalytic performances of complexes with 4,4′-dihydroxy-[1,1′-biphenyl]-3,3′-dicarboxylic acid ligands. Chinese Journal of Inorganic Chemistry, 2026, 42(1): 152-160. doi: 10.11862/CJIC.20250204

    3. [3]

      Weizhong LINGXiangyun CHENWenjing LIUYingkai HUANGYu LI . Syntheses, crystal structures, and catalytic properties of three zinc(Ⅱ), cobalt(Ⅱ) and nickel(Ⅱ) coordination polymers constructed from 5-(4-carboxyphenoxy)nicotinic acid. Chinese Journal of Inorganic Chemistry, 2024, 40(9): 1803-1810. doi: 10.11862/CJIC.20240068

    4. [4]

      Dan PENGHao WANGYanyan WANGHongpeng YOUWuping LIAO . Synthesis and fluorescent properties of a one-dimensional Tb-calixarene complex as a luminescent thermometer material. Chinese Journal of Inorganic Chemistry, 2025, 41(9): 1859-1866. doi: 10.11862/CJIC.20250128

    5. [5]

      Zhenzhong MEIHongyu WANGXiuqi KANGYongliang SHAOJinzhong GU . Syntheses and catalytic performances of three coordination polymers with tetracarboxylate ligands. Chinese Journal of Inorganic Chemistry, 2024, 40(9): 1795-1802. doi: 10.11862/CJIC.20240081

    6. [6]

      Yinghao ZhangKe ShaoYihang ZhuHaokun ZhangYinuo ZhuoHuihui BaoYeye AiYongguang Li . Unanticipated optical properties of π-conjugated cyclometalated Pt(Ⅱ) complexes for advanced information storage and anti-counterfeiting materials. Chinese Chemical Letters, 2025, 36(9): 110735-. doi: 10.1016/j.cclet.2024.110735

    7. [7]

      Shiyu PanBo CaoDeling YuanTifeng JiaoQingrui ZhangShoufeng Tang . Complexes of cupric ion and tartaric acid enhanced calcium peroxide Fenton-like reaction for metronidazole degradation. Chinese Chemical Letters, 2024, 35(7): 109185-. doi: 10.1016/j.cclet.2023.109185

    8. [8]

      Kaimin WANGXiong GUNa DENGHongmei YUYanqin YEYulu MA . Synthesis, structure, fluorescence properties, and Hirshfeld surface analysis of three Zn(Ⅱ)/Cu(Ⅱ) complexes based on 5-(dimethylamino) isophthalic acid. Chinese Journal of Inorganic Chemistry, 2024, 40(7): 1397-1408. doi: 10.11862/CJIC.20240009

    9. [9]

      Yiyang ZhangGuangshu YuanXiangkun MengXu ZhangLei Yu . Promoting the catalytic activities of polyanilines for L-lactic acid condensation by calcium-doping: A biocompatible strategy. Chinese Chemical Letters, 2025, 36(12): 111069-. doi: 10.1016/j.cclet.2025.111069

    10. [10]

      Zihe SONGJinjin ZHAONing RENJianjun ZHANG . Crystal structure, thermal analysis, and luminescence properties of six heterocyclic lanthanide complexes. Chinese Journal of Inorganic Chemistry, 2026, 42(1): 181-192. doi: 10.11862/CJIC.20250126

    11. [11]

      Weichen WANGChunhua GONGJunyong ZHANGYanfeng BIHao XUJingli XIE . Construction of two metal-organic frameworks by rigid bis(triazole) and carboxylate mixed-ligands and their catalytic properties for CO2 cycloaddition reaction. Chinese Journal of Inorganic Chemistry, 2024, 40(7): 1377-1386. doi: 10.11862/CJIC.20230415

    12. [12]

      Yanyu JinWenzhe SiXing YuanHongjun ChengBin ZhouLi CaiYu WangQibao WangJunhua Li . Tuning TM–O interaction by acid etching in perovskite catalysts boosting catalytic performance. Chinese Chemical Letters, 2025, 36(5): 110260-. doi: 10.1016/j.cclet.2024.110260

    13. [13]

      Tianze WangJunyi RenDongxiang ZhangHuan WangJianjun DuXin-Dong JiangGuiling Wang . Development of functional dye with redshifted absorption based on Knoevenagel condensation at 1-site in phenyl[b]-fused BODIPY. Chinese Chemical Letters, 2024, 35(6): 108862-. doi: 10.1016/j.cclet.2023.108862

    14. [14]

      Anqiu LIULong LINDezhi ZHANGJunyu LEIKefeng WANGWei ZHANGJunpeng ZHUANGHaijun HAO . Synthesis, structures, and catalytic activity of aluminum and zinc complexes chelated by 2-((2,6-dimethylphenyl)amino)ethanolate. Chinese Journal of Inorganic Chemistry, 2024, 40(4): 791-798. doi: 10.11862/CJIC.20230424

    15. [15]

      Shengwen GuanZhaotong WeiNingxu HanYude WeiBin XuMing WangJunjuan Shi . Construction of metallo-complexes with 2,2′:6′,2″-terpyridine substituted triphenylamine in different modified positions and their photophysical properties. Chinese Chemical Letters, 2024, 35(7): 109348-. doi: 10.1016/j.cclet.2023.109348

    16. [16]

      Chaochao JinKai LiJiongpei ZhangZhihua WangJiajing TanN,O-Bidentated difluoroboron complexes based on pyridine-ester enolates: Facile synthesis, post-complexation modification, optical properties, and applications. Chinese Chemical Letters, 2024, 35(9): 109532-. doi: 10.1016/j.cclet.2024.109532

    17. [17]

      Zhengkun QINZicong PANHui TIANWanyi ZHANGMingxing SONG . A series of iridium(Ⅲ) complexes with fluorophenyl isoquinoline ligand and low-efficiency roll-off properties: A density functional theory study. Chinese Journal of Inorganic Chemistry, 2025, 41(6): 1235-1244. doi: 10.11862/CJIC.20240429

    18. [18]

      Bofei JIAZhihao LIUZongyuan GAOShuai ZHOUMengxiang WUQian ZHANGXiamei ZHANGShuzhong CHENXiaohan YANGYahong LI . Cu(Ⅱ) and Cu(Ⅰ) complexes based on derivatives of imidazo[1,5-a]pyridine: Synthesis, structures, in situ metal-ligand reactions, and catalytic activity. Chinese Journal of Inorganic Chemistry, 2025, 41(5): 1020-1036. doi: 10.11862/CJIC.20240317

    19. [19]

      Jiarong ZHUXiaohua ZHANGXinting XIONGXuliang NIEXiuying SONGMiaomiao ZHANGDayong PENGXiuguang YI . Crystal structure, Hirshfeld surface analysis, and antifungal activity of five complexes based on 2,5-bis(carboxymethoxy)terephthalic acid. Chinese Journal of Inorganic Chemistry, 2025, 41(11): 2358-2370. doi: 10.11862/CJIC.20250150

    20. [20]

      Yu-Yao LiXiao-Hui LiZhi-Xuan AnYang ChuXiu-Li Wang . Room-temperature olefin epoxidation reaction by two 2D cobalt metal-organic complexes under O2 atmosphere: Coordination and structural regulation. Chinese Chemical Letters, 2025, 36(4): 109716-. doi: 10.1016/j.cclet.2024.109716

Metrics
  • PDF Downloads(0)
  • Abstract views(43)
  • HTML views(18)

通讯作者: 陈斌, bchen63@163.com
  • 1. 

    沈阳化工大学材料科学与工程学院 沈阳 110142

  1. 本站搜索
  2. 百度学术搜索
  3. 万方数据库搜索
  4. CNKI搜索
Address:Zhongguancun North First Street 2,100190 Beijing, PR China Tel: +86-010-82449177-888
Powered By info@rhhz.net

/

DownLoad:  Full-Size Img  PowerPoint
Return