Citation: Yujie WANG, Laobang WANG, Zheng ZHANG, Qi LIU, Jianping LANG. Construction of W/Cu/S cluster-based supramolecular compounds via alkynyl/sulfur cycloaddition and their third-order nonlinear optical properties[J]. Chinese Journal of Inorganic Chemistry, ;2025, 41(10): 2069-2077. doi: 10.11862/CJIC.20250129 shu

Construction of W/Cu/S cluster-based supramolecular compounds via alkynyl/sulfur cycloaddition and their third-order nonlinear optical properties

Figures(4)

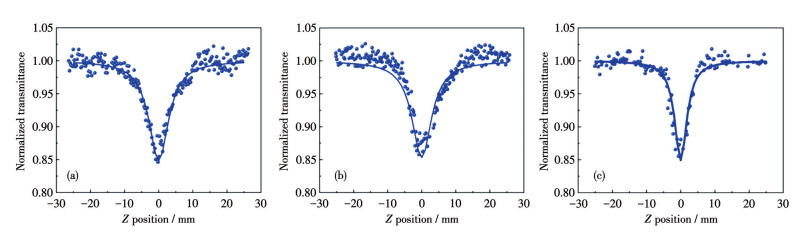
  • Using (Et4N)[Tp*WS3(CuCl)3] (A) (Tp*=tris(3, 5-dimethylpyrazolyl)hydroborate) as a precursor cluster, a dechlorination reaction with Ag(OTf) was performed, followed by self-assembly with two bidentate pyridine ligands: 1, 3-bis[4-(pyridin-4-ylethynyl)phenyl]propane (L1) and 1, 3-bis[4-(pyridin-4-ylethynyl)phenyl]propan-2-one (L2). This led to the construction of two W/Cu/S cluster-based supramolecular rectangular macrocycles, [(Tp*WS3Cu2Cl)4(L1)2]·6CH2Cl2 (1·6CH2Cl2) and [(Tp*WS3Cu2Cl)4(L2)2]·6CH2Cl2 (2·6CH2Cl2). During their assembly process, one cycloaddition reaction between one alkynyl group of L1 or L2 and two S atoms of A occurred, which exerted an important impact on the formation of both supramolecular rectangular macrocycles. In addition, by introducing pyridine (Py) as a second ligand into the reaction systems of 1·6CH2Cl2 and 2·6CH2Cl2, a novel cluster [Tp*WS3Cu3(μ3-Cl)(Py)3](OTf) (3) was obtained. The three compounds were systematically characterized using single-crystal X-ray diffraction, electrospray ionization mass spectrometry, IR, and UV-Vis spectroscopy. Single crystal X-ray diffraction results confirmed that 1·6CH2Cl2 and 2·6CH2Cl2 have supramolecular rectangular macrocycle structures formed by two bidentate ligands (L1 or L2) bridging four [Tp*WS3Cu2Cl] cluster units. Cluster 3 has a cationic cubane-like structure with three pyridine molecules coordinating at three Cu(Ⅰ) centers of the [Tp*WS3Cu3(μ3-Cl)]+ core. The Z-scan technique revealed that the solutions of 1·6CH2Cl2, 2·6CH2Cl2, and 3 showed good third-order nonlinear optical responses.
  • 加载中
    1. [1]

      CHEN L J, HUMPHERY S J, ZHU J L, ZHU F F, WANG X Q, WANG X, WEN J, YANG H B, GALE P A. A two-dimensional metallacycle cross-linked switchable polymer for fast and highly efficient phosphorylated peptide enrichment[J]. J. Am. Chem. Soc., 2021, 143(22): 8295-8304

    2. [2]

      CUI P F, LIN Y J, LI Z H, JIN G X. Dihydrogen bond interaction induced separation of hexane isomers by self-assembled carborane metallacycles[J]. J. Am. Chem. Soc., 2020, 142(18): 8532-8538

    3. [3]

      GUO S T, CUI P F, LIU X R, JIN G X. Synthesis of carborane-backbone metallacycles for highly selective capture of n-pentane[J]. J. Am. Chem. Soc., 2022, 144(48): 22221-22228

    4. [4]

      YOSHIZAWA M, TAMURA M, FUJITA M. Diels-Alder in aqueous molecular hosts: Unusual regioselectivity and efficient catalysis[J]. Science, 2006, 312(5771): 251-254

    5. [5]

      BIERSCHENK S M, BERGMAN R G, RAYMOND K N, TOSTE F D. A nanovessel-catalyzed three-component aza-darzens reaction[J]. J. Am. Chem. Soc., 2020, 142(2): 733-737

    6. [6]

      TAN C X, JIAO J J, LI Z J, LIU Y, HAN X, CUI Y. Design and assembly of a chiral metallosalen-based octahedral coordination cage for supramolecular asymmetric catalysis[J]. Angew. Chem. ‒Int. Edit., 2018, 57(8): 2085-2090

    7. [7]

      JING X, HE C, YANG Y, DUAN C Y. A metal-organic tetrahedron as a redox vehicle to encapsulate organic dyes for photocatalytic proton reduction[J]. J. Am. Chem. Soc., 2015, 137(11): 3967-3974

    8. [8]

      JING X, YANG Y, HE C, CHANG Z D, REEK J N H, DUAN C Y. Control of redox events by dye encapsulation applied to light-driven splitting of hydrogen sulfide[J]. Angew. Chem. ‒Int. Edit., 2017, 56(39): 11759-11763

    9. [9]

      CAI L X, LI S C, YAN D N, ZHOU L P, GUO F, SUN Q F. Water- soluble redox-active cage hosting polyoxometalates for selective desulfurization catalysis[J]. J. Am. Chem. Soc., 2018, 140(14): 4869-4876

    10. [10]

      BOLLIGER J L, RONSON T K, OGAWA M, NITSCHKE J R. Solvent effects upon guest binding and dynamics of a Fe4L4 cage[J]. J. Am. Chem. Soc., 2014, 136(41): 14545-14553

    11. [11]

      MOSQUERA J, SZYSZKO B, HO S K Y, NITSCHKE J R. Sequence-selective encapsulation and protection of long peptides by a self- assembled Fe8L6 cubic cage[J]. Nat. Commun., 2017, 8: 14882-14887

    12. [12]

      MENG W, BREINER B, RISSANEN K, THOBURN J D, CLEGG J K, NITSCHKE J R. A self-assembled M8L6 cubic cage that selectively encapsulates large aromatic guests[J]. Angew. Chem. ‒Int. Edit., 2011, 50(15): 3479-3483

    13. [13]

      LU Z, RONSON T K, NITSCHKE J R. Reversible reduction drives anion ejection and C60 binding within an Fe4L6 cage[J]. Chem. Sci., 2020, 11(4): 1097-1101

    14. [14]

      WALTHER A, REGENI I, HOLSTEIN J J, CLEVE G H. Guest- induced reversible transformation between an azulene-based Pd2L4 lantern-shaped cage and a Pd4L8 tetrahedron[J]. J. Am. Chem. Soc., 2023, 145(46): 25365-25371

    15. [15]

      JIAO Y, CUI C F, HE H Y, HE C, DUAN C Y. Fluorescent recognition of 4-amino-2, 6-dinitrotoluene by a cerium-based metal-organic tetrahedron[J]. Inorg. Chem., 2019, 58(10): 6575-6578

    16. [16]

      CHAKRABORTY D, ALI S, CHOUDHURY P, HICKEY N, MUKHERJEE P S. Cavity-shape-dependent divergent chemical reaction inside aqueous Pd6L4 cages[J]. J. Am. Chem. Soc., 2023, 145(49): 26973-26982

    17. [17]

      CHAKRABARTY R, MUKHERJEE P S, STANG P J. Supramolecular coordination: Self-assembly of finite two- and three-dimensional ensembles[J]. Chem. Rev., 2011, 111(11): 6810-6918

    18. [18]

      COOK T R, STANG P J. Recent developments in the preparation and chemistry of metallacycles and metallacages via coordination[J]. Chem. Rev., 2015, 115(15): 7001-7045

    19. [19]

      LEININGER S, OLENYUK B, STANG P J. Self-assembly of discrete cyclic nanostructures mediated by transition metals[J]. Chem. Rev., 2000, 100(3): 853-908

    20. [20]

      SHI Y, CAI K, XIAO H, LIU Z, ZHOU J, SHEN D, QIU Y, GUO Q H, STERN C, WASIELEWSKI M R, DIEDERICH F, GODDARD W A, STODDART J F. Selective extraction of C70 by a tetragonal prismatic porphyrin cage[J]. J. Am. Chem. Soc., 2018, 140(42): 13835-13842

    21. [21]

      ZHANG X, DONG X, LU W, LUO D, ZHU X W, LI X, ZHOU X P, LI D. Fine-tuning apertures of metal-organic cages: Encapsulation of carbon dioxide in solution and solid state[J]. J. Am. Chem. Soc., 2019, 141(29): 11621-11627

    22. [22]

      SELBY H D, ZHENG Z P, GRAY T G, HOLM R H. Bridged multiclusters derived from the face‐capped octahedral [Re6(μ3‐Se)8]2+ cluster core[J]. Inorg. Chim. Acta, 2001, 312: 205-209

    23. [23]

      ZHENG S T, ZHANG J, LI X X, FANG W H, YANG G Y. Cubic polyoxometalate‐organic molecular cage[J]. J. Am. Chem. Soc., 2010, 132(43): 15102-15103

    24. [24]

      SHI S, JI W, TANG S H, LANG J P, XIN X Q. Synthesis and optical limiting capability of cubane‐like mixed metal clusters (n‐Bu4N)3[MoAg3BrX3S4] (X=Cl and I)[J]. J. Am. Chem. Soc., 1994, 116(8): 3615-3616

    25. [25]

      PAN M, SU C Y. Progress of some metal·coordinated supramole‐cules as nonlinear optical materials[J]. Chemistry, 2007, 12: 915-921

    26. [26]

      GUANG S Y, YIN S C, XU H Y, SONG Y L. The effect of different π electron conjugation bond structure of molecules on the nonlinear optical properties[J]. Journal of Functional Materials, 2006, 2(37): 325-329

    27. [27]

      GAO M Y, WANG K, SUN Y, LI D, SONG B Q, ANDALOUSSI Y H, ZAWOROTKO M J, ZHANG J, ZHANG L. Tetrahedral geometry induction of stable Ag‐Ti nanoclusters by flexible trifurcate TiL3 metalloligand[J]. J. Am. Chem. Soc., 2020, 142(29): 12784-12790

    28. [28]

      YU H M, WANG Z K, LI J, SONG Y L, DU M H, LANG J P. Assembly and structure of [WS3Cu2] cluster-based supramolecular frame and their third-order nonlinear optical response[J]. Chinese J. Inorg. Chem., 2024, 40(1): 71-78

    29. [29]

      WANG J, SUN Z R, DENG L, WEI Z H, ZHANG W H, ZHANG Y, LANG J P. Reactions of a tungsten trisulfido complex of hydridotris(3, 5-dimethylpyrazol-1-yl)borate (Tp*) [Et4N][Tp*WS3] with CuX (X=Cl, NCS, or CN): Isolation, structures, and third-order NLO properties[J]. Inorg. Chem., 2007, 46(26): 11381-11389

    30. [30]

      ILONA S, CRISTIAN A S, LUISA D C, PETER B. Tracking intramolecular interactions in flexibly linked binuclear platinum(Ⅱ) complexes[J]. Organometallics, 2014, 33(6): 1345-1355

    31. [31]

      BAJPAI A, LUSI M, ZAWOROTKO M J. The role of weak interactions in controlling the mode of interpenetration in hybrid ultramicroporous materials[J]. Chem. Commun., 2017, 53(28): 3978-3981

    32. [32]

      KRAUSE L, HERBST-IRMER R, SHELDRICK G M, STALKE D. Comparison of silver and molybdenum microfocus X-ray sources for single-crystal structure determination[J]. J. Appl. Crystallogr., 2015, 48(1): 3-10

    33. [33]

      DOLOMANOV O V, BOURHIS L J, GILDEA R J, HOWARD J A K, PUSCHMANN H. OLEX2: A complete structure solution, refinement and analysis program[J]. J. Appl. Crystallogr., 2009, 42: 339-341

    34. [34]

      SHELDRICK G M. SHELXT-Integrated space-group and crystal-structure determination[J]. Acta Crystallogr. Sect. A, 2015, A71(1): 3-8

    35. [35]

      SPEK A L. Single-crystal structure validation with the program PLATON[J]. J. Appl. Crystallogr., 2003, 36(1): 7-13  doi: 10.1107/S0021889802022112

    36. [36]

      SPEK A L. Platon squeeze: A tool for the calculation of the disordered solvent contribution to the calculated structure factors[J]. Acta Crystallogr. Sect. C, 2015, C71: 9-18

    37. [37]

      HUANG Z W, LIU Q, LANG J P. W/Cu/S clusters assembled supramolecular macrocycles and their third-order nonlinear optical response[J]. Chinese J. Inorg. Chem., 2025, 41(1): 79-87

    38. [38]

      LI J, TAN Y, CAO C, WANG Z K, NIU Z, SONG Y L, LANG J P. One-dimensional and two-dimensional coordination polymers from cluster modular construction[J]. CrystEngComm, 2021, 23(17): 3160-3166  doi: 10.1039/D1CE00206F

    39. [39]

      TAN Y, WANG Z K, LANG F F, YU H M, CAO C, NI C Y, WANG M Y, SONG Y L, LANG J P. Construction of cluster-based supramolecular wire and rectangle[J]. Dalton Trans., 2022, 51(16): 6358-6365  doi: 10.1039/D2DT00344A

    40. [40]

      SHEIK-BAHAE M, SAID A A, WEI T H, HAGAN D J, STRYLANDE W V. Sensitive measurement of optical nonlinearities using a single beam[J]. IEEE J. Quantum Electron., 1990, 26(4): 760-769  doi: 10.1109/3.53394

    41. [41]

      GE J F, LU Y T, SUN R, ZHANG J, XU Q F, LI N J, SONG Y L, LU J M. Third-order nonlinear optical properties of symmetric phenoxazinium chlorides with resonance structures at 532 nm[J]. Dyes Pigment., 2011, 91(3): 489-494  doi: 10.1016/j.dyepig.2011.04.004

  • 加载中
    1. [1]

      Zhiwen HUANGQi LIUJianping LANG . W/Cu/S cluster-based supramolecular macrocycles and their third-order nonlinear optical responses. Chinese Journal of Inorganic Chemistry, 2025, 41(1): 79-87. doi: 10.11862/CJIC.20240184

    2. [2]

      Xiaohang JINQi LIUJianping LANG . Room‑temperature solid‑state synthesis, structure, and third‑order nonlinear optical properties of phosphine‑ligand‑protected silver thiolate clusters. Chinese Journal of Inorganic Chemistry, 2025, 41(8): 1505-1512. doi: 10.11862/CJIC.20250125

    3. [3]

      Ruolin CHENGYue WANGXiyao NIUHuagen LIANGLing LIUShijian LU . Efficient photothermal catalytic CO2 cycloaddition over W18O49/rGO composites. Chinese Journal of Inorganic Chemistry, 2025, 41(7): 1276-1284. doi: 10.11862/CJIC.20240424

    4. [4]

      Ruolin CHENGHaoran WANGJing RENYingying MAHuagen LIANG . Efficient photocatalytic CO2 cycloaddition over W18O49/NH2-UiO-66 composite catalyst. Chinese Journal of Inorganic Chemistry, 2024, 40(3): 523-532. doi: 10.11862/CJIC.20230349

    5. [5]

      Zhanhui Yang Jiaxi Xu . (m+n+…) or [m+n+…]cycloaddition?. University Chemistry, 2025, 40(3): 387-389. doi: 10.12461/PKU.DXHX202406032

    6. [6]

      Conghao Shi Ranran Wang Juli Jiang Leyong Wang . The Illustration on Stereoisomers of Macrocycles Containing Multiple Chiral Centers via Tröger Base-based Macrocycles. University Chemistry, 2024, 39(7): 394-397. doi: 10.3866/PKU.DXHX202311034

    7. [7]

      Keweiyang Zhang Zihan Fan Liyuan Xiao Haitao Long Jing Jing . Unveiling Crystal Field Theory: Preparation, Characterization, and Performance Assessment of Nickel Macrocyclic Complexes. University Chemistry, 2024, 39(5): 163-171. doi: 10.3866/PKU.DXHX202310084

    8. [8]

      Shumin ZhangYaqi WangZelin WangLibo WangChangsheng AnDifa Xu . Ultrafast electron transfer at the ZIS1−x/UCN S-scheme interface enables efficient H2O2 photosynthesis coupled with tetracycline degradation. Acta Physico-Chimica Sinica, 2025, 41(11): 100136-0. doi: 10.1016/j.actphy.2025.100136

    9. [9]

      Peng ZHOUXiao CAIQingxiang MAXu LIU . Effects of Cu doping on the structure and optical properties of Au11(dppf)4Cl2 nanocluster. Chinese Journal of Inorganic Chemistry, 2024, 40(7): 1254-1260. doi: 10.11862/CJIC.20240047

    10. [10]

      Yue Zhao Yanfei Li Tao Xiong . Copper Hydride-Catalyzed Nucleophilic Additions of Unsaturated Hydrocarbons to Aldehydes and Ketones. University Chemistry, 2024, 39(4): 280-285. doi: 10.3866/PKU.DXHX202309001

    11. [11]

      Jiageng Li Putrama . 数值积分耦合非线性最小二乘法一步确定反应动力学参数. University Chemistry, 2025, 40(6): 364-370. doi: 10.12461/PKU.DXHX202407098

    12. [12]

      Zhengyu ZhouHuiqin YaoYoulin WuTeng LiNoritatsu TsubakiZhiliang Jin . Synergistic Effect of Cu-Graphdiyne/Transition Bimetallic Tungstate Formed S-Scheme Heterojunction for Enhanced Photocatalytic Hydrogen Evolution. Acta Physico-Chimica Sinica, 2024, 40(10): 2312010-0. doi: 10.3866/PKU.WHXB202312010

    13. [13]

      Weina Wang Lixia Feng Fengyi Liu Wenliang Wang . Computational Chemistry Experiments in Facilitating the Study of Organic Reaction Mechanism: A Case Study of Electrophilic Addition of HCl to Asymmetric Alkenes. University Chemistry, 2025, 40(3): 206-214. doi: 10.12461/PKU.DXHX202407022

    14. [14]

      Tengyue ZHANGJingjing FENGZili LIANGJia′nan DAIJing MA . Optimization of C-doped BiVO4 performance for tetracycline degradation using response surface methodology-assisted orthogonal experiments. Chinese Journal of Inorganic Chemistry, 2025, 41(12): 2561-2574. doi: 10.11862/CJIC.20250104

    15. [15]

      Guojie Xu Fang Yu Yunxia Wang Meng Sun . Introduction to Metal-Catalyzed β-Carbon Elimination Reaction of Cyclopropenones. University Chemistry, 2024, 39(8): 169-173. doi: 10.3866/PKU.DXHX202401060

    16. [16]

      Zhuoyan LvYangming DingLeilei KangLin LiXiao Yan LiuAiqin WangTao Zhang . Light-Enhanced Direct Epoxidation of Propylene by Molecular Oxygen over CuOx/TiO2 Catalyst. Acta Physico-Chimica Sinica, 2025, 41(4): 100038-0. doi: 10.3866/PKU.WHXB202408015

    17. [17]

      Xudong Liu Huili Fan Junping Xiao Min Yang Yan Li . Teaching Approaches to the AE + AN Mechanism of Electrophilic Addition Reactions between Olefins and Inorganic Acids in Organic Chemistry. University Chemistry, 2025, 40(7): 367-372. doi: 10.12461/PKU.DXHX202409041

    18. [18]

      Junjie Zhang Yue Wang Qiuhan Wu Ruquan Shen Han Liu Xinhua Duan . Preparation and Selective Separation of Lightweight Magnetic Molecularly Imprinted Polymers for Trace Tetracycline Detection in Milk. University Chemistry, 2024, 39(5): 251-257. doi: 10.3866/PKU.DXHX202311084

    19. [19]

      Jinwang WuQijing XieChengliang ZhangHaifeng Shi . Rationally Designed ZnFe1.2Co0.8O4/BiVO4 S-Scheme Heterojunction with Spin-Polarization for the Elimination of Antibiotic. Acta Physico-Chimica Sinica, 2025, 41(5): 100050-0. doi: 10.1016/j.actphy.2025.100050

    20. [20]

      Weikang WangYadong WuJianjun ZhangKai MengJinhe LiLele WangQinqin Liu . Green H2O2 synthesis via melamine-foam supported S-scheme Cd0.5Zn0.5In2S4/S-doped carbon nitride heterojunction: synergistic interfacial charge transfer and local photothermal effect. Acta Physico-Chimica Sinica, 2025, 41(8): 100093-0. doi: 10.1016/j.actphy.2025.100093

Metrics
  • PDF Downloads(3)
  • Abstract views(524)
  • HTML views(53)

通讯作者: 陈斌, bchen63@163.com
  • 1. 

    沈阳化工大学材料科学与工程学院 沈阳 110142

  1. 本站搜索
  2. 百度学术搜索
  3. 万方数据库搜索
  4. CNKI搜索
Address:Zhongguancun North First Street 2,100190 Beijing, PR China Tel: +86-010-82449177-888
Powered By info@rhhz.net

/

DownLoad:  Full-Size Img  PowerPoint
Return