Citation: Laiyang ZHU, Xuze PAN, Xiaoying ZHANG, Xinyu XU, Shiheng LI, Fajin CAI, Yifan WANG, Qingxia YAO, Yi QIU, Jie SU. Synthesis of stable and porous bimetallic Ti-MOF for photocatalytic oxidation of aromatic sulfides to sulfoxides[J]. Chinese Journal of Inorganic Chemistry, ;2025, 41(10): 2115-2126. doi: 10.11862/CJIC.20250139 shu

Synthesis of stable and porous bimetallic Ti-MOF for photocatalytic oxidation of aromatic sulfides to sulfoxides

Figures(6)

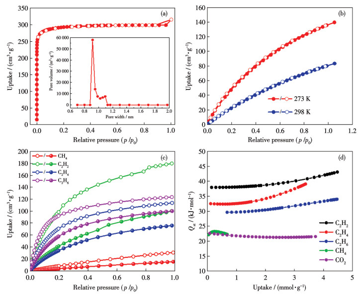
  • In the paper, we report a highly robust and porous bimetallic Ti-MOF (designated Mg2Ti-ABTC) by utilizing a trinuclear [Mg2TiO(COO)6] cluster and a tetradentate H4ABTC (3, 3′, 5, 5′-azobenzene tetracarboxylic acid) ligand. Mg2Ti-ABTC exhibited permanent porosity for N2, CO2, CH4, C2H2, C2H4, and C2H6 gas adsorption. Furthermore, Mg2Ti-ABTC exhibited outstanding photocatalytic activity in the oxidation of aromatic sulfides to the corresponding sulfoxides under ambient air conditions. Mechanism studies reveal that photoinduced holes (h+), the superoxide radical (•O2-), and singlet oxygen (1O2) are pivotal species involved in the photocatalytic oxidation reaction.
  • 加载中
    1. [1]

      SAITO F. A sulfoxide reagent for one-pot, three-component syntheses of sulfoxides and sulfinamides[J]. Angew. Chem.‒Int. Edit., 2022,61(52):13872-13877.

    2. [2]

      ZENG B, SHENG W L, HUANG F W, ZHANG K K, XIONG K H, LANG X J. Cooperative photocatalysis of hafnium-based metal-organic framework and TEMPO for selective oxidation of sulfides[J]. Chem. Eng. J., 2023,474145559. doi: 10.1016/j.cej.2023.145559

    3. [3]

      ANSELMI S, CARVALHO A T P, SERRANO‑SANCHEZ A, ORTEGA-ROLDAN J L, CASWELL J, OMAR I, PEREZ-ORTIZ G, BARRY S M, MOODY T S, CASTAGNOLO D. Discovery and rational mutagenesis of methionine sulfoxide reductase biocatalysts to expand the substrate scope of the kinetic resolution of chiral sulfoxides[J]. ACS Catal., 2023,13(7):4742-4751. doi: 10.1021/acscatal.3c00372

    4. [4]

      WANG D, CARLTON C G, TAYU M, MCDOUALL J J W, PERRY G J P, PROCTER D J. Trifluoromethyl sulfoxides: Reagents for metal-free C—H trifluoromethylthiolation[J]. Angew. Chem.‒Int. Edit., 2020,59(37):15918-15922. doi: 10.1002/anie.202005531

    5. [5]

      ZHANG F L, HAO H M, DONG X Y, LI X, LANG X J. Olefin-linked covalent organic framework nanotubes based on triazine for selective oxidation of sulfides with O2 powered by blue light[J]. Appl. Catal. B‒Environ., 2022,305121027. doi: 10.1016/j.apcatb.2021.121027

    6. [6]

      WANG Y X, ZHANG F L, HUANG F W, DONG X Y, ZENG B, GU X K, LANG X J. Thiazole-linked isomeric covalent organic frameworks for divergent photocatalysis: Selective oxidation of organic sulfides[J]. Appl. Catal. B‒Environ., 2024,354124103. doi: 10.1016/j.apcatb.2024.124103

    7. [7]

      AZIZI M, MALEKI A, HAKIMPOOR F, GHALAVAND R, GARAVAND A. A mild, efficient and highly selective oxidation of sulfides to sulfoxides catalyzed by Lewis acid-urea-hydrogen peroxide complex at room temperature[J]. Catal. Lett., 2017,147(8):2173-2177. doi: 10.1007/s10562-017-2126-1

    8. [8]

      MOORTHY J N, SENAPATI K, PARIDA K N. 6-Membered pseudocyclic IBX acids: Syntheses, X-ray structural characterizations, and oxidation reactivities in common organic solvents[J]. J. Org. Chem., 2010,75(24):8416-8421. doi: 10.1021/jo101639j

    9. [9]

      LUO M Y, TIAN J L, LIU S X, ZHANG W. An integrated photothermal-photocatalytic materials for efficient photocatalytic performance boosting by synergistic photothermally[J]. Appl. Surf. Sci., 2022,5931533821.

    10. [10]

      JIN J C, WANG J, GUO J, YAN M H, WANG J, SRIVASTAVA D, KUMAR A, SAKIYAMA H, MUDDASSIR M, PAN Y. A 3D rare cubane-like tetramer Cu(Ⅱ)-based MOF with 4-fold dia topology as an efficient photocatalyst for dye degradation[J]. Colloids Surf. A‒Physicochem. Eng. Asp., 2023,656130475. doi: 10.1016/j.colsurfa.2022.130475

    11. [11]

      LI Y Z, WU S W, WU J C, HU Q Q, ZHOU C Y. Photothermocatalysis for efficient abatement of CO and VOCs[J]. J. Mater. Chem. A, 2020,8(17):8171-8194. doi: 10.1039/D0TA00029A

    12. [12]

      WEI L Q, YE B H. Cyclometalated Ir-Zr metal-organic frameworks as recyclable visible-light photocatalysts for sulfide oxidation into sulfoxide in water[J]. ACS Appl. Mater. Interfaces, 2019,11(44):41448-41457. doi: 10.1021/acsami.9b15646

    13. [13]

      ZHANG X, RAKESH K P, RAVINDAR L, QIN H L. Visible-light initiated aerobic oxidations: A critical review[J]. Green Chem., 2018,20(21):4790-4833. doi: 10.1039/C8GC02382D

    14. [14]

      LIU G, CHEN Y F, CHEN Y L, SHI Y Q, ZHANG M Y, SHEN G D, QI P F, LI J K, MA D L, YU F, HUANG X Q. Indirect electrocatalysis S—N/S—S bond construction by robust polyoxometalate based foams[J]. Adv. Mater., 2023,35(40)2304716. doi: 10.1002/adma.202304716

    15. [15]

      WEI H X, GUO Z F, LIANG X, CHEN P Q, LIU H, XING H Z. Selective photooxidation of amines and sulfides triggered by a superoxide radical using a novel visible-light-responsive metal-organic framework[J]. ACS Appl. Mater. Interfaces, 2019,11(3):3016-3023. doi: 10.1021/acsami.8b18206

    16. [16]

      YUAN Z L, WANG J, LI H F, LI L N, MA P T, WANG J P, NIU J Y. Visible-light-responsive tetranuclear Ir-based polyoxometalates achieve photocatalytic Baeyer-Villiger oxidation of ketones[J]. Inorg. Chem., 2025,64(12):5846-5855. doi: 10.1021/acs.inorgchem.4c03410

    17. [17]

      CHEN B B, MANSOURI A, RUEDA-NAVARRO C M, DOVGALIUK I, BOULLAY P, MELILLO A, RAMÍREZ-HERNÁNDEZ J J, XIAO B, FAN D, FERNANDO L A, PATRIARCHE G, CORNU I, FLORIAN P, MAURIN G, NAVALÓN S, GARCIA H, MOUCHAHAM G, SERRE C. A novel Ti12-based metal-organic framework for photocatalytic hydrogen evolution[J]. Adv. Energy Mater., 2025,15(26)2500211. doi: 10.1002/aenm.202500211

    18. [18]

      LIU L F, DU S W, XIAO Y J, GUO X Y, JIN S J, SHAO G S, ZHANG F X. Saturated Ti-coordinated {001} facets-dependent photocatalytic water reduction over NH2-MIL-125(Ti) sheets: Observation and unraveling of facets effect[J]. Appl. Catal. B‒Environ., 2023,338123094. doi: 10.1016/j.apcatb.2023.123094

    19. [19]

      LI H Z, LI S D, WANG F, ZHANG J. A chelating coordination modulation method for the synthesis of Ti-MOF single crystals[J]. Inorg. Chem. Front., 2024,11(10):2876-2883. doi: 10.1039/D4QI00436A

    20. [20]

      LI H Z, PAN Y, LIN Q H, LIN Q P, LIN D Y, WANG F, XU G, ZHANG J. Rationally designed titanium-based metal-organic frameworks for visible-light activated chemiresistive sensing[J]. J. Mater. Chem. A, 2023,11(2):965-971. doi: 10.1039/D2TA08921A

    21. [21]

      LI J, HUANG J Y, MENG Y X, LI L Y, ZHANG L L, LIANG H L. Zr- and Ti-based metal-organic frameworks: Synthesis, structures and catalytic applications[J]. Chem. Commun., 2023,59(18):2541-2559. doi: 10.1039/D2CC06948B

    22. [22]

      CADIAU A, KOLOBOV N, SRINIVASAN S, GOESTEN M G, HASPEL H, BAVYKINA A V, TCHALALA M R, MAITY P, GORYACHEV A, PORYVAEV A S, EDDAOUDI M, FEDIN M V, MOHAMMED O F, GASCON J. A titanium metal-organic framework with visible-light-responsive photocatalytic activity[J]. Angew. Chem.‒Int. Edit., 2020,59(32):13468-13472. doi: 10.1002/anie.202000158

    23. [23]

      LU D F, LI S D, GUAN M X, HAN Y P, SUN Y Y, WU X, WANG F, ZHANG J. Visible-light-active titanium sulfonate framework for photocatalytic organic synthesis[J]. ACS Mater. Lett., 2023,5(10):2836-2842. doi: 10.1021/acsmaterialslett.3c00861

    24. [24]

      ZHANG X Y, PAN X Z, SI X Z, ZHU L Y, YAO Q X, DUAN W Z, HUANG X Q, SU J. Porous bimetallic Ti-MOFs for photocatalytic oxidation of amines in air[J]. Inorg. Chem., 2024,63(41):19408-19417. doi: 10.1021/acs.inorgchem.4c03381

    25. [25]

      YUAN S, QIN J S, XU H Q, SU J, ROSSI D, CHEN Y P, ZHANG L L, LOLLAR C, WANG Q, JIANG H L, SON D H, XU H Y, HUANG Z H, ZOU X D, ZHOU H C. [Ti8Zr2O12(COO)16] cluster: An ideal inorganic building unit for photoactive metal-organic frameworks[J]. ACS Cent. Sci., 2017,4(1):105-111.

    26. [26]

      LI L, FANG Z B, DENG W Z, YI J D, WANG R, LIU T F. Precise construction of stable bimetallic metal-organic frameworks with single-site Ti(Ⅳ) incorporation in nodes for efficient photocatalytic oxygen evolution[J]. CCS Chem., 2022,4(8):2782-2792. doi: 10.31635/ccschem.021.202101241

    27. [27]

      CAIRNS A J, ECKERT J, WOJTAS L, THOMMES M, WALLACHER D, GEORGIEV P A, FORSTER P M, BELMABKHOUT Y, OLLIVIER J, EDDAOUDI M. Gaining insights on the H2-sorbent interactions: Robust soc-MOF platform as a case study[J]. Chem. Mater., 2016,28(20):7353-7361. doi: 10.1021/acs.chemmater.6b02817

    28. [28]

      FENG D W, WANG K C, WEI Z W, CHEN Y P, SIMON C M, ARVAPALLY R K, MARTIN R L, BOSCH M, LIU T F, FORDHAM S, YUAN D Q, OMARY M A, HARANCYZK M, SMIT B, ZHOU H C. Kinetically tuned dimensional augmentation as a versatile synthetic route towards robust metal-organic frameworks[J]. Nat. Commun., 2014,5(1)5723. doi: 10.1038/ncomms6723

    29. [29]

      ZHAI Q G, BU X H, MAO C Y, ZHAO X, FENG P Y. Systematic and dramatic tuning on gas sorption performance in heterometallic metal-organic frameworks[J]. J. Am. Chem. Soc., 2016,138(8):2524-2527. doi: 10.1021/jacs.5b13491

    30. [30]

      YANG H J, WANG Y X, KRISHNA R, JIA X X, WANG Y, HONG A N, DANG C, CASTILLO H E, BU X H, FENG P Y. Pore-space-partition-enabled exceptional ethane uptake and ethane-selective ethane-ethylene separation[J]. J. Am. Chem. Soc., 2020,142(5):2222-2227. doi: 10.1021/jacs.9b12924

    31. [31]

      DRAKE H F, DAY G S, VALI S W, XIAO Z H, BANERJEE S, LI J L, JOSEPH E A, KUSZYNSKI J E, PERRY Z T, KIRCHON A, OZDEMIR O K, LINDAHL P A, ZHOU H C. The thermally induced decarboxylation mechanism of a mixed-oxidation state carboxylate-based iron metal-organic framework[J]. Chem. Commun., 2019,55(85):12769-12772. doi: 10.1039/C9CC04555D

    32. [32]

      SEDAGHATI N, HABIBI‑YANGJEH A, ASADZADEH‑ KHANEGHAH S, GHOSH S. Photocatalytic performance of oxygen vacancy rich-TiO2 combined with Bi4O5Br2 nanoparticles on degradation of several water pollutants[J]. Adv. Powder Technol., 2021,32(2):304-316. doi: 10.1016/j.apt.2020.12.010

    33. [33]

      ZHANG D S, ZOU X N, WANG X G, SU J, LUAN T X, FAN W L, LI P Z, ZHAO Y L. Highly effective photocatalytic radical reactions triggered by a photoactive metal-organic framework[J]. ACS Appl. Mater. Interfaces, 2022,14(20):23518-23526. doi: 10.1021/acsami.2c04331

    34. [34]

      SI X Z, ZHANG Y J, ZHANG X Y, PAN X Z, WANG F D, SHAO X D, YAO Q X, DUAN W Z, HUANG X Q, SU J. A porous carbazolic Al-MOF for efficient aerobic photo-oxidation of sulfides into sulfoxides under air[J]. Inorg. Chem., 2024,63(10):4707-4715. doi: 10.1021/acs.inorgchem.3c04359

    35. [35]

      FAN Q W, ZHU L W, LI X H, REN H J, ZHU H B, WU G R, DING J H. Visible-light photocatalytic selective oxidation of amine and sulfide with cspbbr3 as photocatalyst[J]. New J. Chem., 2021,45(30):13317-13322. doi: 10.1039/D1NJ02595C

    36. [36]

      LI Q Q, PAN P H, LIU H, ZHOU L, ZHAO S Y, DENG B, HE Y J, SONG J X, LIU P, WANG Y Y, LI J L. Incorporating a D-A-D-type benzothiadiazole photosensitizer into MOFs for photocatalytic oxidation of phenylsulfides and benzylamines[J]. Inorg. Chem., 2023,62(42):17182-17190. doi: 10.1021/acs.inorgchem.3c02212

    37. [37]

      YAN X M, SHI Z L, JIAO J C, SI C, HAN Q X. An isopolymolybdate-incorporated metal-organic framework with sulfite oxidase-mimicking activity for photocatalytic oxidation of sulfides utilizing in situ-generated singlet oxygen[J]. Inorg. Chem., 2021,60(21):16810-16816. doi: 10.1021/acs.inorgchem.1c02701

    38. [38]

      ZHANG F Y, ZHANG J L, ZHANG B X, ZHENG L R, CHENG X Y, WAN Q, HAN B X, ZHANG J. Improved catalytic performance of Co-MOF-74 by nanostructure construction[J]. Green Chem., 2020,22(18):5995-6000. doi: 10.1039/D0GC02048F

    39. [39]

      JIANG J, LUO R C, ZHOU X T, CHEN Y J, JI H B. Photocatalytic properties and mechanistic insights into visible light-promoted aerobic oxidation of sulfides to sulfoxides via tin porphyrin-based porous aromatic frameworks[J]. Adv. Synth. Catal., 2018,360(22):4402-4411. doi: 10.1002/adsc.201800730

    40. [40]

      KANG Q, WANG S D, GUO J, MO K L, LV K L, WEN L L. Novel BODIPY-based MOFs toward high-efficiency photocatalytic oxidation of sulfides and arylboronic acids[J]. Inorg. Chem. Front., 2024,11(15):4731-4739. doi: 10.1039/D4QI00975D

    41. [41]

      WU B, LIU Y, ZHANG Y X, FAN L, LI Q Y, YU Z Y, ZHAO X S, ZHENG Y C, WANG X J. Molecular engineering of covalent triazine frameworks for highly enhanced photocatalytic aerobic oxidation of sulfides[J]. J. Mater. Chem. A, 2022,10(23):12489-12496. doi: 10.1039/D2TA01441F

    42. [42]

      XU T T, LI Y S, ZHAO Z Q, XING G L, CHEN L. N, N'-bicarbazole-based covalent triazine frameworks as high-performance heterogeneous photocatalysts[J]. Macromolecules, 2019,52(24):9786-9791. doi: 10.1021/acs.macromol.9b01771

    43. [43]

      YIN L, HUANG J B, YUE T C, WANG L L, WANG D Z. Two 2D metal-organic frameworks based on purine carboxylic acid ligands for photocatalytic oxidation of sulfides and CO2 chemical fixation[J]. Inorg. Chem., 2024,63(20):9109-9118. doi: 10.1021/acs.inorgchem.4c00333

    44. [44]

      LI Z, ZHANG F L, ZHAO H X, WANG Y X, ZHU S Q, LANG X J. Carbon-to-nitrogen atom transmutations in a covalent organic framework transform the visible light-triggered selective oxidation of sulfides[J]. J. Mater. Chem. A, 2025,13(7):5169-5179. doi: 10.1039/D4TA08403A

  • 加载中
    1. [1]

      Wen LUOLin JINPalanisamy KannanJinle HOUPeng HUOJinzhong YAOPeng WANG . Preparation of high-performance supercapacitor based on bimetallic high nuclearity titanium-oxo-cluster based electrodes. Chinese Journal of Inorganic Chemistry, 2024, 40(4): 782-790. doi: 10.11862/CJIC.20230418

    2. [2]

      Liang DongJingkuo QuTuo ZhangGuanghui ZhuNingning MaChang ZhaoYi YuanXiangjiu GuanLiejin Guo . MOF-derived NiCo bimetallic cocatalyst for enhanced photocatalytic overall water splitting. Chinese Chemical Letters, 2025, 36(3): 110397-. doi: 10.1016/j.cclet.2024.110397

    3. [3]

      Maosen XuPengfei ZhuQinghong CaiMeichun BuChenghua ZhangHong WuYouzhou HeMin FuSiqi LiXingyan LiuIn-situ fabrication of TiO2/NH2−MIL-125(Ti) via MOF-driven strategy to promote efficient interfacial effects for enhancing photocatalytic NO removal activity. Chinese Chemical Letters, 2024, 35(10): 109524-. doi: 10.1016/j.cclet.2024.109524

    4. [4]

      Qinwei LuJinjie LuJuying LeiXubiao LuoYanbo Zhou . Cyclodextrin-boosted photocatalytic oxidation for efficient bisphenol A removal. Chinese Chemical Letters, 2025, 36(3): 110017-. doi: 10.1016/j.cclet.2024.110017

    5. [5]

      Jun LIHuipeng LIHua ZHAOQinlong LIU . Preparation and photocatalytic performance of AgNi bimetallic modified polyhedral bismuth vanadate. Chinese Journal of Inorganic Chemistry, 2024, 40(3): 601-612. doi: 10.11862/CJIC.20230401

    6. [6]

      Jia-Ru LiNing LiLi-Ling HeJun He . Fluorine-functionalized zirconium-organic cages for efficient photocatalytic oxidation of thioanisole. Chinese Chemical Letters, 2025, 36(1): 109934-. doi: 10.1016/j.cclet.2024.109934

    7. [7]

      Liang Ma Zhou Li Zhiqiang Jiang Xiaofeng Wu Shixin Chang Sónia A. C. Carabineiro Kangle Lv . Effect of precursors on the structure and photocatalytic performance of g-C3N4 for NO oxidation and CO2 reduction. Chinese Journal of Structural Chemistry, 2024, 43(11): 100416-100416. doi: 10.1016/j.cjsc.2024.100416

    8. [8]

      Weixu Li Yuexin Wang Lin Li Xinyi Huang Mengdi Liu Bo Gui Xianjun Lang Cheng Wang . Promoting energy transfer pathway in porphyrin-based sp2 carbon-conjugated covalent organic frameworks for selective photocatalytic oxidation of sulfide. Chinese Journal of Structural Chemistry, 2024, 43(7): 100299-100299. doi: 10.1016/j.cjsc.2024.100299

    9. [9]

      Jian PengYue JiangShuangyu WuYanran ChengJingyu LiangYixin WangZhuo LiSijie Lin . A nonradical oxidation process initiated by Ti-peroxo complex showed high specificity toward the degradation of tetracycline antibiotics. Chinese Chemical Letters, 2024, 35(5): 108903-. doi: 10.1016/j.cclet.2023.108903

    10. [10]

      Qing LiYumei FengYuhua XieQi XuYifei LiYingjie YuFang LuoZehui Yang . MOF derived RuO2/V2O5 nanoneedles for robust and stable water oxidation in acid. Chinese Chemical Letters, 2025, 36(7): 111074-. doi: 10.1016/j.cclet.2025.111074

    11. [11]

      Chao-Long ChenRong ChenLa-Sheng LongLan-Sun ZhengXiang-Jian Kong . Anchoring heterometallic cluster on P-doped carbon nitride for efficient photocatalytic nitrogen fixation in water and air ambient. Chinese Chemical Letters, 2024, 35(4): 108795-. doi: 10.1016/j.cclet.2023.108795

    12. [12]

      Qi HUANGYouyi WANGZhujian MAOZhonghui YEWeihan CHENJui-yeh RAUJian HUANG . Enhanced photocatalytic tetracycline degradation via 2D CdS/Ti3AlC2 MAX heterostructure. Chinese Journal of Inorganic Chemistry, 2025, 41(11): 2385-2398. doi: 10.11862/CJIC.20250159

    13. [13]

      Yan-Kai ZhangYong-Zheng ZhangChun-Xiao JiaFang WangXiuling ZhangYuhang WuZhongmin LiuHui HuDa-Shuai ZhangLonglong GengJing XuHongliang Huang . A stable Zn-MOF with anthracene-based linker for Cr(VI) photocatalytic reduction under sunlight irradiation. Chinese Chemical Letters, 2024, 35(12): 109756-. doi: 10.1016/j.cclet.2024.109756

    14. [14]

      Ping Lu Baoyin Du Ke Liu Ze Luo Abiduweili Sikandaier Lipeng Diao Jin Sun Luhua Jiang Yukun Zhu . Heterostructured In2O3/In2S3 hollow fibers enable efficient visible-light driven photocatalytic hydrogen production and 5-hydroxymethylfurfural oxidation. Chinese Journal of Structural Chemistry, 2024, 43(8): 100361-100361. doi: 10.1016/j.cjsc.2024.100361

    15. [15]

      Hongtao WangYingzhang ShiJiayi GuoShuzhao SunWenda ZhangZhiwen WangYujie SongDongpeng Yan . CdS clusters induced defect on NH2−MIL-125(Ti) nanosheets for improving photocatalytic synthesis of N-benzylidene benzylamine. Chinese Chemical Letters, 2025, 36(10): 110779-. doi: 10.1016/j.cclet.2024.110779

    16. [16]

      Wen-Jun XiaYong-Jiang WangYun-Fei CaoCai SunXin-Xiong LiYan-Qiong SunShou-Tian Zheng . A luminescent folded S-shaped high-nuclearity Eu19-oxo-cluster embedded polyoxoniobate for information encryption. Chinese Chemical Letters, 2025, 36(2): 110248-. doi: 10.1016/j.cclet.2024.110248

    17. [17]

      Fei Jin Bolin Yang Xuanpu Wang Teng Li Noritatsu Tsubaki Zhiliang Jin . Facilitating efficient photocatalytic hydrogen evolution via enhanced carrier migration at MOF-on-MOF S-scheme heterojunction interfaces through a graphdiyne (CnH2n-2) electron transport layer. Chinese Journal of Structural Chemistry, 2023, 42(12): 100198-100198. doi: 10.1016/j.cjsc.2023.100198

    18. [18]

      Dan ShaoYujing LyuChengyuan LiuHao WangNing MaHao XuWei YanXiaohua JiaHaojie Song . Attracting magnetic BDD particles onto Ti/RuO2-IrO2 by using a magnet: A novel 2.5-dimensional electrode for electrochemical oxidation wastewater treatment. Chinese Chemical Letters, 2025, 36(6): 110641-. doi: 10.1016/j.cclet.2024.110641

    19. [19]

      Kaihui Huang Boning Feng Xinghua Wen Lei Hao Difa Xu Guijie Liang Rongchen Shen Xin Li . Effective photocatalytic hydrogen evolution by Ti3C2-modified CdS synergized with N-doped C-coated Cu2O in S-scheme heterojunctions. Chinese Journal of Structural Chemistry, 2023, 42(12): 100204-100204. doi: 10.1016/j.cjsc.2023.100204

    20. [20]

      Lin ZhangJianlong LiMaoyuan HuYao XuXiaoli XiongZhaoyu Jin . MOF-derived beaded stream-like nitrogen and phosphorus-codoped carbon-coated Fe3O4 nanocomposites via lattice-oxygen-mediated mechanism for efficient water oxidation. Chinese Chemical Letters, 2025, 36(8): 111123-. doi: 10.1016/j.cclet.2025.111123

Metrics
  • PDF Downloads(0)
  • Abstract views(318)
  • HTML views(20)

通讯作者: 陈斌, bchen63@163.com
  • 1. 

    沈阳化工大学材料科学与工程学院 沈阳 110142

  1. 本站搜索
  2. 百度学术搜索
  3. 万方数据库搜索
  4. CNKI搜索
Address:Zhongguancun North First Street 2,100190 Beijing, PR China Tel: +86-010-82449177-888
Powered By info@rhhz.net

/

DownLoad:  Full-Size Img  PowerPoint
Return